Reduced Theta Sampling in Infants at Risk for Dyslexia across the Sensitive Period of Native Phoneme Learning
Abstract
:1. Introduction
2. Materials and Methods
2.1. Participants
2.2. Cognitive Testing
2.3. Socioeconimic Status (SES)
2.4. Stimuli
2.5. MEG Recording
2.6. MEG Analysis
2.7. Language Abilities
3. Results
3.1. Cognitive Testing
3.2. ASSR Reliability
3.3. LME Modelling
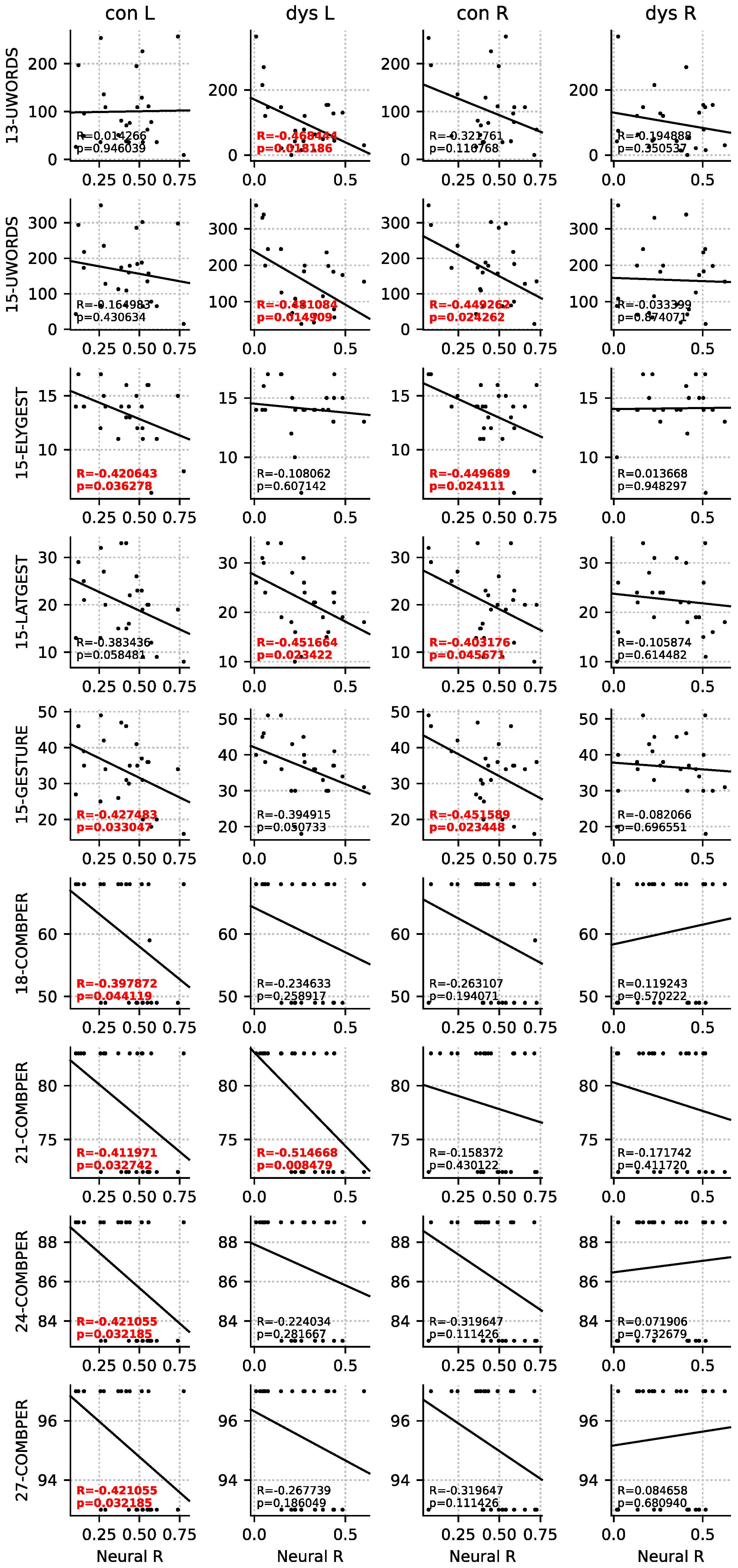
3.4. Correlations with Later Language Skills
4. Discussion
4.1. Auditory Sampling at Theta in TD Infants and at-Risk Infants
4.2. Gamma Sampling
4.3. Auditory Sampling at Theta and Its Correlation to Later Language Skills
4.4. Limitations
5. Future Works
6. Conclusions
Author Contributions
Funding
Institutional Review Board Statement
Informed Consent Statement
Data Availability Statement
Acknowledgments
Conflicts of Interest
References
- Engel, A.K.; Fries, P.; Singer, W. Dynamic predictions: Oscillations and synchrony in top-down processing. Nat. Rev. Neurosci. 2001, 2, 704–716. [Google Scholar] [CrossRef] [PubMed]
- Ghitza, O. Linking speech perception and neurophysiology: Speech decoding guided by cascaded oscillators locked to the input rhythm. Front. Psychol. 2011, 2, 130. [Google Scholar] [CrossRef] [Green Version]
- Lakatos, P.; Shah, A.S.; Knuth, K.H.; Ulbert, I.; Karmos, G.; Schroeder, C.E. An oscillatory hierarchy controlling neuronal excitability and stimulus processing in the auditory cortex. J. Neurophysiol. 2005, 94, 1904–1911. [Google Scholar] [CrossRef] [PubMed] [Green Version]
- Buzsaki, G.; Logothetis, N.; Singer, W. Scaling brain size, keeping timing: Evolutionary preservation of brain rhythms. Neuron 2013, 80, 751–764. [Google Scholar] [CrossRef] [Green Version]
- Joris, P.X.; Schreiner, C.E.; Rees, A. Neural processing of amplitude-modulated sounds. Physiol. Rev. 2004, 84, 541–577. [Google Scholar] [CrossRef] [Green Version]
- Giraud, A.L.; Kleinschmidt, A.; Poeppel, D.; Lund, T.E.; Frackowiak, R.S.; Laufs, H. Endogenous cortical rhythms determine cerebral specialization for speech perception and production. Neuron 2007, 56, 1127–1134. [Google Scholar] [CrossRef] [Green Version]
- Giraud, A.L.; Poeppel, D. Cortical oscillations and speech processing: Emerging computational principles and operations. Nat. Neurosci. 2012, 15, 511–517. [Google Scholar] [CrossRef] [Green Version]
- Poeppel, D.; Assaneo, M.F. Speech rhythms and their neural foundations. Nat. Rev. Neurosci. 2020, 21, 322–334. [Google Scholar] [CrossRef]
- Lyon, G.R.; Shaywitz, S.E.; Shaywitz, B.A. A definition of dyslexia. Ann. Dyslexia 2003, 53, 1–14. [Google Scholar] [CrossRef]
- Snowling, M.J. Phonemic deficits in developmental dyslexia. Psychol. Res. 1981, 43, 219–234. [Google Scholar] [CrossRef] [PubMed]
