Abstract
Aim: Pilot study to examine the impact of shift work on cognitive function in Chinese coal mine workers. Background: Shift work is commonly used in modern industries such as the coal industry, and there is growing concern over the impact that shift work has on miners’ work performance and personal well-being. Method: A total of 54 miners working three shifts (17 in morning shift, 18 in afternoon, and 19 in night shift) participated in this exploratory study. A resting-state fNIRS functional connectivity method was conducted to assess the cognitive ability before and after the work shift. Results: Results showed significant differences in cognitive ability between before and after the work shifts among the three-shift workers. The brain functional connectivity was reduced ranking as the night, afternoon, and morning shifts. Decreased brain functional connectivity at the end of the working shift was found compared with before in the morning and afternoon shifts. Opposite results were obtained during the night shift. The resting-state functional brain networks in the prefrontal cortex of all groups exhibited small-world properties. Significant differences in betweenness centrality and nodal local efficiency were found in the prefrontal cortex in the morning and night shifts. Conclusions: The current findings provide new insights regarding the effect of shift work on the cognitive ability of Chinese coal mine workers from the view of brain science.
1. Introduction
In modern industries, represented by the coal industry, miners are required to work alternating morning, afternoon, and night shifts (three-shift) within 24 h to ensure the normal operation of the company’s production. According to the “China Coal Industry Development Annual Report 2020”, there are over 2 million shift coal mine workers in China [1]. However, shift work not only affects the physical and mental health of shift workers but also reduces their work efficiency and personal well-being [2,3]. Lack of adequate or regular sleep affects alertness, reaction times, eye-hand coordination and concentration, and other cognitive abilities of shift miners, resulting in fatigue, degraded work performance, unsafe behaviors, and causing accidents [4,5,6,7]. Due to the unique dangerous and underground working environment, coal mine workers have been considered one of the riskiest jobs [8]. Evidence shows that approximately one-half of major accidents occurred in coal mines in China, and 95% of them were caused by human factors, especially unsafe behavior [9,10]. To further reduce the occurrence of unsafe behavior, enhance the safety management of coal mine companies and protect the physical and mental health of coal mine workers, it is necessary to investigate the cognitive performance of shift coal mine workers before and after their shifts [11].
Cognitive functions, such as executive functions, working memory, attention, and information processing speed, are the important guarantee of safe work [12,13]. Laboratory studies provide evidence for cognitive functions declines associated with shift work in nurses, doctors, miners, and petrochemical control room operators [12,13,14,15,16,17,18]. Long-time shift work or irregular circadian rhythm could decrease mental and behavioral performance such as declined working memory, inattentiveness, fatigue, sleepiness, lower sleep quality, longer response time, reduced alertness level, decreased ability to learn and recall new facts, irritability, bad mood, reduced communication skills [3,12,13,15,19]. Moreover, it could lead to increased risk and unsafe behavior, operator error rates, and cause accidents [11,13,15,19]. Neuropsychological performance, such as memory performance, tends to decrease with the increase in the duration of exposure to shift work [12].
In recent years, an increasing number of scholars have focused on the effects of shift work on the cognitive functions of coal mine workers. Glenn Legault et al. summarized the effect of sleep deprivation, shift working, and heat exposure on miners and combined objective measures (actigraphy) and subjective measures (Karolinska and Epworth sleepiness scales) to measure the cognitive consequences of shiftwork for miners [14,20]. Sally A. Ferguson et al. investigated the impact of work- and sleep-related factors on an objective measure (Actiwatch) of response time in a field setting [21]. Rebecca Jane Loudoun et al. found that shift work, aging, and lack of control at work increased sleep problems in miners [22]. Haimiao Yu et al. deployed a reaction time test and “psychometric fatigue assessment scale” to measure the differences in mental fatigue between day-shift and night shift coal mine workers [23]. Camila Pizarro-Montaner et al. analyzed the sleep quality and physical activity of coal mine shift workers in high altitudes [24]. Based on Pittsburgh Sleep Quality Index (PSQI), Xiao-Chuan Zhao et al. investigated the effects of shift work on sleep and cognitive function in miners [25]. Lavigne et al. applied an actigraph and vigilance scale to assess the change in sleep and vigilance of underground miners during long periods of extended shifts [26].
However, most scholars have explored the effect of shift work on cognitive function based on subjective and/or behavioral measures such as behavioral experiments, neuropsychological tests, psychological scales, questionnaires, and wearable devices [8,12,14,27,28]. Subjective measures are highly dependent on the subjects’ self-will and awareness of their cognitive status [29]. Behavioral measures are limited in the range of information they provide and may interfere with task performance, inducing additional load [30]. Compared with subjective and behavioral measures, as a reliable quantitative assessment, neurophysiological measurements such as resting-state functional near-infrared spectroscopy (fNIRS) could be introduced to further explore the effect of shift work on cognitive function. In recent years, fNIRS has been considered an emerging imaging technique in a safe, cost-effective, comfortable, and portable way to investigate safety problems [31,32,33]. In neuroscience, the prefrontal cortex (PFC) is an accepted key brain area of human cognitive functions [34]. The fNIRS resting-state functional connectivity (RSFC) has been proved to be a novel and advanced method to assess and monitor cognitive states such as fatigue, mental workload, vigilance, sustained attention, and error recognition [35].
Thus, to fully comprehend the neuropsychological mechanism of the effect of shift work on cognitive function in Chinese coal mine workers, the current study examined a resting-state functional near-infrared spectroscopy (rs-fNIRS) study in the PFC of 54 Chinese coal mine workers and evaluated the functional connectivity before and after their shifts in three-shift work in a real environment to further explore the cognitive function changes in three-shift coal mine workers from a brain science standpoint.
2. Materials and Methods
2.1. Demographic Information of the Subjects
A total of 60 Chinese coal mine workers from Shaanxi Coal Group Northern Shaanxi Mining Hongliulin Company, one of the largest modern coal mines in China, were randomly selected to participate in this experiment. After excluding the bad data such as heavy head movement, the fNIRS data of 54 miners before and after the shift were obtained in this experiment. Among them, 17 miners were morning shift workers (8:00–16:00), 18 miners were afternoon shift workers (16:00–24:00), and 19 miners were night shift workers (24:00–8:00). The morning and afternoon shifts are coal mining production shifts, while the night shift is maintenance and repair shifts. Although the working hours of the shift miners are 8 h a day, the miners have to arrive 2 h before the shift to prepare for the pre-shift meeting, change their equipment and take the shuttle bus down the mine, and after the shift, they also need to have a post-shift meeting, take a shower and change their clothes. Therefore, each miner works more than 10 h a day. In order not to affect the normal work of the miners, we choose to conduct the pre-shift experiment before the pre-shift meeting and the post-shift experiment after the miners go up to the mine to wash up. For convenience, the morning shift workers were identified as group 1, the afternoon shift workers as group 2, and the night shift workers as group 3. Specifically, before the morning shift work was defined as B1, after the morning shift work was defined as A1. Similarly, before the afternoon shift work was defined as B2, after the afternoon shift work was defined as A2; before the night shift work was defined as B3, and after the night shift work was defined as A3.
