A New Combined Air Quality and Heat Index in Relation to Mortality in Monterrey, Mexico
Abstract
:1. Introduction
2. Materials and Methods
2.1. Data
2.2. Methods
2.2.1. Calculating AQI Values
2.2.2. Calculating Heat Index Values
2.2.3. Developing a Transformed Heat Index
2.2.4. Developing Combined Air Quality and Heat Indices
2.2.5. Vulnerable Population Sets
2.2.6. Poisson Regression Models
2.2.7. Change in Relative Risk: Comparison with Baseline Model
3. Results
3.1. Air Quality Index (AQI) and Heat Index (HI) in Monterrey
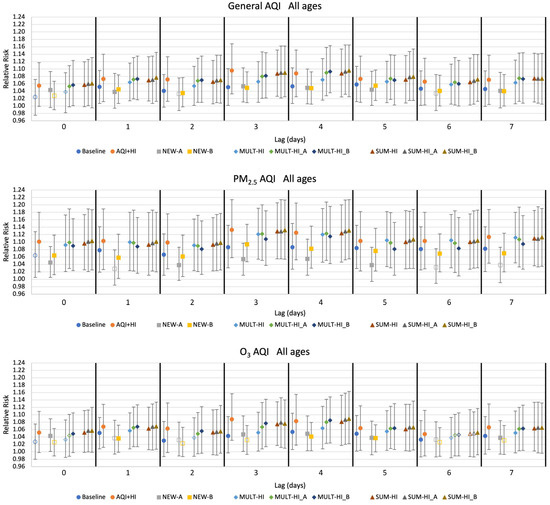
3.2. Interquartile Relative Risk: Baseline AQI-Only and AQI+HI Model
3.3. Interquartile Relative Risk: Models with Either/or Indices
3.4. Interquartile Relative Risk: Models with Multiplicative Indices
3.5. Interquartile Relative Risk: Models with Additive Indices
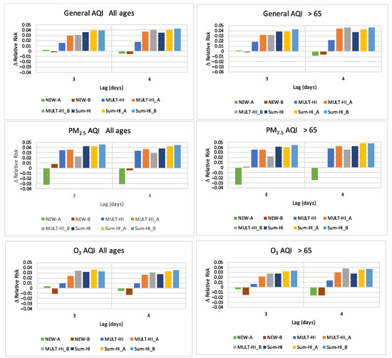
3.6. Change in Relative Risk:
4. Conclusions
Supplementary Materials
Author Contributions
Funding
Institutional Review Board Statement
Informed Consent Statement
Data Availability Statement
Conflicts of Interest
References
- World Health Organization. Monitoring Health for the Sustainable Development Goals. 2018. Available online: https://web-prod.who.int/docs/default-source/ghodocuments/world-health-statistic-reports/6-june-18108-world-health-statistics-2018.pdf (accessed on 1 March 2022).
- United States Environmental Protection Agency. Office of Air Quality Planning and Standards: Technical Assistance Document for the Reporting of Daily Air Quality—The Air Quality Index (AQI). 2018. Available online: https://www.airnow.gov/sites/default/files/2020-05/aqi-technical-assistance-document-sept2018.pdf (accessed on 1 March 2022).
