Succession and Driving Factors of Periphytic Community in the Middle Route Project of South-to-North Water Division (Henan, China)
Abstract
1. Introduction
2. Materials and Methods
2.1. Study Site and Sampling Period
2.2. Algae Sample Collection and Identification
2.3. Physical and Chemical Parameters Collection and Determination
2.4. Data Collation and Analysis
2.4.1. Dominance Index
2.4.2. Statistical Analysis
3. Results
3.1. Analysis of Hydrological and Environmental Factors in the MRP
3.1.1. Dynamic Changes of Hydrological Factors
3.1.2. Principal Component Analysis of Environmental Factors
3.1.3. Physical and Chemical Properties of the Canal
3.2. Community Characteristics of Algal Species along the Canal
3.2.1. Species Composition of Periphytic Algae along the Canal
3.2.2. Changes in Abundance of Algae in Canals
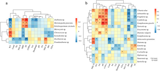
3.2.3. Dominant Species
3.3. Relationship between Community Structure and Environmental Factors of Algal Species
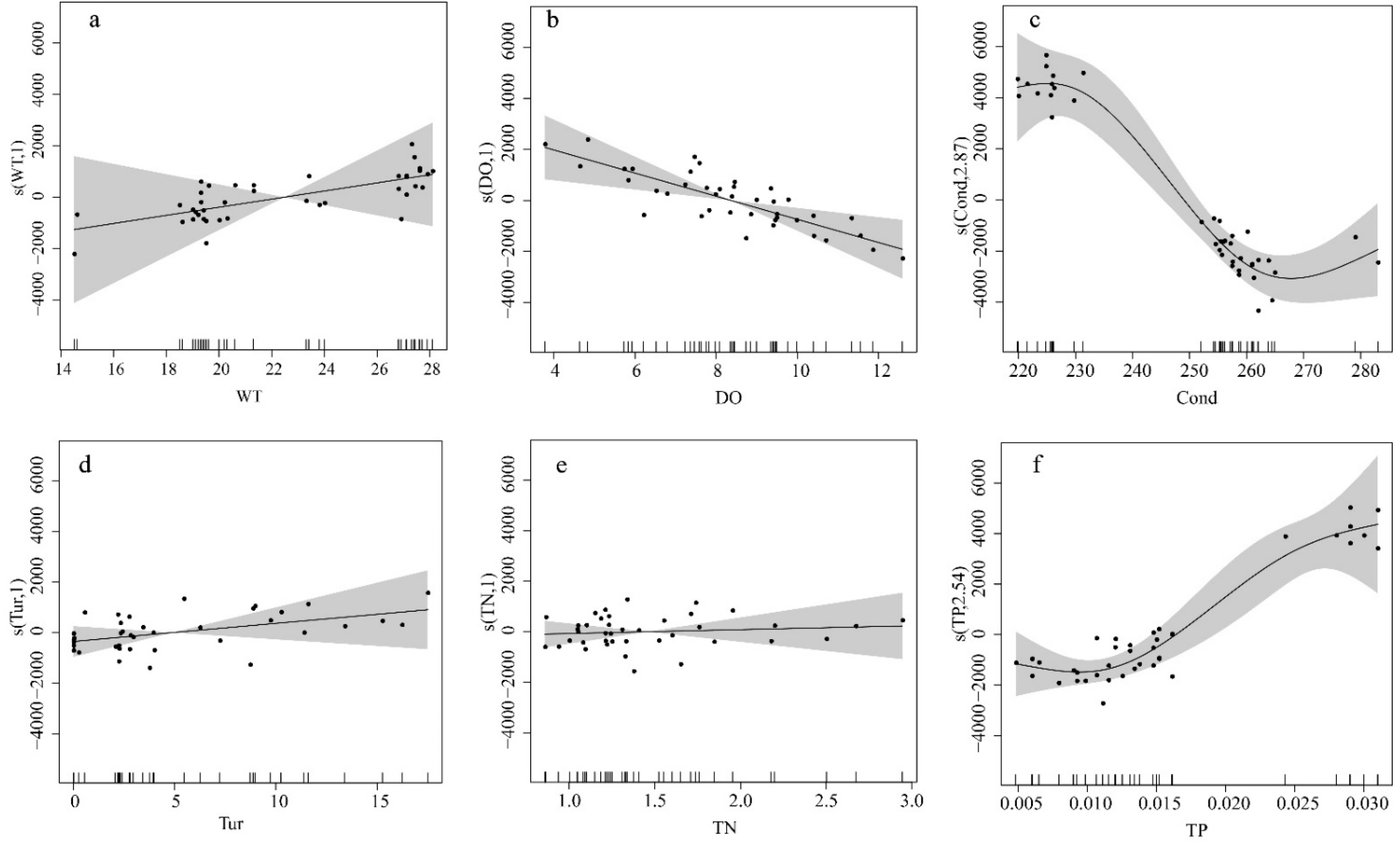
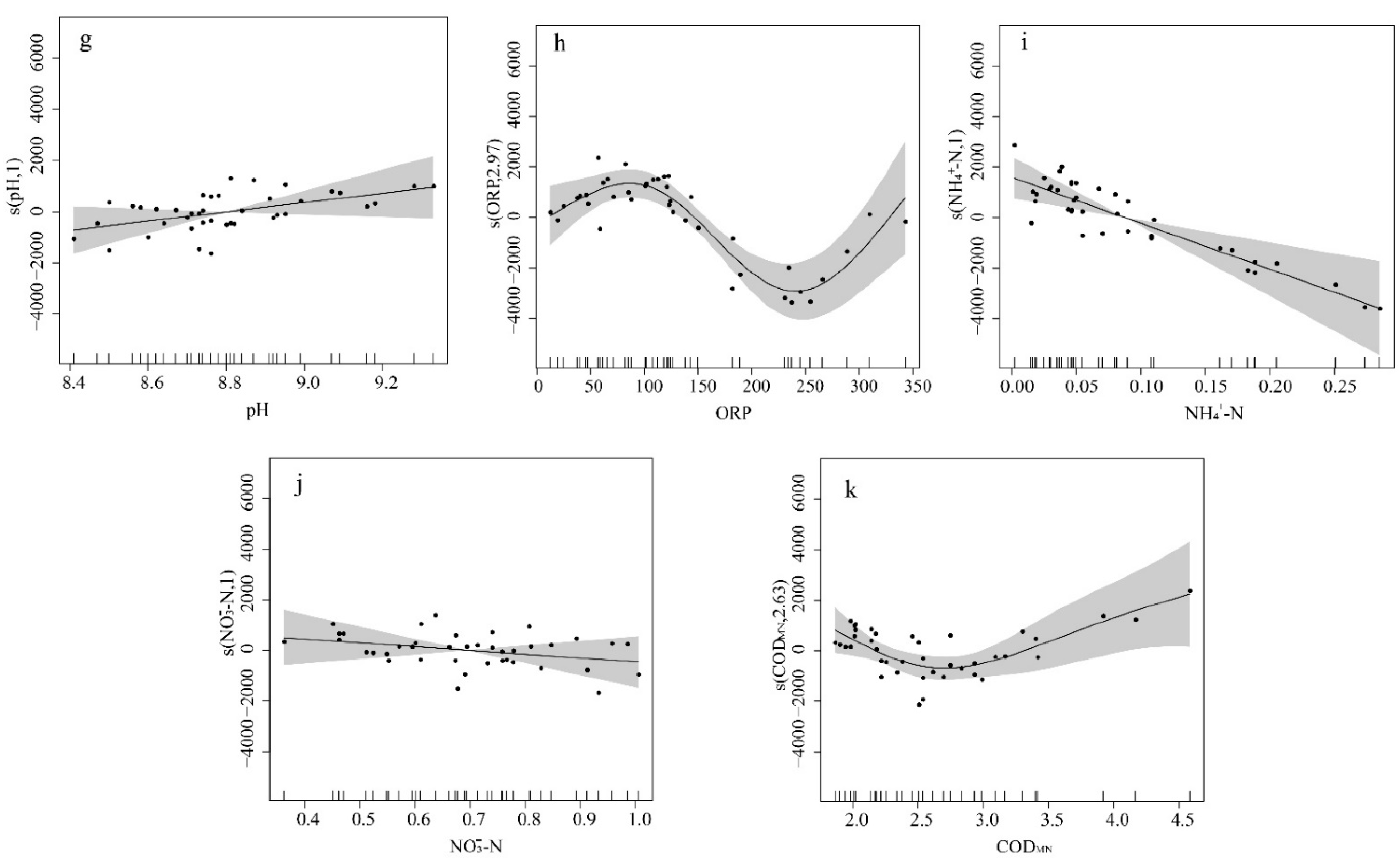
3.3.1. Relationship between Community Structure and Environmental Factors
3.3.2. Effect of Different Water Environment Factors on the Biomass of the Periphytic Algae
4. Discussion
4.1. Structure and Process of Algal Community
4.2. Influence of Environmental Factors on the Community of the Periphytic Algae
5. Conclusions
Author Contributions
Funding
Institutional Review Board Statement
Informed Consent Statement
Data Availability Statement
Acknowledgments
Conflicts of Interest
