Spatiotemporal Variation in Groundwater Quality and Source Apportionment along the Ye River of North China Using the PMF Model
Abstract
:1. Introduction
2. Materials and Methods
2.1. Description of the Study Area
2.2. Sample Collection and Analysis
2.3. Data Analysis
2.3.1. Positive Matrix Factorization (PMF) Model
2.3.2. The Water Quality Index (WQI)
3. Results and Discussion
3.1. Groundwater Quality Properties of the Ye River Area
3.2. Groundwater Quality Assessment by Using Water Quality Index (WQI)
3.3. The Hydrochemical Characteristics of the Groundwater in the Ye River Area
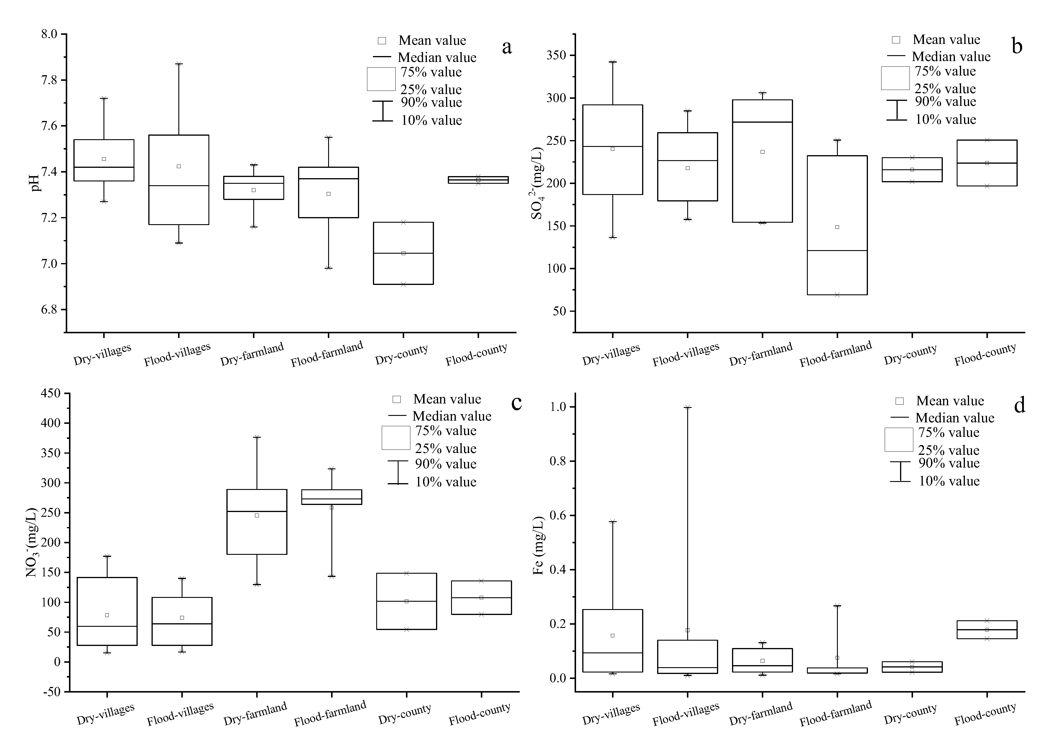
3.4. The Spatiotemporal Pattern of Groundwater Quality in the Ye River Area
3.5. Identifying the Groundwater Pollution Sources Using the PMF Model
3.6. Source Contribution Using the PMF Model
3.6.1. Estimated Contribution (mg/L) of Each Source to 16 Sampling Sites
3.6.2. Estimated Contribution Rate (%) of Each Source to 14 Water Quality Variables
3.6.3. Uncertainty analysis
4. Conclusions
Author Contributions
Funding
Institutional Review Board Statement
Informed Consent Statement
Data Availability Statement
Conflicts of Interest
References
- Hasan, M.S.U.; Rai, A.K. Groundwater quality assessment in the Lower Ganga Basin using entropy information theory and GIS. J. Clean. Prod. 2020, 274, 123077. [Google Scholar] [CrossRef]
- Gu, H.; Chi, B.; Li, H.; Jiang, J.; Qin, W.; Wang, H. Assessment of groundwater quality and identification of contaminant sources of Liujiang basin in Qinhuangdao, North China. Environ. Earth Sci. 2015, 73, 6477–6493. [Google Scholar] [CrossRef]
- Udeshani, W.A.C.; Dissanayake, H.M.K.P.; Gunatilake, S.K.; Chandrajith, R. Assessment of groundwater quality using water quality index (WQI): A case study of a hard rock terrain in Sri Lanka. Groundw. Sustain. Dev. 2020, 11, 100421. [Google Scholar] [CrossRef]
- Zhang, Q.; Miao, L.; Wang, H.; Hou, J.; Li, Y. How Rapid Urbanization Drives Deteriorating Groundwater Quality in a Provincial Capital of China. Pol. J. Environ. Stud. 2019, 29, 441–450. [Google Scholar] [CrossRef]
- Pasten-Zapata, E.; Lenesma-Ruiz, R.; Harter, T.; Ramirez, A.I.; Mahlknecht, J. Assessment of sources and fate of nitrate in shallow groundwater of an agricultural area by using a multi-tracer approach. Sci. Total Environ. 2014, 470–471, 855–864. [Google Scholar] [CrossRef] [PubMed] [Green Version]
- Zhang, Q.; Sun, J.; Liu, J.; Huang, G.; Lu, C.; Zhang, Y. Driving mechanism and sources of groundwater nitrate contamination in the rapidly urbanized region of south China. J. Contam. Hydrol. 2015, 182, 221–230. [Google Scholar] [CrossRef]
- Jeremiason, J.; Engstrom, D.; Swain, E.; Nater, E.; Johnson, B.; Almendinger, J. Sulfate Addition Increases Methylmercury Production in an Experimental Wetland. Environ. Sci. Technol. 2006, 40, 3800–3806. [Google Scholar] [CrossRef] [PubMed]