- Goswami, U. A temporal sampling framework for developmental dyslexia. Trends Cogn. Sci. 2011, 15, 3–10. [Google Scholar] [CrossRef] [PubMed]
- Goswami, U.; Power, A.J.; Lallier, M.; Facoetti, A. Oscillatory “temporal sampling” and developmental dyslexia: Toward an over-arching theoretical framework. Front. Hum. Neurosci. 2014, 8, 904. [Google Scholar] [CrossRef] [Green Version]
- Cutini, S.; Szucs, D.; Mead, N.; Huss, M.; Goswami, U. Atypical right hemisphere response to slow temporal modulations in children with developmental dyslexia. Neuroimage 2016, 143, 40–49. [Google Scholar] [CrossRef]
- Lizarazu, M.; Lallier, M.; Molinaro, N.; Bourguignon, M.; Paz-Alonso, P.M.; Lerma-Usabiaga, G.; Carreiras, M. Developmental evaluation of atypical auditory sampling in dyslexia: Functional and structural evidence. Hum. Brain Mapp. 2015, 36, 4986–5002. [Google Scholar] [CrossRef] [Green Version]
- Molinaro, N.; Lizarazu, M.; Lallier, M.; Bourguignon, M.; Carreiras, M. Out-of-synchrony speech entrainment in developmental dyslexia. Hum. Brain. Mapp. 2016, 37, 2767–2783. [Google Scholar] [CrossRef]
- Power, A.J.; Colling, L.J.; Mead, N.; Barnes, L.; Goswami, U. Neural encoding of the speech envelope by children with developmental dyslexia. Brain Lang. 2016, 160, 1–10. [Google Scholar] [CrossRef] [Green Version]
- Soltesz, F.; Szucs, D.; Leong, V.; White, S.; Goswami, U. Differential entrainment of neuroelectric delta oscillations in developmental dyslexia. PLoS ONE 2013, 8, e76608. [Google Scholar] [CrossRef] [PubMed] [Green Version]
- Spironelli, C.; Penolazzi, B.; Angrilli, A. Dysfunctional hemispheric asymmetry of theta and beta EEG activity during linguistic tasks in developmental dyslexia. Biol. Psychol. 2008, 77, 123–131. [Google Scholar] [CrossRef]
- De Vos, A.; Vanvooren, S.; Vanderauwera, J.; Ghesquiere, P.; Wouters, J. Atypical neural synchronization to speech envelope modulations in dyslexia. Brain Lang. 2017, 164, 106–117. [Google Scholar] [CrossRef] [PubMed]
- Lehongre, K.; Morillon, B.; Giraud, A.L.; Ramus, F. Impaired auditory sampling in dyslexia: Further evidence from combined fMRI and EEG. Front. Hum. Neurosci. 2013, 7, 454. [Google Scholar] [CrossRef] [Green Version]
- De Vos, A.; Vanvooren, S.; Vanderauwera, J.; Ghesquiere, P.; Wouters, J. A longitudinal study investigating neural processing of speech envelope modulation rates in children with (a family risk for) dyslexia. Cortex 2017, 93, 206–219. [Google Scholar] [CrossRef] [PubMed]
- Lehongre, K.; Ramus, F.; Villiermet, N.; Schwartz, D.; Giraud, A.L. Altered low-gamma sampling in auditory cortex accounts for the three main facets of dyslexia. Neuron 2011, 72, 1080–1090. [Google Scholar] [CrossRef] [Green Version]
