Characteristics of Soil Erodibility in the Yinna Mountainous Area, Eastern Guangdong Province, China
Abstract
1. Introduction
2. Materials and Methods
2.1. Study Area
2.2. Sample Collection and Analysis
2.2.1. Sample Collection
2.2.2. Sample Analysis
2.3. Calculation Method of Soil Erodibility Factor K
2.3.1. EPIC Model
2.3.2. Torri Model
2.3.3. Shirazi Model
3. Results
3.1. Distribution Characteristics of Soil Physical and Chemical Properties in the Yinna Mountainous Area
3.1.1. Variation of Soil Organic Carbon Content with Altitude
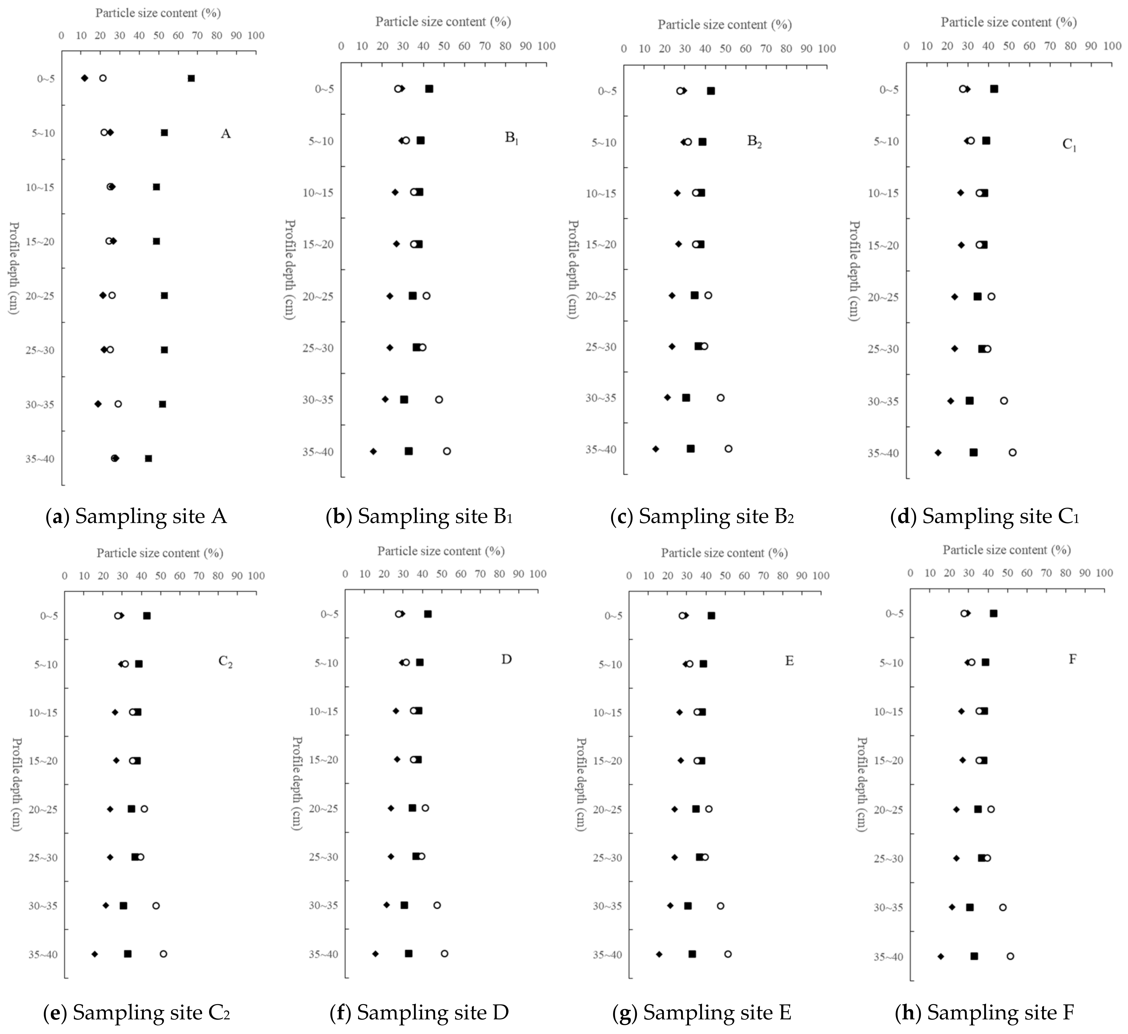
3.1.2. Variation of Soil Particle Size in Profile with Altitude
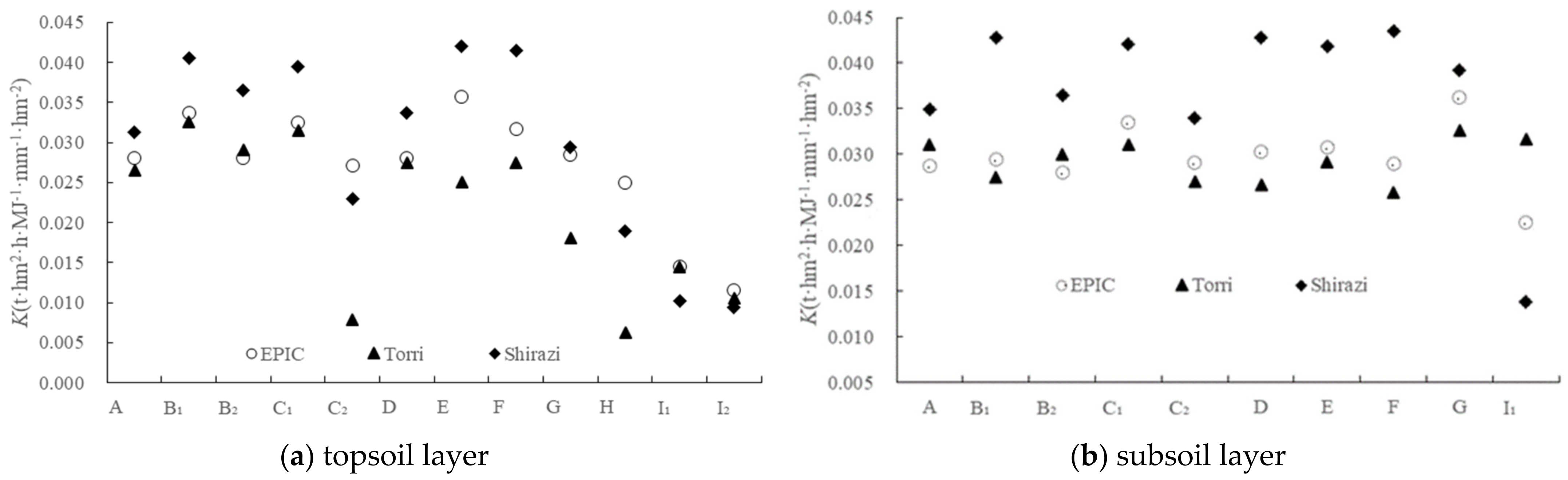
3.2. Comparative Analysis of K Value Based on Three Models
3.3. Relationship between Soil Erodibility and Soil Physical and Chemical Properties
4. Discussion
4.1. Regional Applicability of Soil Erodibility Models
4.2. Factors Affecting Soil Erodibility
5. Conclusions
Author Contributions
Funding
Institutional Review Board Statement
Informed Consent Statement
Data Availability Statement
Acknowledgments
Conflicts of Interest
References
- Wischmeier, W.H.; Mannering, J.V. Relation of soil properties to its erodibility. Soil Sci. Soc. Am. J. 1969, 33, 131–137. [Google Scholar] [CrossRef]
 - Zhang, B.J.; Zhang, G.H.; Yang, H.Y.; Wang, H. Soil resistance to flowing water erosion of seven typical plant communities on steep gully slopes on the Loess Plateau of China. Catena 2019, 173, 375–383. [Google Scholar] [CrossRef]
 - Cambardella, C.A.; Moorman, T.B.; Novak, J.M.; Parkin, T.B.; Karlen, D.L.; Turco, R.F.; Konopka, A.E. Field-scale variability of soil properties in central Iowa soils. Soil Sci. Soc. Am. J. 1994, 58, 1501–1511. [Google Scholar] [CrossRef]
 - Veihe, A. The spatial variability of erodibility and its relation to soil types: A study from northern Ghana. Geoderma 2002, 106, 101–120. [Google Scholar] [CrossRef]
 - Perez-rodriguez, R.; Marques, M.J.; Bienes, R. Spatial variability of the soil erodibility parameters and their relation with the soil map at subgroup level. Sci. Total Environ. 2007, 378, 166–173. [Google Scholar] [CrossRef] [PubMed]
 - Bonilla, C.A.; Odette, I.J. Soil erodibility mapping and its correlation with soil properties in Central Chile. Geoderma 2012, 189–190, 116–123. [Google Scholar] [CrossRef]
 - Zhu, G.Y.; Tang, Z.; Shangguan, Z.P.; Peng, C.; Deng, L. Factors affecting the spatial and temporal variations in soil erodibility of China. JGR Earth Surface 2019, 124, 737–749. [Google Scholar] [CrossRef]
 - Vleeschauwer, D.D.; Lal, R.; Boodt, D.M. Comparison of detachability indices in relation to soil erodibility for some important Nigerian soils. Pedologie 1978, 28, 5–20. [Google Scholar]
 - Vanelslande, A.; Rousseau, P.; Lal, R.; Gabriels, D.; Ghuman, B.S. Testing the applicability of a soil erodibility nomogram for some tropical soils. In Proceedings of the Challenges in African Hydrology and Water Resources, Proceedings of the Harare Symposium, Harare, Zimbabwe, July 1984; Walling, D.D., Foster, S.S.D., Wurzel, P., Eds.; IAHS Press: Wallingford, UK, 1984. [Google Scholar]
 - Shi, X.Z.; Yu, D.S.; Xing, T.Y. Soil erodibility factor K as studied using field plots in subtropical China. Acta Pedol. Sin. 1997, 34, 399–405. [Google Scholar]
 - Renard, K.G.; Foster, G.R.; Weesies, G.A.; McCool, D.K.; Yoder, D.C.; Bradford, J.M.; Cooley, K.R.; El-Swaify, S.A.; Gregory, J.M.; Istok, J.D.; et al. A Guide to Conservation Planning with the Revised Universal Soil Loss Equation (RUSLE); Agricultural Handbook No. 703; United States Department of Agriculture, Agricultural Regional Service: Washington, DC, USA, 1997. [Google Scholar]
 - Shirazi, M.A.; Boersma, L. A unifying quantitative analysis of soil texture. Soil Sci. Soc. Am. J. 1984, 48, 142–147. [Google Scholar] [CrossRef]
 - Torri, D.; Poesen, J.; Borselli, L. Predictability and uncertainty of the soil erodibility factor using a global dataset. Catena 1997, 31, 1–22. [Google Scholar] [CrossRef]
 - Sharply, A.N.; Williams, J.R. EPIC Erosion Productivity Impact Calculator: 1. Model Documentation; Technical Bulletin No. 1768; US Department of Agriculture: Washington, DC, USA, 1990. [Google Scholar]
