Adjuvant Therapy for Attention in Children with ADHD Using Game-Type Digital Therapy
Abstract
1. Introduction
2. Materials and Methods
2.1. Participants
2.2. Study Design
2.3. Procedures
2.4. Measures
2.4.1. Comprehension Attention Test (CAT)
2.4.2. Korean Version of Attention Deficit Hyperactivity Disorder (Korean ADHD Rating Scale, K-ARS)
2.4.3. Clinical Global Impression (CGI)
2.4.4. Korean Child Behavior Checklist (K-CBCL 6–18)
2.5. Experimental Tool
2.6. Statistical Analysis
3. Results
3.1. Neuro-World DTx Program Attention Improvement
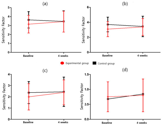
3.1.1. Comprehension Attention Test (CAT)
3.1.2. Evaluation Results for Attention Deficit Hyperactivity Disorder (Korean ADHD Rating Scale, K-ARS)
3.1.3. Clinical Global Impression (CGI)
3.1.4. Korean-Child Behavior Checklist (K-CBCL 6–18)
4. Satisfaction Survey Results
5. Discussion
6. Conclusions
Author Contributions
Funding
Institutional Review Board Statement
Informed Consent Statement
Data Availability Statement
Conflicts of Interest
References
- Imran, N.; Zeshan, M.; Pervaiz, Z. Mental health considerations for children & adolescents in COVID-19 Pandemic. Pak. J. Med. Sci. 2020, 36, S67. [Google Scholar] [CrossRef] [PubMed]
- Racine, N.; Cooke, J.E.; Eirich, R.; Korczak, D.J.; McArthur, B.A.; Madigan, S. Child and adolescent mental illness during COVID-19: A rapid review. Psychiatry Res. 2020, 292, 113307. [Google Scholar] [CrossRef] [PubMed]
- Atherton, O.E.; Lawson, K.M.; Ferrer, E.; Robins, R.W. The role of effortful control in the development of ADHD, ODD, and CD symptoms. J. Pers. Soc. Psychol. 2020, 118, 1226–1246. [Google Scholar] [CrossRef] [PubMed]
- Azeredo, A.; Moreira, D.; Barbosa, F. ADHD, CD, and ODD: Systematic review of genetic and environmental risk factors. Res. Dev. Disabil. 2018, 82, 10–19. [Google Scholar] [CrossRef]
- Bernhard, A.; Mayer, J.S.; Fann, N.; Freitag, C.M. Cortisol response to acute psychosocial stress in ADHD compared to conduct disorder and major depressive disorder: A systematic review. Neurosci. Biobehav. Rev. 2021, 127, 899–916. [Google Scholar] [CrossRef]
- Allan, D.M.; Lonigan, C.J. Examination of the structure and measurement of inattentive, hyperactive, and impulsive behaviors from preschool to grade 4. J. Abnorm. Child Psychol. 2019, 47, 975–987. [Google Scholar] [CrossRef]
- Vuori, M.; Koski-Pirilä, A.; Martikainen, J.E.; Saastamoinen, L. Gender-and age-stratified analyses of ADHD medication use in children and adolescents in Finland using population-based longitudinal data, 2008–2018. Scand. J. Public Health 2020, 48, 303–307. [Google Scholar] [CrossRef]
- Slaby, I.; Hain, H.S.; Abrams, D.; Mentch, F.D.; Glessner, J.T.; Sleiman, P.; Hakonarson, H. An electronic health record (EHR) phenotype algorithm to identify patients with attention deficit hyperactivity disorders (ADHD) and psychiatric comorbidities. J. Neurodev. Disord. 2022, 14, 37. [Google Scholar] [CrossRef]
- Patel, R.S.; Amaravadi, N.; Bhullar, H.; Lekireddy, J.; Win, H. Understanding the demographic predictors and associated comorbidities in children hospitalized with conduct disorder. Behav. Sci. 2018, 8, 80. [Google Scholar] [CrossRef]
- Jiang, H.; Zhang, X.; Jiang, C.; Fu, H. Maternal and neonatal outcomes after exposure to ADHD medication during pregnancy: A systematic review and meta-analysis. Pharmacoepidemiol. Drug Saf. 2019, 28, 288–295. [Google Scholar] [CrossRef]
- Ouyang, C.-S.; Chiu, Y.-H.; Chiang, C.-T.; Wu, R.-C.; Lin, Y.-T.; Yang, R.-C.; Lin, L.-C. Evaluating therapeutic effects of ADHD medication objectively by movement quantification with a video-based skeleton analysis. Int. J. Environ. Res. Public Health 2021, 18, 9363. [Google Scholar] [CrossRef]
