Effective Macrosomia Prediction Using Random Forest Algorithm
Abstract
:1. Introduction
2. Materials and Methods
2.1. Data Sources and the Subject
2.2. The Construction of Prediction Models
2.3. Statistical Analysis
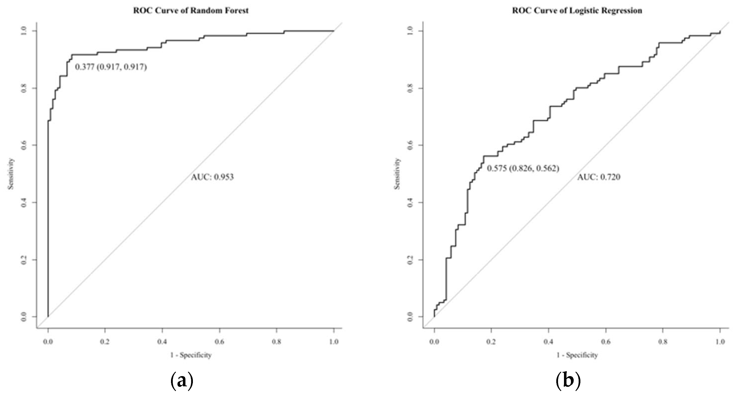
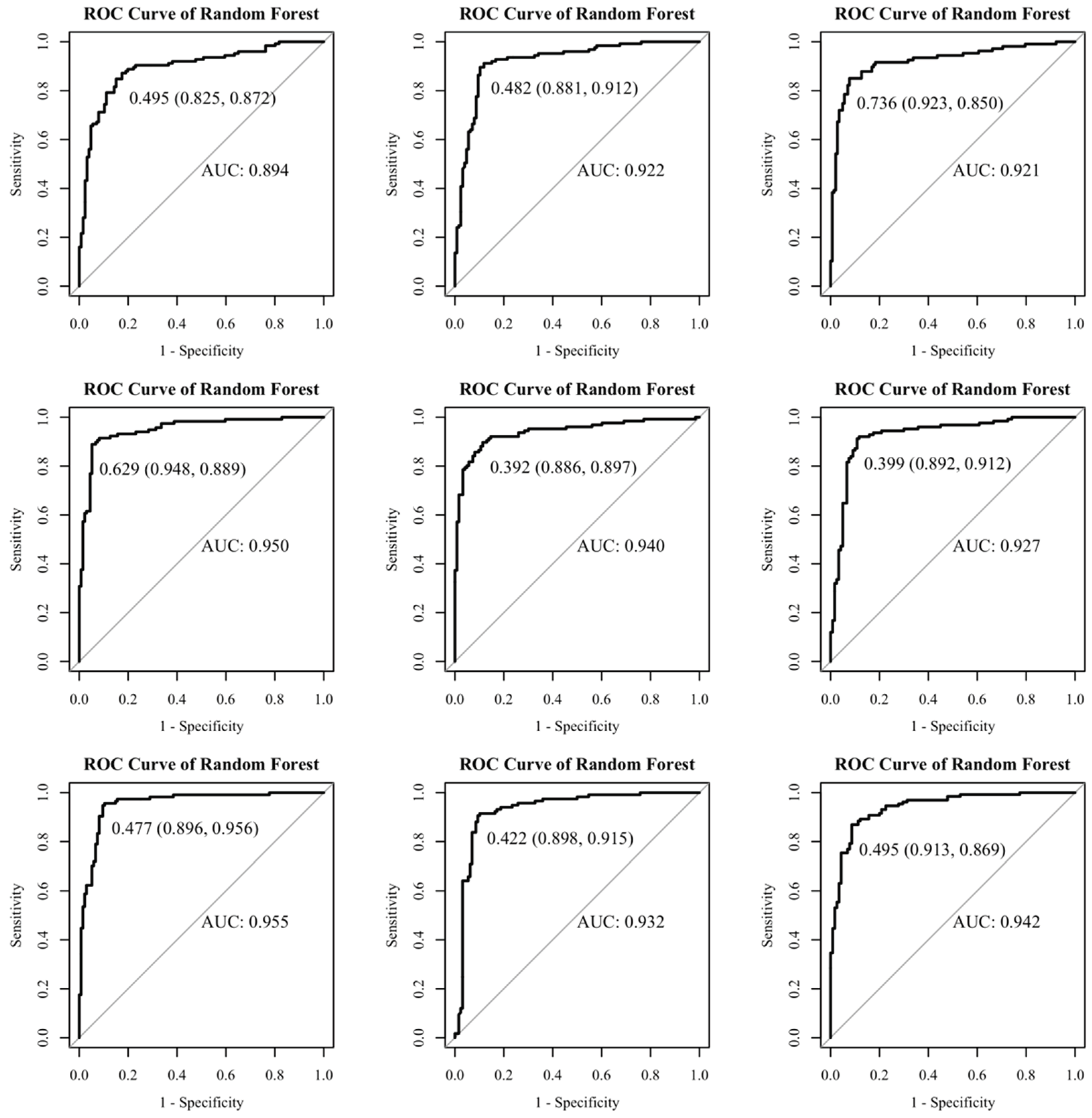
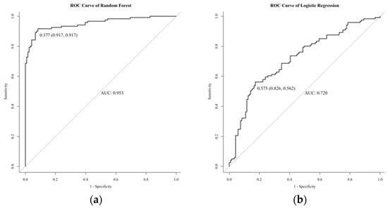
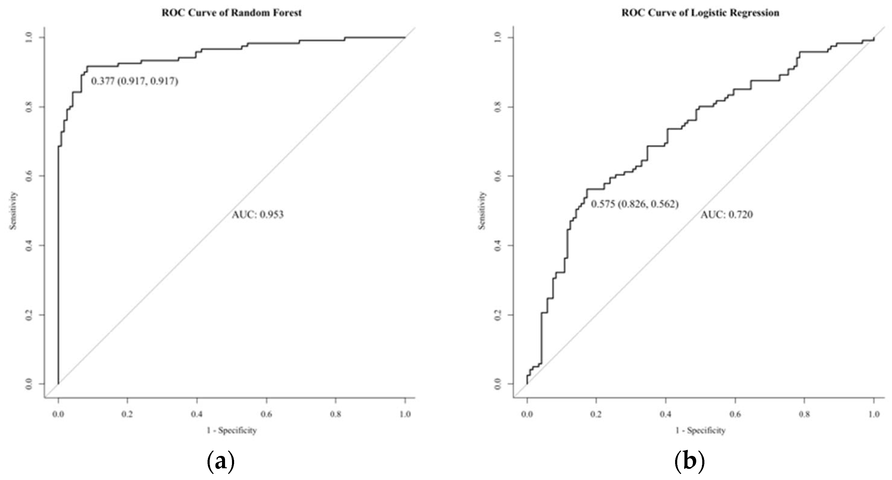
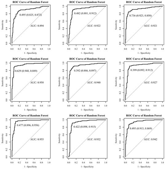
3. Results
3.1. Essential Population Characteristics
3.2. Macrosomia Establishment of Random Forest Model
3.3. The Comparison of the Three Methods in Predicting Macrosomia
4. Discussion
5. Conclusions
Author Contributions
Funding
Institutional Review Board Statement
Informed Consent Statement
Data Availability Statement
Acknowledgments
Conflicts of Interest
References
- Beta, J.; Khan, N.; Khalil, A.; Fiolna, M.; Ramadan, G.; Akolekar, R. Maternal and neonatal complications of fetal macrosomia: Systematic review and meta-analysis. Ultrasound Obstet. Gynecol. 2019, 54, 308–318. [Google Scholar] [CrossRef] [PubMed] [Green Version]
- Shigemi, D.; Yamaguchi, S.; Aso, S.; Yasunaga, H. Predictive model for macrosomia using maternal parameters without sonography information. J. Matern.-Fetal Neonatal Med. 2019, 32, 3859–3863. [Google Scholar] [CrossRef] [PubMed]
- Oral, E.; Cagdas, A.; Gezer, A.; Kaleli, S.; Aydinli, K.; Oçer, F. Perinatal and maternal outcomes of fetal macrosomia. Eur. J. Obstet. Gynecol. Reprod. Biol. 2001, 99, 167–171. [Google Scholar] [CrossRef]
- Vitner, D.; Bleicher, I.; Kadour-Peero, E.; Lipworth, H.; Sagi, S.; Gonen, R. Does prenatal identification of fetal macrosomia change management and outcome? Arch. Gynecol. Obstet. 2019, 299, 635–644. [Google Scholar] [CrossRef] [PubMed]
- Ge, Q.; Zhu, Y.; Li, H.; Tian, F.; Xie, X.; Bai, Y. Differential expression of circulating miRNAs in maternal plasma in pregnancies with fetal macrosomia. Int. J. Mol. Med. 2015, 35, 81–91. [Google Scholar] [CrossRef] [Green Version]
- Vinturache, A.E.; Chaput, K.H.; Tough, S.C. Pre-pregnancy body mass index (BMI) and macrosomia in a Canadian birth cohort. J. Matern.-Fetal Neonatal Med. 2017, 30, 109–116. [Google Scholar] [CrossRef] [PubMed]