 - Zhang, W.; Yu, D.; Shi, X.Z.; Zhang, X.Y.; Wang, H.J.; Gu, Z.J. Uncertainity in prediction of soil erodibility K-factor in subtropical China. Acta Pedol. Sin. 2009, 46, 185–191. [Google Scholar]
 - Lin, F.; Zhu, Z.; Zeng, Q.C.; An, S.S. Comparative study of three different methods for estimation of soil erodibility K in Yanhe watershed of China. Acta Pedol. Sin. 2017, 54, 1136–1146. [Google Scholar]
 - Zhao, H.; Hao, Z.M.; Qi, S.; Wang, W.Z.; Luo, J.M. The Determination on soil erodible factor–K value in purple rock hilly area of southern China—A case study in Hengyang city, Hunan province. Res. Soil Water Conserv. 2006, 13, 41–43. [Google Scholar]
 - Zheng, H.J.; Yang, J.; Yu, R.G.; Zhang, H.M.; Zhang, L. Study on soil erodibility factor K on red-soil sloping land. Chin. J. Soil Sci. 2010, 41, 425–428. [Google Scholar]
 - Shi, D.M.; Chen, Z.F.; Jiang, G.Y.; Jiang, D. Comparative study on estimation methods for soil erodibility K in purple hilly area. J. Beijing For. Univ. 2012, 34, 32–38. [Google Scholar]
 - Wang, B.; Zheng, F.L.; Romkens, M.J.M. Comparison of soil erodibility factors in USLE, RUSLE2, EPIC and Dg models based on a Chinese soil erodibility database. Acta Agric. Scand. B Soil Plant Sci. 2013, 63, 69–79. [Google Scholar] [CrossRef]
 - Wei, H.; Zhao, W.W. The optimal estimation method for K value of soil erodibility. Sci. Soil Water Conserv. 2017, 15, 52–65. [Google Scholar]
 - Zhang, X.; Zhao, W.; Wang, L.; Liu, Y.; Feng, Q.; Fang, X.; Liu, Y. Distribution of shrubland and grassland soil erodibility on the Loess Plateau. Int. J. Environ. Res. Public Health 2018, 15, 1193. [Google Scholar] [CrossRef]
 - Knapen, A.; Poesen, J.; Govers, G.; Gyssels, G.; Nachtergaele, J. Resistance of soils to concentrated flow erosion: A review. Earth Sci. Rev. 2007, 80, 75–109. [Google Scholar] [CrossRef]
 - Zhu, X.C.; Liang, Y.; Tian, Z.Y.; Wang, X. Analysis of scale-specific factors controlling soil erodibility in southeastern China using multivariate empirical mode decomposition. Catena 2021, 199, 105131. [Google Scholar] [CrossRef]
 - Barthes, B.; Roose, E. Aggregate stability as an indicator of soil susceptibility to runoff and erosion: Validation at several levels. Catena 2002, 47, 133–149. [Google Scholar] [CrossRef]
 - Stanchi, S.; Falsone, G.; Bonifacio, E. Soil aggregation, erodibility, and erosion rates in mountain soils (NW Alps, Italy). Solid Earth 2015, 6, 403–414. [Google Scholar] [CrossRef]
 - Xiao, H.; Liu, G.; Liu, P.; Zheng, F.; Zhang, J.; Hu, F. Developing equations to explore relationships between aggregate stability and erodibility in ultisols of subtropical China. Catena 2017, 157, 279–285. [Google Scholar] [CrossRef]
 - Xiao, H.; Guo, P.; Zhang, Q.; Hu, H.; Hong, H.; Zhang, L.; Yang, Y.S.; Xia, Z.Y.; Li, M.Y.; Kang, H.L.; et al. Variation in soil properties and its influence on the dynamic change of soil erosion resistance to overland flow in the water-level fluctuation zone of the Three Gorges Reservoir, China. Catena 2022, 213, 106141. [Google Scholar] [CrossRef]
 - Liang, B.; Nie, X.D.; Wan, D. Impacts of forest typical of the southern piedmont of the Himalaya mountains on soil physicochemical properties and erodibility K. Acta Pedol. Sin. 2018, 55, 1377–1388. [Google Scholar]
 - Martinez-Murillo, J.F.; Remond, R.; Ruiz-sinoga, J.D. Validation of RUSLE K factor using aggregate stability in contrasted mediterranean eco-geomorphological landscapes (southern Spain). Environ. Res. 2020, 183, 109160. [Google Scholar] [CrossRef]
 - Wang, X.T.; Sun, L.; Zhao, N.N.; Li, W.C.; Wei, X.H.; Niu, B. Multifractal dimensions of soil particle size distribution reveal the erodibility and fertility of alpine grassland soils in the Northern Tibet Plateau. J. Environ. Manag. 2022, 315, 115145. [Google Scholar] [CrossRef] [PubMed]
 - Liu, M.; Han, G.; Li, X.; Zhang, S.; Zhou, W.; Zhang, Q. Effects of soil properties on K factor in the granite and limestone regions of China. Int. J. Environ. Res. Public Health 2020, 17, 801. [Google Scholar] [CrossRef]