- Gutenberg, S. Demystifying the Air Quality Health Index. Can. Pharm. J. 2014, 147, 332–334. [Google Scholar] [CrossRef] [PubMed] [Green Version]
- Basu, R.; Samet, J.M. Relation between elevated ambient temperature and mortality: A review of the epidemiologic evidence. Epidemiol. Rev. 2002, 24, 190–202. [Google Scholar] [CrossRef] [PubMed]
- Kovats, R.S.; Hajat, S.; Wilkinson, P. Contrasting patterns of mortality and hospital admissions during hot weather and heat waves in Greater London, UK. Occup. Environ. Med. 2004, 61, 893–898. [Google Scholar] [CrossRef] [PubMed] [Green Version]
- Abrignani, M.G.; Corrao, S.; Biondo, G.B.; Renda, N.; Braschi, A.; Novo, G.; Di Girolamo, A.; Braschi, G.B.; Novo, S. Influence of climatic variables on acute myocardial infarction hospital admissions. Int. J. Cardiol. 2009, 137, 123–129. [Google Scholar] [CrossRef] [PubMed]
- Knowlton, K.; Rotkin-Ellman, M.; King, G.; Margolis, H.G.; Smith, D.; Solomon, G.; Trent, R.; English, P. The 2006 California heat wave: Impacts on hospitalizations and emergency department visits. Environ. Health Perspect. 2009, 117, 61–67. [Google Scholar] [CrossRef] [PubMed]
- Rosenthal, J.A.; Kinney, P.L.; Metzger, K.B. Intra-urban vulnerability to heat-related mortality in New York City, 1997–2006. Health Place 2014, 30, 45–60. [Google Scholar] [CrossRef] [PubMed] [Green Version]
- Steadman, R.G. The Assessment of Sultriness. Part I: A Temperature-Humidity Index Based on Human Physiology and Clothing Science. J. Am. Meteorol. Soc. 1979, 18, 861–873. [Google Scholar] [CrossRef] [Green Version]
- National Weather Service. The Heat Index Equation. 2011. Available online: https://www.wpc.ncep.noaa.gov/html/heatindex_equation.shtml (accessed on 10 February 2020).
- Li, J.; Woodward, A.; Hou, X.-Y.; Zhu, T.; Zhang, J.; Brown, H.; Yang, J.; Qin, R.; Gao, J.; Gu, S.; et al. Modification of the effects of air pollutants on mortality by temperature: A systematic review and meta-analysis. Sci. Total Environ. 2017, 575, 1556–1570. [Google Scholar] [CrossRef]
- Chen, F.; Fan, Z.; Qiao, Z.; Cui, Y.; Zhang, M.; Zhao, X.; Li, X. Does temperature modify the effect of PM10 on Mortality? A systematic review and meta-analysis. Environ. Pollut. 2017, 224, 326–335. [Google Scholar] [CrossRef] [PubMed]
- Mika, J.; Forgo, P.; Lakatos, L.; Olah, A.B.; Rapi, S.; Utasi, Z. Impact of 1.5 K global warming on urban air pollution and heat island with outlook on human health effects. Curr. Opin. Environ. Sustain. 2018, 30, 151–159. [Google Scholar] [CrossRef]
- Cerón-Bretón, R.M.; Cerón-Bretón, J.; Kahl, J.; Fuentes, M.; Lara, E.R.; Marrón, M.R.; Severino, R.; Chi, M. Short-Term Effects of Atmospheric Pollution on Daily Mortality and Their Modification by Increased Temperatures Associated with a Climatic Change Scenario in Northern Mexico. Int. J. Environ. Res. Public Health 2020, 17, 9219. [Google Scholar] [CrossRef] [PubMed]
- Filleul, L.; Cassadou, S.; Médina, S.; Fabres, P.; Lefranc, A.; Eilstein, D.; Le Tertre, A.; Pascal, L.; Chardon, B.; Blanchard, M.; et al. The relation between temperature, ozone, and mortality in nine French cities during the heat wave of 2003. Environ. Health Perspect. 2006, 114, 1344–1347. [Google Scholar] [CrossRef] [PubMed] [Green Version]
- Zhang, Y.; Zhang, X.; Fan, X.; Ni, C.; Sun, Z.; Wang, S.; Fan, J.; Zheng, C. Modifying effects of temperature on human mortality related to black carbon particulates in Beijing, China. Atmos. Environ. 2020, 243, 117845. [Google Scholar] [CrossRef]