- Hämälainen, J.A.; Rupp, A.; Soltesz, F.; Szucs, D.; Goswami, U. Reduced phase locking to slow amplitude modulation in adults with dyslexia: An MEG study. Neuroimage 2012, 59, 2952–2961. [Google Scholar] [CrossRef]
- Poelmans, H.; Luts, H.; Vandermosten, M.; Boets, B.; Ghesquiere, P.; Wouters, J. Auditory steady state cortical responses indicate deviant phonemic-rate processing in adults with dyslexia. Ear Hear. 2012, 33, 134–143. [Google Scholar] [CrossRef]
- Di Liberto, G.M.; Peter, V.; Kalashnikova, M.; Goswami, U.; Burnham, D.; Lalor, E.C. Atypical cortical entrainment to speech in the right hemisphere underpins phonemic deficits in dyslexia. Neuroimage 2018, 175, 70–79. [Google Scholar] [CrossRef]
- Power, A.J.; Mead, N.; Barnes, L.; Goswami, U. Neural entrainment to rhythmic speech in children with developmental dyslexia. Front. Hum. Neurosci. 2013, 7, 777. [Google Scholar] [CrossRef] [PubMed] [Green Version]
- Tallal, P. Auditory temporal perception, phonics, and reading disabilities in children. Brain Lang. 1980, 9, 182–198. [Google Scholar] [CrossRef]
- Egorov, A.V.; Draguhn, A. Development of coherent neuronal activity patterns in mammalian cortical networks: Common principles and local hetereogeneity. Mech. Dev. 2013, 130, 412–423. [Google Scholar] [CrossRef]
- Isler, J.R.; Tarullo, A.R.; Grieve, P.G.; Housman, E.; Kaku, M.; Stark, R.I.; Fifer, W.P. Toward an electrocortical biomarker of cognition for newborn infants. Dev. Sci. 2012, 15, 260–271. [Google Scholar] [CrossRef] [PubMed]
- Telkemeyer, S.; Rossi, S.; Koch, S.P.; Nierhaus, T.; Steinbrink, J.; Poeppel, D.; Obrig, H.; Wartenburger, I. Sensitivity of newborn auditory cortex to the temporal structure of sounds. J. Neurosci. 2009, 29, 14726–14733. [Google Scholar] [CrossRef]
- Musacchia, G.; Choudhury, N.A.; Ortiz-Mantilla, S.; Realpe-Bonilla, T.; Roesler, C.P.; Benasich, A.A. Oscillatory support for rapid frequency change processing in infants. Neuropsychologia 2013, 51, 2812–2824. [Google Scholar] [CrossRef]
- Musacchia, G.; Ortiz-Mantilla, S.; Choudhury, N.; Realpe-Bonilla, T.; Roesler, C.; Benasich, A.A. Active auditory experience in infancy promotes brain plasticity in Theta and Gamma oscillations. Dev. Cogn. Neurosci. 2017, 26, 9–19. [Google Scholar] [CrossRef] [PubMed]
- Ortiz-Mantilla, S.; Hämäläinen, J.A.; Realpe-Bonilla, T.; Benasich, A.A. Oscillatory Dynamics Underlying Perceptual Narrowing of Native Phoneme Mapping from 6 to 12 Months of Age. J. Neurosci. 2016, 36, 12095–12105. [Google Scholar] [CrossRef] [Green Version]
- Bosseler, A.N.; Taulu, S.; Pihko, E.; Makela, J.P.; Imada, T.; Ahonen, A.; Kuhl, P.K. Theta brain rhythms index perceptual narrowing in infant speech perception. Front. Psychol. 2013, 4, 690. [Google Scholar] [CrossRef] [PubMed] [Green Version]