 - Yao, Y.F.; Liu, J.; Wang, Z. Responses of soil aggregate stability, erodibility and nutrient enrichment to simulated extreme heavy rainfall. Sci. Total Environ. 2019, 709, 136150. [Google Scholar] [CrossRef]
 - Casabella-Gonzalez, M.J.; Marizel, G.A.G.; Lorenzo, B.; García-Meza, V.J. Glomalin-related soil protein analysis and its role in erodibility in a semiarid zone in San Luis Potosi, Mexico. Catena 2021, 203, 105351. [Google Scholar] [CrossRef]
 - Wu, X.; Wei, Y.; Wang, J.; Cai, C.; Deng, Y.; Xia, J. RUSLE erodibility of heavy-textured soils as affected by soil type, erosional degradation, and rainfall intensity: A field simulation. Land Degrad. Dev. 2018, 29, 408–421. [Google Scholar] [CrossRef]
 - Chen, M.H.; Zhou, F.J.; Huang, Y.H.; Lu, C.L.; Lin, F.X. Study on the soil erodibility factor. J. Soil Water Conserv. 1995, 9, 19–24. [Google Scholar]
 - Ou, X.; Chen, Z.B.; Chen, Z.Q.; Jiang, C.; Zhao, J.T.; Ren, T.J. Variation of soil physical-chemical property and erodibility in the area of collapse mound of southwestern Fujian. Sci. Soil Water Conserv. 2016, 14, 84–85. [Google Scholar]
 - Wang, H.; Zhang, G.H.; Li, N.N.; Zhang, B.J.; Yang, H.Y. Variation in soil erodibility under five typical land uses in a small watershed on the Loess Plateau, China. Catena 2019, 174, 24–35. [Google Scholar] [CrossRef]
 - Deng, Y.S.; Shen, X.; Xia, D.; Cai, C.; Ding, S.; Wang, T. Soil erodibility and physicochemical properties of collapsing gully alluvial fans in southern China. Pedosphere 2019, 29, 102–113. [Google Scholar] [CrossRef]
 - Zhou, Y.; Ma, H.; Xie, Y.; Lu, Q.; Shen, Y.; Ma, J. Response of soil aggregate stability and erodibility to different treatments on typical steppe in the Loess Plateau, China. Restor. Ecol. 2021, 30, e13593. [Google Scholar] [CrossRef]
 - Dong, L.B.; Li, J.W.; Zhang, Y.; Bing, M.; Liu, Y.; Wu, J.; Hai, X.; Li, A.; Wang, K.; Wu, P.; et al. Effects of vegetation restoration types on soil nutrients and soil erodibility regulated by slope positions on the Loess Plateau. J. Environ. Manag. 2022, 302, 113985. [Google Scholar] [CrossRef]
 - Tejada, M.; Gonzalez, J.L. The relationships between erodibility and erosion in a soil treated with two organic amendments. Soil Tillage Res. 2006, 91, 186–198. [Google Scholar] [CrossRef]
 - Rao, L.Y.; Xu, Y.Q.; Hu, J.R.; Wang, Z.Z.; Yao, W.Y.; Shen, Z.Z. Study on soil erodibilty factor K on soil cover area of pisha sandstone region. J. Basic Sci. Eng. 2020, 28, 763–773. [Google Scholar]
 - Gumiere, S.J.; Le Bissonnais, Y.; Raclot, D. Soil resistance to interrill erosion: Model parameterization and sensitivity. Catena 2009, 77, 274–284. [Google Scholar] [CrossRef]
 - Bryan, R.B. Soil erodibility and processes of water erosion on hillslope. Geomorphology 2000, 32, 385–415. [Google Scholar] [CrossRef]
 - Zhang, K.L.; Li, S.; Peng, W.; Yu, B. Erodibility of agricultural soils on the Loess Plateau of China. Soil Tillage Res. 2004, 76, 157–165. [Google Scholar] [CrossRef]
 - Zhu, C.G.; Li, W.H.; Li, D.L.; Liu, Z.M.; Fu, L. Feature Analysis of soil physicochemical properties and erodibility of the Yili valley. Resour. Sci. 2016, 38, 1212–1221. [Google Scholar]
 - Chen, Z.X.; Wang, W.L.; Guo, M.M.; Wang, T.C.; Guo, W.Z.; Wang, W.X.; Zhao, M. Effects of vegetation restoration on soil erodibility on different geomorphological locations in the loess-tableland and gully region of the Loess Plateau. J. Nat. Resour. 2020, 35, 387–398. [Google Scholar]
 - Chen, S.Q.; Zhang, G.; Luo, Y.; Wang, K.; Wang, C. Soil erodibility indicators as affected by water level fluctuations in the Three Gorges Reservoir area, China. Catena 2021, 207, 105692. [Google Scholar] [CrossRef]
 - Liao, F.L.; Yang, Q.H. Forest vegetations and their vertical distributions in Yinnashan Mountain of Guangdong province. Acta Bot. Boreal. Occident. Sin. 2006, 26, 393–401. [Google Scholar]
 - Nanjing Institute of Soil Research, Chinese Academy of Sciences. Physical and Chemical Analysis of Soil; Shanghai Science and Technology Press: Shanghai, China, 1978. [Google Scholar]