- Chen, R.; Teng, Y.G.; Chen, H.; Hu, B.; Yue, E.W. Groundwater pollution and risk assessment based on source apportionment in a typical cold agricultural region in Northeastern China. Sci. Total Environ. 2019, 696, 133972. [Google Scholar] [CrossRef]
- Huang, G.; Sun, J.; Zhang, Y.; Chen, Z.; Liu, F. Impact of anthropogenic and natural processes on the evolution of groundwater chemistry in a rapidly urbanized coastal area, South China. Sci. Total Environ. 2013, 463–464, 209–221. [Google Scholar] [CrossRef]
- Kurunc, A.; Ersahin, S.; Sonmez, N.K.; Kaman, H.; Uz, I.; Uz, B.Y.; Aslan, G.E. Seasonal changes of spatial variation of some groundwater quality variables in a large irrigated coastal Mediterranean region of Turkey. Sci. Total Environ. 2016, 554–555, 53–63. [Google Scholar] [CrossRef]
- Zhang, Q.; Wang, H. Assessment of sources and transformation of nitrate in the alluvial-pluvial fan region of north China using a multi-isotope approach. J. Environ. Sci. 2020, 89, 9–22. [Google Scholar] [CrossRef]
- Zhang, H.; Xu, Y.; Cheng, S.; Li, Q.; Yu, H. Application of the dual-isotope approach and Bayesian isotope mixing model to identify nitrate in groundwater of a multiple land-use area in Chengdu Plain, China. Sci. Total Environ. 2020, 717, 137134. [Google Scholar] [CrossRef]
- Zhang, Q.; Wang, H.; Wang, Y.; Yang, M.; Zhu, L. Groundwater quality assessment and pollution source apportionment in an intensely exploited region of northern China. Environ. Sci. Pollut. Res. 2017, 24, 16639–16650. [Google Scholar] [CrossRef]
- Zia, H.; Harris, N.R.; Merrett, G.V.; Rivers, S.M.; Coles, N. Review: The impact of agricultural activities on water quality: A case for collaborative catchment-scale management using integrated wireless sensor networks. Comput. Electron. Agric. 2013, 96, 126–138. [Google Scholar] [CrossRef] [Green Version]
- Wu, J.; Li, J.; Teng, Y.G.; Chen, H.Y.; Wang, Y.Y. A partition computing-based positive matrix factorization (PC-PMF) approach for the source apportionment of agricultural soil heavy metal contents and associated health risks. J. Hazard. Mater. 2020, 388, 121766. [Google Scholar] [CrossRef]
- Khairy, M.A.; Lohmann, R. Source apportionment and risk assessment of polycyclic aromatic hydrocarbons in the atmospheric environment of Alexandria, Egypt. Chemosphere 2013, 91, 895–903. [Google Scholar] [CrossRef] [Green Version]
- Schaefer, K.; Einax, J.W. Source Apportionment and Geostatistics: An Outstanding Combination for Describing Metals Distribution in Soil. Clean-Soil Air Water 2016, 44, 877–884. [Google Scholar] [CrossRef]
- Zhang, Q.; Wang, L.; Wang, H.; Zhu, X.; Wang, L. Spatio-Temporal Variation of Groundwater Quality and Source Apportionment Using Multivariate Statistical Techniques for the Hutuo River Alluvial-Pluvial Fan, China. Int. J. Environ. Res. Public Health. 2020, 17, 1055. [Google Scholar] [CrossRef] [PubMed] [Green Version]
- Gholizadeh, M.H.; Melesse, A.M.; Reddi, L. Water quality assessment and apportionment of pollution sources using APCS-MLR and PMF receptor modeling techniques in three major rivers of South Florida. Sci. Total Environ. 2016, 566–567, 1552–1567. [Google Scholar] [CrossRef]