- Yilmaz, S.; Sezen, I.; Irmak, M.A.; Külekçi, E. Analysis of outdoor thermal comfort and air pollution under the influence of urban morphology in cold-climate cities: Erzurum/Turkey. Environ. Sci. Pollut. Res. 2021, 28, 64068–64083. [Google Scholar] [CrossRef] [PubMed]
- Rainham, D.G.C.; Smoyer-Tomic, K.E. The role of air pollution in the relationship between a heat stress index and human mortality in Toronto. Environ. Res. 2003, 93, 9–19. [Google Scholar] [CrossRef]
- Steeneveld, G.-J.; Klompmaker, J.O.; Groen, R.J.A.; Holtslag, A.A.M. An urban climate assessment and management tool for combined heat and air quality judgements at neighbourhood scales. Resour. Conserv. Recycl. 2018, 132, 204–217. [Google Scholar] [CrossRef]
- Susca, T.; Pompani, F. Heat island effects in urban life cycle assessment: Novel insights to include the effects of the urban heat island and UHI-mitigation measurements in LCA for effective policy making. J. Ind. Ecol. 2020, 24, 410–423. [Google Scholar] [CrossRef]
- Tsoulou, I.; Andrews, C.J.; He, R.; Mainelis, G.; Senick, J. Summertime thermal conditions and senior resident behaviors in public housing: A case study in Elizabeth, NJ, USA. Build. Environ. 2020, 168, 106411. [Google Scholar] [CrossRef]
- Wang, R.; Murayama, Y. Geo-simulation of land use/cover scenarios and impacts on land surface temperature in Sapporo, Japan. Sustain. Cities Soc. 2020, 63, 102432. [Google Scholar] [CrossRef]
- Pascal, M.; Wagner, V.; Alari, A.; Corso, M.; Tertre, A.L. Extreme heat and acute air pollution episodes: A need for joint public health warnings? Atmos. Environ. 2021, 249, 118249. [Google Scholar] [CrossRef]
- Vicedo-Cabrera, A.M.; Scovronick, N.; Sera, F.; Royé, D.; Schneider, R.; Tobias, A.; Astrom, C.; Guo, Y.; Honda, Y.; Hondula, D.M.; et al. The burden of heat-related mortality attributable to recent human-induced climate change. Nat. Clim. Chang. 2021, 11, 492–500. [Google Scholar] [CrossRef] [PubMed]
- National Institute of Statistics, Geography and Informatics. Mexico in Figures. 2020. Available online: https://www.inegi.org.mx/app/areasgeograficas/default.aspx (accessed on 10 April 2021).
- World Health Organization. International Statistical Classification of Diseases and Related Health Problems. 2010. Available online: https://www.who.int/classifications/icd/ICD10Volume2_en_2010.pdf (accessed on 1 March 2022).
- Gouveia, N.; Fletcher, T. Time series analysis of air pollution and mortality: Effects by cause, age and socioeconomic status. J. Epidemiol. Community Health 2000, 54, 750–755. [Google Scholar] [CrossRef] [PubMed] [Green Version]
- Tao, Y.; Mi, S.; Zhou, S.; Wang, S.; Xie, X. Air pollution and hospital admissions for respiratory diseases in Lanzhou, China. Environ. Pollut. 2014, 185, 196–201. [Google Scholar] [CrossRef] [PubMed]
- Berko, J.; Ingram, D.D.; Saha, S.; Parker, J.D. Deaths Attributed to Heat, Cold, and Other Weather Events in the United States, 2006–2010; National Health Statistics Reports; US Department of Health and Human Services, Centers for Disease Control and Prevention: Hyattsville, MD, USA, 2014; Volume 76, pp. 1–15. [Google Scholar]
- Smoyer-Tomic, K.E.; Rainham, D.G. Beating the heat: Development and evaluation of a Canadian hot weather health-response plan. Environ. Health Perspect. 2001, 109, 1241–1248. [Google Scholar] [CrossRef] [PubMed]