 - Kemper, W.D.; Rosenau, R.C. Aggregate stability and size distribution. In Methods of Soil Analysis: Part 1 Physical and Mineralogical Methods, 2nd ed.; Agron. Monogr. 9; ASA and SSSA: Madison, WI, USA, 1986; pp. 425–442. [Google Scholar]
 - Yang, Y.S. A study on the erodibility of parplish soil under different land utilization forms. J. Soil Water Conserv. 1992, 6, 52–58. [Google Scholar]
 - Romkens, M.J.M.; Roth, C.B.; Nelson, D.W. Erodibility of selected clay subsoils in relation to physical and chemical properties. Soil Sci. Soc. Am. J. 1977, 41, 954–960. [Google Scholar] [CrossRef]
 - Zhang, B.; Jiang, G.Y.; Chen, Z.F.; Shi, D.M. Factors of soil erodibility of purplish soil in hilly region. Acta Pedol. Sin. 2010, 47, 354–358. [Google Scholar]
 - Shi, Z.H.; Fang, N.F.; Wu, F.Z.; Wang, L.; Yue, B.J.; Wu, G.L. Soil erosion processes and sediment sorting associated with transport mechanisms on steep slope. J. Hydrol. 2012, 454–455, 123–130. [Google Scholar] [CrossRef]
 - Liu, B.Y.; Zhang, K.L.; Jiao, J.Y. Soil erodibility and its use in soil erosion prediction model. J. Nat. Resour. 1999, 14, 345–350. [Google Scholar]
 - Nearing, M.A.; Bradford, J.M.; Parker, S.C. Soil detachment by shallow flow at low slopes. Soil Sci. Soc. Am. J. 1991, 55, 351–357. [Google Scholar] [CrossRef]
 - Owoputi, L.O.; Stolte, W.J. The role of seepage in erodibility. Hydrol. Process. 2001, 15, 13–22. [Google Scholar] [CrossRef]
 - Liu, W.Y. Study on Rainfall erosivity and soil erodibility in the Zhaotong basin in Yunnan province. Yunnan Geogra. Environ. Res. 1999, 11, 76–82. [Google Scholar]
 - Guo, Z.M.; Chen, Y.B.; Chen, Z.W. Study on Soil erodibility characteristics and K value mapping. J. Soil Water Conserv. Sci. 2002, 1, 15–17. [Google Scholar]
 - Deng, L.J.; Hou, D.B.; Wang, C.Q.; Zhang, S.R.; Xia, J.G. Study on soil erodibility of natural soil and dry land in Sichuan province. Soil Water Conserv. China 2003, 27–29, 48. [Google Scholar]
 - Lv, X.X.; Shen, R.M. A preliminary study on the values K of soil erodibility factor. J. Soil Water Conserv. 1992, 6, 63–70. [Google Scholar]
 - Miao, C.Y.; Liu, B.Y.; Liu, G.; Zhang, T.Y. Study on particle distribution and its erodibility in typical black soil area of northeast China. J. Soil Water Conserv. 2008, 22, 18–23. [Google Scholar]
 - Yang, L.; He, X.; Bao, Y.; Zheng, X.; Song, J.; Li, J. Soil erodibility of cynodon dactylon grassland at different altitudes in the reservoir riparian zone. Res. Soil Water Conserv. 2021, 28, 1–6. [Google Scholar]
 - Yang, Z.Z.C.; Chen, Z.Q. Preliminary study on approximate calculation of erodibility of red soil in hilly tea garden of Wuyi mountains. Res. Soil Water Conserv. 2022, 29, 21–27. [Google Scholar]
 - Liu, M.; Han, G.L.; Zhang, Q. Effects of soil aggregate stability on soil organic carbon and nitrogen under land use change in an erodible region in southwest China. Int. J. Environ. Res. Public Health 2019, 16, 3809. [Google Scholar] [CrossRef] [PubMed]
 - Liu, X.J.; Zhang, Y.; Li, P. Spatial variation characteristics of soil erodibility in the Yingwugou watershed of the middle Dan river, China. Int. J. Environ. Res. Public Health 2020, 17, 3568. [Google Scholar] [CrossRef] [PubMed]
 - Qian, M.J.; Zhou, W.X.; Wang, S.F.; Li, Y.T.; Cao, Y.G. The Influence of soil erodibility and saturated hydraulic conductivity on soil nutrients in the Pingshuo opencast coalmine, China. Int. J. Environ. Res. Public Health 2022, 19, 4762. [Google Scholar] [CrossRef]
 - Song, G.; Shi, D.M.; Jiang, G.Y.; Jiang, N.; Ye, Q.; Zhang, J.L. Effects of different fertilization methods on restoration of eroded and degraded cultivated-layer in slope farmland. Sci. Agric. Sin. 2021, 54, 1702–1714. [Google Scholar]
 - Yu, Y.C.; Zhang, G.H.; Geng, R.; Li, Z.W. Temporal variation in soil rill erodibility to concentrated flow detachment under four typical croplands in the Loess Plateau of China. J. Soil Water Conserv. 2014, 69, 352–363. [Google Scholar] [CrossRef]
 - Mallick, J.; Alwadi, H.; Rahman, A.; Mohd Ahmeda, M.; Khana, R.A. Spatial variability of soil erodibility and its correlation with soil properties in semi-arid mountainous watershed, Saudi Arabia. Geocarto Int. 2015, 31, 661–681. [Google Scholar] [CrossRef]