- Paatero, P.; Tapper, U. Positive matrix factorization: A non-negative factor model with optimal utilization of error estimates of data values. Environmetrics 2010, 5, 111–126. [Google Scholar] [CrossRef]
- Perrone, M.G.; Larsen, B.R.; Ferrero, L.; Sangiorgi, G.; Gennaro, G.D.; Udisti, R.; Zangrando, R.; Gambaro, A.; Bolzacchini, E. Sources of high PM2.5 concentrations in Milan, Northern Italy: Molecular marker data and CMB modelling. Sci. Total Environ. 2012, 414, 343–355. [Google Scholar] [CrossRef] [PubMed]
- Yan, Y.; He, Q.; Guo, L.; Li, H.; Zhang, H.; Shao, M.; Wang, Y. Source apportionment and toxicity of atmospheric polycyclic aromatic hydrocarbons by PMF: Quantifying the influence of coal usage in Taiyuan, China. Atmos. Environ. 2017, 193, 50–59. [Google Scholar] [CrossRef]
- Hu, W.; Wang, H.; Dong, L.; Huang, B.; Holm, P.E. Source identification of heavy metals in peri-urban agricultural soils of southeast China: An integrated approach. Environ. Pollut. 2018, 237, 650–661. [Google Scholar] [CrossRef] [PubMed]
- Ren, C.; Zhang, Q.; Wang, H.; Wang, Y. Characteristics and source apportionment of polycyclic aromatic hydrocarbons of groundwater in Hutuo River alluvial-pluvial fan, China, based on PMF model. Environ. Sci. Pollut. Res. 2020, 28, 9647–9656. [Google Scholar] [CrossRef]
- Wang, J.F.; Wu, T.L. Analysis on runoff variation characteristics in the Yehe River catchment under the effect of climate change. J. Shanxi Norm. Univ. Nat. Sci. Ed. 2019, 33, 62–67. [Google Scholar]
- Ren, C.B.; Zhang, Q.Q.; Wang, H.W.; Wang, Y. Identification of Sources and Transformations of Nitrate in the Intense Human Activity Region of North China Using a Multi-Isotope and Bayesian Model. Int. J. Environ. Res. Public Health. 2021, 18, 8642. [Google Scholar] [CrossRef]
- Ministry of Natural Resources of the People’s Republic of China (MNRPRC). Standard for Groundwater Quality, (GB/T14848-2017); General Administration of Quality Supervision, Inspection and Quarantine of the People’s Republic of China: Beijing, China, 2017. [Google Scholar]
- World Health Organization. Guidelines for Drinking-Water Quality, 4th ed.; World Health Organization: Geneva, Switzerland, 2011. [Google Scholar]
- Boateng, T.K.; Opoku, F.; Acquaah, S.O.; Akoto, O. Groundwater quality assessment using statistical approach and water quality index in Ejisu-Juaben Municipality, Ghana. Environ. Earth Sci. 2016, 75, 489. [Google Scholar] [CrossRef]
- Petitt, M.; Fracchiolla, D.; Aravena, R.; Barbieri, M. Application of isotopic and geochemical tools for the evaluation of nitrogen cycling in an agricultural basin, the Fucino Plain, Central Italy. J. Hydrol. 2009, 372, 124–135. [Google Scholar] [CrossRef]
- Yan, J.; Chen, J.; Zhang, W. Study on the groundwater quality and its influencing factor in Songyuan City, Northeast China, using integrated hydrogeochemical method. Sci. Total Environ. 2021, 773, 144958. [Google Scholar] [CrossRef]
