The Effectiveness of a Four-Week Online Mindfulness Training Course on Individual Mindfulness Skills and Personal Perception of Stress in Company Employees Working from Home
Abstract
1. Introduction
2. Material and Methods
2.1. Procedure and Participants
2.2. Online Mindfulness Training
2.3. Questionnaires
2.4. Statistical Analysis
3. Results
3.1. Results of Test for Replication
3.2. Overall Results
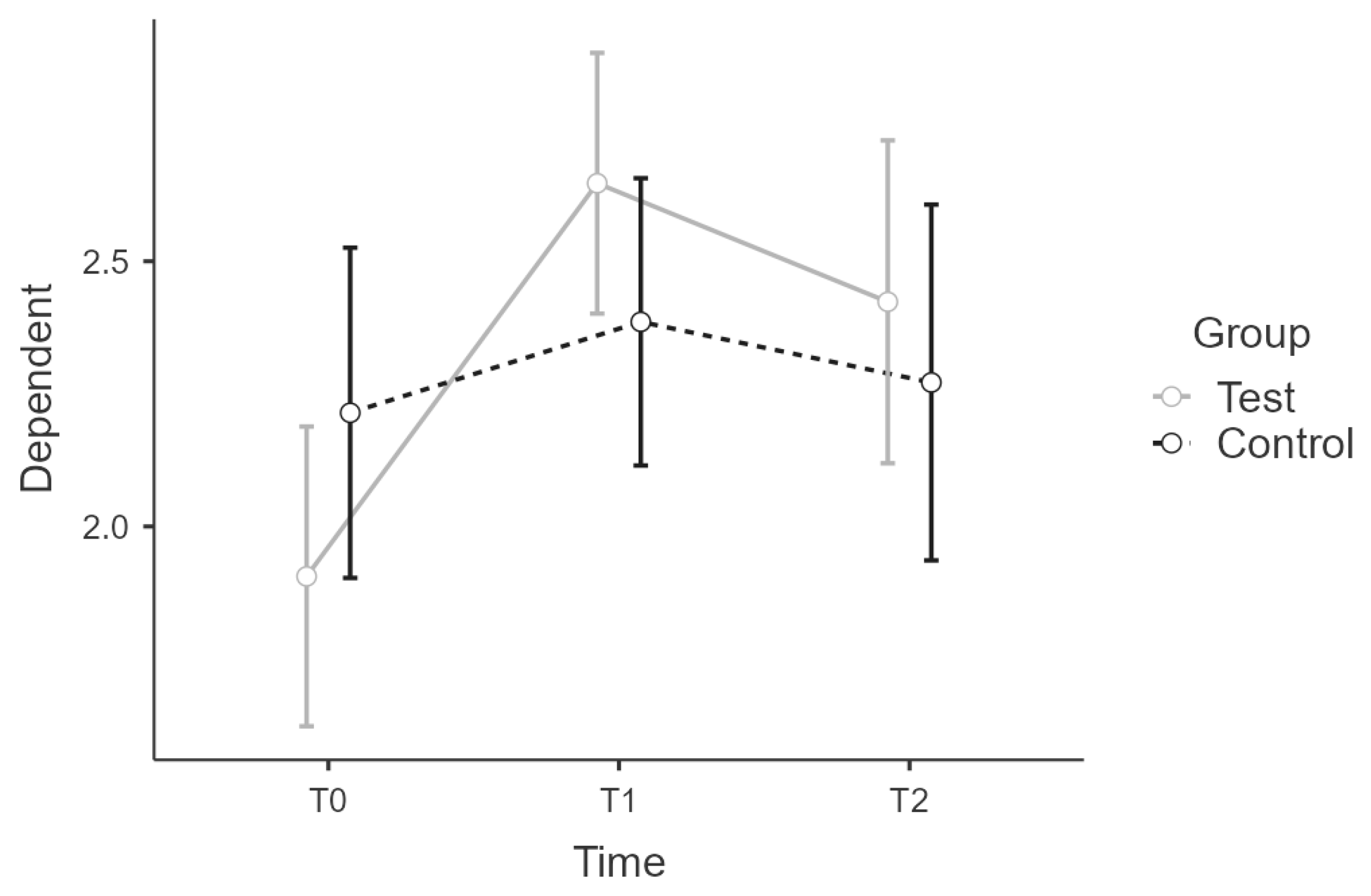
3.2.1. PSQ—Complete
3.2.2. PSQ-JOY
3.2.3. PSQ-WOR
3.2.4. PSQ-TEN
3.2.5. PSQ-DEM
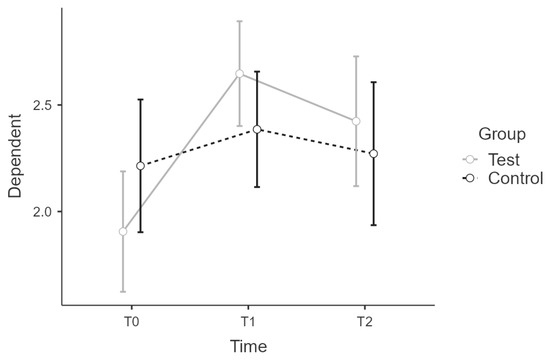
3.2.6. CH—Complete
3.2.7. CH ANA
3.2.8. CH AWA
3.2.9. CH IU
3.2.10. CH AEE
3.2.11. CH AIE
3.2.12. CH ND
3.2.13. CH OE
3.2.14. CH ATR
4. Discussion
4.1. Short-Term Effects on Mindfulness Skills and Perception of Stress
4.2. Long-Term Effects on Mindfulness Skills and Perception of Stress
4.3. Limitations and Directions for Future Research
5. Conclusions
Practitioner Points
Supplementary Materials
Author Contributions
Funding
Institutional Review Board Statement
Informed Consent Statement
Data Availability Statement
Conflicts of Interest
References
- Ipsen, C.; van Veldhoven, M.; Kirchner, K.; Hansen, J.P. Six Key Advantages and Disadvantages of Working from Home in Europe during COVID-19. Int. J. Environ. Res. Public Health 2021, 18, 1826. [Google Scholar] [CrossRef] [PubMed]
- Simenenko, O.; Lentjushenkova, O. Advantages and disadvantages of distance working. In Proceedings of the International Conference at Brno University of Technology, Faculty of Business and Management, Brno-střed, Czechia, 20 August 2021. [Google Scholar]
- Niebuhr, F.; Borle, P.; Börner-Zobel, F.; Voelter-Mahlknecht, S. Healthy and Happy Working from Home? Effects of Working from Home on Employee Health and Job Satisfaction. Int. J. Environ. Res. Public Health 2022, 19, 1122. [Google Scholar] [CrossRef] [PubMed]