- Kuhl, P.K. Early language acquisition: Cracking the speech code. Nat. Rev. Neurosci. 2004, 5, 831–843. [Google Scholar] [CrossRef] [PubMed]
- Peña, M.; Werker, J.F.; Dehaene-Lambertz, G. Earlier speech exposure does not accelerate speech acquisition. J. Neurosci. 2012, 32, 11159–11163. [Google Scholar] [CrossRef] [PubMed]
- Werker, J.F.; Lalonde, C.E. Cross-language speech perception: Initial capabilities and developmental change. Dev. Psychol. 1988, 24, 672–683. [Google Scholar] [CrossRef]
- Kuhl, P.K.; Stevens, E.; Hayashi, A.; Deguchi, T.; Kiritani, S.; Iverson, P. Infants show a facilitation effect for native language phonetic perception between 6 and 12 months. Dev. Sci. 2006, 9, F13–F21. [Google Scholar] [CrossRef]
- Cantiani, C.; Ortiz-Mantilla, S.; Riva, V.; Piazza, C.; Bettoni, R.; Musacchia, G.; Molteni, M.; Marino, C.; Benasich, A.A. Reduced left-lateralized pattern of event-related EEG oscillations in infants at familial risk for language and learning impairment. Neuroimage Clin. 2019, 22, 101778. [Google Scholar] [CrossRef]
- Hämälainen, M.S.; Hari, R.; Ilmoniemi, R.J.; Knuutila, J.; Lounasmaa, O.V. Magnetoencephalography—Theory, instrumentation, and applications to noninvasive studies of the working human brain. Rev. Mod. Phys. 1993, 65, 413. [Google Scholar] [CrossRef] [Green Version]
- Ross, B.; Borgmann, C.; Draganova, R.; Roberts, L.E.; Pantev, C. A high-precision magnetoencephalographic study of human auditory steady-state responses to amplitude-modulated tones. J. Acoust. Soc. Am. 2000, 108, 679–691. [Google Scholar] [CrossRef] [PubMed] [Green Version]
- Poeppel, D. The analysis of speech in different temporal integration windows: Cerebral lateralization as ‘asymmetric sampling in time’. Speech Commun. 2003, 41, 245–255. [Google Scholar] [CrossRef]
- Kuhl, P.K.; Conboy, B.T.; Coffey-Corina, S.; Padden, D.; Rivera-Gaxiola, M.; Nelson, T. Phonetic learning as a pathway to language: New data and native language magnet theory expanded (NLM-e). Philos. Trans. R. Soc. B Biol. Sci. 2008, 363, 979–1000. [Google Scholar] [CrossRef] [Green Version]
- Mittag, M.; Larson, E.; Clarke, M.; Taulu, S.; Kuhl, P.K. Auditory deficits in infants at risk for dyslexia during a linguistic sensitive period predict future language. Neuroimage Clin. 2021, 30, 102578. [Google Scholar] [CrossRef]
- Scarborough, H.S. Very early language deficits in dyslexic children. Child. Dev. 1990, 61, 1728–1743. [Google Scholar] [CrossRef]
- Duff, F.J.; Reen, G.; Plunkett, K.; Nation, K. Do infant vocabulary skills predict school-age language and literacy outcomes? J. Child. Psychol. Psychiatry 2015, 56, 848–856. [Google Scholar] [CrossRef] [Green Version]