- Lin, C.Y.; Abdullah, M.H.; Praveena, S.M.; Yahaya, A.H.; Musta, B. Delineation of temporal variability and governing factors influencing the spatial variability of shallow groundwater chemistry in a tropical sedimentary island. J. Hydrol. 2012, 432, 26–42. [Google Scholar] [CrossRef]
- Moran, J.; Ramos-Leal, J.A.; Mahlknecht, J.; Santacruz-DeLetp, G.; Romero, F.M.; Fuentes Rivas, R.; Mora, A. Modeling of groundwater processes in a karstic aquifer of Sierra Madre Oriental, Mexico. Appl. Geochem. 2018, 95, 97–109. [Google Scholar] [CrossRef]
- Ren, C.; Zhang, Q. Groundwater Chemical Characteristics and Controlling Factors in a Region of Northern China with Intensive Human Activity. Int. J. Environ. Res. Public Health 2020, 17, 9126. [Google Scholar] [CrossRef]
- Gallay, M.; Martinez, J.M.; Allo, S.; Mora, A.; Cochonneau, G.; Gardel, A.; Doudou, J.C.; Sarrazin, M.; Chow, T.F.; Laraque, A. Impact of land degradation from mining activities on the sediment fluxes in two large rivers of French Guiana. Land Degrad. Dev. 2018, 29, 4323–4336. [Google Scholar] [CrossRef]
- Zhou, F.; Huang, G.H.; Guo, H.; Zhang, W.; Hao, Z. Spatio-temporal patterns and source apportionment of coastal water pollution in eastern Hong Kong. Water Res. 2007, 41, 3429–3439. [Google Scholar] [CrossRef]
- Haldar, K.; Kujawa-Roeleveld, K.; Dey, P.; Bosu, S.; Rijnaarts, H.H.M. Spatio-temporal variations in chemical-physical water quality parameters influencing water reuse for irrigated agriculture in tropical urbanized deltas. Sci. Total Environ. 2019, 708, 134559. [Google Scholar] [CrossRef]
- Xue, D.; Botte, J.; Baets, B.D.; Accoe, F.; Nestler, A.; Taylor, P.; Cleemput, O.V.; Berglund, M.; Boeckx, P. Present limitations and future prospects of stable isotope methods for nitrate source identification in surface- and groundwater. Water Res. 2009, 43, 1159–1170. [Google Scholar] [CrossRef]
- Jin, Z.; Qin, X.; Chen, L.; Jin, M.; Li, F. Using dual isotopes to evaluate sources and transformations of nitrate in the West Lake watershed, eastern China. J. Contam. Hydrol. 2015, 177, 64–75. [Google Scholar] [CrossRef]
- Juahir, H.; Zain, S.M.; Yusoff, M.K.; Hanidza, T.I.T.; Armi, A.S.M.; Toriman, M.E.; Mokhtar, M. Spatial water quality assessment of Langat River Basin (Malaysia) using environmetric techniques. Environ. Monit. Assess. 2011, 173, 625–641. [Google Scholar] [CrossRef] [Green Version]
- Gammons, C.H.; Poulson, S.R.; Henderson, T.H. Using stable isotopes (S, O) of sulfate to track local contamination of the Madison karst aquifer, Montana, from abandoned coal mine drainage. Appl. Geochem. 2013, 31, 228–238. [Google Scholar] [CrossRef]
- Torres-Martinez, J.A.; Mora, A.; Knappett, P.S.K.; Ornelas-Soto, N.; Mahlknecht, J. Tracking nitrate and sulfate sources in groundwater of an urbanized valley using a multi-tracer approach combined with a Bayesian isotope mixing model. Water Res. 2020, 182, 115962. [Google Scholar] [CrossRef]