 - Fang, G.Q.; Ruan, F.S.; Wu, X.H.; Guo, Z.M. Preliminary study on the characteristics of soil erodibility in Fujian province. Soil Water Conserv. 1997, 2, 19–23. [Google Scholar]
 - Guo, Z.M. Study on erodibility characteristics of mountainous lateritic red soil. Sci. Technol. Inf. Soil Water Conserv. 2001, 3, 8–9. [Google Scholar]
 - Zhu, L.A.; Li, D.Q.; Wei, X.G.; Zhang, H.H. The current situation of soil erodibility (K) value and its impact factors in Guangdong province. Subtrop. Soil Water Conserv. 2007, 4, 4–7. [Google Scholar]
 - Bu, Z.H.; Xi, C.F.; Li, S.H. Tentative ideas and preliminary progress of remote sensing monitoring of soil and water loss. Remote Sens. Technol. Trends 1990, 4, 31–36. [Google Scholar]
 - Liang, Y.; Shi, X.Z. Soil erodiable K in east hilly fields of the southern Yangtze river. Res. Soil Water Conserv. 1999, 6, 47–52. [Google Scholar]
 - Xiao, H.; Ouyang, Z.Y.; Wang, X.K.; Zhao, J.Z. Spatial distribution characteristics of soil erosion in Hainan island by GIS. J. Soil Water Conserv. 1999, 5, 75–80. [Google Scholar]
 - Wang, B.; Zheng, F.L.; Wang, Y.X. Adaptability analysis on soil erodibility models in typical thin layer black soil area of northeast China. Trans. Chin. Soc. Agric. Eng. 2012, 28, 126–131. [Google Scholar]
 - Yang, X.; Guo, Q.K.; Wang, A.J.; Liu, B.Y.; Zhang, M.N.; Chang, Q.Q. Calculation of soil erodibility factor under different soil types based on runoff plot data. Bull. Soil Water Conserv. 2012, 28, 126–131. [Google Scholar]
 - Zhou, N.; Li, C.; Ju, C.Y.; Ma, Y.H. Analysis of characteristics of soil erodibility K-value in Heilongjiang province. Trans. Chin. Soc. Agric. Eng. 2015, 31, 182–189. [Google Scholar]
 - He, S.Q.; Gong, Y.B.; Zheng, Z.C.; Wang, L. Relationship between surface soil erosion rate and soil physical properties in a mountain forests-arid valley ecotone. Resour. Sci. 2013, 35, 824–830. [Google Scholar]
 - Nzeyimana, I.; Hartemink, A.E.; Ritsema, C.; Stroosnijder, L.; Lwanga, E.H.; Geissen, V. Mulching as a strategy to improve soil properties and reduce soil erodibility in coffee farming systems of Rwanda. Catena 2017, 149, 43–51. [Google Scholar] [CrossRef]
 - Tian, Y.T.; Li, X.W.; Xie, X.Q.; Sun, H.; Yang, J.Z.; Lin, Y.H.; Hu, B.W.; Sun, W.X.; Shi, X.Z.; Shen, C. Soil aeration porosity in typical tobacco-planting soils and its main controlling factors in typical tobacco planting soil in Yunnan province, China. Acta Pedol. Sin. 2020, 57, 1430–1438. [Google Scholar]
 - Brgan, R.B. The development, use and efficiency of indices of soil erodiability. Geoderma 1968, 2, 5–26. [Google Scholar]
 - Chen, P.Y.; Ma, L.; Xue, M.J.; Mei, X.M.; Zhang, D.; Sun, Y.H. Characteristics of soil aggregates with different particle sizes and their quantitative relationship with slope erosion in rocky mountain area of northern China. J. Beijing For. Univ. 2018, 40, 64–71. [Google Scholar]
 - Zhang, J.Z.Q.; Jia, Y.F.; Wang, J.A.; Qi, X.; Wang, D.C. Parameter characteristics of soil erodibility of long gentle slopes under composite erosion in the black soil region of northeast China. Acta Pedol. Sin. 2020, 57, 590–599. [Google Scholar]
 - Huang, X.Q.; Zhao, Y.J.; Xin, Z.B.; Qin, Y.B.; Yi, Y. Influence of typical land use types on soil physico-chemical properties and erodibility in Beijing mountainous. Res. Soil Water Conserv. 2015, 22, 5–10. [Google Scholar]
 - Guo, M.M.; Wang, W.L.; Kang, H.L.; Yang, B. Changes in soil properties and erodibility of gully heads induced by vegetation restoration on the Loess Plateau, China. J. Arid Land 2018, 10, 52–65. [Google Scholar] [CrossRef]
 - Zhao, M.M.; Dong, Z.; Li, H.L.; Yan, Y.Y.; Dou, X.H.; Li, B.P.; Geng, L. Study of K values of soil erodibility under different grazing intensities in sonid right banner. J. Arid Land Resour. Environ. 2022, 36, 135–142. [Google Scholar]
 - Yao, T.T.; Zhang, P.; Wan, D.; Yu, W.; Zhang, B. Research on the influence of soil physical and chemical properties and erodibility K value in debris flow area in southeastern Tibet. J. Shenyang Agric. Univ. 2019, 50, 245–249. [Google Scholar]