- Li, L.; Sujan, A.C.; Butwicka, A.; Chang, Z.; Cortese, S.; Quinn, P.; Viktorin, A.; Öberg, A.S.; D’Onofrio, B.M.; Larsson, H. Associations of prescribed ADHD medication in pregnancy with pregnancy-related and offspring outcomes: A systematic review. CNS Drugs 2020, 34, 731–747. [Google Scholar] [CrossRef] [PubMed]
- Stueber, A.; Cuttler, C. Self-reported effects of cannabis on ADHD symptoms, ADHD medication side effects, and ADHD-related executive dysfunction. J. Atten. Disord. 2022, 26, 942–955. [Google Scholar] [CrossRef] [PubMed]
- Pan, P.Y.; Jonsson, U.; Çakmak, S.S.Ş.; Häge, A.; Hohmann, S.; Norrman, H.N.; Buitelaar, J.K.; Banaschewski, T.; Cortese, S.; Coghill, D.; et al. Headache in ADHD as comorbidity and a side effect of medications: A systematic review and meta-analysis. Psychol. Med. 2021, 52, 14–25. [Google Scholar] [CrossRef]
- Moreira-Maia, C.R.; Massuti, R.; Tessari, L.; Campani, F.; Akutagava-Martins, G.C.; Cortese, S.; Rohde, L.A. Are ADHD medications under or over prescribed worldwide? Protocol for a systematic review and meta-analysis. Medicine 2018, 97, e10923. [Google Scholar] [CrossRef] [PubMed]
- Van der Oord, S.; Tripp, G. How to improve behavioral parent and teacher training for children with ADHD: Integrating empirical research on learning and motivation into treatment. Clin. Child. Fam. Psychol. Rev. 2022, 23, 577–604. [Google Scholar] [CrossRef]
- Serrano-Barroso, A.; Siugzdaite, R.; Guerrero-Cubero, J.; Molina-Cantero, A.J.; Gomez-Gonzalez, I.M.; Lopez, J.C.; Vargas, J.P. Detecting attention levels in ADHD children with a video game and the measurement of brain activity with a single-channel BCI headset. Sensors 2021, 21, 3221. [Google Scholar] [CrossRef]
- Hong, J.S.; Wasden, C.; Han, D.H. Introduction of digital therapeutics. Comput. Methods Programs Biomed. 2021, 209, 106319. [Google Scholar] [CrossRef]
- Abbadessa, G.; Brigo, F.; Clerico, M.; De Mercanti, S.; Trojsi, F.; Tedeschi, G.; Bonavita, S.; Lavorgna, L. Digital therapeutics in neurology. J. Neurol. 2021, 269, 1209–1224. [Google Scholar] [CrossRef]
- Ozdogar, A.T.; Ertekin, O.; Kahraman, T.; Yigit, P.; Ozakbas, S. Effect of video-based exergaming on arm and cognitive function in persons with multiple sclerosis: A randomized controlled trial. Mult. Scler. Relat. Disord. 2020, 40, 101966. [Google Scholar] [CrossRef]
- Peng, Z.; Jiang, H.; Wang, X.; Huang, K.; Zuo, Y.; Wu, X.; Abdullah, A.S.; Yang, L. The efficacy of cognitive training for elderly Chinese individuals with mild cognitive impairment. BioMed. Res. Int. 2019, 2019, 4347281. [Google Scholar] [CrossRef] [PubMed]
- Aker, M.N.; Özdemir, F. The effect of the approach based on the Neuman Systems Model on stress and coping in women receiving intrauterine insemination treatment: A randomized controlled trial. Health Care Women Int. 2022, 1–16. [Google Scholar] [CrossRef] [PubMed]
- Grimm, O.; Thomä, L.; Kranz, T.M.; Reif, A. Is genetic risk of ADHD mediated via dopaminergic mechanism? A study of functional connectivity in ADHD and pharmacologically challenged healthy volunteers with a genetic risk profile. Transl. Psychiatry 2022, 12, 1–9. [Google Scholar] [CrossRef] [PubMed]
- Kim, K.; Kim, J.I.; Ahn, D.H. Psychiatric evaluation and treatment of sexual offenders with developmental disorder. J. Korean Neuropsychiatr. Assoc. 2020, 59, 29–35. [Google Scholar] [CrossRef]
- Eom, S.; Lee, M.K.; Park, J.H.; Jeon, J.Y.; Kang, H.C.; Lee, J.S.; Kim, H.D. The impact of an exercise therapy on psychosocial health of children with benign epilepsy: A pilot study. Epilepsy Behav. 2014, 37, 151–156. [Google Scholar] [CrossRef] [PubMed]
