Influence of Secondary School Students’ Physical Fitness on Sports Performance during an Ultimate Frisbee Competition
Abstract
:1. Introduction
2. Materials and Methods
2.1. Participants and General Procedure
2.2. Experimental Design
2.3. Match Analysis
2.4. Statistical Analysis
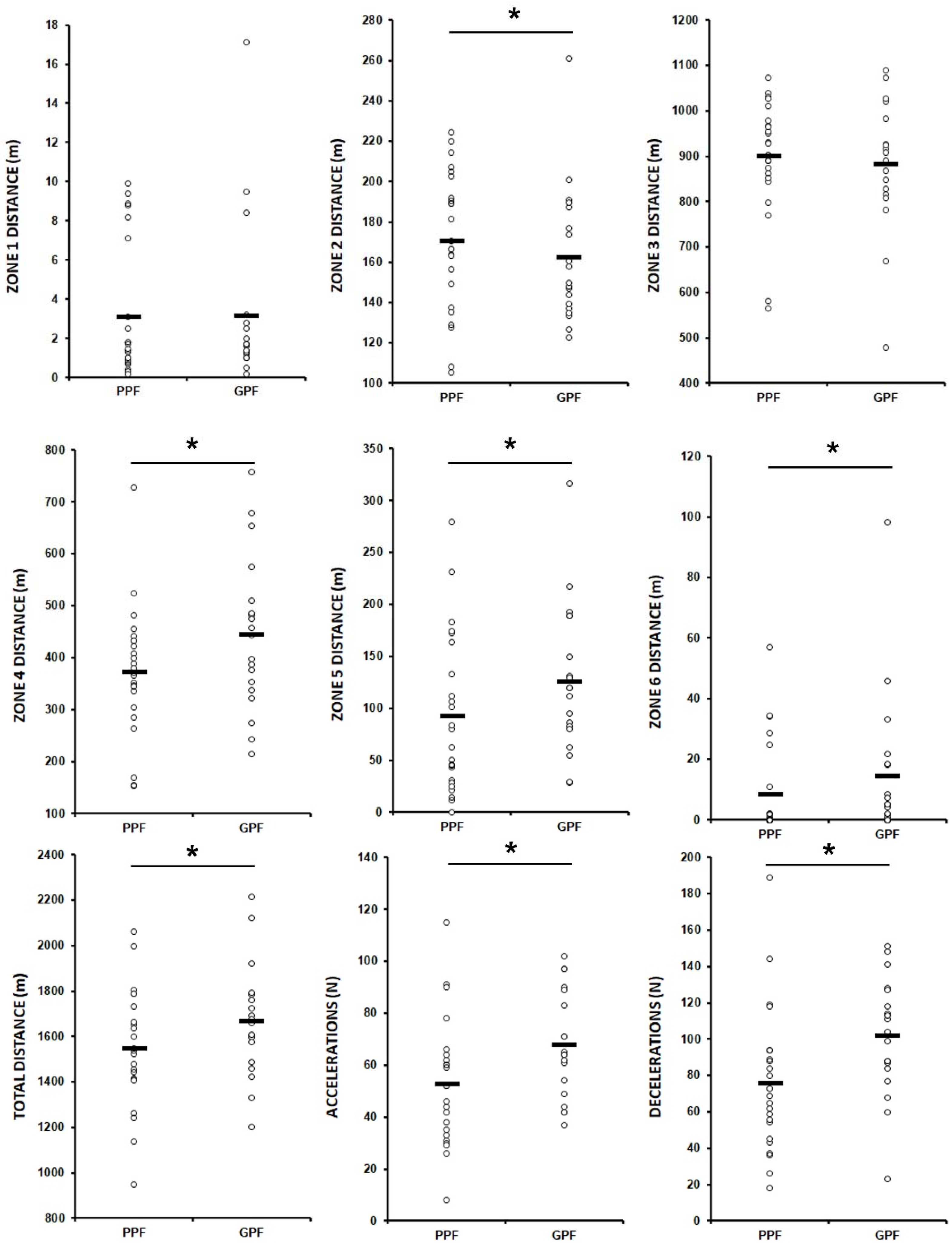
3. Results
4. Discussion
Practical Applications
5. Conclusions
Author Contributions
Funding
Institutional Review Board Statement
Informed Consent Statement
Data Availability Statement
Conflicts of Interest
References
- Sibley, B.A.; Etnier, J.L. The Relationship between Physical Activity and Cognition in Children: A Meta-Analysis. Pediatr. Exerc. Sci. 2003, 15, 243. [Google Scholar] [CrossRef] [Green Version]
- Jiménez-Maldonado, A.; Rentería, I.; García-Suárez, P.C.; Moncada-Jiménez, J.; Freire-Royes, L.F. The Impact of High-Intensity Interval Training on Brain Derived Neurotrophic Factor in Brain: A Mini-Review. Front. Neurosci. 2018, 12, 839. [Google Scholar] [CrossRef]
- Hollis, J.L.; Sutherland, R.; Williams, A.J.; Campbell, E.; Nathan, N.; Wolfenden, L.; Morgan, P.J.; Lubans, D.R.; Gillham, K.; Wiggers, J. A systematic review and meta-analysis of moderate-to-vigorous physical activity levels in secondary school physical education lessons. Int. J. Behav. Nutr. Phys. Act. 2017, 14, 14–52. [Google Scholar] [CrossRef]
- Ruiz, J.; Romero, V.E.; Piñero, J.C.; Artero, E.; Ortega, F.; García, M.C.; Pavón, D.J.; Chillón, P.; Rejón, M.J.G.; Mora, J.; et al. Batería ALPHA-Fitness: Test de campo para la evaluación de la condición física relacionada con la salud en niños y adolescentes. Nutr. Hosp. 2011, 26, 1210–1214. [Google Scholar]
- Fairclough, S.; Stratton, G. Physical Activity Levels in Middle and High School Physical Education: A Review. Pediatric Exerc. Sci. 2005, 17, 217. [Google Scholar] [CrossRef]
- Spessato, B.C.; Gabbard, C.; Valentini, N.C. The Role of Motor Competence and Body Mass Index in Children’s Activity Levels in Physical Education Classes. J. Teach. Phys. Educ. 2013, 32, 118–130. [Google Scholar] [CrossRef]
- Fairclough, S.; Stratton, G. ‘Physical education makes you fit and healthy’. Physical education’s contribution to young people’s physical activity levels. Health Educ. Res. 2005, 20, 14–23. [Google Scholar] [CrossRef] [Green Version]
- Harvey, S.; Garcia López, L. Objectively Measured Physical Activity of Different Lesson Contexts. J. Phys. Educ. Sport 2017, 17, 833–838. [Google Scholar]
