A Study of Cumulative COVID-19 Mortality Trends Associated with Ethnic-Racial Composition, Income Inequality, and Party Inclination among US Counties
Abstract
1. Introduction
2. Methods
2.1. Data
2.2. Analysis
3. Results
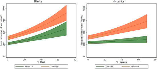
4. Discussion
5. Conclusions
Funding
Institutional Review Board Statement
Informed Consent Statement
Data Availability Statement
Conflicts of Interest
References
- Miller, I.F.; Becker, A.D.; Grenfell, B.T.; Metcalf, C.J.E. Disease and healthcare burden of COVID-19 in the United States. Nat. Med. 2020, 26, 1212–1217. [Google Scholar] [CrossRef] [PubMed]
- Perry, B.L.; Aronson, B.; Pescosolido, B.A. Pandemic precarity: COVID-19 is exposing and exacerbating inequalities in American heartland. Proc. Natl. Acad. Sci. USA 2021, 118, e2020685118. [Google Scholar] [CrossRef]
- Liao, T.F.; De Maio, F. Association of social and economic inequality with Coronavirus disease 2019 incidence and mortality across US counties. JAMA Netw. Open 2021, 4, e2034578. [Google Scholar] [CrossRef]
- Sehgal, N.J.; Yue, D.; Pope, E.; Wang, R.H.; Roby, D.H. The association between COVID-19 mortality and the county-level partisan divide in the United States. Health Aff. 2022, 41, 583–863. [Google Scholar] [CrossRef]
- Feldman, J.M.; Bassett, M.T. Variation in the COVID-19 mortality in the US by race and ethnicity and educational attainment. JAMA Netw. Open 2021, 4, e2135967. [Google Scholar] [CrossRef] [PubMed]
- Marmakar, M.; Lantz, P.M.; Tipirneni, R. Association of social and demographic factors with COVID-19 incidence and death rates in the US. JAMA Netw. Open 2021, 4, e2036462. [Google Scholar] [CrossRef] [PubMed]
- Aparicio, A.; Grossbard, S. Are COVID fatalities in the US higher than in the EU, and if so, why? Rev. Econ. Househ. 2021, 19, 307–326. [Google Scholar] [CrossRef] [PubMed]
- Samuel, L.J.; Gaskin, D.J.; Trujillo, A.J.; Szanton, S.L.; Samuel, A.; Slade, E. Race, ethnicity, poverty and the social determinants of the coronavirus divide: U.S. county-level disparities and risk factors. BMC Public Health 2021, 21, 1250. [Google Scholar] [CrossRef] [PubMed]
- Lawton, R.; Zheng, K.; Zheng, D.; Huang, E. A longitudinal study of convergence between Black and White COVID-19 mortality: A county fixed-effects approach. Lancet Reg Health–Am. 2021, 1, 100011. [Google Scholar] [CrossRef]
- USAFacts.org. US COVID-19 Cases and Deaths by State. Available online: https://usafacts.org/visualizations/coronavirus-covid-19-spread-map/ (accessed on 13 July 2022).
- Suthar, A.B.; Wang, J.; Seffren, V.; Wiegand, R.E.; Griffing, S.; Zell, E. Public health impact of COVID-19 vaccines in the United States: Observation study. BMJ 2022, 377, e069317. [Google Scholar] [CrossRef]
- Albrecht, D. Vaccination, politics and COVID-19 politics. BMC Public Health 2022, 22, 96. [Google Scholar] [CrossRef]
- Curran, P.J.; Obeidat, K.; Losardo, D. Twelve frequently asked questions about growth curve modeling. J. Cogn. Dev. 2010, 11, 121–136. [Google Scholar] [CrossRef] [PubMed]
- Kavanah, N.M.; Goel, R.R.; Venkataramani, A.S. County-level socioeconomic and political predictors of distancing for COVID-19. Am. J. Prev. Med. 2021, 61, 13–19. [Google Scholar] [CrossRef] [PubMed]