- Seo, J.M.; Lee, J.S.; Kim, S.Y.; Kim, H.W. Diagnostic significance of comprehensive attention test in children and adolescents with attention-deficit hyperactivity disorder. J. Korean Acad. Child Adolesc. Psychiatry 2011, 22, 246–252. [Google Scholar] [CrossRef]
- Jeong, Y.J.; Park, J.Y.; Kim, H.; Choi, J.; Jhung, K. Correlation of executive function and quantitative electroencephalography in children and adolescents with attention-deficit/hyperactivity disorder. Korean J. Psychosom. Med. 2017, 25, 63–72. [Google Scholar]
- Yoo, H.K.; Lee, J.; Kang, S.H.; Park, E.H.; Jung, J.; Kim, B.N.; Son, J.W.; Park, T.W.; Kim, B.; Lee, Y.S. Standardization of the comprehensive attention test for the Korean children and adolescents. J. Korean Acad. Child Adolesc. Psychiatry 2009, 20, 68–75. [Google Scholar]
- DuPaul, G.J. Parent and teacher ratings of ADHD symptoms: Psychometric properties in a community-based sample. J. Clin. Child Psychol. 1991, 20, 245–253. [Google Scholar] [CrossRef]
- So, Y.K.; Noh, J.S.; Kim, Y.S.; Ko, S.G.; Koh, Y. The reliability and validity of Korean parent and teacher ADHD rating scale. J. Korean Neuropsychiatry Assoc. 2002, 41, 283–289. [Google Scholar]
- Kim, K.M.; Lim, M.H.; Kwon, H.J.; Yoo, S.J.; Kim, E.J.; Kim, J.W.; Ha, M.; Paik, K.C. Associations between attention-deficit/hyperactivity disorder symptoms and dietary habits in elementary school children. Appetite 2018, 127, 274–279. [Google Scholar] [CrossRef] [PubMed]
- Kweon, K.; Kim, H.W. Effectiveness and safety of bupropion in children and adolescents with depressive disorders: A retrospective chart review. Clin. Psychopharmacol Neurosci. 2019, 17, 537–541. [Google Scholar] [CrossRef] [PubMed]
- Guy, W. ECDEU Assessment Manual for Psychopharmacology. 1976. Available online: https://books.google.co.kr/books?hl=ko&lr=&id=B4mZEZQRZUEC&oi=fnd&pg=PA6&dq=33.%09Guy,+W.+ECDEU+assessment+manual+for+psychopharmacology.+US+Department+of+Health,+Education,+and+Welfare,+Public+Health+Service,+Alcohol,+Drug+Abuse,+and+Mental+Health+Administration,+National+Institute+of+Mental+Health,+Psycho-pharmacology+Research+Bra&ots=Kp7jajww3D&sig=cNSPCwX1xtaROF5xSqkHNtkunKM#v=onepage&q&f=false (accessed on 8 November 2022).
- Nasser, A.; Kosheleff, A.R.; Hull, J.T.; Liranso, T.; Qin, P.; Busse, G.D.; O’Neal, W.; Fava, M.; Faraone, S.V.; Rubin, J. Translating attention-deficit/hyperactivity disorder rating scale-5 and Weiss functional impairment rating scale–parent effectiveness scores into clinical global impressions clinical significance levels in four randomized clinical trials of SPN-812 (viloxazine extended-release) in children and adolescents with attention-deficit/hyperactivity disorder. J. Child Adolesc. Psychopharmacol. 2021, 31, 214–226. [Google Scholar] [CrossRef] [PubMed]
- Mohebbi, M.; Dodd, S.; Dean, O.M.; Berk, M. Patient centric measures for a patient centric era: Agreement and convergent between ratings on the Patient Global Impression of Improvement (PGI-I) scale and the Clinical Global Impressions–Improvement (CGI-S) scale in bipolar and major depressive disorder. Eur. Psychiatry 2018, 53, 17–22. [Google Scholar] [CrossRef]
- Park, E.Y.; Seo, H.; Blair, K.S.C.; Kang, M.C. Rasch analysis of the Korean-Child Behavior Checklist (K-CBCL) to assess emotional and behavioral problems in children with autism spectrum disorder. SAGE Open 2021, 11, 21582440211040790. [Google Scholar] [CrossRef]
- Kim, S.H.; Sung, I.Y.; Ko, E.J.; Park, J.; Heo, N. Stress in caregivers and children with a developmental disorder who receive rehabilitation. Children 2020, 7, 136. [Google Scholar] [CrossRef]
- Kim, Y.A.; Lee, J.; Moon, S.J.; Kim, Y.J.; Oh, K.J. Standardization study for the Korean version of the child behavior checklist for ages 1.5-5. Korean J. Clin. Psychol. 2009, 28, 117–136. [Google Scholar]