- Treier, M. Gefährdungsbeurteilung Psychischer Belastungen: Begründung, Instrumente, Umsetzung (Essentials); Springer: Wiesbaden, Germany, 2019. [Google Scholar]
- Praeg, C.-P.; Bauer, W. Vom Zukunftstrend zum Arbeitsalltag 4.0: Die Zukunft der Arbeit im Spannungsfeld von Work-Life-Separation und Work-Life-Integration. In HR-Exzellenz; Springer: Berlin/Heidelberg, Germany, 2016; pp. 165–185. [Google Scholar] [CrossRef]
- Herrmann, M.; Frey Cordes, R. Homeoffice Im Zeichen Der Pandemie: Neue Perspektiven Für Wissenschaft UND Praxis? IUBH Internationale Hochschule: Erfurt, Germany, 2020. [Google Scholar]
- Spies, R. Gut durch die Krise kommen. Bankmagazin 2020, 69, 48–51. [Google Scholar] [CrossRef]
- Toniolo-Barrios, M.; Pitt, L. Mindfulness and the challenges of working from home in times of crisis. Bus. Horiz. 2021, 64, 189–197. [Google Scholar] [CrossRef] [PubMed]
- Grossman, P.; Niemann, L.; Schmidt, S.; Walach, H. Mindfulness-based stress reduction and health benefits. J. Psychosom. Res. 2004, 57, 35–43. [Google Scholar] [CrossRef]
- Hofmann, S.G.; Sawyer, A.T.; Witt, A.A.; Oh, D. The effect of mindfulness-based therapy on anxiety and depression: A meta-analytic review. J. Consult. Clin. Psychol. 2010, 78, 169–183. [Google Scholar] [CrossRef]
- Shigaki, C.L.; Glass, B.; Schopp, L.H. Mindfulness-Based Stress Reduction in Medical Settings. J. Clin. Psychol. Med. Settings 2006, 13, 209–216. [Google Scholar] [CrossRef]
- Guendelman, S.; Medeiros, S.; Rampes, H. Mindfulness and Emotion Regulation: Insights from Neurobiological, Psychological, and Clinical Studies. Front. Psychol. 2017, 8, 220. [Google Scholar] [CrossRef]
- Baer, R. Assessment of mindfulness and closely related constructs: Introduction to the special issue. Psychol. Assess. 2016, 28, 787–790. [Google Scholar] [CrossRef]
- Kabat-Zinn, J. Mindfulness-Based Interventions in Context: Past, Present, and Future. Available online: https://institutpsychoneuro.com/wp-content/uploads/2015/09/Kabat-Zinn-2003.pdf (accessed on 29 January 2021).