- Zhang, Q.Q.; Wang, H.W.; Lu, C. Tracing sulfate origin and transformation in an area with multiple sources of pollution in northern China by using environmental isotopes and Bayesian isotope mixing model. Environ. Pollut. 2020, 265, 115105. [Google Scholar] [CrossRef]
- Qin, R.; Wu, Y.; Xu, Z.; Xie, D.; Zhang, C. Assessing the impact of natural and anthropogenic activities on groundwater quality in coastal alluvial aquifers of the lower Liaohe River Plain, NE China. Appl. Geochem. 2013, 31, 142–158. [Google Scholar] [CrossRef]
- Jiang, Y.; Wu, Y.; Groves, C.; Yuan, D.; Kambesis, P. Natural and anthropogenic factors affecting the groundwater quality in the Nandong karst underground river system in Yunan, China. J. Contam. Hydrol. 2009, 109, 49–61. [Google Scholar] [CrossRef]
- Lee, J.Y.; Kim, H.; Kim, Y.; Han, M. Characteristics of the event mean concentration (EMC) from rainfall runoff on an urban highway. Environ. Pollut. 2011, 159, 884–888. [Google Scholar] [CrossRef] [PubMed]
- Hu, Y.N.; He, K.L.; Sun, Z.H.; Chen, G.; Cheng, H. Quantitative source apportionment of heavy metal(loid)s in the agricultural soils of an industrializing region and associated model uncertainty. J. Hazard. Mater. 2020, 391, 122244. [Google Scholar]
- Brown, S.G.; Eberly, S.; Paatero, P.; Norris, G.A. Methods for estimating uncertainty in PMF solutions: Examples with ambient air and water quality data and guidance on reporting PMF results. Sci. Total Environ. 2015, 518, 626–635. [Google Scholar] [CrossRef] [PubMed] [Green Version]





| Parameters | Water Quality Standards | Weight (Wi) | Relative Weight (RWi) |
|---|---|---|---|
| pH | 6.5–8.5 | 4 | 0.082 |
| TDS | 1000 | 5 | 0.102 |
| Na+ | 200 | 3 | 0.061 |
| Ca2+ | 75 | 3 | 0.061 |
| Mg2+ | 50 | 3 | 0.061 |
| Cl− | 250 | 5 | 0.102 |
| SO42− | 250 | 5 | 0.102 |
| HCO3− | 500 | 1 | 0.020 |
| NO3− | 88.6 | 5 | 0.102 |
| Fe | 0.3 | 3 | 0.061 |
| Mn | 0.1 | 3 | 0.061 |
| COD | 3.0 | 5 | 0.102 |
| TH | 450 | 4 | 0.082 |
| Sum | 58 | 1 |
| Parameters (N = 32) | Units | Range | Average | S.D. | Standard | Below Standardsfor All Sites (%) |
|---|---|---|---|---|---|---|
| pH | - | 6.91–7.87 | 7.37 | 0.22 | 6.5–8.5 | 0 |
| DO | mg/L | 2.67–9.45 | 6.62 | 1.67 | - | - |
| TDS | mg/L | 499.23–1461.40 | 866.80 | 259.10 | 1000 | 31.25 |
| K+ | mg/L | 0.55–5.67 | 2.22 | 1.29 | - | - |
| Na+ | mg/L | 8.88–174.97 | 42.17 | 28.92 | 200 | 0 |
| Ca2+ | mg/L | 106.62–324.65 | 186.08 | 59.83 | - | - |
| Mg2+ | mg/L | 11.42–88.35 | 39.27 | 20.08 | - | - |
| HCO3− | mg/L | 176.20–462.10 | 312.32 | 78.94 | - | - |
| Cl− | mg/L | 25.53–280.80 | 96.38 | 62.32 | 250 | 9.38 |
| SO42− | mg/L | 69.20–342.30 | 216.47 | 66.79 | 250 | 34.38 |
| NO3− | mg/L | 15.07–376.50 | 134.60 | 100.32 | 88.6 | 59.38 |
| Fe | mg/L | 0.011–0.998 | 0.129 | 0.199 | 0.3 | 6.25 |
| Mn | mg/L | 0.001–0.045 | 0.006 | 0.011 | 0.1 | 0 |
| COD | mg/L | 0.36–1.41 | 0.78 | 0.31 | 3.0 | 0 |