- Wechsler, D. Wechsler Abbreviated Scale of Intelligence, 2nd ed.; Pearson: Bloomington, MN, USA, 2011. [Google Scholar]
- Schrank, F.A.; Mather, N.; McGrew, K.S. Woodcock-Johnson IV Tests of Achievement; Riverside: Rolling Meadows, IL, USA, 2014. [Google Scholar]
- Schrank, F.A.; Mather, N.; McGrew, K.S. Woodcock-Johnson IV Tests of Cognitive Abilities; Riverside: Rolling Meadows, IL, USA, 2014. [Google Scholar]
- Hollingshead, A.B. Four Factor Index of Social Status; Yale University, Department of Sociology: New Haven, CT, USA, 1975. [Google Scholar]
- Taulu, S.; Simola, J.; Kajola, M. Applications of the Signal Space Separation Method. IEEE Trans. Sign. Process. 2005, 53, 3359–3372. [Google Scholar] [CrossRef] [Green Version]
- Gramfort, A.; Luessi, M.; Larson, E.; Engemann, D.A.; Strohmeier, D.; Brodbeck, C.; Goj, R.; Jas, M.; Brooks, T.; Parkkonen, L.; et al. MEG and EEG data analysis with MNE-Python. Front. Neurosci. 2013, 7, 267. [Google Scholar] [CrossRef] [Green Version]
- Gramfort, A.; Luessi, M.; Larson, E.; Engemann, D.A.; Strohmeier, D.; Brodbeck, C.; Parkkonen, L.; Hämäläinen, M.S. MNE software for processing MEG and EEG data. Neuroimage 2014, 86, 446–460. [Google Scholar] [CrossRef] [Green Version]
- Taulu, S.; Hari, R. Removal of magnetoencephalographic artifacts with temporal signal-space separation: Demonstration with single-trial auditory-evoked responses. Hum. Brain Mapp. 2009, 30, 1524–1534. [Google Scholar] [CrossRef]
- Larson, E.; Taulu, S. The Importance of Properly Compensating for Head Movements During MEG Acquisition Across Different Age Groups. Brain Topogr. 2017, 30, 172–181. [Google Scholar] [CrossRef]
- Dale, A.M.; Fischl, B.; Sereno, M.I. Cortical surface-based analysis. I. Segmentation and surface reconstruction. Neuroimage 1999, 9, 179–194. [Google Scholar] [CrossRef]
- Ferjan Ramírez, N.; Ramírez, R.R.; Clarke, M.; Taulu, S.; Kuhl, P.K. Speech discrimination in 11-month-old bilingual and monolingual infants: A magnetoencephalography study. Dev. Sci. 2017, 20, e12427. [Google Scholar] [CrossRef]
- Zhao, T.C.; Kuhl, P.K. Musical intervention enhances infants’ neural processing of temporal structure in music and speech. Proc. Natl. Acad. Sci. USA 2016, 113, 5212–5217. [Google Scholar] [CrossRef] [Green Version]
- Meltzoff, A.N.; Ramírez, R.R.; Saby, J.N.; Larson, E.; Taulu, S.; Marshall, P.J. Infant brain responses to felt and observed touch of hands and feet: An MEG study. Dev. Sci. 2018, 21, e12651. [Google Scholar] [CrossRef] [PubMed]
- Ross, B.; Picton, T.W.; Pantev, C. Temporal integration in the human auditory cortex as represented by the development of the steady-state magnetic field. Hear. Res. 2002, 165, 68–84. [Google Scholar] [CrossRef]