- Bishop, S.R.; Lau, M.; Shapiro, S.; Carlson, L.; Anderson, N.D.; Carmody, J.; Segal, Z.V.; Abbey, S.; Speca, M.; Velting, D.; et al. Mindfulness: A proposed operational definition. Clin. Psychol. Sci. Pract. 2004, 11, 230–241. [Google Scholar] [CrossRef]
- Kabat-Zinn, J. Mindfulness-Based Stress Reduction (MBSR). Authorized Curriculum Guide 2017. Available online: https://lotheijke.com/wp-content/uploads/2020/11/eight-week-mbsr-authorized-curriculum-guide-2017.pdf (accessed on 28 January 2021).
- Bartlett, L.; Martin, A.; Neil, A.L.; Memish, K.; Otahal, P.; Kilpatrick, M.; Sanderson, K. A systematic review and meta-analysis of workplace mindfulness training randomized controlled trials. J. Occup. Health Psychol. 2019, 24, 108–126. [Google Scholar] [CrossRef] [PubMed]
- Lomas, T.; Medina, J.C.; Ivtzan, I.; Rupprecht, S.; Eiroa-Orosa, F.J. Mindfulness-based interventions in the workplace: An inclusive systematic review and meta-analysis of their impact upon wellbeing. J. Posit. Psychol. 2018, 14, 625–640. [Google Scholar] [CrossRef]
- Johnson, K.R.; Park, S.; Chaudhuri, S. Mindfulness training in the workplace: Exploring its scope and outcomes. Eur. J. Train. Dev. 2020, 44, 341–354. [Google Scholar] [CrossRef]
- Pérez-Fuentes, M.d.C.; Molero Jurado, M.d.M.; Mercader Rubio, I.; Soriano Sánchez, J.G.; Gázquez Linares, J.J. Mindfulness for Preventing Psychosocial Risks in the Workplace: A Systematic Review and Meta-Analysis. Appl. Sci. 2020, 10, 1851. [Google Scholar] [CrossRef]
- Kersemaekers, W.; Rupprecht, S.; Wittmann, M.; Tamdjidi, C.; Falke, P.; Donders, R.; Speckens, A.; Kohls, N. A Workplace Mindfulness Intervention May Be Associated With Improved Psychological Well-Being and Productivity. A Preliminary Field Study in a Company Setting. Front. Psychol. 2018, 9, 195. [Google Scholar] [CrossRef]
- Hülsheger, U.R.; Alberts, H.J.E.M.; Feinholdt, A.; Lang, J.W.B. Benefits of mindfulness at work: The role of mindfulness in emotion regulation, emotional exhaustion, and job satisfaction. J. Appl. Psychol. 2013, 98, 310–325. [Google Scholar] [CrossRef]
- Martínez-Borrás, R.; Navarrete, J.; Bellosta-Batalla, M.; Martínez-Brotóns, C.; Martínez-Rubio, D. Changes in Salivary Immunoglobulin A, Stress, and Burnout in a Workplace Mindfulness Intervention: A Pilot Study. Int. J. Environ. Res. Public Health 2022, 19, 6226. [Google Scholar] [CrossRef]
- El Morr, C.; Ritvo, P.; Ahmad, F.; Moineddin, R. Effectiveness of an 8-Week Web-Based Mindfulness Virtual Community Intervention for University Students on Symptoms of Stress, Anxiety, and Depression: Randomized Controlled Trial. JMIR Ment. Health 2020, 7, e18595. [Google Scholar] [CrossRef]
- Ma, Y.; She, Z.; Siu, A.F.-Y.; Zeng, X.; Liu, X. Effectiveness of Online Mindfulness-Based Interventions on Psychological Distress and the Mediating Role of Emotion Regulation. Front. Psychol. 2018, 9, 2090. [Google Scholar] [CrossRef]
- Nadler, R.; Carswell, J.J.; Minda, J.P. Online Mindfulness Training Increases Well-Being, Trait Emotional Intelligence, and Workplace Competency Ratings: A Randomized Waitlist-Controlled Trial. Front. Psychol. 2020, 11, 255. [Google Scholar] [CrossRef]
- Querstret, D.; Cropley, M.; Fife-Schaw, C. The Effects of an Online Mindfulness Intervention on Perceived Stress, Depression and Anxiety in a Non-clinical Sample: A Randomised Waitlist Control Trial. Mindfulness 2018, 9, 1825–1836. [Google Scholar] [CrossRef] [PubMed]
- Zhang, Y.; Xue, J.; Huang, Y. A meta-analysis: Internet mindfulness-based interventions for stress management in the general population. Medicine 2020, 99, e20493. [Google Scholar] [CrossRef] [PubMed]