- Brusseau, T.A.; Kulinna, P.H. An Examination of Four Traditional School Physical Activity Models on Children’s Step Counts and MVPA. Res. Q. Exerc. Sport 2015, 86, 88–93. [Google Scholar] [CrossRef]
- Hastie, P.; Trost, S. Student Physical Activity Levels during a Season of Sport Education. Pediatr. Exerc. Sci. 2002, 14, 64–74. [Google Scholar] [CrossRef]
- Krustrup, P.; Mohr, M. Physical Demands in Competitive Ultimate Frisbee. J. Strength Cond. Res. 2015, 29, 3386–3391. [Google Scholar] [CrossRef]
- Hannon, J.C. Physical activity levels of overweight and nonoverweight high school students during physical education classes. J. Sch. Health 2008, 78, 425–431. [Google Scholar] [CrossRef] [PubMed]
- Gabbett, T.; Jenkins, D.; Abernethy, B. Game-Based Training for Improving Skill and Physical Fitness in Team Sport Athletes. Int. J. Sports Sci. Coach. 2009, 4, 273–283. [Google Scholar] [CrossRef]
- Britton, Ú.; Belton, S.; Issartel, J. Small fish, big pond: The role of health-related fitness and perceived athletic competence in mediating the physical activity-motor competence relationship during the transition from primary to secondary school. J. Sports Sci. 2019, 37, 2538–2548. [Google Scholar] [CrossRef] [PubMed]
- Robinson, L.E.; Stodden, D.F.; Barnett, L.M.; Lopes, V.P.; Logan, S.W.; Rodrigues, L.P.; D’Hondt, E. Motor Competence and its Effect on Positive Developmental Trajectories of Health. Sports Med. 2015, 45, 1273–1284. [Google Scholar] [CrossRef]
- Miller, A.; Eather, N.; Lubans, D.R.; Duncan, M. Associations of object control motor skill proficiency, game play competence, physical activity and cardiorespiratory fitness among primary school children. J. Sports Sci. 2019, 37, 173–179. [Google Scholar] [CrossRef]
- Tissera, K.; Naughton, G.; Gabbett, T.; Krause, L.; Moresi, M.; Benson, A. Sex Differences in Physical Fitness Characteristics and Match-Play Demands in Adolescent Netball: Should Male and Female Adolescents Co-compete in Netball? J. Strength Cond. Res. 2019, 33, 846–856. [Google Scholar] [CrossRef]
- World Medical Association. World Medical Association Declaration of Helsinki: Ethical principles for medical research involving human subjects. JAMA 2013, 310, 2191–2194. [Google Scholar] [CrossRef] [Green Version]
- Ruiz, J.R.; Castro-Piñero, J.; España-Romero, V.; Artero, E.G.; Ortega, F.B.; Cuenca, M.M.; Jimenez-Pavon, D.; Chillon, P.; Girela-Rejon, M.J.; Mora, J.; et al. Field-based fitness assessment in young people: The ALPHA health-related fitness test battery for children and adolescents. Br. J. Sports Med. 2011, 45, 518–524. [Google Scholar] [CrossRef]