References
- Liu, J.K. Advanced Aquatic Biology; Science Press: Beijing, China, 1999. [Google Scholar]
- Lan, B. Ecological Study of the Periphyton of Lake Erhai. Master’s Thesis, Central China Normal University, Wuhan, China, 2011. [Google Scholar]
- Lishani, W.; Wu, N.C.; Nicola, F.; Tenna, R. Epiphytic biofilms in freshwater and interactions with macrophytes: Current understanding and future directions. Aquat. Bot. 2022, 176, 103467. [Google Scholar]
- Liang, X. Effect of Periphyton on Water Environment and Its Application in Water Quality Treatment. Ph.D. Thesis, East China Normal University, Shanghai, China, 2007. [Google Scholar]
- Cattaneo, A. Periphyton in Lakes of Different Trophy. Can. J. Fish. Aquat. Sci. 1987, 44, 296–303. [Google Scholar] [CrossRef]
- Yi, R.; Cai, D.S.; Zhang, Y.X. Benthic diatom assemblages distribution in Longjiang River, in relation to environmental factors. Environ. Sci. Technol. 2015, 38, 8. [Google Scholar]
- Lee, Y.O.; Park, J.H.; Park, J.K. Microbial Characterization of Excessive Growing Biofilm in Sewer Lines Using Molecular Technique. J. Microbiol. Biotechnol. 2005, 15, 938–945. [Google Scholar]
- Wu, D. Study on the Movement Characteristics of Algae Debris Particles. Master’s Thesis, Hebei University of Engineering, Handan, China, 2019. [Google Scholar]
- Chen, Z.J.; Chen, H.Y.; Li, Y.Y. Community structure and influencing factors of bacterioplankton in the Main Cancel of the Midline Project of South-to-North Water Division in sections of Henan Province. China Environ. Sci. 2017, 37, 1505–1513. [Google Scholar]