- Spijkerman, M.P.J.; Pots, W.T.M.; Bohlmeijer, E.T. Effectiveness of online mindfulness-based interventions in improving mental health: A review and meta-analysis of randomised controlled trials. Clin. Psychol. Rev. 2016, 45, 102–114. [Google Scholar] [CrossRef] [PubMed]
- Sommers-Spijkerman, M.; Austin, J.; Bohlmeijer, E.; Pots, W. New Evidence in the Booming Field of Online Mindfulness: An Updated Meta-analysis of Randomized Controlled Trials. JMIR Ment. Health 2021, 8, e28168. [Google Scholar] [CrossRef] [PubMed]
- Lazarus, R.S.; Folkman, S. Stress, Appraisal and Coping; Springer: New York, NY, USA, 1984. [Google Scholar]
- Hobfoll, S.E. The Series in Health Psychology and Behavioral Medicine. In The Ecology of Stress; Hemisphere Publishing Corp: New York, NY, USA, 1988. [Google Scholar]
- Ellis, A. Expanding the ABCs of rational-emotive therapy. In Cognition and Psychotherapy; Mahoney, M.J., Freeman, A., Eds.; Plenum Press: New York, NY, USA, 1985; pp. 313–323. [Google Scholar]
- Faul, F.; Erdfelder, E.; Lang, A.G.; Buchner, A. G*Power 3: A flexible statistical power analysis program for the social, behavioral, and biomedical sciences. Behav. Res. Methods 2007, 39, 175–191. [Google Scholar] [CrossRef]
- Bergomi, C.; Tschacher, W.; Kupper, Z. Konstruktion und erste Validierung eines Fragebogens zur umfassenden Erfassung von Achtsamkeit. Diagnostica 2014, 60, 111–125. [Google Scholar] [CrossRef]
- Bergomi, C.; Tschacher, W.; Kupper, Z. Measuring Mindfulness: First Steps Towards the Development of a Comprehensive Mindfulness Scale. Mindfulness 2012, 4, 18–32. [Google Scholar] [CrossRef]
- Bergomi, C.; Tschacher, W.; Kupper, Z. The Assessment of Mindfulness with Self-Report Measures: Existing Scales and Open Issues. Mindfulness 2012, 4, 191–202. [Google Scholar] [CrossRef]
- Cladder-Micus, M.B.; Becker, E.S.; Spijker, J.; Speckens, A.E.M.; Vrijsen, J.N. Effects of Mindfulness-Based Cognitive Therapy on a Behavioural Measure of Rumination in Patients with Chronic, Treatment-Resistant Depression. Cogn. Ther. Res. 2019, 43, 666–678. [Google Scholar] [CrossRef]
- Fliege, H.; Rose, M.; Arck, P.; Levenstein, S.; Klapp, B.F. PSQ. Perceived Stress Questionnaire [PSQ20—Deutsche Fassung]. In Leibniz-Zentrum für Psychologische Information und Dokumentation (ZPID), Elektronisches Testarchiv; ZPID: Treier, Germany, 2009. [Google Scholar] [CrossRef]
- The Jamovi Project. Jamovi, Version 2.2.5.0; The Jamovi Project: Sydney, Australia, 2021. [Google Scholar]
- Rasch, B.; Friese, M.; Hofmann, W.; Naumann, E. Quantitative Methoden 2; Springer: Berlin/Heidelberg, Germany, 2021. [Google Scholar] [CrossRef]
- Verma, J.P. Repeated Measures Design for Empirical Researchers (1. Aufl.); Wiley: Hoboken, NJ, USA, 2016. [Google Scholar]
- Chen, T.; Xu, M.; Tu, J.; Wang, H.; Niu, X. Relationship between Omnibus and Post-hoc Tests: An Investigation of performance of the F test in ANOVA. Shanghai Arch. Psychiatry 2018, 30, 60–64. [Google Scholar] [CrossRef]
- Holm, K.; Christman, N.J. Post hoc tests following analysis of variance. Res. Nurs. Health 1985, 8, 207–210. [Google Scholar] [CrossRef] [PubMed]
- Vaske, J.J.; Beaman, J.; Sponarski, C.C. Rethinking Internal Consistency in Cronbach’s Alpha. Leis. Sci. 2016, 39, 163–173. [Google Scholar] [CrossRef]
- Lakens, D. Calculating and reporting effect sizes to facilitate cumulative science: A practical primer for t-tests and ANOVAs. Front. Psychol. 2013, 4, 863. [Google Scholar] [CrossRef] [PubMed]
- Rice, M.E.; Harris, G.T. Comparing effect sizes in follow-up studies: ROC Area, Cohen’s d, and r. Law Hum. Behav. 2005, 29, 615–620. [Google Scholar] [CrossRef]