- Seabold, S.; Perktold, J. Statsmodels: Econometric and statistical modeling with python. In Proceedings of the 9th Python in Science Conference, Austin, TX, USA, 28 June–3 July 2010. [Google Scholar]
- Fenson, L.; Dale, P.; Reznick, J.S.; Thal, D.; Bates, E.; Hartung, J.; Pethick, S.; Reilly, J.S. MacArthur Communicative Development Inventories: User’s Guide and Technical Manual; Singular Publishing Group: San Diego, CA, USA, 1993. [Google Scholar]
- Luo, H.; Poeppel, D. Phase patterns of neuronal responses reliably discriminate speech in human auditory cortex. Neuron 2007, 54, 1001–1010. [Google Scholar] [CrossRef] [PubMed] [Green Version]
- Ahissar, E.; Nagarajan, S.; Ahissar, M.; Protopapas, A.; Mahncke, H.; Merzenich, M.M. Speech comprehension is correlated with temporal response patterns recorded from auditory cortex. Proc. Natl. Acad. Sci. USA 2001, 98, 13367–13372. [Google Scholar] [CrossRef] [PubMed] [Green Version]
- Leong, V.; Byrne, E.H.; Clackson, K.; Harte, N.; Lam, S.; Barbaro, K.D.; Wass, S.V. Infants’ neural oscillatory processing of theta-rate speech patterns exceeds adults’. bioRxiv 2017. [Google Scholar] [CrossRef] [Green Version]
- Kalashnikova, M.; Goswami, U.; Burnham, D. Mothers speak differently to infants at-risk for dyslexia. Dev. Sci. 2018, 21, e12487. [Google Scholar] [CrossRef]
- Kalashnikova, M.; Goswami, U.; Burnham, D. Sensitivity to amplitude envelope rise time in infancy and vocabulary development at 3 years: A significant relationship. Dev. Sci. 2019, 22, e12836. [Google Scholar] [CrossRef]
- Abrams, D.A.; Nicol, T.; Zecker, S.; Kraus, N. Abnormal cortical processing of the syllable rate of speech in poor readers. J. Neurosci. 2009, 29, 7686–7693. [Google Scholar] [CrossRef] [PubMed]
- Buzsáki, G.; Wang, X.J. Mechanisms of gamma oscillations. Annu. Rev. Neurosci. 2012, 35, 203–225. [Google Scholar] [CrossRef] [Green Version]
- Bradley, L.; Bryant, P.E. Difficulties in auditory organisation as a possible cause of reading backwardness. Nature 1978, 271, 746–747. [Google Scholar] [CrossRef]
- Attaheri, A.; Choisdealbha, Á.N.; Di Liberto, G.M.; Rocha, S.; Brusini, P.; Mead, N.; Olawole-Scott, H.; Boutris, P.; Gibbon, S.; Williams, I.; et al. Delta- and theta-band cortical tracking and phase-amplitude coupling to sung speech by infants. NeuroImage 2021, 247, 118698. [Google Scholar] [CrossRef]
- Abrams, D.A.; Nicol, T.; Zecker, S.; Kraus, N. Right-hemisphere auditory cortex is dominant for coding syllable patterns in speech. J. Neurosci. 2008, 28, 3958–3965. [Google Scholar] [CrossRef]
- Thal, D.; Reilly, J.S. Origins of Language Disorders: A Special Issue of Developmental Neuropsychology; Psychology Press: Mahwah, NJ, USA, 2014. [Google Scholar]