- Zhang, C.M.; Zhu, Y.X.; Song, G.F.; Mi, W.J.; Bi, Y.H. Spatiotemporal pattern of phytoplankton community structure and its determining factors in the channel of the middle route of South-to-North Water Diversion Project. J. Lake Sci. 2021, 33, 675–686. [Google Scholar]
- Yi, X.; Lin, J.Q.; Jin, Q.; Lei, X.; Yuan, R. A study on the phytoplankton community structure in the Diaohe River section of the Middle Route of the South-to-North Water Diversion Project in winter. Water Sci. Technol. Water Supply 2020, 21, 959–970. [Google Scholar]
- Nong, X.Z.; Shao, D.G.; Shang, Y.M.; Liang, J.K. Analysis of spatio-temporal variation in phytoplankton and its relationship with water quality parameters in the South-to-North Water Diversion Project of China. Environ. Monit. Assess. 2021, 193, 593. [Google Scholar] [CrossRef]
- Zhu, J.; Lei, X.H.; Quan, J.; Yue, X. Algae Growth Distribution and Key Prevention and Control Positions for the Middle Route of the South-to-North Water Diversion Project. Water 2019, 11, 1851. [Google Scholar] [CrossRef]
- Peck, D.V.; Herlihy, A.T.; Hill, B.H.; Hughes, R.M.; Kaufmann, P.R. Environmental Monitoring and Assessment Program: Surface Waters. Western Pilot Study: Field Operations Manual for Wadeable Streams. 2006. Available online: https://www.researchgate.net/publication/235943200_Environmental_Monitoring_and_Assessment_Program-Surface_Waters_Western_Pilot_Study_Field_Operations_Manual_for_Wadeable_Streams (accessed on 14 January 2022).