- Howard, M.C. Are face masks a partisan issue during the COVID-19 pandemic? Differentiating political ideology and political party affiliation. Int. J. Psychol. 2022, 57, 153–160. [Google Scholar] [CrossRef] [PubMed]
- Gao, J.; Radford, B.J. Death by political party: The relationship between COVID-19 deaths and political party affiliation in the Untied States. World Med. Health Policy 2021, 13, 224–249. [Google Scholar] [CrossRef] [PubMed]
- Liao, T.F. Social and economic inequality in coronavirus disease 2019 and vaccination coverage across Illinois counties. Sci. Rep. 2021, 11, 18443. [Google Scholar] [CrossRef] [PubMed]
- Liao, T.F. Understanding anti-COVID-19 vaccination protest slogans in the US. Front. Commun. 2022, 7, 941872. [Google Scholar] [CrossRef]
- David, R.; Collins, J.W., Jr. Why does racial inequality in health persist? J. Perinatol. 2021, 42, 346–350. [Google Scholar] [CrossRef]
- Jorgenson, A.K.; Hill, T.D.; Clark, B.; Thombs, R.P.; Ore, P.; Balistreri, K.S.; Givens, J.E. Power, proximity, and physiology: Does income inequality and racial composition amplify the impacts of air pollution on life expectancy in the United States? Environ. Res. Lett. 2020, 15, 024013. [Google Scholar] [CrossRef]
- Andrasik, M.P.; Maunakea, A.K.; Oseso, L.; Rodriguez-Diaz, C.E.; Wallace, S.; Walters, K.; Yukawa, M. Awakening: The unveiling of historically unaddressed social inequalities during the COVID-19 pandemic in the United States. Infect. Dis. Clin. 2022, 36, 295–308. [Google Scholar] [CrossRef]
- Avanceña, A.L.V.; DeLuca, E.K.; Lott, B.; Mauri, A.; Miller, N.; Eisenberg, D.; Hutton, D.W. Income and income inequality are a matter of life and death. What can policy makers do about it? Am. J. Public Health 2021, 111, 1404–1498. [Google Scholar] [CrossRef] [PubMed]


| Variable | Definition | Mean (Range) | Source |
|---|---|---|---|
| Mortality 1 | No. of deaths per 100,000 population, 1st period of 200 days | 26.967 (0–413.858) | USAFacts.org; US Census Bureau |
| Mortality 2 | No. of deaths per 100,000 population, 2nd period of 400 days | 173.910 (0–865.801) | USAFacts.org; US Census Bureau |
| Mortality 3 | No. of deaths per 100,000 population, 3rd period of 600 days | 226.867 (0–865.801) | USAFacts.org; US Census Bureau |
| Mortality 4 | No. of deaths per 100,000 population, 4th period of 800 days | 358.021 (0–1.211.306) | USAFacts.org; US Census Bureau |
| Mortality 5 | No. of deaths per 100,000 population, 5th period of 900 days | 372.488 (0–2030.017) | USAFacts.org; US Census Bureau |
| % male | Percent male population, 2019 | 50.116 (42.992–73.486) | US Census Bureau |
| % Age < 20 | Percent population under age 20, 2019 | 12.201 (0–22.443) | US Census Bureau |
| % Age ≥ 70 | Percent population age 70 & over, 2019 | 6.751 (1.597–21.939) | US Census Bureau |
| ACA | States implemented Medicaid Expansion, 2020 | 0.547 (0–1) | USAFacts.org; US Census Bureau |
| Days since 1st case 1 | Number of days for 1st period | 71.169 (0, 200) | USAFacts.org; US Census Bureau |
| Days since 1st case 2 | Number of days for 2nd period | 71.762 (0, 400) | USAFacts.org; US Census Bureau |
| Days since 1st case 3 | Number of days for 3rd period | 72.023 (0, 600) | USAFacts.org; US Census Bureau |
| Days since 1st case 4 | Number of days for 4th period | 72.169 (0, 800) | USAFacts.org; US Census Bureau |