- Leger, L.A.; Mercier, D.; Gadoury, C.; Lambert, J. The multistage 20 metre shuttle run test for aerobic fitness. Journal of Sports Sciences. 1988, 6, 93–101. [Google Scholar] [CrossRef]
- Castagna, C.; Impellizzeri, F.; Cecchini, E.; Rampinini, E.; Barbero, J. Effects of intermittent-endurance fitness on match performance in young male soccer players. J. Strength Cond. Res. 2009, 23, 1954–1959. [Google Scholar] [CrossRef] [PubMed] [Green Version]
- Coutts, A.J.; Duffield, R. Validity and reliability of GPS devices for measuring movement demands of team sports. J. Sci. Med. Sport 2010, 13, 133–135. [Google Scholar] [CrossRef] [PubMed]
- Gonzalez-Espinosa, S.; Antunez, A.; Feu, S.; Ibanez, S.J. Monitoring the External and Internal Load Under 2 Teaching Methodologies. J. Strength Cond. Res. 2020, 34, 2920–2928. [Google Scholar] [CrossRef]
- García-Ceberino, J.M.; Antúnez, A.; Feu, S.; Ibáñez, S.J. Quantification of Internal and External Load in School Football According to Gender and Teaching Methodology. Int. J. Environ. Res. Public Health 2020, 17, 344. [Google Scholar] [CrossRef] [PubMed] [Green Version]
- Couderc, A.; Gabbett, T.; Piscione, J.; Robineau, J.; Peeters, A.; Igarza, G.; Thomas, C.; Hanon, C.; Lacome, M. Repeated High-Intensity Effort Activity in International Male Rugby Sevens. J. Strength Cond. Res. 2019, 24, 338–344. [Google Scholar] [CrossRef]
- Tanaka, H.; Monahan, K.D.; Seals, D.R. Age-predicted maximal heart rate revisited. J. Am. Coll. Cardiol 2001, 37, 153–156. [Google Scholar] [CrossRef] [Green Version]
- Pérez-López, A.; Salinero, J.J.; Abian-Vicen, J.; Valadés, D.; Lara, B.; Hernandez, C.; Areces, F.; González, C.; Del Coso, J. Caffeinated Energy Drinks Improve Volleyball Performance in Elite Female Players. Med. Sci. Sports Exerc. 2014, 47, 850–856. [Google Scholar] [CrossRef]
- Mitchell, S.A.; Oslin, J.L.; Griffin, L.L. Teaching Sport Concepts and Skills: A tactical Games Approach, 2nd ed.; Human Kinetics: Champaign, IL, USA, 2006. [Google Scholar]
- Van der Mars, H. Observer reliability: Issues and procedures. In Analyzing Physical Education and Sport Instruction; Darst, P.W., Zakrajsek, D.B., Mancini, V.H., Eds.; Human Kinetics: Champaign, IL, USA, 1989; pp. 53–80. [Google Scholar]
- Cohen, J. Statistical Power Analysis for the Behavioral Sciences; Lawrence Erlbaum Associates: Hillsdale, NJ, USA, 1988. [Google Scholar]