- Cohen, J. Statistical Power Analysis for the Behavioral Sciences; L. Erlbaum Associates: New York, NY, USA, 1988; Volume 2. [Google Scholar]
- Iani, L.; Lauriola, M.; Chiesa, A.; Cafaro, V. Associations Between Mindfulness and Emotion Regulation: The Key Role of Describing and Nonreactivity. Mindfulness 2018, 10, 366–375. [Google Scholar] [CrossRef]
- Neff, K.D. The Development and Validation of a Scale to Measure Self-Compassion. Self Identity 2003, 2, 223–250. [Google Scholar] [CrossRef]
- Schulze, K.; Kanske, P. Neuronale Korrelate der Emotionsregulation. In Handbuch Emotionsregulation; Barnow, S., Ed.; Springer: Berlin, Germany, 2020. [Google Scholar]
- Ellis, A. The revised ABC’s of rational-emotive therapy (RET). J. Ration. -Emot. Cogn. -Behav. Ther. 1991, 9, 139–172. [Google Scholar] [CrossRef]
- Flies, E. Embodiment und Emotionen im Coaching 4.0; Springer: Berlin/Heidelberg, Germany, 2020. [Google Scholar] [CrossRef]
- Ek, S. Gender differences in health information behaviour: A Finnish population-based survey. Health Promot. Int. 2015, 30, 736–745. [Google Scholar] [CrossRef]
- Verplanken, B.; Fisher, N. Habitual Worrying and Benefits of Mindfulness. Mindfulness 2013, 5, 566–573. [Google Scholar] [CrossRef]
- Goldin, P.R.; Gross, J.J. Effects of mindfulness-based stress reduction (MBSR) on emotion regulation in social anxiety disorder. Emotion 2010, 10, 83–91. [Google Scholar] [CrossRef]
- Hülsheger, U.R. Making sure that mindfulness is promoted in organizations in the right wayand for the right goals. Ind. Organ. Psychol. 2015, 8, 674–679. [Google Scholar] [CrossRef]









| Author | Title | Objectives and Method | Main Findings |
|---|---|---|---|
| Bartlett et al. (2019) [17] | A systematic review and meta-analysis of workplace mindfulness training randomized controlled trials. | This meta-analytic review examines the current literature and public domains regarding the benefits of workplace mindfulness training. | The results of the review indicate beneficial effects due to the training for mindfulness, stress, anxiety, psychological distress, and for well-being and sleep. |
| El Morr et al. (2020) [24] | Effectiveness of an 8-Week Web-Based Mindfulness Virtual Community Intervention for University Students on Symptoms of Stress, Anxiety, and Depression: Randomized Controlled Trial | In a randomized controlled trial this study assess the effectiveness of an 8-week web-based mindfulness and cognitive behavioral therapy program. It is examined how well the programm reduces symptoms of depression, anxiety, and stress and increases mindfulness. N = 160 undergraduate students. | The study found that depression and anxiety symptoms were significantly reduced and that mindfulness scores were significant increase, but it did not find a significant effect on perceived stress. |
| Johnson et al. (2020) [19] | Mindfulness training in the workplace: exploring its scope and outcomes | This integrative literature review was conducted in order to compare and contrast relevant articles and information as well as create new knowledge and point out new research directions on mindfulness practices in work settings. | The review compares 28 empirical studies and concludes that mindfulness-based training is an effective intervention for organizations to improve mental health, wellbeing and performance of employees. |