- Hu, H.J.; Wei, Y.X. The Freshwater Algae of China: Systematics, Taxonomy and Ecology; Beijing Science Press: Beijing, China, 2006. [Google Scholar]
- Resources, T.M.O.W. Map of Common Algae in Chinese Inland Waters; Changjiang Press: Wuhan, China, 2012. [Google Scholar]
- Shi, Z.X. Flora Algarum Sinicarum Aquae Dulcis; Science Press: Beijing, China, 2013. [Google Scholar]
- Sun, J.; Liu, D.; Qian, S. Study on phytoplankton biomass I. Phytoplankon measurement biomass from cell volime or plasma volume. Acta Oceanol. Sin. 1999, 21, 75–85. [Google Scholar]
- Zhang, Z.S.; Huang, X.F. Research Methods of Freshwater Plankton; Beijing Press: Beijing, China, 1991. [Google Scholar]
- China, M.E.A.E. Environmental Quality Standards for Surface Water. 2002. Available online: https://english.mee.gov.cn/Resources/standards/water_environment/quality_standard/200710/t20071024_111792.shtml (accessed on 14 January 2022).
- Administration, S.E.P. Methods for Monitoring and Analysis of Water and Wastewater, 4th ed.; China Environmental Science Press: Beijing, China, 2002. [Google Scholar]
- Oksanen, J.; Blanchet, F.G.; Kindt, R.; Legendre, P.; Minchin, P.R.; O’Hara, R.B.; Simpson, G.L.; Solymos, P.; Stevens, M.H.H.; Wagner, H. Vegan: Community Ecology Package. 2020. Available online: https://CRAN.R-project.org/package=vegan (accessed on 14 January 2022).
- Kolde, R. Pheatmap: Pretty Heatmaps. 2019. Available online: https://CRAN.R-project.org/package=pheatmap (accessed on 14 January 2022).
- Wickham, H. Ggplot2: Elegant Graphics for Data Analysis; Springer: New York, NY, USA, 2016. [Google Scholar]
- Hastie, T.J.; Tibshirani, R.J. Generalized Additive Models; CRC Press: New York, NY, USA, 1990; ISBN 9780412343902. [Google Scholar]
- Wood, S.N. Fast Stable Restricted Maximum Likelihood and Marginal Likelihood Estimation of Semiparametric Generalized Linear Models. J. R. Stat. Soc. Ser. B 2011, 73, 3–36. [Google Scholar] [CrossRef]
- Feng, T.Y.; Song, C.; Chen, J.Z. Environmental Indication Function of Aquatic Algae. Chin. Agric. Sci. Bull. 2011, 27, 257–265. [Google Scholar]
- Ja, X.H.; Wu, N.C.; Tang, T.; Cai, Q.H. Spatiotemporal variation of epilithic algae in Xiangxi River system. Chin. J. Appl. Ecol. 2008, 19, 881–886. [Google Scholar]
- Liu, H.P.; Ye, S.W.; Yang, X.F. Spatio-temporal dynamics of aquatic organism community and their relationships to environment in Niyang River, Tibet:2. periphytic algae. J. Lake Sci. 2013, 6, 907–915. [Google Scholar]
- Zheng, B.H.; Zhu, J.Y.; Xu, X.; Xin, Y. Community structure of periphyton algae and water quality in the Danjiangkou Reservoir. J. Henan Norm. Univ. 2018, 46, 95–101. [Google Scholar]
- Hao, B.B.; Wu, H.P.; Cao, Y.; Xing, W.; Jeppesen, E. Comparison of periphyton communities on natural and artificial macrophytes with contrasting morphological structures. Freshw. Biol. 2017, 62, 1783–1793. [Google Scholar] [CrossRef]