| Days since 1st case 5 | Number of days for 5th period | 72.247 (0, 900) | USAFacts.org; US Census Bureau |
| Population density | Population density per km2, 2019 | 105.495 (0.014–27,755.490) | US Census Bureau |
| % Black | Percent Black population, 2019 | 9.365 (0–86.593) | US Census Bureau |
| % Hispanic | Percent Hispanic population, 2019 | 9.754 (0.648–96.353) | US Census Bureau |
| Gini index | Gini index of income inequality | 44.538 (25.670, 66.470) | 2018 Am. Com. Survey |
| Term Limit | 1 indicates yes | 0.182 (0–1) | Council of State Governments |
| Governor Rep. | 1 indicates Republican | 0.569 (0–1) | National Governors Association |
| Governor male | 1 indicates male | 0.838 (0–1) | National Governors Association |
| Republican vote | 2016 Republican vote, % | 63.508 (4.122–95.273) | GitHub with 3 county-specific additions |
| Model 1, 200 Days | Model 2, 400 Days | Model 3, 600 Days | Model 4, 800 Days | Model 5, 900 Days | ||||||
|---|---|---|---|---|---|---|---|---|---|---|
| Covariate | RR (95% CI) | p Value | RR (95% CI) | p Value | RR (95% CI) | p Value | RR (95% CI) | p Value | RR (95% CI) | p Value |
| % male | 1.007 (0.977–1.037) | =0.662 | 1.026 (1.015, 1.037) | <0.001 | 1.020 (1.010–1.029) | <0.001 | 1.018 (1.010–1.026) | <0.001 | 1.018 (1.009–1.026) | <0.001 |
| % Age < 20 | 1.155 (1.091–1.222) | <0.001 | 1.120 (1.097, 1.144) | <0.001 | 1.110 (1.090–1.130) | <0.001 | 1.100 (1.083–1.116) | <0.001 | 1.097 (1.081–1.114) | <0.001 |
| % Age ≥ 70 | 1.103 (1.042, 1.168) | <0.001 | 1.134 (1.110, 1.158) | <0.005 | 1.133 (1.113–1.154) | <0.001 | 1.130 (1.113–1.147) | <0.001 | 1.128 (1.111–1.145) | <0.001 |
| Days 1st Case | 1.014 (1.012, 1.017) | <0.001 | 1.000 (1.000–1.001) | =0.706 | 1.001 (1.000–1.002) | <0.001 | 1.001 (1.001–1.001) | <0.05 | 1.001 (1.001–1.003) | <0.01 |
| Density | 1.000 (1.000–1.000) | =0.828 | 1.000 (1.000–1.000) | <0.001 | 1.000 (1.000–1.000) | <0.001 | 1.000 (1.000–1.000) | <0.001 | 1.000 (1.000–1.000) | <0.001 |
| ACA | 1.054 (0.658–1.689) | =0.010 | 0.792 (0.590–1.100) | =0.173 | 0.806 (0.626–1.039) | =0.096 | 0.929 (0.745–1.158) | =0.512 | 0.925 (0.744–1.149) | =0.479 |
| Term Limit | 1.207 (0.733–1.987) | =0.460 | 0.954 (0.748–1.433) | =0.836 | 1.049 (0.805–1.368) | =0.724 | 0.955 (0.758–1.202) | =0.693 | 0.942 (0.751–1.181) | =0.605 |
| Governor R | 0.889 (0.592, 1.335) | =0.571 | 1.048 (0.670–1.147) | =0.336 | 0.874 (0.702–1.087) | =0.226 | 0.912 (0.754–1.103) | =0.340 | 0.903 (0.749–1.089) | =0.285 |
| Governor M | 1.134 (0.693–1.855) | =0.617 | 1.049 (0.629–1.202) | =0.398 | 0.889 (0.682–1.158) | =0.383 | 0.883 (0.701–1.111) | =0.289 | 0.889 (0.709–1.115) | =0.308 |
| % GOP vote | 0.999 (0.993, 1.005) | =0.777 | 1.005 (1.008–1.013) | <0.001 | 1.011 (1.009–1.013) | <0.001 | 1.013 (1.011–1.015) | <0.001 | 1.013 (1.012–1.015) | <0.001 |
| % Black | 1.026 (1.019–1.033) | <0.001 | 1.005 (1.012–1.017) | <0.001 | 1.014 (1.012–1.016) | <0.001 | 1.012 (1.010–1.014) | <0.001 | 1.012 (1.0100–1.014) | <0.001 |
| % Hispanic | 1.019 (1.013, 1.026) | <0.001 | 1.007 (1.007–1.012) | <0.001 | 1.008 (1.006–1.010) | <0.001 | 1.006 (1.005–1.008) | <0.001 | 1.006 (1.005–1.008) | <0.001 |
| Gini index | 1.031 (1.013, 1.049) | <0.001 | 1.012 (1.014–1.027) | <0.001 | 1.021 (1.016–1.027) | <0.001 | 1.020 (1.016–1.025) | <0.001 | 1.020 (1.015–1.025) | <0.001 |