 - Li, Z.W.; Zhang, G.H.; Geng, R.; Wang, H. Rill erodibility as influenced by soil and land use in a small watershed of the Loess Plateau, China. Biosyst. Eng. 2015, 129, 248–257. [Google Scholar] [CrossRef]
 - Acikgoz, S.; Anderson, S.; Gantzer, C.; Thompson, A.L.; Miles, R.J. 125 years of soil and crop management on Sanborn field: Effects on soil physical properties related to soil erodibility. Soil Sci. 2017, 182, 172–180. [Google Scholar] [CrossRef]
 - Wang, W.X.; Wang, W.L.; Guo, M.M.; Wang, T.C.; Kang, H.L.; Yang, B.; Zhao, M.; Chen, Z.X. Effects of natural vegetation restoration on characteristics of soil aggregate and soil erodibility of gully heads in gully region of the Loess Plateau. Sci. Agric. Sin. 2019, 52, 2845–2857. [Google Scholar]
 - An, S.S.; Zheng, F.L.; Zhang, F.; Pelt, V.S.; Hamer, U.; Makeschin, F. Soil quality degradation processes along a deforestation chronosequence in the Ziwuling area, China. Catena 2008, 75, 248–256. [Google Scholar] [CrossRef]
 - Liu, L.; An, S.S.; Huang, H.W. Application of Le Bissonnais method to study soil aggregate stability under different vegetaion on the Loess Plateau. Acta Ecol. Sin. 2013, 33, 6670–6680. [Google Scholar] [CrossRef]
 - Bronick, C.J.; Lal, R. Soil structure and management: A review. Geoderma 2005, 124, 3–22. [Google Scholar] [CrossRef]
 - Ayoubi, S.; Mokhtari, J.; Mosaddeghi, M.R.; Zeraatpisheh, M. Erodibility of calcareous soils as influenced by land use and intrinsic soil properties in a semiarid region of central Iran. Environ. Monit. Assess. 2018, 190, 192. [Google Scholar] [CrossRef]
 - Li, C.C.; Zeng, Q.C.; Jia, P.L.; An, S.S. Characteristics of soil aggregate stability and corrosion resistance longitude change in the Loess Plateau. Acta Ecol. Sin. 2020, 40, 2039–2048. [Google Scholar]
 - Bennett, S.J.; Casai, J.; Robinson, K.M.; Kadavy, K.C. Characteristics of actively eroding ephemeral gullies in an experimental channel. Trans. ASAE 2000, 43, 641–649. [Google Scholar] [CrossRef]
 - Sheridan, G.J.; So, H.B.; Loch, R.J.; Walker, C.M. Estimation of erosion model erodibility parameters from media properties. Aust. J. Soil Res. 2000, 38, 265–284. [Google Scholar] [CrossRef]
 - Knapen, A.; Poesen, J.; Baets, D.S. Rainfall-induced consolidation and sealing effects on soil erodibility during concentrated runoff for loess-derived topsoils. Earth Surf. Proc. Land. 2008, 33, 444–458. [Google Scholar] [CrossRef]
 - Qin, J.H.; Cheng, L.; Cao, D.N. Effects of Root System of Two Herbson Soil Erodibility. Res. Soil Water Conserv. 2019, 26, 55–61. [Google Scholar]
 - Ghebreiyessus, Y.T.; Gantzer, C.J.; Alberts, E.E.; Lentz, R.W. Soil erosion by concentrated flow: Shear stress and bulk density. TASAE 1994, 37, 1791–1797. [Google Scholar] [CrossRef]
 - Zhou, Z.C.; Hou, Z.C.; Gan, Z.; Shangguan, Z.; Dong, Z. Effects of grazing on soil physical properties and soil erodibility in semiarid grassland of the Northern Loess Plateau (China). Catena 2010, 82, 87–91. [Google Scholar] [CrossRef]
 - Zhu, B.B.; Li, Z.B.; Li, P.; Liu, G.B.; Xue, S. Soil erodibility, microbial biomass, and physical–chemical property changes during long-term natural vegetation restoration: A case study in the Loess Plateau, China. Ecol. Res. 2010, 25, 531–541. [Google Scholar] [CrossRef]
 - Mao, X.R.; Wang, M.; Tang, J.J.; Ding, Z.L.; Cao, Y.E. Effect of coal mining activities on soil properties and erodibility. Southwest China J. Agric. Sci. 2020, 33, 2537–2544. [Google Scholar]
 - Poesen, J.; Luna, D.E.; Franca, A.; Nachtergaele, J.; Govers, G. Concentrated flow erosion rates as affected by rock fragment cover and initial soil moisture content. Catena 1999, 36, 315–329. [Google Scholar] [CrossRef]
 - Shiu-Hung, L. Effect of antecedent soil moisture content on rainwash erosion. Catena 1985, 12, 129–139. [Google Scholar] [CrossRef]
 - Moragoda, N.; Mukesh, K.; Sagy, C. Representing the role of soil moisture on erosion resistance in sediment models: Challenges and opportunities. Earth-Sci. Rev. 2022, 229, 104032. [Google Scholar] [CrossRef]