- Fay, M.P.; Proschan, M.A. Wilcoxon-Mann-Whitney or t-test? On assumptions for hypothesis tests and multiple interpretations of decision rules. Stat. Surv. 2010, 4, 1–39. [Google Scholar] [CrossRef]
- Liang, J.; Jiang, Y.; Huang, Y.; Song, W.; Li, X.; Huang, Y.; Ou, J.; Wei, Q.; Gu, J. The comparison of dyslipidemia and serum uric acid in patients with gout and asymptomatic hyperuricemia: A cross-sectional study. Lipids Health Dis. 2020, 19, 31. [Google Scholar] [CrossRef]
- Keefe, R.S.; Cañadas, E.; Farlow, D.; Etkin, A. Digital intervention for cognitive deficits in major depression: A randomized controlled trial to assess efficacy and safety in adults. Am. J. Psychiatry 2022, 179, 482–489. [Google Scholar] [CrossRef]
- Shuai, L.; He, S.; Zheng, H.; Wang, Z.; Qiu, M.; Xia, W.; Cao, X.; Lu, L.; Zhang, J. Influences of digital media use on children and adolescents with ADHD during COVID-19 pandemic. Glob. Health 2021, 17, 48. [Google Scholar] [CrossRef] [PubMed]
- Kollins, S.H.; DeLoss, D.J.; Cañadas, E.; Lutz, J.; Findling, R.L.; Keefe, R.S.; Keefe, R.S.; Epstein, J.N.; Cutler, A.J.; Faraone, S.V. A novel digital intervention for actively reducing severity of paediatric ADHD (STARS-ADHD): A randomised controlled trial. Lancet Digit. Health 2020, 2, e168–e178. [Google Scholar] [CrossRef]
- Jiang, H.; Natarajan, R.; Shuy, Y.K.; Rong, L.; Zhang, M.W.; Vallabhajosyula, R. The use of mobile games in the management of patients with attention deficit hyperactive disorder: A scoping review. Front. Psychiatry 2022, 13, 792402. [Google Scholar] [CrossRef] [PubMed]
- Alqithami, S.; Alzahrani, M.; Alzahrani, A.; Mostafa, A. Modeling an Augmented Reality Game Environment to Enhance Behavior of ADHD Patients. In Proceedings of the International Conference on Brain Informatics, 13 December 2019; Springer: Cham, Switzerland; pp. 179–188. [Google Scholar] [CrossRef]
- Davis, N.O.; Bower, J.; Kollins, S.H. Proof-of-concept study of an at-home, engaging, digital intervention for pediatric ADHD. PLoS ONE 2018, 13, e0189749. [Google Scholar] [CrossRef] [PubMed]
- Aduen, P.A.; Day, T.N.; Kofler, M.J.; Harmon, S.L.; Wells, E.L.; Sarver, D.E. Social problems in ADHD: Is it a skills acquisition or performance problem? J. Psychopathol. Behav. Assess. 2018, 40, 440–451. [Google Scholar] [CrossRef]
- Staff, A.I.; Van den Hoofdakker, B.J.; Van der Oord, S.; Hornstra, R.; Hoekstra, P.J.; Twisk, J.W.; Oosterlaan, J.; Luman, M. Effectiveness of specific techniques in behavioral teacher training for childhood ADHD: A randomized controlled microtrial. J. Clin. Child Adolesc. Psychol. 2021, 50, 763–779. [Google Scholar] [CrossRef]
- Danielson, M.L.; Bitsko, R.H.; Ghandour, R.M.; Holbrook, J.R.; Kogan, M.D.; Blumberg, S.J. Prevalence of parent-reported ADHD diagnosis and associated treatment among US children and adolescents. J. Clin. Child Adolesc. Psychol. 2016, 47, 199–212. [Google Scholar] [CrossRef]
- Alabdulakareem, E.; Jamjoom, M. Computer-assisted learning for improving ADHD individuals’ executive functions through gamified interventions: A review. Entertain. Comput. 2020, 33, 100341. [Google Scholar] [CrossRef]
- Galeos, C.; Karpouzis, K.; Tsatiris, G. Developing an Educational Programming Game for Children with ADHD. In Proceedings of the 15th International Workshop on Semantic and Social Media Adaptation (SMA) and Personalization, Zakynthos, Greece, 29–30 October 2020; pp. 1–6. [Google Scholar] [CrossRef]
- Castellano-García, F.; Benito, A.; Jovani, A.; Fuertes-Sáiz, A.; Marí-Sanmillán, M.I.; Haro, G. Sex differences in substance use, prevalence, pharmacological therapy, and mental health in adolescents with attention-deficit/hyperactivity disorder (ADHD). Brain Sci. 2022, 12, 590. [Google Scholar] [CrossRef]