- Godoy, A.; Nascimento, S.; Surita, F. A systematic review and meta-analysis of gestational weight gain recommendations and related outcomes in Brazil. Clinics 2015, 70, 758–764. [Google Scholar] [CrossRef]
- Telejko, B.; Kuźmicki, M.; Kretowska, M.; Szamatowicz, J.; Kretowski, A. A comparison of the International Association of Diabetes and Pregnancy Study Groups Recommendations with Former Criteria for Diagnosing Gestational Diabetes Mellitus: A Retrospective Cohort Study. Exp. Clin. Endocrinol. Diabetes 2019, 127, 359–366. [Google Scholar] [CrossRef]
- Mirghani, H.M.; Weerasinghe, S.; Ezimokhai, M.; Smith, J.R. Ultrasonic estimation of fetal weight at term: An evaluation of eight formulae. J. Obstet. Gynaecol. Res. 2005, 31, 409–413. [Google Scholar] [CrossRef]
- Chauhan, S.P.; Grobman, W.A.; Gherman, R.A.; Chauhan, V.B.; Chang, G.; Magann, E.F.; Hendrix, N.W. Suspicion and treatment of the macrosomic fetus: A review. Am. J. Obstet. Gynecol. 2005, 193, 332–346. [Google Scholar] [CrossRef]
- Hoopmann, M.; Abele, H.; Wagner, N.; Wallwiener, D.; Kagan, K.O. Performance of 36 Different Weight Estimation Formulae in Fetuses with Macrosomia. Fetal Diagn. Ther. 2010, 27, 204–213. [Google Scholar] [CrossRef] [PubMed]
- Breiman, L. Random forests. Mach. Learn. 2001, 45, 5–32. [Google Scholar] [CrossRef] [Green Version]
- Breiman, L. Statistical modeling: The two cultures. Stat. Sci. 2001, 16, 199–215. [Google Scholar] [CrossRef]
- Iverson, L.R.; Prasad, A.M.; Matthews, S.; Peters, M. Estimating potential habitat for 134 eastern US tree species under six climate scenarios. For. Ecol. Manag. 2008, 254, 390–406. [Google Scholar] [CrossRef]
- Han, Y.; Shi, H.; Qu, B.; Wu, Y.; Liu, J. Application of random forest method in medicine. Chin. Prev. Med. 2014, 15, 79–81. [Google Scholar]
- Xiang, H.; Yang, Y. Survey on imbalanced data mining methods. Comput. Eng. Appl. 2019, 55, 1–16. [Google Scholar]