| Kersemaekers et al. (2018) [21] | A Workplace Mindfulness Intervention May Be Associated with Improved Psychological Well-Being and Productivity. A Preliminary Field Study in a Company Setting | The study examines the feasibility and effectiveness of a Workplace Mindfulness Training in regards to burnout, psychological well-being, organizational and team climate, and performance. The constructs were measured by 425 participants up to a month before, at start of, and right at the end of a Workplace Mindfulness Training. | Comparing the intervention period with the pre-intervention period significantly greater improvements were found in terms of burnout, perceived stress, the Mindfulness Attention Awareness Scale (MAAS), and well-being. |
| Ma et al. (2018) [25] | Effectiveness of Online Mindfulness-Based Interventions on Psychological Distress and the Mediating Role of Emotion Regulation | The study examines the effects of eight weeks online mindfulness-based programs in terms of psychological distress (depression and anxiety). 76 participants were deived ramdomely into four groups: group mindfulness-based intervention (GMBI), self-direct mindfulness-based intervention (SDMBI), discussion group (DG) and a control group (BCG) who all completed a pre- and post-test. | Significant pre- and post-test differences in terms of mindfulness, emotion regulation difficulties, and psychological distress were seen in the GMBI and SDMBI group. |
| Nadler et al. (2020) [26] | Online Mindfulness Training Increases Well-Being, Trait Emotional Intelligence, and Workplace Competency Ratings: A Randomized Waitlist-Controlled Trial | The study examines the effectiveness of an online 8-week mindfulness-based training program through a randomized waitlist-controlled trial in a sample of 102 adults employed fulltime at a Fortune 100 company. | The intervention group showed statistically significant decreases in stress and negative mood and significant increases in resilience, and positive mood. The study argues that an online-based mindfulness training program enhances well-being, self-perceptions of emotional intelligence, and workplace performance. |
| Pérez-Fuentes (2020) [20] | Mindfulness for Preventing Psychosocial Risks in the Workplace: A Systematic Review and Meta-Analysis | The Review and Meta-Analysis examines the findings on the efficacy of MBIs on psychological variables in the workplace published from 2009 to 2019. Out of 468 articles 24 studies were included in the systematic review and meta-analysis. | The result of the meta-analysis argues that organizational interventions in mindfulness positively influence psychological variables related to employee health and wellbeing, and recommends further research to confirm this finding. |
| Querstret et al. 2018) [27] | The Effects of an Online Mindfulness Intervention on Perceived Stress, Depression and Anxiety in a Non-clinical Sample: A Randomised Waitlist Control Trial | The study examines the effects of an 4-week online mindfulness intervention in terms of perceived stress, depression and anxiety, as well as different facets of mindfulness. 118 adults were randomised to either an intervention (INT) or waitlist control (WLC) group. Participants were encouraged to complete the course within 4 weeks. The constructs were assessed at baseline, post-treatment, 3- and 6-month after the treatment. | Participants of the mindfulness-based intervention reported significantly lower levels of perceived stress, anxiety and depression compared with waitlist control participants. The effects were maintained at follow-up. |