- Leong, V.; Goswami, U. Acoustic-Emergent Phonology in the Amplitude Envelope of Child-Directed Speech. PLoS ONE 2015, 10, e0144411. [Google Scholar] [CrossRef] [Green Version]
- Leong, V.; Kalashnikova, M.; Burnham, D.; Goswami, U. The Temporal Modulation Structure of Infant-Directed Speech. Open Mind 2017, 1, 78–90. [Google Scholar] [CrossRef]
- Kalashnikova, M.; Peter, V.; Di Liberto, G.M.; Lalor, E.C.; Burnham, D. Infant-directed speech facilitates seven-month-old infants’ cortical tracking of speech. Sci. Rep. 2018, 8, 13745. [Google Scholar] [CrossRef] [PubMed]
- Temple, E.; Deutsch, G.K.; Poldrack, R.A.; Miller, S.L.; Tallal, P.; Merzenich, M.M.; Gabrieli, J.D. Neural deficits in children with dyslexia ameliorated by behavioral remediation: Evidence from functional MRI. Proc. Natl. Acad. Sci. USA 2003, 100, 2860–2865. [Google Scholar] [CrossRef] [PubMed] [Green Version]
- Habib, M.; Lardy, C.; Desiles, T.; Commeiras, C.; Chobert, J.; Besson, M. Music and Dyslexia: A New Musical Training Method to Improve Reading and Related Disorders. Front. Psychol. 2016, 7, 26. [Google Scholar] [CrossRef] [PubMed] [Green Version]




| Parent with Dyslexia | Control Parents | F | p | ηp2 | |
|---|---|---|---|---|---|
| Parents of 6-month-old infants (8 parents with dyslexia; 22 control parents) | |||||
| Age | 33.75 (5) a | 32.86 (5.4) | 0.164 b | 0.689 | 0.006 |
| Sex ratio: male/female | 5/3 | 11/11 | χ2(1) = 0.368 c | 0.544 | |
| FSIQ-2 d | 114.88 (13.7) | 118.95 (12.4) | 0.601 b | 0.445 | 0.021 |
| VCI d | 109.88 (11.9) | 119.77 (11.5) | 4.270 b (4.564) e | 0.048 (0.042) e | 0.132 (0.145) e |
| Reading d | 96.5 (7.7) | 110.59 (10.2) | 12.616 b (17.257) | 0.001 (<0.001) | 0.311 (0.390) |
| Basic Reading d | 93.5 (12.5) | 110 (11.6) | 11.384 b (14.484) | 0.002 (0.001) | 0.289 (0.349) |
| Reading speed (words) | 169.3 (186.4) f | 86 (23.7) | 4.459 b (3.654) | 0.044 (0.067) | 0.137 (0.119) |
| Reading speed (pseudo words) | 116.98 (101.3) f | 71.59 (18.2) | 4.296 b (3.506) | 0.048 (0.072) | 0.133 (0.115) |
| Spelling | 45.4 (28.3) g | 70.5 (21) g | 6.998 b (6.298) | 0.013 (0.018) | 0.200 (0.189) |
| Long-term retrieval d | 107.4 (13.8) | 117.59 (10.4) | 4.755 b (3.931) | 0.038 (0.058) | 0.145 (0.127) |
| Parents of 12-month-old infants (10 parents with dyslexia; 22 control parents) | |||||
| Age | 33.3 (5.7) | 35.86 (3.4) | 2.545 h | 0.121 | 0.078 |
| Sex ratio: male/female | 3/7 | 10/12 | χ2(1) = 0.681 | 0.409 | |
| FSIQ-2 | 112.3 (8.8) | 120.5 (12.4) | 3.594 h | 0.068 | 0.107 |
| VCI | 110.2 (9.7) | 119 (10.8) | 4.915 h (1.220) | 0.034 (0.278) | 0.141 (0.040) |
| Reading | 99.3 (6.9) | 111.2 (9.6) | 12.383 h (7.783) | 0.001 (0.009) | 0.292 (0.212) |