- Casartelli, M.R.; Ferragut, C. The effects of habitat complexity on periphyton biomass accumulation and taxonomic structure during colonization. Hydrobiologia 2018, 807, 233–246. [Google Scholar] [CrossRef]
- Rodríguez-Alcalá, O.; Blanco, S.; García-Girón, J.; Jeppesen, E. Large-scale geographical and environmental drivers of shallow lake diatom metacommunities across Europe. Sci. Total Environ. 2019, 707, 135887. [Google Scholar] [CrossRef]
- Roder, H.L.; Olsen, N.M.C.; Whiteley, M.; Burmolle, M. Unravelling interspecies interactions across heterogeneities in complex biofilm communities. Environ. Microbiol. 2020, 22, 5–16. [Google Scholar] [CrossRef]
- Dunck, B.; Schneck, F.; Rodrigues, L. Patterns in species and functional dissimilarity: Insights from periphytic algae in subtropical floodplain lakes. Hydrobiologia 2016, 763, 237–247. [Google Scholar] [CrossRef]
- Engle, V.D.; Summers, J.K.; Macauley, J.M. Dissolved Oxygen Conditions in Northern Gulf of Mexico Estuaries. Environ. Monit. Assess. 1999, 57, 1–20. [Google Scholar] [CrossRef]
- Trombetta, T.; Vidussi, F.; Mas, S.; Parin, D.; Mostajir, B. Water temperature drives phytoplankton blooms in coastal waters. PLoS ONE 2019, 14, e214933. [Google Scholar] [CrossRef] [PubMed]
- Zhu, Y.Q.; Jun, L.; Li, Q.; Zhang, X.L. Seasonal variation of phytoplankton community and its relationship with environment in subtropical reservoirs: A comparison between two methods of functional groups classification. J. Appl. Ecol. 2019, 30, 2079–2086. [Google Scholar]
- Yang, W.; Deng, D.G.; Meng, X.L.; Zhang, S. Temporal and Spatial Variations of Phytoplankton Community Structure in Lake Erhai, a Chinese Plateau Lake, with Reference to Environmental Factors. Russ. J. Ecol. 2019, 50, 352–360. [Google Scholar] [CrossRef]
- Soininen, J.; Könönen, K. Comparative study of monitoring South-Finnish rivers and streams using macroinvertebrate and benthic diatom community structure. Aquat. Ecol. 2004, 38, 63–75. [Google Scholar] [CrossRef]
- Güsewell, S. N:P ratios in terrestrial plants: Variation and functional significance. New Phytol. 2010, 164, 243–266. [Google Scholar] [CrossRef]
- Deng, P.Y.; Zhang, W.; Wang, X.T. The effects of water quality on epilithic diatoms communities of Dongjiang river basin. Acta Ecol. Sin. 2015, 35, 1852–1861. [Google Scholar]
- Wang, M.; Wu, H.; Ma, J. Causes, and characteristics of the euterophication in large reservoirs in the Yangtze basin. Resour. Environ. Yangtze Basin 2004, 13, 477–481. [Google Scholar]
- Li, P.F.; Gao, Y.; Zhang, H.P. imulation experiment on the effect of flow velocity on phytoplankton growth and composition. J. Lake Sci. 2015, 27, 44–49. [Google Scholar]
- Pfeiffer, T.Z.; Mihaljević, M.; Maronić, D.; Stević, F. The disturbance driven changes of periphytic algal communities in a Danubian floodplain lake. Knowl. Manag. Aquat. Ec. 2015, 416, 1–15. [Google Scholar] [CrossRef]