The demographic information of these coal mine workers is detailed in Table 1 and Table 2. The average age of the participants was 36.06 ± 7.42 years, the average height was 172.63 ± 4.71 cm, and the average weight was 69.93 ± 8.36 kg. Participants were all right-handed, and none of them had a history of neurological illness or psychiatric disorders. Further, it was forbidden to drink alcohol or caffeine, and other sensitive products 24 h before the experiment. During the 5 min rs-fNIRS experiment, the participants were asked to remain still and stare at the center cross of the screen without falling asleep. The light and temperature (25 °C) of the experimental room were kept constant throughout the whole experiment.
Table 1.
The demographic information of 54 coal mine workers.
Table 2.
The marital status and education information of 54 coal mine workers.
Before the experiment, all participants were fully informed of the contents of the rs-fNIRS experimental program. All procedures followed the Human Ethics Committee of Xi’an University of Science and Technology and met the ethical standards of the 1975 Helsinki Declaration.
2.2. Data Acquisition
In this study, the hemodynamic responses were measured using a near-infrared optical imaging system (LABNIRS; Shimadzu Corporation, Kyoto, Japan) with a sampling rate of 7.4074 Hz. As shown in Figure 1, the system was equipped with 7 sources and 8 detectors emitting light at two different wavelengths (690 and 830 nm), defining 22 channels, covering the PFC. The distance between a pair of a source and a detector was 30 mm. To ensure accuracy of positioning, detector 7 was placed perpendicular to the tip of the nose and flush with the eyebrows.

Figure 1.
(a) Positions of fifteen optodes (eight sources and seven detectors) and fNIRS channels. (b) Fifteen optodes were attached to the prefrontal cortex forming 22 channels in frontal view. (c) The 3D MNI coordinates of 22 channels in a different view. DLPFC means dorsolateral prefrontal cortex, FPC means frontopolar cortex, OFC means orbitofrontal cortex.
The locations of all fNIRS channels were measured using a 3D digitizer system (FASTRAK; Polhemus, Colchester, VT, USA) after the experiment. The system had its origin at the center of the chin with nasion (Nz), right preauricular points (AR), left preauricular points (AL), and central zero (Cz) as reference points [36]. The locations of the fifteen fNIRS optodes were obtained according to the origin and the four reference points. The coordinate of an fNIRS channel was computed based on the locations of the sources and detectors using the MATLAB toolbox NIRS-SPM (The MathWorks Inc., Natick, MA, USA) [37]. As shown in Table 3, the estimated mean locations of 22 channels were obtained based on Brodmann Areas’ anatomical information. Consistent with previous studies, PFC was chosen to be the main regions of interest (ROIs) of this study, including the dorsolateral prefrontal cortex (dlPFC) (CH01, CH02, CH03, CH04, CH05, CH06, CH08, CH09, CH14, and CH18), the frontopolar cortex (FPC) (CH07, CH10, CH11, CH12, CH13, CH15, CH16, and CH17) and the orbitofrontal cortex (OFC) (CH19, CH20, CH21, and CH22) [34,38].
Table 3.
Mean locations of 22 fNIRS channels.
2.3. Data Preprocessing
In this study, the fNIRS signals recorded during the whole experiment were analyzed using MATLAB by our script (R2013b, MathWorks, Natick, MA, USA). Firstly, a bandpass filter (0.02–0.1 Hz) was applied to detrend and reduce high-frequency noise due to respiration, cardiac pulsations, and optodes’ movements [39,40,41]. Secondly, wavelet-based correction of extreme values was performed by Wavelab850 toolbox to reduce head movements and surface noise and set the parameters as: Mother wavelet: ‘Vaidyanathan’, support: 10, threshold: 0.0001, alpha: 0.1 [42]. Thirdly, the mean value of the differential pathlength factor () was adopted [43]. Finally, the hemodynamic responses were computed from the processed light intensity using the modified Beer–Lamberts’ law (MBLL) [44]. Consistent with previous studies, oxy-Hb signals were chosen as the research objects of this study because of their better sensitivity and robustness to the changes associated with regional cerebral blood flow [45,46].
2.4. Resting-State Functional Connectivity Analysis
2.4.1. Pearson’s Correlation Coefficient and T-Test
Pearson correlation coefficients (COR) correlation matrices were conducted to measure the strength of the functional connection between brain channels for each coal mine worker on each shift [47]. The COR matrix for each shift is the average of the COR matrix between the 22 × 22 channels of each coal mine worker in the 5 min resting state. In this study, the mean time course for one participant as , where is the mean time series of the ith region, we defined COR as [48]:
For further interpretation of the difference among these three groups of functional connectivity, the COR matrix was binary transformed. Similar to previous studies, the threshold was set as 0.7 [33]. In this study, it is defined that if , ; otherwise, [33]. The paired t-test was used to compare before and after the shift work in three groups. Since the statistical test was conducted for 22 networks independently, false discovery rate (FDR) correction was adopted to eliminate the multiple comparison problems (q < 0.05) [49]. All statistical calculations were performed by SPSS 26.0 (SPSS Inc., Chicago, IL, USA) (p < 0.05).
2.4.2. Brain Network Analysis
To further quantify the functional connectivity for complex network analysis, a graph theory approach was adopted to compare the rs-fNIRS topological properties of the brain networks between 22 × 22 channels before and after work shifts in three coal mine workers groups [50,51]. The graph theory analysis has multiple important parameters:
Clustering coefficient (): the local efficiency in information transfer of the network and generally defined as [52]:
where is the number of links connected to a node, is the number of triangles around a node i.
Global efficiency (): the ability of information transmission of the global network and generally defined as [52]:
where is the shortest path length between nodes i and j.
Local efficiency (): the ability of information transmission of the local network and generally defined as [52]:
Shortest path length (): the overall routing efficiency of a graph and generally defined as:
where is the shortest path between i and j.
Betweenness centrality (): the influence of an index node over information flow between all other nodes in a network and generally defined as [48]:
where is the shortest path length between nodes i and j.
Small-world parameters (): modular processing and efficient transmission of information between network characteristics modules and generally defined as [53,54]:
where , , and are the clustering coefficients, AL and are the characteristic path lengths, and are the average clustering coefficient and characteristic path length of the real network and a random network () [52].
These parameters were calculated by the GRETNA toolbox on MATLAB [55]. According to previous studies, a range of continuous threshold values T () were adopted to construct the brain networks [45,56]. A total of 100 matched random networks were generated to compute the ratios of the above parameters between the real brain functional networks [50,57]. The paired t-test was used to confirm the differences between before and after the shift work in three groups (p < 0.05).