- Vicedo-Cabrera, A.M.; Sera, F.; Liu, C.; Armstrong, B.; Milojevic, A.; Guo, Y.; Tong, S.; Lavigne, E.; Kyselý, J.; Urban, A.; et al. Short term association between ozone and mortality: Global two stage time series study in 406 locations in 20 countries. BMJ 2020, 368, m108. [Google Scholar] [CrossRef] [PubMed] [Green Version]
- Ji, S.; Zhou, Q.; Jiang, Y.; He, C.; Chen, Y.; Wu, C.; Liu, B. The interactive EEffects between particulate matter and heat waves on circulatory mortality in Fuzhou, China. Int. J. Environ. Res. Public Health 2020, 17, 5979. [Google Scholar] [CrossRef] [PubMed]
- Li, L.; Lin, G.-Z.; Liu, H.-Z.; Guo, Y.; Ou, C.-Q.; Chen, P.-Y. Can the Air Pollution Index be used to communicate the health risks of air pollution? Environ. Pollut. 2015, 205, 153–160. [Google Scholar] [CrossRef] [PubMed]
- Amini, H.; Trang Nhung, N.T.; Schindler, C.; Yunesian, M.; Hosseini, V.; Shamsipour, M.; Hassanvand, M.S.; Mohammadi, Y.; Farzadfar, F.; Vicedo-Cabrera, A.M.; et al. Short-term associations between daily mortality and ambient particulate matter, nitrogen dioxide, and the air quality index in a Middle Eastern megacity. Environ. Pollut. 2019, 254 Pt B, 113121. [Google Scholar] [CrossRef]
- Cerón-Bretón, R.M.; Cerón-Bretón, J.G.; Lara-Severino, R.C.; Espinosa-Fuentes, M.L.; Ramírez-Lara, E.; Rangel-Marrón, M.; Rodríguez-Guzmán, A. Uc-Chi, M.P. Short-term Effects of Air Pollution on Health in the Metropolitan Area of Guadalajara using a Time-series Approach. Aerosol Air Qual. Res. 2018, 18, 2383–2411. [Google Scholar] [CrossRef] [Green Version]
- Basu, R.; Malig, B. High ambient temperature and mortality in California: Exploring the roles of age, disease, and mortality displacement. Environ. Res. 2011, 111, 1286–1292. [Google Scholar] [CrossRef] [PubMed]
- Efron, B.; Tibshirani, R. An Introduction to the Bootstrap; Chapman and Hall/CRC: Boca Raton, FL, USA, 1993; 436p. [Google Scholar]
- Goldberg, M.S.; Burnett, R.T.; Bailar, J.C., 3rd; Tamblyn, R.; Ernst, P.; Flegel, K.; Brook, J.; Bonvalot, Y.; Singh, R.; Valois, M.F.; et al. Identification of persons with cardiorespiratory conditions who are at risk of dying from the acute effects of ambient air particles. Environ. Health Perspect. 2001, 109, 487–494. [Google Scholar] [CrossRef] [PubMed]
- Mancilla, Y.; Mendoza, A. A tunnel study to characterize PM2.5 emissions from gasoline-powered vehicles in Monterrey, Mexico. Atmos. Environ. 2012, 59, 449–460. [Google Scholar] [CrossRef]
- Mancilla, Y.; Hernandez Paniagua, I.Y.; Mendoza, A. Spatial differences in ambient coarse and fine particles in the Monterrey metropolitan area, Mexico: Implications for source contribution. J. Air Waste Manag. Assoc. 2019, 69, 548–564. [Google Scholar] [CrossRef] [PubMed] [Green Version]
- Hernández Paniagua, I.Y.; Clemitshaw, K.C.; Mendoza, A. Observed trends in ground-level O3 in Monterrey, Mexico, during 1993–2014: Comparison with Mexico City and Guadalajara. Atmos. Chem. Phys. 2017, 17, 9163–9185. [Google Scholar] [CrossRef] [Green Version]
- Roy, A.; Gong, J.C.; Thomas, D.C.; Zhang, J.F.; Kipen, H.M.; Rich, D.Q.; Zhu, T.; Huang, W.; Hu, M.; Wang, G.F.; et al. The cardiopulmonary effects of ambient air pollution and mechanistic pathways: A comparative hierarchical pathway analysis. PLoS ONE 2014, 9, e114913. [Google Scholar] [CrossRef] [PubMed]