| TH | mg/L | 370.79–1091.00 | 626.99 | 194.33 | 450 | 78.13 |
| WQI Range | Dry Season | Flood Season | ||
|---|---|---|---|---|
| Number of Samples | Percentage of Samples (%) | Number of Samples | Percentage of Samples (%) | |
| Excellent water | 1 | 6.2 | 1 | 6.2 |
| Good water | 9 | 56.3 | 14 | 87.5 |
| Poor water | 6 | 37.5 | 1 | 6.3 |
| Very poor water | 0 | 0 | 0 | 0 |
| Water unsuitable for drinking purposes | 0 | 0 | 0 | 0 |
| Sum | 16 | 16 | ||
| Parameters | Dry Season | Flood Season | ||||
|---|---|---|---|---|---|---|
| Factor 1 | Factor 2 | Factor 3 | Factor 1 | Factor 2 | Factor 3 | |
| pH | 0.63 | 0.96 | 5.75 | 4.74 | 1.83 | 0.65 |
| TDS | 597.69 | 94.13 | 91.27 | 294.79 | 382.46 | 67.19 |
| K+ | 0.85 | 0.35 | 0.14 | 0.41 | 0.71 | 0.14 |
| Na+ | 24.19 | 3.69 | 4.49 | 10.83 | 7.07 | 3.91 |
| Ca2+ | 122.94 | 21.69 | 18.57 | 108.66 | 29.99 | 14.56 |
| Mg2+ | 21.71 | 3.60 | 2.93 | 16.12 | 3.46 | 3.56 |
| HCO3− | 31.75 | 47.35 | 218.73 | 151.88 | 93.43 | 25.93 |
| Cl− | 39.12 | 6.09 | 8.13 | 35.09 | 18.36 | 10.46 |
| SO42− | 123.51 | 58.81 | 24.68 | 72.13 | 19.29 | 52.45 |
| NO3− | 28.01 | 7.82 | 8.58 | 18.75 | 11.54 | 2.24 |
| Fe | 0.01 | 0.07 | 0.02 | 0.02 | 0.00 | 0.10 |
| Mn | 0.001 | 0.003 | 0.002 | 0.001 | 0.002 | 0.003 |
| COD | 0.39 | 0.22 | 0.06 | 0.27 | 0.09 | 0.45 |
| TH | 426.75 | 69.75 | 65.66 | 389.49 | 95.70 | 50.81 |
| Possible sources | Domestic sewage | Industrial sewage | Water–rock interaction | Domestic sewage and water–rock interaction | Agriculture nonpoint pollution | Industrial wastewater and urban nonpoint pollution |
| Contribution (%) | 52.37 | 24.12 | 23.51 | 49.55 | 26.12 | 23.94 |
| Sites | Land Use | Depth of the Well (m) | Depth of Groundwater (m) | Pollution Sources |
|---|---|---|---|---|
| G01 | Village | 20 | 9.6 | Sewage and Manure |
| G02 | Agriculture | 30 | 10.5 | Fertilizer |
| G03 | Village | 40 | 12.5 | Sewage and Manure |
| G04 | County | 35 | 16.6 | Sewage and coal mine effluent |
| G05 | Village | 18 | 10.3 | Sewage and wastewater |
| G06 | Village | 33 | 15.1 | Sewage |
| G07 | Village | 15 | 3.2 | Sewage and coal mine effluent |
| G08 | Agriculture | 25 | 18.5 | Fertilizer and sewage |
| G09 | Agriculture | 20 | 12.2 | Fertilizer and Manure |
| G10 | Village | 12 | 6.5 | Sewage and wastewater |
| G11 | Village | 28 | 15.3 | Sewage and manure |
| G12 | Agriculture | 22 | 14.8 | Fertilizer |
| G13 | Village | 12 | 8.7 | Sewage |
| G14 | Agriculture | 25 | 9.5 | Fertilizer |
| G15 | County | 50 | 22.5 | Sewage |
| G16 | County | 45 | 23.4 | Sewage |
| Bootstrap | Dry Season | Flood Season | ||||||
|---|---|---|---|---|---|---|---|---|
| Factor 1 | Factor 2 | Factor 3 | Unmapped | Factor 1 | Factor 2 | Factor 3 | Unmapped | |
| Factor 1 | 195 | 4 | 1 | 0 | 190 | 7 | 3 | 0 |
| Factor 2 | 8 | 188 | 4 | 0 | 9 | 186 | 5 | 0 |
| Factor 3 | 3 | 5 | 192 | 0 | 3 | 4 | 193 | 0 |
| Parameters | Factor 1 | Factor 2 | Factor 3 | |||||||||