3. Results
3.1. Demographic Information
Table 1 illustrates the demographic information for the total of 54 coal mine workers and three subgroups. Overall, the chi-square test showed that there were no significant differences in demographic information between the three groups of coal mine workers (p < 0.05). In particular, the mean length of service of all participants was approximately 10 years (9.91 ± 7.81), while the mean height of them was 172.63 ± 4.71. The mean age of these participants was 36 years (36.06 ± 7.42) old, while the mean weight of them was nearly 70 kg (69.93 ± 8.36).
The results of the one-way ANOVA showed that there was a significant difference between coal mine workers’ brain functional connectivity and marital status (p = 0.038) and education information (p = 0.019). Unfortunately, there was no significant difference between coal mine workers’ brain functional connectivity and the mean length of service, height, age, and weight among subgroups.
Table 2 showed that the marital status and education information of 54 coal mine workers and three subgroups. Almost 90% of these coal mine workers were married, and more than half of them were graduated from high school.
3.2. Pearson’s Correlation Coefficient and T-Test
Figure 2 demonstrates the mean COR before and after shifts for three groups of coal mine workers. In which red represents before shifts and blue denotes after shifts, and the horizontal line is the mean value. As shown in Figure 2, the mean COR values of all three groups of coal mine workers before and after their shifts were significantly different (p < 0.001). Of these, the mean COR of group 1 was declined from before shifts () to after shifts (). A similar reduction in the mean COR was obtained in group 2 between before shifts () and after shifts (). Unlike group 1 and group 2, the mean COR was increased from before shifts () to after shifts (). Combining the six states of the three groups of coal mine workers before and after their shifts, the mean COR was ranked from highest to lowest: , , , , , .
Figure 2.
Comparison of the mean COR before and after the work shifts among three groups. Note: *** indicates that the results passed paired t-test (p < 0.001).
Figure 3 shows the 22 × 22 correlation matrices and the paired t-test results for three shifts of coal mine workers (p < 0.05). Each grid denotes the correlation coefficient of a pair of channels (). COR indicates the degree of correlation between pairs of channels. If , there is significantly related to the activation between pairs of channels. As shown in the legend, a redder grid indicates a more correlated pair of channels, while a bluer one is less correlated. Overall, all three groups of coal mine workers had significantly different COR matrices before and after their shifts.
Figure 3.
Functional connection matrix and p-value between each two channels of 3 shifts coal mine workers (p < 0.05). (a) Group 1. (b) Group 2. (c) Group 3.
It is shown in Figure 3a that the functional connectivity of B1 was larger than that of A1 (p < 0.05). That is, compared to before the work shift, prefrontal functional connectivity was significantly decreased after the work shift in group1. These differences are concentrated in the following four categories: (a) the functional connectivity within dorsolateral prefrontal cortex (dlPFC): CH01-05 (p = 0.0285), CH06-08 (p = 0.0359); (b) the functional connectivity between dlPFC and frontopolar cortex (FPC): CH04-10 (p = 0.0304), CH04-11 (p = 0.0134), CH04-12 (p = 0.0446), CH08-10 (p = 0.0367), CH08-11 (p = 0.0155), CH08-12 (p = 0.0113), CH08-13 (p = 0.0357), CH08-16 (p = 0.0389); (c) the functional connectivity between dlPFC and orbitofrontal cortex (OFC): CH04-20 (p = 0.0177), CH06-21 (p = 0.036); (d) the functional connectivity within OFC: CH20-21 (p = 0.0124), CH20-22 (p = 0.0226), CH22-21 (p = 0.0488).
Similar to group 1, Figure 3b shows that the functional connectivity of B2 was also larger than that of A2 (p < 0.05). Compare to group 1, the paired t-test results showed that the difference in functional connectivity before and after the work shift is greater in group 2. Specifically, these differences are clustered in the following five categories: (a) the functional connectivity within dlPFC: CH02-08 (p = 0.0148), CH04-05 (p = 0.0394), CH04-09 (p = 0.0286); (b) the functional connectivity between dlPFC and FPC: CH02-17 (p = 0.0126), CH03-17 (p = 0.0251),CH04-17 (p = 0.0181), CH07-14 (p = 0.0409), CH08-17 (p = 0.0235), CH12-14 (p = 0.0187); (c) the functional connectivity within FPC: CH07-17 (p = 0.0023), CH10-17 (p = 0.0333), CH12-17 (p = 0.0219), CH13-17 (p = 0.0040), CH13-21 (p = 0.0370); (d) the functional connectivity between FPC and OFC: CH07-20 (p = 0.0313), CH11-21 (p = 0.0419), CH12-21 (p = 0.0141); (e) the functional connectivity between dlPFC and OFC: CH02-21 (p = 0.0188), CH14-21 (p = 0.0311), CH18-21 (p = 0.0069).
In contrast to the other two groups, Figure 3c shows that the functional connectivity of B3 is less than A3 with the fewest difference pairs (p < 0.05). There are only three categories of these differences: (a) the functional connectivity between dlPFC and FPC: CH02-07 (p = 0.0388), CH03-17 (p = 0.0449), CH06-07 (p = 0.0249), CH07-09 (p = 0.0456); (b) the functional connectivity within FPC: CH07-11 (p = 0.0132), CH07-12 (p = 0.0076); (c) the functional connectivity within dlPFC: CH01-04 (p = 0.0441).
Figure 4 shows the PFC functional connectivity brain maps of three groups of coal mine workers in different states with . As shown in the illustration, the 22 circles represent CH01 to CH22, dlPFC is in brown, FPC is in green, and OFC is in blue. The thickness of the lines between channels represents the value of the COR, with thicker lines indicating higher functional connectivity between pairs of channels. In general, group 1 and group 2 generally had reduced functional connectivity after the shift than before, while the opposite was true for group 3. As shown in Figure 4a, the functional connectivity existed among dlPFC, FPC, and OFC before the work shift, while it was decreased and mainly concentrated in the FPC after the work shift in group 1. The functional connectivity of both before and after work shifts for group 2 were mainly focused on dlPFC between FPC and decreased after work shifts (Figure 4b). For group 3, the functional connectivity was mainly concentrated in dlPFC and FPC before the work shift, whereas it was enhanced and existed among dlPFC, FPC, and OFC after the work shift (Figure 4c).
Figure 4.
The group connectivity was calculated from oxy_Hb before and after work in 3 shifts of coal mine workers. Only connections with absolute z-values greater than 0.7 were displayed. Brain map images were generated using BrainNet Viewer software [58]. (a) Group 1. (b) Group 2. (c) Group 3.