| Basic reading | 92 (9.1) | 109.8 (10.5) | 21.417 h (16.493) | <0.001 (<0.001) | 0.417 (0.363) |
| Reading speed (words) | 127.3 (37.9) | 79.4 (21.2) | 21.172 h (16.469) | <0.001 (<0.001) | 0.414 (0.362) |
| Reading speed (pseudo words) | 108.1 (21.2) | 69.64 (19.1) | 25.987 h (20.074) | <0.001 (<0.001) | 0.464 (0.409) |
| Spelling | 40.6 (17.9) | 73.32 (16.06) | 26.571 h (20.215) | <0.001 (<0.001) | 0.470 (0.411) |
| Long-term retrieval | 107 (14.8) | 117.91 (11) | 5.727 h (3.047) | 0.023 (0.091) | 0.160 (0.095) |
| Confidence Interval | ||||||
|---|---|---|---|---|---|---|
| Coefficient Estimate | Standard Error | z | p > |z| | [0.025] | 0.975] | |
| Intercept | 0.4 | 0.02 | 19.701 | <0.001 | 0.36 | 0.439 |
| Frequency Bands | ||||||
| 4–7 Hz | −0.14 | 0.026 | −5.387 | <0.001 * | −0.192 | −0.089 |
| 8–12 Hz | −0.064 | 0.026 | −2.46 | 0.014 | −0.115 | −0.013 |
| 13–25 Hz | −0.026 | 0.026 | −1.002 | 0.316 | −0.077 | 0.025 |
| 25–35 Hz | 0.012 | 0.026 | 0.477 | 0.633 | −0.039 | 0.064 |
| 35–50 Hz | −0.014 | 0.026 | −0.539 | 0.590 | −0.065 | 0.037 |
| 50–80 Hz | −0.013 | 0.026 | −0.488 | 0.626 | −0.064 | 0.038 |
Publisher’s Note: MDPI stays neutral with regard to jurisdictional claims in published maps and institutional affiliations. |
© 2022 by the authors. Licensee MDPI, Basel, Switzerland. This article is an open access article distributed under the terms and conditions of the Creative Commons Attribution (CC BY) license (https://creativecommons.org/licenses/by/4.0/).
Share and Cite
Mittag, M.; Larson, E.; Taulu, S.; Clarke, M.; Kuhl, P.K. Reduced Theta Sampling in Infants at Risk for Dyslexia across the Sensitive Period of Native Phoneme Learning. Int. J. Environ. Res. Public Health 2022, 19, 1180. https://doi.org/10.3390/ijerph19031180
Mittag M, Larson E, Taulu S, Clarke M, Kuhl PK. Reduced Theta Sampling in Infants at Risk for Dyslexia across the Sensitive Period of Native Phoneme Learning. International Journal of Environmental Research and Public Health. 2022; 19(3):1180. https://doi.org/10.3390/ijerph19031180
Chicago/Turabian StyleMittag, Maria, Eric Larson, Samu Taulu, Maggie Clarke, and Patricia K. Kuhl. 2022. "Reduced Theta Sampling in Infants at Risk for Dyslexia across the Sensitive Period of Native Phoneme Learning" International Journal of Environmental Research and Public Health 19, no. 3: 1180. https://doi.org/10.3390/ijerph19031180
APA StyleMittag, M., Larson, E., Taulu, S., Clarke, M., & Kuhl, P. K. (2022). Reduced Theta Sampling in Infants at Risk for Dyslexia across the Sensitive Period of Native Phoneme Learning. International Journal of Environmental Research and Public Health, 19(3), 1180. https://doi.org/10.3390/ijerph19031180