 - Vermang, J.; Demeyer, V.; Cornelis, W.M.; Gabriels, D. Aggregate stability and erosion response to antecedent water content of a loess soil. Soil Sci. Soc. Am. J. 2009, 73, 718–726. [Google Scholar] [CrossRef]
 - Bullock, M.S.; Kemper, W.D.; Nelson, S.D. Soil cohesion as affected by freezing, water content, time and tillage. Soil Sci. Soc. Am. J. 1988, 52, 770–776. [Google Scholar] [CrossRef]
 - Truman, C.C.; Bradford, J.M.; Ferris, J.E. Antecedent water content and rainfall energy influence on soil aggregate breakdown. Soil Sci. Soc. Am. J. 1990, 54, 1385–1392. [Google Scholar] [CrossRef]
 - Potter, K.N.; Velazquez-garcia, J.J.; Torberth, A. Use of a submerged jet device to determine channel erodibility coefficients of selected soils of Mexico. J. Soil Water Conserv. 2002, 57, 272–277. [Google Scholar]
 - Nachtergaele, J.; Poesen, J. Spatial and temporal variations in resistance of loess-derived soils to ephemeral gully erosion. Eur. J. Soil Sci. 2002, 53, 449–463. [Google Scholar] [CrossRef]
 - Kemper, W.D.; Rosenau, R.C. Soil cohesion as affected by time and water content. Soil Sci. Soc. Am. J. 1984, 48, 1001–1006. [Google Scholar] [CrossRef]
 - Kemper, W.D.; Rosenau, R.C.; Dexter, A.R. Cohesion development in disrupted soils as affected by clay and organic matter content and temperatures. Soil Sci. Soc. Am. J. 1987, 51, 860–867. [Google Scholar] [CrossRef]
 - Kok, H.; Mccool, D.K. Quantifying freeze/thaw-induced variability of soil strength. TASAE 1990, 33, 501–506. [Google Scholar]
 - Coote, D.R.; Malcolm-mcgovern, C.A.; Wall, G.J.; Dickinson, W.T.; Rudra, R.P. Seasonal variation of erodibility indices based on shear strength and aggregate stability in some Ontario soils. Can. J. Soil Sci. 1988, 68, 405–416. [Google Scholar] [CrossRef]
 - Bajracharya, R.M.; Lal, R. Seasonal soil loss and erodibility variation on a Miamian silt loam soil. Soil Sci. Soc. Am. J. 1992, 56, 1560–1565. [Google Scholar] [CrossRef]
 - Le Bissonnais, Y.; Renaux, B.; Delouche, H. Interactions between soil properties and moisture content in crust formation, runoff and interrill erosion from tilled loess soils. Catena 1995, 25, 33–46. [Google Scholar] [CrossRef]
 - Liu, Z.B.; Shi, X.Z.; Yu, D.S. Efect of antecedent soil moisture on soil erodibility using simulation rainfall. Ecol. Environ. 2008, 17, 397–402. [Google Scholar]
 - Jiao, F.; Shi, X.R.; Han, F.P.; Yuan, Z.Y. Increasing aridity, temperature and soil pH induce soil CNP imbalance in grasslands. Sci. Rep. 2016, 6, e19601. [Google Scholar] [CrossRef]
 - Liu, G.S.; Xu, Z.J.; Xu, D.M. Effects of acid deposition on soil aggregate and soil erodibility. Bull. Soil Water Conserv. 2001, 21, 70–74. [Google Scholar]
 - Hiradate, S.; Morita, S.; Hata, K.; Osawa, T.; Sugai, K.; Kachi, N. Effects of soil erosion and seabird activities on chemical properties of surface soils on an oceanic island in Ogasawara Islands, Japan. Catena 2015, 133, 495–502. [Google Scholar] [CrossRef]
 







| Topsoil Layer (0–20 cm) | Subsoil Layer (20–40 cm) | |||||||
|---|---|---|---|---|---|---|---|---|
| Soil Sampling Area | Sand (0.05–2 mm) | Silt (0.002–0.05 mm) | Clay (<0.002 mm) | Organic Carbon | Sand (0.05–2 mm) | Silt (0.002–0.05 mm) | Clay (<0.002 mm) | Organic Carbon | 
| A | 54.3 | 22.5 | 23.2 | 3.17 | 50.6 | 22.5 | 26.9 | 1.65 | 
| B1 | 38.6 | 32.1 | 29.3 | 1.92 | 38.8 | 20.8 | 40.4 | 1.20 | 
| B2 | 48.8 | 21.9 | 29.3 | 2.27 | 49.6 | 20.8 | 29.6 | 1.56 | 
| C1 | 41.3 | 29.7 | 29 | 2.01 | 36 | 29.5 | 34.5 | 1.42 | 
| C2 | 63.3 | 20.7 | 16 | 6.45 | 50.7 | 24.3 | 25 | 3.06 | 
| D | 51.3 | 22.6 | 26.1 | 2.96 | 33.15 | 23.45 | 43.4 | 1.91 | 
| E | 34 | 35.7 | 30.3 | 4.68 | 39.1 | 26.3 | 34.6 | 2.26 | 
| F | 39.3 | 28.1 | 32.6 | 3.45 | 33.8 | 21.1 | 45.1 | 2.05 | 
| G | 55.6 | 23.5 | 20.9 | 4.80 | 37.8 | 37.9 | 24.3 | 2.81 | 
| H | 68.8 | 18.2 | 13 | 5.59 | ||||
| I1 | 85.3 | 8.2 | 6.5 | 1.88 | 77.1 | 13.5 | 9.4 | 1.03 | 
| I2 | 88.0 | 5.5 | 6.5 | 2.51 | ||||
| pH | Soil Moisture | Bulk Density (g·cm−3) | PAD | |
|---|---|---|---|---|
| Topsoil layer | 6.86–7.35 | 4.93–78.96% | 0.90–1.36 | 2.33–9.44% | 
| Subsoil layer | 7.13–7.56 | 9.42–75.30% | 0.92–1.56 | 6.04–10.39% | 