3.3. Brain Network Analysis
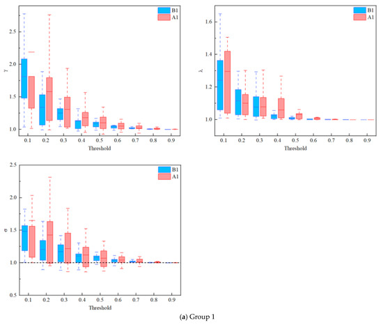
For the brain network analysis, the threshold of this study was conducted to a range of As shown in Figure 5, , , and were chosen to denote the network efficiency in these three groups before and after the work shift. Consistent with previous studies, for all three groups of coal mine workers before and after their shifts, , , and increased with the threshold, while decreased as the threshold increased [50,51]. The results of these network characteristics above showed that there were stable small-world characteristics of PFC functional networks in their before and after work shifts for all three groups of coal mine workers [51,59].


Figure 5.
Comparison of the brain network among 3 shifts coal mine workers between before and after shift work: network efficiency. The horizontal axes show the threshold values (T∈(0.1:0.1:0.9)), and the vertical axes show the network properties indexes (p < 0.05). (a) Group 1. (b) Group 2. (c) Group 3.
The small-world analysis results for three groups are displayed in Figure 6. Similar to the results of previous studies, the small-world parameters () decreased with increasing thresholds for all three groups of coal mine workers before and after their work shifts [51,59,60]. In addition, all the represented a small-world property of the resting-state brain networks of all three groups of coal mine workers before and after their shifts.


Figure 6.
Comparison of the brain network among 3 shifts coal mine workers between before and after shift work: small worldness (). (a) Group 1. (b) Group 2. (c) Group 3.
The oxy-Hb-based group differences in betweenness centrality and nodal local efficiency during the resting state were available in Table 4 and Table 5, provided with a paired t-test (p < 0.05). The results showed that there were significant differences between before and after work shifts in group 1 and group 3, while there were no differences before and after work shifts in group 2 (p < 0.05). In particular, CH15 (belong to FPC) passed the paired t-test in betweenness centrality in group 1 (p = 0.0483) and CH19 (belong to OFC) in group 3 (p = 0.039). Further, CH18 (belong to dlPFC) passed the paired t-test in nodal local efficiency in group 1 (p = 0.0395) and CH14 (belong to dlPFC) in group 3 (p = 0.0475).
Table 4.
Group differences in betweenness centrality during resting state.
Table 5.
Group differences in nodal local efficiency during resting state.
4. Discussion
In this study, an rs-fNIRS measurement was adopted to test the differences in functional connectivity and brain networks in PFC between before and after the work shifts in the morning shift workers, afternoon shift workers, and night shift workers. To the best of our knowledge, this study is the first to investigate the effect of shift work on coal mine workers’ mental states from a brain science perspective. Firstly, the coal mine workers’ brain functional connectivity was significantly correlated with marital status (p = 0.038) and education information (p = 0.019). Secondly, there were significant differences in the before and after work shift mental states of coal mine workers among three shifts (p < 0.05). In particular, for the morning and afternoon shifts coal mine workers, after work shifts’ functional connectivity was decreased than before the work shift (p < 0.05). The results showed a significant difference in COR matrices between before and after the work shift of the morning shift coal mine workers in the brain region of dlPFC, dlPFC-FPC, dlPFC-OFC, and OFC. For the afternoon shift coal mine workers, the differences in COR matrices before and after work shifts were mainly concentrated in the brain region of dlPFC, dlPFC-FPC, FPC, FPC-OFC, and dlPFC-OFC. Further, compared to the morning and afternoon shift workers, the functional connectivity results for the night shift coal mine workers were opposite (p < 0.05). The COR matrices were significantly increased in the brain region of dlPFC-FPC, FPC, and dlPFC after the work shifts than that before the work shifts. Thirdly, we also discovered that all the states of the morning, afternoon, and night coal mine shift workers exhibited small-world properties in the PFC. Fourthly, significant differences were found in betweenness centrality and nodal local efficiency between before and after the work shifts, both in the morning and night shift workers (p < 0.05).
Among the demographic characteristics, marital status and education information may influence the coal mine workers’ brain functional connectivity. Functional connectivity intensity in PFC is significantly associated with cognitive function [61]. Similar to previous studies, low educational attainment or a correlate predicts cognitive decline [25,61]. Compared with married people, it might be easier to suffer from diseases related to a cognitive impairment, such as Alzheimer’s disease, for single and divorced people [62].
The results of our experiments demonstrate that the cognitive function was significantly different before the work shift to the end of the shift in these three shifts of coal mine workers. Therein, the cognitive function performance was lowest among the night shift coal mine workers, followed by the afternoon shift and finally the morning shift, which is consistent with previous studies [14,15]. It has already been demonstrated that the night shift workers experience more fatigue than the morning and afternoon shift workers [63]. Similar to nurses, at the end of the night shift, physical and mental fatigue and cognitive function of coal mine workers were severely impaired, which may lead to operator errors and unsafe behavior [16,64,65].
Concerning the connectivity patterns of B1 and A1, our analysis demonstrated that the resting-state functional connectivity of B1 in the dlPFC, dlPFC-FPC, dlPFC-OFC, and OFC were connected more intensively. It is well accepted that PFC is the key region of complex cognitive control. Specifically, dlPFC mediates executive functions such as planning, working memory, monitoring, selective attention, and inhibiting pre-programmed behavior [66,67,68]. The FPC is crucial for complex human cognitive abilities such as multitasking ability [69]. The OFC is involved in controlling and correcting reward-related and punishment-related behavior, and thus in emotion and touch [70]. This means that after the work shifts, group 1 was more easily experienced a decline in concentration, accompanied by reduced multitasking skills and emotional control.
Similar to group 1, the resting-state functional connectivity of B2 was stronger than that of A2 in the dlPFC, dlPFC-FPC, FPC, FPC-OFC, and dlPFC-OFC. In other words, after the work shifts, the executive functions, complex cognitive abilities, and emotion and touch perception were declined in group 2. Consistent with the results of behavioral experiments and psychometric scales by Reza Kazemi et al., our study showed a decreased cognitive performance of coal mine workers at the end of the morning shifts [13]. On the same lines, behavioral experiments by Azam Esmaily et al. showed that shift work can affect the cognitive function (working memory and attention) of nurses [15]. Lower cognitive performance such as poor concentration, fatigue, and sleepiness can trigger the near-miss events that lead to the unsafe behavior of coal mine workers [65].
It was found that the functional connectivity of group 3 was increased from before and to the end of the shift. The main differences were concentrated in the dlPFC-FPC, FPC, and dlPFC. That is, improved executive functions, including attention, working memory, and multitasking, were found after the work shift in group 3 compared to before their shift. In line with the EEG study, participants with distracted attention had stronger functional brain connectivity intensity [71]. Interestingly, an experiment by Azam Esmaily Reza Kazemi et al. demonstrated that among the three shifts, the cognitive function was decreased most prominently after the night shift [15]. Our results are different from the previous report, perhaps because the work content of the night shift is different from the morning and afternoon shifts. According to the regulations of Hongliulin Coal Company, the morning and afternoon shifts are coal mining production shifts, while the night shift is the maintenance and repair shifts. Compared to the production shift, the working environment of the maintenance and repair shift is relatively good, without production noise and dust. The effects of different work contents and work environments on the cognitive function of three-shift coal mine workers can be further investigated in the future.