| var (state) | 1.192 (1.227, 1.826) | <0.001 | 1.137 (1.116–1.323) | <0.001 | 1.137 (1.074–1.204) | <0.001 | 1.103 (1.014–1.035) | <0.001 | 1.099 (1.056–1.143) | <0.001 |
| Model χ2 (df) | 449.45 (13) | 474.16 (13) | 596.79 (13) | 865.58 (13) | 853.72 (13) | |||||
| Model 1 | Model 2 | ||
|---|---|---|---|
| Estimate (95% CI) p Value | Estimate (95% CI) p Value | ||
| Days in pandemic | 0.005 (0.005–0.005) < 0.001 | 0.005 (0.005–0.005) < 0.001 | |
| % male | 0.043 (0.035–0.051) < 0.001 | 0.030 (0.022–0.038) < 0.001 | |
| % Age < 20 | 0.112 (0.099–0.126) < 0.001 | 0.098 (0.084–0.112) < 0.001 | |
| % Age ≥ 70 | 0.177 (0.163–0.190) < 0.001 | 0.152 (0.138–0.166) < 0.001 | |
| Density | 0.000 (0.000–0.000) < 0.001 | 0.000 (0.000–0.000) < 0.001 | |
| ACA | 0.055 (0.015–0.096) < 0.01 | 0.050 (0.009–0.091) < 0.05 | |
| Term Limit | −0.049 (−0.094–−0.004) < 0.05 | −0.063 (−0.109–−0.018) < 0.01 | |
| Governor R | 0.028 (−0.007–0.062) = 0.115 | 0.015 (−0.020–0.049) = 0.410 | |
| Governor M | −0.170 (−0.212–−0.127) < 0.001 | −0.171 (−0.214–0.127) < 0.001 | |
| % GOP vote | 0.017 (0.016–0.019) < 0.001 | 0.017 (0.016–0.019) < 0.001 | |
| % Black | 0.020 (0.019–0.021) < 0.001 | 0.019 (0.018–0.021) < 0.001 | |
| % Hispanic | 0.007 (0.006–0.008) < 0.001 | 0.007 (0.006–0.008) < 0.001 | |
| Gini index | 0.011 (0.007–0.016) < 0.001 | 0.014 (0.009–0.018) < 0.001 | |
| Constant | −4.484 (−5.069–−3.899) < 0.001 | −3.592 (−4.185–−2.998) < 0.001 | |
| var(constant) | 0.019 (0.012–0.032) | 0.206 (0.185–0.228) | |
| var(residual) | 0.985 (0.964–1.008) | 0.939 (0.919–0.960) | |
| var(days) | 2.83 × 10−7 (2.45 × 10−7–3.27 × 10−7) | ||
| cov(days, constant) | −0.00024 (−0.00026–−0.00022) | ||
| Model χ2 (df) | 49,542.06 (13) | 43,851.33 (13) | |
| N | 18,846 (=3,141 × 6) | 18,846 (=3,141 × 6) | |
Publisher’s Note: MDPI stays neutral with regard to jurisdictional claims in published maps and institutional affiliations. |
© 2022 by the author. Licensee MDPI, Basel, Switzerland. This article is an open access article distributed under the terms and conditions of the Creative Commons Attribution (CC BY) license (https://creativecommons.org/licenses/by/4.0/).
Share and Cite
Liao, T.F. A Study of Cumulative COVID-19 Mortality Trends Associated with Ethnic-Racial Composition, Income Inequality, and Party Inclination among US Counties. Int. J. Environ. Res. Public Health 2022, 19, 15803. https://doi.org/10.3390/ijerph192315803
Liao TF. A Study of Cumulative COVID-19 Mortality Trends Associated with Ethnic-Racial Composition, Income Inequality, and Party Inclination among US Counties. International Journal of Environmental Research and Public Health. 2022; 19(23):15803. https://doi.org/10.3390/ijerph192315803
Chicago/Turabian StyleLiao, Tim F. 2022. "A Study of Cumulative COVID-19 Mortality Trends Associated with Ethnic-Racial Composition, Income Inequality, and Party Inclination among US Counties" International Journal of Environmental Research and Public Health 19, no. 23: 15803. https://doi.org/10.3390/ijerph192315803
APA StyleLiao, T. F. (2022). A Study of Cumulative COVID-19 Mortality Trends Associated with Ethnic-Racial Composition, Income Inequality, and Party Inclination among US Counties. International Journal of Environmental Research and Public Health, 19(23), 15803. https://doi.org/10.3390/ijerph192315803