- Sun, H.; Liu, Y.; Song, B.; Cui, X.; Luo, G.; Pan, S. Prediction of arrhythmia after intervention in children with atrial septal defect based on random forest. BMC Pediatr. 2021, 21, 280. [Google Scholar] [CrossRef]
- Liu, M.; Lang, R.L.; Cao, Y. Number of trees in random forest. Comput. Eng. Appl. 2015, 51, 126–131. [Google Scholar]
- Li, Y.; Liu, Q.-F.; Zhang, D.; Shen, Y.; Ye, K.; Lai, H.-L.; Wang, H.-Q.; Hu, C.-L.; Zhao, Q.-H.; Li, L. Weight Gain in Pregnancy, Maternal Age and Gestational Age in Relation to Fetal Macrosomia. Clin. Nutr. Res. 2015, 4, 104–109. [Google Scholar] [CrossRef] [Green Version]
- Shmueli, A.; Salman, L.; Hadar, E.; Aviram, A.; Bardin, R.; Ashwal, E.; Gabbay-Benziv, R. Sonographic prediction of macrosomia in pregnancies complicated by maternal diabetes: Finding the best formula. Arch. Gynecol. Obstet. 2018, 299, 97–103. [Google Scholar] [CrossRef]
- Merz, E.; Lieser, H.; Schicketanz, K.H.; Harle, J. Predicting fetal weight by ultrasound. Ultraschall Med. 1988, 9, 15–24. [Google Scholar] [CrossRef] [PubMed]
- Ott, W.J.; Doyle, S.; Flamm, S.; Wittman, J. Accurate ultrasonic estimation of fetal weight-prospective analysis of new ultra-sonic formulas. Am. J. Perinatol. 1986, 3, 307–310. [Google Scholar] [CrossRef] [PubMed]
- Combs, C.A.; Jaekle, R.K.; Rosenn, B.; Pope, M.; Miodovnik, M.; Siddiqi, T.A. Sonographic estimation of fetal weight based on a model of fetal volume. Obstet. Gynecol. 1993, 82, 365–370. [Google Scholar] [PubMed]
- Scioscia, M.; Vimercati, A.; Caradonna, F.; Nardelli, C.; Pinto, L.R.; Selvaggi, L.E. Estimation of fetal weight by measurement of fetal thigh soft-tissue thickness in the late third trimester. Ultrasound Obstet. Gynecol. 2008, 31, 314–320. [Google Scholar] [CrossRef]
- Stephens, K.J.; Kaza, N.; Shaw, C.J.; Lees, C.C. Fetal weight change close to term is proportional to the birthweight percentile. Eur. J. Obstet. Gynecol. Reprod. Biol. 2020, 257, 84–87. [Google Scholar] [CrossRef]
- Lai, H.; Han, B.; Li, L.; Chen, Y.; Sutphen, R.; Zhu, L.; Dai, Q. A biomarker identification method with supervised singular value decomposition and random forest for ovarian cancer detection. Chin. J. Biomed. Eng. 2010, 29, 220–228. [Google Scholar]