Based on these analyses, the brain network differences among the three groups were analyzed. The results showed that the trends in , , and of all the states among the 3 groups under 10 thresholds were in line with previous studies, with no significant differences between before and after shifts [50,59,72]. Further, the small-world properties of the brain networks of all the states among the three groups were calculated separately, and the results were greater than 1. That is, the rs-fNIRS brain network data of all groups exhibited small-world properties.
Notably, the results of the two-sample t-test showed that there were significant differences between in betweenness centrality and nodal local efficiency before and after work shifts in group 1 and group 3, while there were no differences before and after work shifts in group 2. Concretely, the significant differences for betweenness centrality in the FPC in group 1. Cortically, the larger betweenness centrality indicates the greater influence of the target region as a hub within the brain network [73]. That is, the multitasking ability was significantly different between B1 and A1. It coincides with the study by Marja-Leena Haavisto Reza Kazemi et al. that shift work can impair multitasking performance [74]. In addition, there were also significant differences for betweenness centrality in the OFC in group 3, which may indicate that emotion control was reduced in the night shift work. Our results were in line with the study by Dov Zohar Reza Kazemi et al. that sleep loss impaired emotional reactivity [75]. Moreover, the significant differences in nodal local efficiency in the dlPFC in both group 1 and group 3. The higher nodal local efficiency represents better efficiency of information transformation within a local subgraph consisting of only the neighbors of a given node [57]. Consistent with the results of the study by Ann Rhéaume Reza Kazemi et al., cognitive performance was declined after long work hours and shift work [65].
As far as we know, our study is a preliminary one, drawing attention to the correlation between cognitive functions and shift work in coal mine workers in the real field from the perspective of brain science. In addition, this research has some limitations. First, the sample size of this study was relatively small. Second, the tests after shifts may have been affected by a time constraint. Due to the special working conditions of coal mine workers underground, the experiments were conducted after the miners had gone up the shaft and washed up. Third, the present study only observed the brain functional connectivity of the same miners before and after the work shift. In the future, the same subjects could be observed continuously for multiple days to further explore the effect of shift work on the cognitive abilities of coal mine workers.
5. Conclusions
The results of this study show that working a shift for an extended period can significantly affect cognitive function among coal mine workers. On the one hand, the results showed that there were significant differences in cognitive ability between before and after the work shifts among the three-shift workers. The brain functional connectivity was reduced ranking during the night, afternoon, and morning shifts. Decreased brain functional connectivity at the end of the working shift was found compared with before in the morning and afternoon shifts. Opposite results were obtained during the night shift. On the other hand, significant differences were found in betweenness centrality and nodal local efficiency in the morning and the night shift. The current findings also provide new insights regarding the effect of shift work on the cognitive ability of Chinses coal mine workers. Ideally, combining fNIRS with psychological scales and behavior experiments can be used to investigate the influence of shift work on cognitive function among coal mine workers in future studies.
Author Contributions
Conceptualization, F.T., H.L. and S.T.; methodology, F.T.; software, F.T.; validation, H.L. and S.T.; formal analysis, F.T.; investigation, F.T.; resources, F.T.; data curation, F.T.; writing—original draft preparation, F.T.; writing—review and editing, H.L., S.T., C.T. and J.S.; visualization, F.T.; super-vision, H.L. and S.T.; project administration, H.L. and S.T.; funding acquisition, H.L. and S.T. All authors have read and agreed to the published version of the manuscript.
Funding
This research was funded by the National Natural Science Foundation of China, grant number 51874237; U1904210; 71273208; National Social Science Foundation of China, grant number 20XGL025.
Institutional Review Board Statement
The study was conducted according to the guidelines of the Declaration of Helsinki and approved by the Institutional Review Board of Xi’an University of Science and Technology (protocol code 2020S004 and date of approval 31 July 2020).
Informed Consent Statement
Informed consent was obtained from all subjects involved in the study. Written informed consent has been obtained from the patient(s) to publish this paper.
Data Availability Statement
The data that support the findings of this study are available from the corresponding author upon reasonable request.
Acknowledgments
The authors would like to thank the Shaanxi Coal Group Northern Shaanxi Mining Hongliulin Company and the participants for their participation in the study.
Conflicts of Interest
The authors declare no conflict of interest.
References
- Association, C.N.C. China Coal Industry Development Annual Report 2020. Available online: http://www.coalchina.org.cn/uploadfile/2021/0303/20210303022435291.pdf (accessed on 15 January 2020).
- Torquati, L.; Mielke, G.I.; Brown, W.J.; Burton, N.W.; Kolbe-Alexander, T.L. Shift Work and Poor Mental Health: A Meta-Analysis of Longitudinal Studies. Am. J. Public Health 2019, 109, e13–e20. [Google Scholar] [CrossRef] [PubMed]