- Ross, A.; Gill, N.; Cronin, J.; Malcata, R. The relationship between physical characteristics and match performance in rugby sevens. Eur. J. Sport Sci. 2015, 15, 565–571. [Google Scholar] [CrossRef]
- Aquino, R.; Carling, C.; Maia, J.; Vieira, L.H.P.; Wilson, R.S.; Smith, N.; Almeida, R.; Gonçalves, L.G.C.; Kalva-Filho, C.A.; Garganta, J.; et al. Relationships between running demands in soccer match-play, anthropometric, and physical fitness characteristics: A systematic review. Int. J. Perform. Anal. Sport 2020, 20, 534–555. [Google Scholar] [CrossRef]
- Hardy, L.L.; Reinten-Reynolds, T.; Espinel, P.; Zask, A.; Okely, A.D. Prevalence and Correlates of Low Fundamental Movement Skill Competency in Children. Pediatrics 2012, 130, e390–e398. [Google Scholar] [CrossRef]
- Impellizzeri, F.; Rampinini, E.; Maffiuletti, N.; Castagna, C.; Bizzini, M.; Wisløff, U. Effects of aerobic training on the exercise-induced decline in short-passing ability in junior soccer players. Appl. Physiol. Nutr. Metab. 2008, 33, 1192–1198. [Google Scholar] [CrossRef] [PubMed]
- Garcia-Gil, M.; Torres-Unda, J.; Esain, I.; Duñabeitia, I.; Gil, S.M.; Gil, J.; Irazusta, J. Anthropometric Parameters, Age, and Agility as Performance Predictors in Elite Female Basketball Players. J. Strength Cond. Res. 2018, 32, 1723–1730. [Google Scholar] [CrossRef] [PubMed]
- Bravo-Sánchez, A.; Abián-Vicén, J.; Abián, P. Analysis of the physical and technical differences between 7-a-side and 8-a-side game modalities in official under 12 soccer matches. Int. J. Perform. Anal. Sport 2017, 17, 545–554. [Google Scholar] [CrossRef]
- Modric, T.; Versic, S.; Sekulic, D. Does aerobic performance define match running performance among professional soccer players? A position-specific analysis. Res. Sports Med. 2021, 29, 336–348. [Google Scholar] [CrossRef]

| Poor Physical Fitness | Good Physical Fitness | p | Δ | Confidence Interval of 95% | |
|---|---|---|---|---|---|
| Zone 1 (<60% HRmax) | 13.28 ± 7.38 | 14.48 ± 5.23 | 0.687 | 1.20 | −4.95 to 7.32 |
| Zone 2 (60–70% HRmax) | 14.86 ± 5.52 | 14.31 ± 7.18 | 0.848 | 0.55 | −6.51 to 5.41 |
| Zone 3 (70–80% HRmax) | 10.16 ± 5.58 | 9.62 ± 7.71 | 0.858 | 0.54 | −6.81 to 5.73 |
| Zone 4 (80–90% HRmax) | 19.59 ± 8.37 | 17.81 ± 9.96 | 0.669 | 1.78 | −10.39 to 6.83 |
| Zone 5 (90–95% HRmax) | 28.85 ± 12.80 | 29.74 ± 16.72 | 0.893 | 0.90 | −12.95 to 14.75 |