- Flynn, K.F.; Asce, M.; Chapra, S.C.; Asce, F. Evaluating Hydraulic Habitat Suitability of Filamentous Algae Using an Unmanned Aerial Vehicle and Acoustic Doppler Current Profiler. J. Environ. Eng. 2020, 146, 4019126. [Google Scholar] [CrossRef]
- Wellnitz, T.; Poff, N.L. Current-mediated periphytic structure modifies grazer interactions and algal removal. Aquat. Ecol. 2012, 46, 521–530. [Google Scholar] [CrossRef]
- Bichoff, A.; Osório, N.C.; Dunck, B.; Rodrigues, L. Periphytic algae in a floodplain lake and river under low water conditions. Biota Neotrop. 2016, 16. [Google Scholar] [CrossRef][Green Version]
- Li, Y. Spatial and Temporal Succession Characteristics of Phytoplankton Functional Groups and their Relationship with Environmental Factors in Dianshan Lake. Master’s Thesis, Shanghai Ocean University, Shanghai, China, 2018. [Google Scholar]
- Yang, Z.H.; Yang, S.C.; Li, D.; Bai, F.P. Numerical simulation of eutrophication and its test of ecological operation schedule in Xiaojiang River, the tributary of Three Gorges Reservoir. J. Lake Sci. 2016, 28, 755–764. [Google Scholar]










| Parameters | June | September | November | 
|---|---|---|---|
| WT (°C) | 20.32 ± 3.11a | 27.35 ± 0.4b | 19.38 ± 0.57a | 
| pH | 8.68 ± 0.12a | 8.88 ± 0.29b | 8.84 ± 0.15ab | 
| DO (mg/L) | 9.47 ± 1.01b | 6.43 ± 1.38a | 9.33 ± 1.83b | 
| Cond (μS/cm) | 262.21 ± 9.3b | 258.08 ± 2.56b | 224.97 ± 3.33a | 
| ORP (mV) | 203.65 ± 75.64c | 58.87 ± 33.92a | 143.62 ± 72.63b | 
| Tur (NTU) | 7.64 ± 6.16 | 4.8 ± 3.62 | 4.94 ± 3.99 | 
| NO3−-N (mg/L) | 0.05 ± 0.02a | 0.07 ± 0.05a | 0.14 ± 0.1b | 
| NH4+-N (mg/L) | 0.71 ± 0.13 | 0.69 ± 0.09 | 0.69 ± 0.24 | 
| TN (mg/L) | 1.14 ± 0.2a | 1.69 ± 0.63b | 1.51 ± 0.37ab | 
| TP (mg/L) | 0.022 ± 0.008b | 0.012 ± 0.003a | 0.011 ± 0.004a | 
| CODMn (mg/L) | 2.18 ± 0.26a | 3.16 ± 0.73b | 2.44 ± 0.33a | 
| Phylum | Dominant Species | Abbreviation | June | September | November | 
|---|---|---|---|---|---|
| Cyanobacteria | Anabaena sp. | Ana sp. | 0.333 | — | — | 
| Dolichospermum circinal | Dcir | 0.088 | — | — | |
| Chroococcus sp. | Chr sp. | — | 0.026 | — | |
| Merismopedia punctata | Mpun | 0.049 | — | — | |
| Microcystis sp. | Mir sp. | — | 0.034 | — | |
| Oscillatoria sp. | Osc sp. | 0.052 | — | 0.034 | |
| Pseudanabaena sp. | Pse sp. | — | — | 0.025 | |
| Chlorophyta | Scenedesmus sp. | Sce sp. | 0.237 | 0.073 | 0.075 | 
| Bacillariophyta | Achnanthes sp. | Ach sp. | — | 0.032 | — | 
| Cyclotella sp. | Cyc sp. | 0.336 | 0.077 | 0.107 | |
| Cymbella sp. | Cym sp. | 0.373 | 0.175 | 0.307 | |
| C. aspera | Casp | 0.677 | 0.904 | 0.546 | |
| Diatoma sp. | Dia sp. | 0.5 | — | 0.18 | |
| D. vulgareis | Dvul | 0.167 | 0.026 | — | |
| Diploneis sp. | Dip sp. | — | 0.022 | — | |
| Encyonema sp. | Enc sp. | — | 0.374 | — | |
| Eunotia sp. | Eun sp. | 0.022 | — | — | |
| Fragilaria sp. | Fra sp. | 0.18 | 0.087 | 0.14 | |