- Caruso, C.C. Negative Impacts of Shiftwork and Long Work Hours. Rehabil. Nurs. 2014, 39, 16–25. [Google Scholar] [CrossRef] [PubMed] [Green Version]
- Thomas, M.; Ing, H.S.; Elenky, G.B.; Holcomb, H.; Mayberg, H.; Dannals, R.O.; Wagner, H.; Horne, D.T.; Opp, K.P.; Rowland, L.; et al. Neural basis of alertness and cognitive performance impairments during sleepiness. I. Effects of 24 h of sleep deprivation on waking human regional brain activity. J. Sleep Res. 2000, 9, 335–352. [Google Scholar] [CrossRef] [Green Version]
- Costa, C.; Mondello, S.; Micali, E.; Indelicato, G.; Licciardello, A.A.; Vitale, E.; Briguglio, G.; Teodoro, M.; Fenga, C. Night shift work in resident physicians: Does it affect mood states and cognitive levels? J. Affect. Disord. 2020, 272, 289–294. [Google Scholar] [CrossRef] [PubMed]
- Tvaryanas, A.P.; MacPherson, G.D. Fatigue in Pilots of Remotely Piloted Aircraft before and after Shift Work Adjustment. Aviat. Space Environ. Med. 2009, 80, 454–461. [Google Scholar] [CrossRef]
- Pereira, H.; Fehér, G.; Tibold, A.; Monteiro, S.; Costa, V.; Esgalhado, G. The Impact of Shift Work on Occupational Health Indicators among Professionally Active Adults: A Comparative Study. Int. J. Environ. Res. Public Health 2021, 18, 11290. [Google Scholar] [CrossRef] [PubMed]
- Zhang, Y.; Shao, W.; Zhang, M.; Li, H.; Yin, S.; Xu, Y. Analysis 320 coal mine accidents using structural equation modeling with unsafe conditions of the rules and regulations as exogenous variables. Accid. Anal. Prev. 2016, 92, 189–201. [Google Scholar] [CrossRef] [PubMed]
- Fu, G.; Xie, X.; Jia, Q.; Tong, W.; Ge, Y. Accidents analysis and prevention of coal and gas outburst: Understanding human errors in accidents. Process Saf. Environ. Prot. 2020, 134, 1–23. [Google Scholar] [CrossRef]
- Chen, H.; Qi, H.; Long, R.; Zhang, M. Research on 10-year tendency of China coal mine accidents and the characteristics of human factors. Saf. Sci. 2012, 50, 745–750. [Google Scholar] [CrossRef]
- Allahyari, T.; Rangi, N.H.; Khalkhali, H.R.; Khosravi, Y. Occupational Cognitive Failures and Safety Performance in the Workplace. Int. J. Occup. Saf. Ergon. 2014, 20, 175–180. [Google Scholar] [CrossRef]
- Rouch, I.; Wild, P.; Ansiau, D.; Marquié, J.-C. Shiftwork experience, age and cognitive performance. Ergonomics 2005, 48, 1282–1293. [Google Scholar] [CrossRef]
- Kazemi, R.; Haidarimoghadam, R.; Motamedzadeh, M.; Golmohammadi, R.; Soltanian, A.; Zoghipaydar, M.R. Effects of Shift Work on Cognitive Performance, Sleep Quality, and Sleepiness among Petrochemical Control Room Operators. J. Circadian Rhythm. 2016, 14, 1. [Google Scholar] [CrossRef] [Green Version]
- Legault, G.; Clement, A.; Kenny, G.P.; Hardcastle, S.; Keller, N. Cognitive consequences of sleep deprivation, shiftwork, and heat exposure for underground miners. Appl. Ergon. 2017, 58, 144–150. [Google Scholar] [CrossRef]
- Esmaily, A.; Jambarsang, S.; Mohammadian, F.; Mehrparvar, A.H. Effect of shift work on working memory, attention and response time in nurses. Int. J. Occup. Saf. Ergon. 2021, 1–6. [Google Scholar] [CrossRef]
- Kang, J.; Noh, W.; Lee, Y. Sleep quality among shift-work nurses: A systematic review and meta-analysis. Appl. Nurs. Res. 2020, 52, 151227. [Google Scholar] [CrossRef] [PubMed]
- Maltese, F.; Adda, M.; Bablon, A.; Hraeich, S.; Guervilly, C.; Lehingue, S.; Wiramus, S.; Leone, M.; Martin, C.; Vialet, R.; et al. Night shift decreases cognitive performance of ICU physicians. Intensiv. Care Med. 2016, 42, 393–400. [Google Scholar] [CrossRef]
- Kaliyaperumal, D. Effects of Sleep Deprivation on the Cognitive Performance of Nurses Working in Shift. J. Clin. Diagn. Res. 2017, 11, CC01–CC03. [Google Scholar] [CrossRef] [PubMed]
- Killgore, W.D.S.; Grugle, N.L.; Balkin, T.J. Gambling When Sleep Deprived: Don’t Bet on Stimulants. Chronobiol. Int. 2012, 29, 43–54. [Google Scholar] [CrossRef] [PubMed]
- Legault, G. Sleep and Heat Related Changes in the Cognitive Performance of Underground Miners: A Possible Health and Safety Concern. Minerals 2011, 1, 49–72. [Google Scholar] [CrossRef] [Green Version]
- Ferguson, S.A.; Paech, G.; Dorrian, J.; Roach, G.; Jay, S.M. Performance on a simple response time task: Is sleep or work more important for miners? Appl. Ergon. 2011, 42, 210–213. [Google Scholar] [CrossRef]
- Loudoun, R.; Muurlink, O.; Peetz, D.; Murray, G. Does age affect the relationship between control at work and sleep disturbance for shift workers? Chronobiol. Int. 2014, 31, 1190–1200. [Google Scholar] [CrossRef] [Green Version]
- Yu, H.; Chen, H.; Long, R. Mental fatigue, cognitive bias and safety paradox in chinese coal mines. Resour. Policy 2017, 52, 165–172. [Google Scholar] [CrossRef]
- Pizarro-Montaner, C.; Cancino-Lopez, J.; Reyes-Ponce, A.; Flores-Opazo, M. Interplay between rotational work shift and high altitude-related chronic intermittent hypobaric hypoxia on cardiovascular health and sleep quality in Chilean miners. Ergonomics 2020, 63, 1281–1292. [Google Scholar] [CrossRef]
- Zhao, X.-C.; Han, K.-Y.; Gao, Y.-Y.; Li, N.; Wang, L.; Yu, L.-L.; Song, M.; Wang, X.-Y. Effects of shift work on sleep and cognitive function among male miners. Psychiatry Res. 2021, 297, 113716. [Google Scholar] [CrossRef] [PubMed]
- Lavigne, A.-A.; Hébert, M.; Auclair, J.; Laberge, L. Good Sleep Quality and Progressive Increments in Vigilance During Extended Night Shifts: A 14-Day Actigraphic Study in Underground Miners. J. Occup. Environ. Med. 2020, 62, e754–e759. [Google Scholar] [CrossRef] [PubMed]
- Hulme, A.; Stanton, N.A.; Walker, G.H.; Waterson, P.; Salmon, P.M. Accident analysis in practice: A review of Human Factors Analysis and Classification System (HFACS) applications in the peer reviewed academic literature. Proc. Hum. Factors Ergon. Soc. Annu. Meet. 2019, 63, 1849–1853. [Google Scholar] [CrossRef]