- Robertson, S.; Miller, M.R. Ambient air pollution and thrombosis. Part. Fibre Toxicol. 2018, 15, 1–16. [Google Scholar] [CrossRef] [PubMed]
- Perlmutt, L.; Stieb, D.; Cromar, K. Accuracy of quantification of risk using a single-pollutant Air Quality Index. J. Expo. Sci. Environ. Epidemiol. 2017, 27, 24–32. [Google Scholar] [CrossRef] [PubMed]
- Tan, X.; Han, L.; Zhang, X.; Zhou, W.; Li, W.; Qian, Y. A review of current air quality indexes and improvements under the multi-contaminant air pollution exposure. J. Environ. Manag. 2021, 279, 111681. [Google Scholar] [CrossRef]






| Model Name | Explanatory Variables (Daily Values) |
|---|---|
| AQI-only (baseline) | AQI (general, PM2.5, or O3) |
| AQI+HI | AQI (general, PM2.5, or O3) and HI (This is the only model with two explanatory variables.) |
| Either/or indices | |
| NEW-A | AQI (general, PM2.5, or O3) or IHI_A |
| NEW-B | AQI (general, PM2.5, or O3) or IHI_B |
| Multiplicative indices | |
| MULT-HI | Product of AQI (general, PM2.5, or O3) and HI |
| MULT-HI_A | Product of AQI (general, PM2.5, or O3) and transformed heat index IHI_A |
| MULT-HI_B | Product of AQI (general, PM2.5, or O3) and transformed heat index IHI_B |
| Additive indices | |
| SUM-HI | Sum of AQI (general, PM2.5, or O3) and HI |
| SUM-HI_A | Sum of AQI (general, PM2.5, or O3) and transformed heat index IHI_A |
| SUM-HI_B | Sum of AQI (general, PM2.5, or O3) and transformed heat index IHI_B |
| AQI a Health Category | Number of Days b | |||||
|---|---|---|---|---|---|---|
| SO2 | NO2 | CO | O3 | PM2.5 | PM10 | |
| Moderate | 0 | 1 | 0 | 51 | 170 | 84 |
| Unhealthy–Sensitive Groups | 1 | 0 | 0 | 75 | 80 | 6 |
| Unhealthy | 0 | 0 | 0 | 33 | 0 | 0 |
| Very Unhealthy | 0 | 0 | 0 | 8 | 0 | 0 |
Publisher’s Note: MDPI stays neutral with regard to jurisdictional claims in published maps and institutional affiliations. |
© 2022 by the authors. Licensee MDPI, Basel, Switzerland. This article is an open access article distributed under the terms and conditions of the Creative Commons Attribution (CC BY) license (https://creativecommons.org/licenses/by/4.0/).
Share and Cite
Fever, S.K.; Kahl, J.D.W.; Kalkbrenner, A.E.; Cerón Bretón, R.M.; Cerón Bretón, J.G. A New Combined Air Quality and Heat Index in Relation to Mortality in Monterrey, Mexico. Int. J. Environ. Res. Public Health 2022, 19, 3299. https://doi.org/10.3390/ijerph19063299
Fever SK, Kahl JDW, Kalkbrenner AE, Cerón Bretón RM, Cerón Bretón JG. A New Combined Air Quality and Heat Index in Relation to Mortality in Monterrey, Mexico. International Journal of Environmental Research and Public Health. 2022; 19(6):3299. https://doi.org/10.3390/ijerph19063299
Chicago/Turabian StyleFever, Shayna K., Jonathan D. W. Kahl, Amy E. Kalkbrenner, Rosa M. Cerón Bretón, and Julia G. Cerón Bretón. 2022. "A New Combined Air Quality and Heat Index in Relation to Mortality in Monterrey, Mexico" International Journal of Environmental Research and Public Health 19, no. 6: 3299. https://doi.org/10.3390/ijerph19063299
APA StyleFever, S. K., Kahl, J. D. W., Kalkbrenner, A. E., Cerón Bretón, R. M., & Cerón Bretón, J. G. (2022). A New Combined Air Quality and Heat Index in Relation to Mortality in Monterrey, Mexico. International Journal of Environmental Research and Public Health, 19(6), 3299. https://doi.org/10.3390/ijerph19063299