- De Lobel, L.; Geurts, P.; Baele, G.; Castro-Giner, F.; Kogevinas, M.; Van Steen, K. A screening methodology based on Random Forests to improve the detection of gene-gene interactions. Eur. J. Hum. Genet. 2010, 18, 1127–1132. [Google Scholar] [CrossRef]
- Li, B.-Q.; Feng, K.-Y.; Chen, L.; Huang, T.; Cai, Y.-D. Prediction of Protein-Protein Interaction Sites by Random Forest Algo-rithm with mRMR and IFS. PLoS ONE 2012, 7, e43927. [Google Scholar]
- Wang, Y.; Song, Q.; Du, Y.; Wang, J.; Zhou, J.; Du, Z.; Li, T. A random forest model to predict heatstroke occurrence for heat-wave in China. Sci. Total Environ. 2019, 650, 3048–3053. [Google Scholar] [CrossRef]
- Gao, Q.; Liu, Z.; Xiang, J.; Tong, M.; Zhang, Y.; Wang, S.; Zhang, Y.; Lu, L.; Jiang, B.; Bi, P. Forecast and early warning of hand, foot, and mouth disease based on meteorological factors: Evidence from a multicity study of 11 meteorological geographical divisions in mainland China. Environ. Res. 2021, 192, 110301. [Google Scholar] [CrossRef]





| Variables | Total Subjects | Control | ||||
|---|---|---|---|---|---|---|
| Macrosomia (N = 405) (A) | Normal Weight Newborns (N = 3855) (B) | p | Not Selected (N = 3450) (C) | Selected (N = 405) (D) | p | |
| Age (years old) | 30.2 ± 4.2 | 28.1 ± 3.7 | <0.001 | 28.9 ± 3.8 | 29.2 ± 4.1 | 0.251 |
| Pre-pregnancy BMI (Kg/m2) | 23.6 ± 4.0 | 22.3 ± 3.2 | <0.001 | 21.9 ± 3.1 | 22.1 ± 3.3 | 0.236 |
| Gestational Age (week) | 40.1 ± 0.9 | 39.8 ± 1.1 | 0.285 | 39.8 ± 1.1 | 39.9 ± 0.8 | 0.883 |
| Birth Weight (g) | 4201.5 ± 249.1 | 3325.9 ± 340.1 | <0.001 | 3331.1 ± 349.9 | 3283.5 ± 339.9 | 0.532 |
| Number of pregnancies N (%) | <0.001 | 0.295 | ||||
| 1 | 153 (37.8) | 2209 (57.3) | 1979 (57.4) | 230 (56.7) | ||
| 2 | 149 (36.8) | 1121 (29.1) | 1002 (29.0) | 119 (29.3) | ||
| ≥3 | 103(25.4) | 525(13.6) | 469(13.6) | 56 (13.8) | ||
| Parity N (%) | <0.001 | 0.347 | ||||
| 1 | 291 (71.9) | 3577 (92.8) | 3198 (92.7) | 379 (93.5) | ||
| ≥2 | 114 (28.1) | 278 (7.2) | 252 (7.3) | 26 (6.4) | ||
| Interspinal Diameter (cm) | 25.4 ± 1.2 | 25.6 ± 1.9 | 0.374 | 25.5 ± 1.8 | 25.3 ± 1.7 | 0.115 |