- Haidarimoghadam, R.; Kazemi, R.; Motamedzade, M.; Golmohamadi, R.; Soltanian, A.R.; Zoghipaydar, M.R. The effects of consecutive night shifts and shift length on cognitive performance and sleepiness: A field study. Int. J. Occup. Saf. Ergon. 2016, 23, 251–258. [Google Scholar] [CrossRef] [PubMed]
- Zarjam, P.; Epps, J.; Lovell, N. Beyond Subjective Self-Rating: EEG Signal Classification of Cognitive Workload. IEEE Trans. Auton. Ment. Dev. 2015, 7, 301–310. [Google Scholar] [CrossRef]
- Chen, F.; Ruiz, N.; Choi, E.; Epps, J.; Khawaja, M.A.; Taib, R.; Yin, B.; Wang, Y. Multimodal behavior and interaction as indicators of cognitive load. ACM Trans. Interact. Intell. Syst. 2012, 2, 22. [Google Scholar] [CrossRef]
- Ferrari, M.; Quaresima, V. A brief review on the history of human functional near-infrared spectroscopy (fNIRS) development and fields of application. NeuroImage 2012, 63, 921–935. [Google Scholar] [CrossRef]
- Hu, Z.; Liu, G.; Dong, Q.; Niu, H. Applications of Resting-State fNIRS in the Developing Brain: A Review from the Connectome Perspective. Front. Neurosci. 2020, 14, 476. [Google Scholar] [CrossRef] [PubMed]
- Tian, F.; Li, H.; Tian, S.; Tian, C.; Shao, J. Is There a Difference in Brain Functional Connectivity between Chinese Coal Mine Workers Who Have Engaged in Unsafe Behavior and Those Who Have Not? Int. J. Environ. Res. Public Health 2022, 19, 509. [Google Scholar] [CrossRef] [PubMed]
- Carlén, M. What constitutes the prefrontal cortex? Science 2017, 358, 478–482. [Google Scholar] [CrossRef] [PubMed] [Green Version]
- Bose, R.; Abbasi, N.I.; Thakor, N.; Bezerianos, A.; Dragomir, A. Cognitive State Assessment and Monitoring: A Brain Connectivity Perspective; Springer: Berlin/Heidelberg, Germany, 2021; pp. 1–27. [Google Scholar]
- Urquhart, E.L.; Wang, X.; Liu, H.; Fadel, P.J.; Alexandrakis, G. Differences in Net Information Flow and Dynamic Connectivity Metrics Between Physically Active and Inactive Subjects Measured by Functional Near-Infrared Spectroscopy (fNIRS) During a Fatiguing Handgrip Task. Front. Neurosci. 2020, 14, 167. [Google Scholar] [CrossRef] [PubMed]
- Nguyen, T.; Babawale, O.; Kim, T.; Jo, H.J.; Liu, H.; Kim, J.G. Exploring brain functional connectivity in rest and sleep states: A fNIRS study. Sci. Rep. 2018, 8, 16144. [Google Scholar] [CrossRef]
- Miller, E.K.; Cohen, J.D. An Integrative Theory of Prefrontal Cortex Function. Annu. Rev. Neurosci. 2001, 24, 167–202. [Google Scholar] [CrossRef] [Green Version]
- Wang, M.; Yuan, Z.; Niu, H. Reliability evaluation on weighted graph metrics of fNIRS brain networks. Quant. Imaging Med. Surg. 2019, 9, 832–841. [Google Scholar] [CrossRef]
- Borragán, G.; Guerrero-Mosquera, C.; Guillaume, C.; Slama, H.; Peigneux, P. Decreased prefrontal connectivity parallels cognitive fatigue-related performance decline after sleep deprivation. An optical imaging study. Biol. Psychol. 2019, 144, 115–124. [Google Scholar] [CrossRef] [Green Version]
- Ji, X.; Quan, W.; Yang, L.; Chen, J.; Wang, J.; Wu, T. Classification of Schizophrenia by Seed-based Functional Connectivity using Prefronto-Temporal Functional Near Infrared Spectroscopy. J. Neurosci. Methods 2020, 344, 108874. [Google Scholar] [CrossRef]
- Molavi, B.; Dumont, G. Wavelet-based motion artifact removal for functional near-infrared spectroscopy. Physiol. Meas. 2012, 33, 259–270. [Google Scholar] [CrossRef]
- Duncan, A.; Meek, J.H.; Clemence, M.; Elwell, C.; Tyszczuk, L.; Cope, M.; Delpy, D.T. Optical pathlength measurements on adult head, calf and forearm and the head of the newborn infant using phase resolved optical spectroscopy. Phys. Med. Biol. 1995, 40, 295–304. [Google Scholar] [CrossRef] [PubMed] [Green Version]
- Cope, M.; Delpy, D.T. System for long-term measurement of cerebral blood and tissue oxygenation on newborn infants by near infra-red transillumination. Med Biol. Eng. Comput. 1988, 26, 289–294. [Google Scholar] [CrossRef] [PubMed]
- Xu, S.-Y.; Lu, F.-M.; Wang, M.-Y.; Hu, Z.-S.; Zhang, J.; Chen, Z.-Y.; Armada-Da-Silva, P.; Yuan, Z. Altered Functional Connectivity in the Motor and Prefrontal Cortex for Children with Down’s Syndrome: An fNIRS Study. Front. Hum. Neurosci. 2020, 14, 6. [Google Scholar] [CrossRef] [PubMed] [Green Version]
- Lin, X.; Xu, S.; Ieong, H.F.-H.; Yuan, Z. Optical mapping of prefrontal activity in pathological gamblers. Appl. Opt. 2017, 56, 5948. [Google Scholar] [CrossRef] [PubMed]
- Mukli, P.; Csipo, T.; Lipecz, A.; Stylianou, O.; Racz, F.S.; Owens, C.D.; Perry, J.W.; Tarantini, S.; Sorond, F.A.; Kellawan, J.M.; et al. Sleep deprivation alters task-related changes in functional connectivity of the frontal cortex: A near-infrared spectroscopy study. Brain Behav. 2021, 11, e02135. [Google Scholar] [CrossRef]
- Geng, S.; Liu, X.; Biswal, B.B.; Niu, H. Effect of Resting-State fNIRS Scanning Duration on Functional Brain Connectivity and Graph Theory Metrics of Brain Network. Front. Neurosci. 2017, 11, 392. [Google Scholar] [CrossRef] [Green Version]
- Baldassarre, A.; Lewis, C.M.; Committeri, G.; Snyder, A.Z.; Romani, G.L.; Corbetta, M. Individual variability in functional connectivity predicts performance of a perceptual task. Proc. Natl. Acad. Sci. USA 2012, 109, 3516–3521. [Google Scholar] [CrossRef] [Green Version]
- Wang, M.-Y.; Zhang, J.; Lu, F.-M.; Xiang, Y.-T.; Yuan, Z. Neuroticism and conscientiousness respectively positively and negatively correlated with the network characteristic path length in dorsal lateral prefrontal cortex: A resting-state fNIRS study. Brain Behav. 2018, 8, e01074. [Google Scholar] [CrossRef]
- Ieong, H.F.-H.; Yuan, Z. Abnormal resting-state functional connectivity in the orbitofrontal cortex of heroin users and its relationship with anxiety: A pilot fNIRS study. Sci. Rep. 2017, 7, srep46522. [Google Scholar] [CrossRef] [PubMed] [Green Version]