| Sommers-Spijkerman et al. (2021) [29] | New Evidence in the Booming Field of Online Mindfulness: An Updated Meta-analysis of Randomized Controlled Trials | The meta-analysis conducts a systematic literature search up to December 2020 on the effects of online mindfulness based interventions on mental health and the potential moderators of these effects. The analysis includes 97 trials. Pre-to-post and pre-to-follow-up were calculated in terms of depression, anxiety, stress, well-being, and mindfulness using a random effects model. | The meta-analysis found a statistically significant moderate pre-to-post effects on depression stress, and mindfulness and small effects on anxiety. For well-being, a significant small effect was found only when omitting outliers or low-quality studies. Significant but small follow-up effects were found for depression and anxiety. |
| Zhang et al. (2020) [28] | A Meta-Analysis: Internet mindfulness-based interventions for stress management in the general population | The meta-analysis conducts a systematic literature search up to April 2019 on the effects of internet mindfulness based interventions for stress reduction in the general population. 16 Studies were included in the analysis. | The meta-analysis indicated that internet mindfulness based interventions had small to moderate effects on stress and mindfulness compared with the control group. |
| Sample 1 | Sample 2 | |||
|---|---|---|---|---|
| EG | CG | EG | CG | |
| Female | 17 | 16 | 19 | 15 |
| Male | 4 | 3 | 2 | 4 |
| Sample size | 21 | 19 | 21 | 19 |
| Age 18–29 | 2 | 0 | 5 | 4 |
| Age 30–39 | 2 | 4 | 4 | 4 |
| Age 40–49 | 9 | 11 | 10 | 7 |
| Age ≥ 50 | 6 | 6 | 2 | 3 |
| In Home Office T0 | 19 | 18 | 18 | 19 |
| In Home Office T1 | 20 | 16 | 17 | 18 |
| In Home Office T2 | n.a. | n.a. | 15 | 13 |
| Employed full-time | 13 | 15 | 13 | 12 |
| Employed, half-time | 4 | 3 | 4 | 3 |
| Self-employed | n.a. | n.a. | 4 | 3 |
| Short-time-working | 3 | 3 | 0 | 1 |
| Care for Children/Home Schooling | 14 | 8 | 8 | |
| No prior Experience with Yoga, Meditation or PMR | 8 | 5 | 4 | 8 |
| Experience with Yoga, Meditation or PMR | 13 | 14 | 17 | 10 |
| Regular practice within 12 Month | 4 | 5 | 5 | 5 |
| Sum of Squares | df | Mean Square | F | p | η²p | |||
|---|---|---|---|---|---|---|---|---|
| CHIME | Time * Group | 5.47 | 3 | 1.82 | 14.30 | 0.00 | *** | 0.36 |
| Residual | 9.71 | 76 | 0.13 | |||||
| PSQ | Time * Group | 4.79 | 3 | 1.60 | 8.54 | 0.00 | *** | 0.25 |
| Residual | 14.21 | 76 | 0.19 |
| 95% CI | ||||||||||||||
|---|---|---|---|---|---|---|---|---|---|---|---|---|---|---|
| MD | Upper | Lower | SE | df | t | ptukey | d | r | ||||||
| T0 | E-S1 | = | T0 | C-S1 | −0.19 | 0.13 | −0.51 | 0.16 | 76.00 | −1.18 | 0.936 | |||
| T0 | E-S2 | = | T0 | C-S2 | −0.24 | 0.08 | −0.56 | 0.16 | 76.00 | −1.49 | 0.812 | |||
| T0 | E-S1 | = | T0 | E-S2 | −0.10 | 0.20 | −0.41 | 0.16 | 76.00 | −0.67 | 0.998 | |||
| T0 | C-S1 | = | T0 | C-S2 | −0.16 | 0.17 | −0.48 | 0.17 | 76.00 | −0.94 | 0.981 | |||
| T1 | E-S1 | > | T1 | C-S1 | 0.56 | 0.88 | 0.23 | 0.17 | 76.00 | 3.37 | 0.03 | ** | 0.77 | 0.36 |
| T1 | E-S2 | > | T1 | C-S2 | 0.38 | 0.71 | 0.06 | 0.17 | 76.00 | 2.31 | 0.30 | † | ||
| T1 | E-S1 | = | T1 | E-S2 | 0.03 | 0.35 | −0.28 | 0.16 | 76.00 | 0.21 | 1.00 | |||
| T1 | C-S1 | = | T1 | C-S2 | −0.14 | 0.19 | −0.48 | 0.17 | 76.00 | −0.84 | 0.99 | |||
| T0 | E-S1 | < | T1 | E-S1 | −0.67 | −0.41 | −0.93 | 0.13 | 76.00 | −5.00 | 0.001 | *** | 1.15 | 0.50 |
| T0 | E-S2 | < | T1 | E-S2 | −0.53 | −0.27 | −0.79 | 0.13 | 76.00 | −3.96 | 0.004 | *** | 0.91 | 0.41 |
| T0 | C-S1 | = | T1 | C-S1 | 0.08 | 0.36 | −0.19 | 0.14 | 76.00 | 0.58 | 1.00 | |||
| T0 | C-S2 | = | T1 | C-S2 | 0.09 | 0.37 | −0.18 | 0.14 | 76.00 | 0.68 | 0.997 | |||
| 95% CI | ||||||||||||||
|---|---|---|---|---|---|---|---|---|---|---|---|---|---|---|
| MD | Upper | Lower | SE | df | t | ptukey | d | r | ||||||
| T0 | E-S1 | = | T0 | C-S1 | −0.16 | 0.17 | −0.48 | 0.17 | 76.00 | −0.93 | 0.983 | |||
| T0 | E-S2 | = | T0 | C-S2 | 0.12 | 0.45 | −0.21 | 0.17 | 76.00 | 0.73 | 0.996 | |||