|---|---|---|---|---|---|---|---|---|---|---|---|---|
| Dry Season | Flood Season | Dry Season | Flood Season | Dry Season | Flood Season | |||||||
| Mean | SD | Mean | SD | Mean | SD | Mean | SD | Mean | SD | Mean | SD | |
| pH | 8.5 | 5.6 | 65.7 | 7.3 | 13.1 | 5.2 | 25.3 | 4.7 | 78.4 | 3.2 | 9.0 | 3.7 |
| TDS | 76.3 | 4.2 | 39.6 | 7.6 | 12.0 | 2.9 | 51.4 | 5.0 | 11.7 | 4.1 | 9.0 | 3.5 |
| K+ | 63.5 | 3.6 | 32.8 | 5.5 | 25.8 | 4.8 | 56.4 | 4.2 | 10.7 | 3.0 | 10.8 | 2.2 |
| Na+ | 74.7 | 4.6 | 49.7 | 7.1 | 11.4 | 4.7 | 32.4 | 4.6 | 13.9 | 3.1 | 17.9 | 3.6 |
| Ca2+ | 75.3 | 5.0 | 70.9 | 6.4 | 13.3 | 5.0 | 19.6 | 4.6 | 11.4 | 3.1 | 9.5 | 2.6 |
| Mg2+ | 76.9 | 4.7 | 69.7 | 6.7 | 12.8 | 4.3 | 15.0 | 4.4 | 10.4 | 3.3 | 15.4 | 3.5 |
| HCO3− | 10.7 | 3.4 | 56.0 | 7.0 | 15.9 | 4.7 | 34.4 | 4.5 | 73.4 | 3.0 | 9.6 | 3.7 |
| Cl− | 73.3 | 3.5 | 54.9 | 6.6 | 11.4 | 5.4 | 28.7 | 4.7 | 15.2 | 2.9 | 16.4 | 2.6 |
| SO42− | 59.7 | 3.1 | 50.1 | 4.8 | 28.4 | 5.5 | 13.4 | 3.7 | 11.9 | 3.8 | 36.5 | 2.8 |
| NO3− | 63.1 | 4.5 | 57.6 | 7.2 | 17.6 | 4.9 | 35.5 | 4.7 | 19.3 | 3.0 | 6.9 | 3.7 |
| Fe | 7.0 | 7.3 | 19.2 | 2.1 | 73.0 | 14.0 | 2.3 | 6.8 | 20.0 | 9.6 | 78.6 | 6.0 |
| Mn | 10.3 | 13.4 | 22.1 | 11.7 | 58.2 | 14.6 | 27.4 | 7.3 | 31.5 | 6.7 | 50.5 | 8.4 |
| COD | 58.0 | 4.5 | 32.8 | 7.3 | 32.3 | 2.9 | 11.5 | 4.8 | 9.7 | 4.6 | 55.7 | 3.5 |
| TH | 75.9 | 4.6 | 72.7 | 7.2 | 12.4 | 4.9 | 17.9 | 4.7 | 11.7 | 3.1 | 9.5 | 3.6 |
Publisher’s Note: MDPI stays neutral with regard to jurisdictional claims in published maps and institutional affiliations. |
© 2022 by the authors. Licensee MDPI, Basel, Switzerland. This article is an open access article distributed under the terms and conditions of the Creative Commons Attribution (CC BY) license (https://creativecommons.org/licenses/by/4.0/).
Share and Cite
Niu, C.; Zhang, Q.; Xiao, L.; Wang, H. Spatiotemporal Variation in Groundwater Quality and Source Apportionment along the Ye River of North China Using the PMF Model. Int. J. Environ. Res. Public Health 2022, 19, 1779. https://doi.org/10.3390/ijerph19031779
Niu C, Zhang Q, Xiao L, Wang H. Spatiotemporal Variation in Groundwater Quality and Source Apportionment along the Ye River of North China Using the PMF Model. International Journal of Environmental Research and Public Health. 2022; 19(3):1779. https://doi.org/10.3390/ijerph19031779
Chicago/Turabian StyleNiu, Chao, Qianqian Zhang, Lele Xiao, and Huiwei Wang. 2022. "Spatiotemporal Variation in Groundwater Quality and Source Apportionment along the Ye River of North China Using the PMF Model" International Journal of Environmental Research and Public Health 19, no. 3: 1779. https://doi.org/10.3390/ijerph19031779
APA StyleNiu, C., Zhang, Q., Xiao, L., & Wang, H. (2022). Spatiotemporal Variation in Groundwater Quality and Source Apportionment along the Ye River of North China Using the PMF Model. International Journal of Environmental Research and Public Health, 19(3), 1779. https://doi.org/10.3390/ijerph19031779