- Humphries, M.D.; Gurney, K. Network ‘Small-World-Ness’: A Quantitative Method for Determining Canonical Network Equivalence. PLoS ONE 2008, 3, e0002051. [Google Scholar] [CrossRef] [PubMed]
- Fan, S.; Blanco-Davis, E.; Zhang, J.; Bury, A.; Warren, J.; Yang, Z.; Yan, X.; Wang, J.; Fairclough, S. The Role of the Prefrontal Cortex and Functional Connectivity during Maritime Operations: An fNIRS study. Brain Behav. 2020, 11, e01910. [Google Scholar] [CrossRef] [PubMed]
- Wu, C.; Sun, J.; Wang, T.; Zhao, C.; Zheng, S.; Lei, C.; Peng, H. An Application of Affective Computing on Mental Disorders: A Resting State fNIRS Study. IFAC-Pap. OnLine 2020, 53, 464–469. [Google Scholar] [CrossRef]
- Ewang, J.; Ewang, X.; Exia, M.; Eliao, X.; Eevans, A.; Ehe, Y. GRETNA: A graph theoretical network analysis toolbox for imaging connectomics. Front. Hum. Neurosci. 2015, 9, 386. [Google Scholar] [CrossRef] [Green Version]
- Racz, F.S.; Mukli, P.; Nagy, Z.; Eke, A. Increased prefrontal cortex connectivity during cognitive challenge assessed by fNIRS imaging. Biomed. Opt. Express 2017, 8, 3842–3855. [Google Scholar] [CrossRef] [PubMed] [Green Version]
- Cao, W.; Zhu, H.; Li, Y.; Wang, Y.; Bai, W.; Lao, U.; Zhang, Y.; Ji, Y.; He, S.; Zou, X. The Development of Brain Network in Males with Autism Spectrum Disorders from Childhood to Adolescence: Evidence from fNIRS Study. Brain Sci. 2021, 11, 120. [Google Scholar] [CrossRef] [PubMed]
- Xia, M.; Wang, J.; He, Y. BrainNet Viewer: A Network Visualization Tool for Human Brain Connectomics. PLoS ONE 2013, 8, e68910. [Google Scholar] [CrossRef] [PubMed] [Green Version]
- Niu, H.; Wang, J.; Zhao, T.; Shu, N.; He, Y. Revealing Topological Organization of Human Brain Functional Networks with Resting-State Functional near Infrared Spectroscopy. PLoS ONE 2012, 7, e45771. [Google Scholar] [CrossRef] [Green Version]
- Ieong, H.F.-H.; Yuan, Z. Emotion recognition and its relation to prefrontal function and network in heroin plus nicotine dependence: A pilot study. Neurophotonics 2018, 5, 025011. [Google Scholar] [CrossRef] [PubMed]
- Evans, D.A.; Beckett, L.A.; Albert, M.S.; Hebert, L.E.; Scherr, P.A.; Funkenstein, H.; Taylor, J.O. Level of education and change in cognitive function in a community population of older persons. Ann. Epidemiol. 1993, 3, 71–77. [Google Scholar] [CrossRef]
- Xu, P.-R.; Wei, R.; Cheng, B.-J.; Wang, A.-J.; Li, X.-D.; Li, H.-B.; Sun, L.; Du, J.; Sheng, J.; Liu, K.-Y.; et al. The association of marital status with cognitive function and the role of gender in Chinese community-dwelling older adults: A cross-sectional study. Aging Clin. Exp. Res. 2021, 33, 2273–2281. [Google Scholar] [CrossRef]
- Lim, J.; Dinges, D.F. A meta-analysis of the impact of short-term sleep deprivation on cognitive variables. Psychol. Bull. 2010, 136, 375–389. [Google Scholar] [CrossRef] [PubMed]
- Bae, S.-H.; Fabry, D. Assessing the relationships between nurse work hours/overtime and nurse and patient outcomes: Systematic literature review. Nurs. Outlook 2014, 62, 138–156. [Google Scholar] [CrossRef] [PubMed]
- Rhéaume, A.; Mullen, J. The impact of long work hours and shift work on cognitive errors in nurses. J. Nurs. Manag. 2018, 26, 26–32. [Google Scholar] [CrossRef] [PubMed]
- Zhao, J.; Liu, J.; Jiang, X.; Zhou, G.; Chen, G.; Ding, X.P.; Fu, G.; Lee, K. Linking Resting-State Networks in the Prefrontal Cortex to Executive Function: A Functional Near Infrared Spectroscopy Study. Front. Neurosci. 2016, 10, 452. [Google Scholar] [CrossRef] [PubMed] [Green Version]
- Dolan, M.; Park, I. The neuropsychology of antisocial personality disorder. Psychol. Med. 2002, 32, 417–427. [Google Scholar] [CrossRef] [PubMed]
- Özdemir, P.G.; Selvi, Y.; Özkol, H.; Aydın, A.; Tülüce, Y.; Boysan, M.; Beşiroğlu, L. The influence of shift work on cognitive functions and oxidative stress. Psychiatry Res. 2013, 210, 1219–1225. [Google Scholar] [CrossRef] [PubMed]
- Dreher, J.-C.; Koechlin, E.; Tierney, M.; Grafman, J.H. Damage to the Fronto-Polar Cortex Is Associated with Impaired Multitasking. PLoS ONE 2008, 3, e3227. [Google Scholar] [CrossRef]
- Rolls, E.T. The functions of the orbitofrontal cortex. Brain Cogn. 2004, 55, 11–29. [Google Scholar] [CrossRef]
- Chen, J.; Wang, H.; Hua, C.; Wang, Q.; Liu, C. Graph analysis of functional brain network topology using minimum spanning tree in driver drowsiness. Cogn. Neurodyn. 2018, 12, 569–581. [Google Scholar] [CrossRef]
- Qi, P.; Ru, H.; Gao, L.; Zhang, X.; Zhou, T.; Tian, Y.; Thakor, N.; Bezerianos, A.; Li, J.; Sun, Y. Neural Mechanisms of Mental Fatigue Revisited: New Insights from the Brain Connectome. Engineering 2019, 5, 276–286. [Google Scholar] [CrossRef]
- Li, R.; Nguyen, T.; Potter, T.; Zhang, Y. Dynamic cortical connectivity alterations associated with Alzheimer’s disease: An EEG and fNIRS integration study. NeuroImage Clin. 2019, 21, 101622. [Google Scholar] [CrossRef] [PubMed]
- Haavisto, M.-L.; Porkka-Heiskanen, T.; Hublin, C.; Härmä, M.; Mutanen, P.; Müller, K.; Virkkala, J.; Sallinen, M. Sleep restriction for the duration of a work week impairs multitasking performance. J. Sleep Res. 2010, 19, 444–454. [Google Scholar] [CrossRef] [PubMed]
- Zohar, D.; Tzischinsky, O.; Epstein, R.; Lavie, P. The Effects of Sleep Loss on Medical Residents’ Emotional Reactions to Work Events: A Cognitive-Energy Model. Sleep 2005, 28, 47–54. [Google Scholar] [CrossRef] [PubMed] [Green Version]
Publisher’s Note: MDPI stays neutral with regard to jurisdictional claims in published maps and institutional affiliations. |
© 2022 by the authors. Licensee MDPI, Basel, Switzerland. This article is an open access article distributed under the terms and conditions of the Creative Commons Attribution (CC BY) license (https://creativecommons.org/licenses/by/4.0/).