| Gomphonema sp. | Gom sp. | 0.026 | — | — | |
| G. gracile | Ggra | — | 0.024 | — | |
| Aulacoseira granulata | Agra | 0.166 | 0.024 | 0.169 | |
| Navicula sp. | Nav sp. | 0.349 | 0.274 | 0.287 | |
| Stauroneis sp. | Sta sp. | — | 0.025 | — | |
| Surirella sp. | Sur sp. | — | 0.02 | — | |
| Synedra sp. | Syn sp. | 0.06 | — | 0.027 | |
| Ulnaria ulna | Uuln | — | 0.059 | 0.1 | |
| Euglenophyta | Euglena sp. | Eug sp. | 0.073 | — | — | 
| Parameters | df | Ref.df | F | P | 
|---|---|---|---|---|
| WT | 1.000 | 1.000 | 0.778 | 0.388 | 
| DO | 1.000 | 1.000 | 11.059 | 0.003 ** | 
| Cond | 2.867 | 2.982 | 18.216 | 0.000 *** | 
| Tur | 1.000 | 1.000 | 1.336 | 0.261 | 
| TN | 1.000 | 1.000 | 0.124 | 0.728 | 
| TP | 2.541 | 2.824 | 16.143 | 0.000 *** | 
| pH | 1.000 | 1.000 | 2.435 | 0.134 | 
| ORP | 2.974 | 2.999 | 14.152 | 0.000 *** | 
| NH4+-N | 1.000 | 1.000 | 14.912 | 0.001 *** | 
| NO3−-N | 1.000 | 1.000 | 0.83 | 0.373 | 
| CODMn | 2.629 | 2.893 | 4.287 | 0.025 * | 
| Publisher’s Note: MDPI stays neutral with regard to jurisdictional claims in published maps and institutional affiliations. | 
© 2022 by the authors. Licensee MDPI, Basel, Switzerland. This article is an open access article distributed under the terms and conditions of the Creative Commons Attribution (CC BY) license (https://creativecommons.org/licenses/by/4.0/).
Share and Cite
Chen, X.; Wang, X.; Li, Y.; Yao, Y.; Zhang, Y.; Jiang, Y.; Lei, X.; Liu, H.; Wu, N.; Fohrer, N. Succession and Driving Factors of Periphytic Community in the Middle Route Project of South-to-North Water Division (Henan, China). Int. J. Environ. Res. Public Health 2022, 19, 4089. https://doi.org/10.3390/ijerph19074089
Chen X, Wang X, Li Y, Yao Y, Zhang Y, Jiang Y, Lei X, Liu H, Wu N, Fohrer N. Succession and Driving Factors of Periphytic Community in the Middle Route Project of South-to-North Water Division (Henan, China). International Journal of Environmental Research and Public Health. 2022; 19(7):4089. https://doi.org/10.3390/ijerph19074089
Chicago/Turabian StyleChen, Xiaonuo, Xiaojun Wang, Yuying Li, Yinlei Yao, Yun Zhang, Yeqing Jiang, Xiaohui Lei, Han Liu, Naicheng Wu, and Nicola Fohrer. 2022. "Succession and Driving Factors of Periphytic Community in the Middle Route Project of South-to-North Water Division (Henan, China)" International Journal of Environmental Research and Public Health 19, no. 7: 4089. https://doi.org/10.3390/ijerph19074089
APA StyleChen, X., Wang, X., Li, Y., Yao, Y., Zhang, Y., Jiang, Y., Lei, X., Liu, H., Wu, N., & Fohrer, N. (2022). Succession and Driving Factors of Periphytic Community in the Middle Route Project of South-to-North Water Division (Henan, China). International Journal of Environmental Research and Public Health, 19(7), 4089. https://doi.org/10.3390/ijerph19074089
 
         
                                                




 
       