| Zone 6 (95–100% HRmax) | 13.03 ± 13.21 | 15.14 ±16.56 | 0.754 | 2.12 | −11.85 to 16.09 |
| Poor Physical Fitness | Good Physical Fitness | p | Δ | Confidence Interval of 95% | |
|---|---|---|---|---|---|
| Passes (N) | 13.50 ± 11.14 | 23.63 ± 16.01 | 0.019 | 10.13 | 1.76 to 18.50 |
| Attacking moves (N) | 9.67 ± 8.64 | 12.63 ± 8.85 | 0.275 | 2.96 | −2.44 to 8.38 |
| Defensive actions (N) | 12.50 ± 8.66 | 13.26 ± 8.13 | 0.770 | 0.76 | −4.47 to 5.99 |
| Offensive decision-making (N) | 11.42 ±9.32 | 21.32 ± 14.42 | 0.009 | 9.90 | 2.56 to 17.24 |
| Decision index (A.U.) | 0.79 ± 0.10 | 0.81 ± 0.12 | 0.628 | 0.02 | −0.06 to 0.10 |
| Skill execution index (A.U.) | 0.75 ± 0.09 | 0.77 ± 0.09 | 0.493 | 0.02 | −0.04 to 0.09 |
| Player participation (N) | 80.41 ± 23.39 | 102.25 ± 35.96 | 0.046 | 21.84 | 0.43 to 43.25 |
Publisher’s Note: MDPI stays neutral with regard to jurisdictional claims in published maps and institutional affiliations. |
© 2022 by the authors. Licensee MDPI, Basel, Switzerland. This article is an open access article distributed under the terms and conditions of the Creative Commons Attribution (CC BY) license (https://creativecommons.org/licenses/by/4.0/).
Share and Cite
Portillo, J.; Bravo-Sánchez, A.; Abián, P.; Dorado-Suárez, A.; Abián-Vicén, J. Influence of Secondary School Students’ Physical Fitness on Sports Performance during an Ultimate Frisbee Competition. Int. J. Environ. Res. Public Health 2022, 19, 3997. https://doi.org/10.3390/ijerph19073997
Portillo J, Bravo-Sánchez A, Abián P, Dorado-Suárez A, Abián-Vicén J. Influence of Secondary School Students’ Physical Fitness on Sports Performance during an Ultimate Frisbee Competition. International Journal of Environmental Research and Public Health. 2022; 19(7):3997. https://doi.org/10.3390/ijerph19073997
Chicago/Turabian StylePortillo, Javier, Alfredo Bravo-Sánchez, Pablo Abián, Alberto Dorado-Suárez, and Javier Abián-Vicén. 2022. "Influence of Secondary School Students’ Physical Fitness on Sports Performance during an Ultimate Frisbee Competition" International Journal of Environmental Research and Public Health 19, no. 7: 3997. https://doi.org/10.3390/ijerph19073997
APA StylePortillo, J., Bravo-Sánchez, A., Abián, P., Dorado-Suárez, A., & Abián-Vicén, J. (2022). Influence of Secondary School Students’ Physical Fitness on Sports Performance during an Ultimate Frisbee Competition. International Journal of Environmental Research and Public Health, 19(7), 3997. https://doi.org/10.3390/ijerph19073997