| Correlation of topsoil and subsoil parameters | Very significant difference (p < 0.01) | No significant difference (p > 0.05) | No significant difference (p > 0.05) | No significant difference (p > 0.05) | 
| Soil Sampling Area | KEPIC | KTorri | KShirazi | |||
|---|---|---|---|---|---|---|
| 0–20 cm | 20–40 cm | 0–20 cm | 20–40 cm | 0–20 cm | 20–40 cm | |
| A | 0.0280 | 0.0287 | 0.0265 | 0.0310 | 0.0312 | 0.0349 | 
| B1 | 0.0337 | 0.0295 | 0.0325 | 0.0274 | 0.0406 | 0.0428 | 
| B2 | 0.0281 | 0.0280 | 0.0290 | 0.0300 | 0.0365 | 0.0365 | 
| C1 | 0.0325 | 0.0335 | 0.0315 | 0.0311 | 0.0395 | 0.0421 | 
| C2 | 0.0271 | 0.0291 | 0.0079 | 0.0270 | 0.0230 | 0.0340 | 
| D | 0.0281 | 0.0302 | 0.0274 | 0.0267 | 0.0337 | 0.0428 | 
| E | 0.0357 | 0.0308 | 0.0250 | 0.0291 | 0.0420 | 0.0418 | 
| F | 0.0316 | 0.0289 | 0.0274 | 0.0258 | 0.0415 | 0.0435 | 
| G | 0.0285 | 0.0363 | 0.0181 | 0.0325 | 0.0294 | 0.0392 | 
| H | 0.0250 | - | 0.0063 | - | 0.0189 | - | 
| I1 | 0.0145 | 0.0225 | 0.0145 | 0.0317 | 0.0102 | 0.0138 | 
| I2 | 0.0116 | - | 0.0106 | - | 0.0095 | - | 
| KEPIC | KTorri | KShirazi | Organic Carbon | Sand | Silt | Clay | pH | Soil Moisture | Bulk Density | |
|---|---|---|---|---|---|---|---|---|---|---|
| KTorri | 0.647 * | |||||||||
| 0.023 | ||||||||||
| KShirazi | 0.938 ** | 0.841 ** | ||||||||
| 0.000 | 0.001 | |||||||||
| Organic carbon | 0.183 | −0.602 * | −0.100 | |||||||
| 0.569 | 0.038 | 0.757 | ||||||||
| Sand | −0.968 ** | −0.788 ** | −0.993 ** | 0.015 | ||||||
| 0.000 | 0.002 | 0.000 | 0.967 | |||||||
| Silt | 0.984 ** | 0.678 * | 0.942 ** | 0.115 | −0.962 ** | |||||
| 0.000 | 0.015 | 0.000 | 0.751 | 0.000 | ||||||
| Clay | 0.905 ** | 0.855 ** | 0.994 ** | −0.138 | −0.966 ** | 0.859 ** | ||||
| 0.001 | 0.005 | 0.000 | 0.704 | 0.000 | 0.001 | |||||
| pH | 0.360 | 0.489 | 0.460 | −0.302 | −0.446 | 0.404 | 0.456 | |||
| 0.306 | 0.152 | 0.181 | 0.396 | 0.196 | 0.247 | 0.186 | ||||
| Soil moisture | 0.703 * | 0.370 | 0.641 * | 0.074 | −0.691 * | 0.776 ** | 0.562 | 0.360 | ||
| 0.023 | 0.292 | 0.046 | 0.839 | 0.027 | 0.008 | 0.091 | 0.307 | |||
| Bulk density | −0.340 | 0.422 | −0.050 | −0.860 ** | 0.134 | −0.283 | 0.017 | 0.133 | −0.117 | |
| 0.336 | 0.225 | 0.891 | 0.001 | 0.713 | 0.429 | 0.963 | 0.714 | 0.748 | ||
| PAD | −0.753 * | −0.711 * | −0.854 ** | 0.191 | 0.847 ** | −0.785 ** | -0.846 ** | −0.505 | −0.669 * | −0.213 | 
| 0.012 | 0.021 | 0.002 | 0.598 | 0.002 | 0.007 | 0.002 | 0.137 | 0.034 | 0.555 | 
Publisher’s Note: MDPI stays neutral with regard to jurisdictional claims in published maps and institutional affiliations.  | 
© 2022 by the authors. Licensee MDPI, Basel, Switzerland. This article is an open access article distributed under the terms and conditions of the Creative Commons Attribution (CC BY) license (https://creativecommons.org/licenses/by/4.0/).
Share and Cite
Zhu, M.; He, W.; Liu, Y.; Chen, Z.; Dong, Z.; Zhu, C.; Chen, Y.; Xiong, Y. Characteristics of Soil Erodibility in the Yinna Mountainous Area, Eastern Guangdong Province, China. Int. J. Environ. Res. Public Health 2022, 19, 15703. https://doi.org/10.3390/ijerph192315703
Zhu M, He W, Liu Y, Chen Z, Dong Z, Zhu C, Chen Y, Xiong Y. Characteristics of Soil Erodibility in the Yinna Mountainous Area, Eastern Guangdong Province, China. International Journal of Environmental Research and Public Health. 2022; 19(23):15703. https://doi.org/10.3390/ijerph192315703
Chicago/Turabian StyleZhu, Mingyong, Wenming He, Youcun Liu, Zhiyun Chen, Zhicheng Dong, Changbai Zhu, Yankui Chen, and Yongzhu Xiong. 2022. "Characteristics of Soil Erodibility in the Yinna Mountainous Area, Eastern Guangdong Province, China" International Journal of Environmental Research and Public Health 19, no. 23: 15703. https://doi.org/10.3390/ijerph192315703
APA StyleZhu, M., He, W., Liu, Y., Chen, Z., Dong, Z., Zhu, C., Chen, Y., & Xiong, Y. (2022). Characteristics of Soil Erodibility in the Yinna Mountainous Area, Eastern Guangdong Province, China. International Journal of Environmental Research and Public Health, 19(23), 15703. https://doi.org/10.3390/ijerph192315703
        