| Intercristal Diameter (cm) | 28.2 ± 1.3 | 28.0 ± 2.2 | 0.005 | 28.1 ± 1.8 | 28.0 ± 2.4 | 0.236 |
| Sacral External Diameter (cm) | 19.8 ± 0.6 | 20.1 ± 1.4 | 0.050 | 19.9 ± 1.2 | 20.0 ± 1.2 | 0.434 |
| Transverse Outlet (cm) | 8.5 ± 0.2 | 8.5 ± 0.5 | 0.971 | 8.5 ± 0.3 | 8.5 ± 0.4 | 0.867 |
| Evaluating Indicator | Random Forest | Logistic Regression Model | Ultrasound |
|---|---|---|---|
| Validity | |||
| Sensitivity (%) | 91.7 | 56.2 | 29.6 |
| Specificity (%) | 91.7 | 82.6 | 97.6 |
| False-negative rate (%) | 8.3 | 43.8 | 70.1 |
| False-positive rate (%) | 8.3 | 17.4 | 2.4 |
| Youden’s index (%) | 83.4 | 38.8 | 27.2 |
| Predictive value | |||
| Positive predictive value (%) | 91.7 | 70.8 | 57.7 |
| Negative predictive value (%) | 91.7 | 37.9 | 93.1 |
Publisher’s Note: MDPI stays neutral with regard to jurisdictional claims in published maps and institutional affiliations. |
© 2022 by the authors. Licensee MDPI, Basel, Switzerland. This article is an open access article distributed under the terms and conditions of the Creative Commons Attribution (CC BY) license (https://creativecommons.org/licenses/by/4.0/).
Share and Cite
Wang, F.; Wang, Y.; Ji, X.; Wang, Z. Effective Macrosomia Prediction Using Random Forest Algorithm. Int. J. Environ. Res. Public Health 2022, 19, 3245. https://doi.org/10.3390/ijerph19063245
Wang F, Wang Y, Ji X, Wang Z. Effective Macrosomia Prediction Using Random Forest Algorithm. International Journal of Environmental Research and Public Health. 2022; 19(6):3245. https://doi.org/10.3390/ijerph19063245
Chicago/Turabian StyleWang, Fangyi, Yongchao Wang, Xiaokang Ji, and Zhiping Wang. 2022. "Effective Macrosomia Prediction Using Random Forest Algorithm" International Journal of Environmental Research and Public Health 19, no. 6: 3245. https://doi.org/10.3390/ijerph19063245
APA StyleWang, F., Wang, Y., Ji, X., & Wang, Z. (2022). Effective Macrosomia Prediction Using Random Forest Algorithm. International Journal of Environmental Research and Public Health, 19(6), 3245. https://doi.org/10.3390/ijerph19063245