| T0 | E-S1 | = | T0 | E-S2 | −0.13 | 0.19 | −0.44 | 0.16 | 76.00 | −0.77 | 0.994 | |||
| T0 | C-S1 | = | T0 | C-S2 | 0.15 | 0.49 | −0.18 | 0.17 | 76.00 | 0.89 | 0.986 | |||
| T1 | E-S1 | > | T1 | C-S1 | 0.72 | 1.06 | 0.37 | 0.18 | 76.00 | 4.11 | 0.002 | ** | 0.94 | 0.43 |
| T1 | E-S2 | > | T1 | C-S2 | 0.69 | 1.03 | 0.34 | 0.18 | 76.00 | 3.93 | 0.004 | ** | 0.90 | 0.41 |
| T1 | E-S1 | = | T1 | E-S2 | 0.11 | 0.45 | −0.22 | 0.17 | 76.00 | 0.66 | 0.998 | |||
| T1 | C-S1 | = | T1 | C-S2 | 0.08 | 0.43 | −0.27 | 0.18 | 76.00 | 0.45 | 1.000 | |||
| T0 | E-S1 | < | T1 | E-S1 | −0.71 | −0.50 | −0.93 | 0.11 | 76.00 | −6.45 | 0.001 | *** | 1.48 | 0.59 |
| T0 | E-S2 | < | T1 | E-S2 | −0.47 | −0.26 | −0.69 | 0.11 | 76.00 | −4.29 | 0.001 | *** | 0.98 | 0.44 |
| T0 | C-S1 | = | T1 | C-S1 | 0.16 | 0.39 | −0.07 | 0.12 | 76.00 | 1.39 | 0.858 | |||
| T0 | C-S2 | = | T1 | C-S2 | 0.09 | 0.32 | −0.14 | 0.12 | 76.00 | 0.78 | 0.994 | |||
| Spherificity | Normality | Spherificity | |||||
|---|---|---|---|---|---|---|---|
| T0 | T1 | T2 | T0 | T1 | T2 | met | |
| PSQ | met | met | met | met | met | met | yes |
| JOY | met | met | met | met | not | met | yes |
| WOR | met | met | met | met | met | not | no |
| TEN | met | met | met | met | met | met | yes |
| DEM | met | met | met | met | not | met | yes |
| CHIME | not | not | met | met | not | met | yes |
| ANA | met | met | met | not | met | met | yes |
| AWA | met | met | met | met | met | met | yes |
| INU | met | met | met | met | met | met | yes |
| AEE | met | met | met | met | met | met | yes |
| AIE | met | met | met | met | met | met | no |
| NRD | not | not | met | met | met | met | yes |
| OEX | not | met | met | met | met | met | yes |
| ATR | met | not | met | met | met | met | yes |
Publisher’s Note: MDPI stays neutral with regard to jurisdictional claims in published maps and institutional affiliations. |
© 2022 by the authors. Licensee MDPI, Basel, Switzerland. This article is an open access article distributed under the terms and conditions of the Creative Commons Attribution (CC BY) license (https://creativecommons.org/licenses/by/4.0/).
Share and Cite
Rana, M.; Bock, L.; Riedel, E.; Moellmann, H.L.; Schorn, L.; Rana, M. The Effectiveness of a Four-Week Online Mindfulness Training Course on Individual Mindfulness Skills and Personal Perception of Stress in Company Employees Working from Home. Int. J. Environ. Res. Public Health 2022, 19, 16422. https://doi.org/10.3390/ijerph192416422
Rana M, Bock L, Riedel E, Moellmann HL, Schorn L, Rana M. The Effectiveness of a Four-Week Online Mindfulness Training Course on Individual Mindfulness Skills and Personal Perception of Stress in Company Employees Working from Home. International Journal of Environmental Research and Public Health. 2022; 19(24):16422. https://doi.org/10.3390/ijerph192416422
Chicago/Turabian StyleRana, Madiha, Lotte Bock, Erik Riedel, Henriette L. Moellmann, Lara Schorn, and Majeed Rana. 2022. "The Effectiveness of a Four-Week Online Mindfulness Training Course on Individual Mindfulness Skills and Personal Perception of Stress in Company Employees Working from Home" International Journal of Environmental Research and Public Health 19, no. 24: 16422. https://doi.org/10.3390/ijerph192416422
APA StyleRana, M., Bock, L., Riedel, E., Moellmann, H. L., Schorn, L., & Rana, M. (2022). The Effectiveness of a Four-Week Online Mindfulness Training Course on Individual Mindfulness Skills and Personal Perception of Stress in Company Employees Working from Home. International Journal of Environmental Research and Public Health, 19(24), 16422. https://doi.org/10.3390/ijerph192416422