- Lakes, K.D.; Cibrian, F.L.; Schuck, S.; Nelson, M.; Hayes, G.R. Digital health interventions for youth with ADHD: A systematic review. Comput. Hum. Behav. Rep. 2022, 6, 100174. [Google Scholar] [CrossRef]
- Pandian, G.S.B.; Jain, A.; Raza, Q.; Sahu, K.K. Digital health interventions (DHI) for the treatment of attention deficit hyperactivity disorder (ADHD) in children—A comparative review of literature among various treatment and DHI. Psychiatry Res. 2021, 297, 113742. [Google Scholar] [CrossRef] [PubMed]
- Masi, L.; Abadie, P.; Herba, C.; Emond, M.; Gingras, M.P.; Amor, L.B. Video games in ADHD and non-ADHD children: Modalities of use and association with ADHD symptoms. Front. Pediatr. 2021, 9, 632272. [Google Scholar] [CrossRef]
- Evans, S.W.; Beauchaine, T.P.; Chronis-Tuscano, A.; Becker, S.P.; Chacko, A.; Gallagher, R.; Hartung, C.M.; Kofler, M.J.; Schultz, B.K.; Tamm, L.; et al. The Efficacy of Cognitive Videogame Training for ADHD and What FDA Clearance Means for Clinicians. EPCAMH 2021, 6, 116–130. [Google Scholar] [CrossRef]
- Kim, S.C. Preceding research on comparative analysis of the validity of game based cognitive training program for children with intellectual disabilities. J. Korea Converg. Soc. 2021, 12, 161–168. [Google Scholar] [CrossRef]







| Group | Diagnosis | Mean Age (SD) | Gender (M/F) | NeuroWorld Experience | Accompanying Symptoms (Number of People) |
|---|---|---|---|---|---|
| Experimental group (n = 15) | ADHD | 9.27 (1.62) | 12/3 | None | Tick-Symptom (2) |
| Control group (n = 15) | 8.93 (1.91) | 11/4 | None | None |
| Group | Pre-Inspection | Experimental Treatment | Post Inspection |
|---|---|---|---|
| Experimental group (n = 15) | Q1 | X | Q2 |
| Control group (n = 15) | Q1 | Q2 |
| Procedure | Study Period | Research Content |
|---|---|---|
| Recruitment of research subjects | 1 January 2022– 10 March 2022 | Mental health specialist treatment |
| Baseline | 19 January 2022– 10 March 2022 | Physical examination, CAT, K-ARS, CGI, K-CBCL (pre-inspection) |
| Interventional study | 20 January 2022– 14 April 2022 | NeuroWorld DTx applied 20 times |
| Maintain | 21 February 2022– 15 April 2022 | Physical examination, CAT, K-ARS, CGI, K-CBCL (Post-Inspection) |
| Composition | Content | |
|---|---|---|
| Attention | Breathtaking glass bridge | A game of recognizing approaching animal types, determining their order and shape, and matching them |
| Find a friend in glass bridge | The same game of matching animals of the same type, but it requires a bit more attention than “Breathtaking glass bridge” | |
| Space travel in vortex | A form of avoiding obstacles by grasping the path forward and the path of obstacles | |
| Space travel | Requires judgment and high attention in the form of manipulating the screen by focusing on two paths | |
| Working memory | Animals out of the yard | A game that requires memory by listening to sounds and entering the number and type of animals |
| Escape from the yard | A game of remembering the number of animals that appear on the screen and then disappeared | |
| Experimental Group (n = 15) | Control Group (n = 15) | p-Value | |||||
|---|---|---|---|---|---|---|---|
| Mean or n | SD or % | Mean or n | SD or % | ||||
| Attention Task Sensitivity Factor | Visual selective attention task | Baseline | 3.15 | 0.99 | 3.63 | 0.92 | 0.175 ° |
| 4 weeks | 3.43 | 1.17 | 3.46 | 1.19 | 0.958 ° | ||
| p-value | 0.099 °° | 0.467 °° | 0.164 °°° | ||||
| Rate of change | 10.69 | 34.83 | −4.38 | 25.83 | 0.189 ° | ||
| Auditory selective attention task | Baseline | 3.09 | 1.00 | 3.71 | 0.98 | 0.098 ° | |
| 4 weeks | 3.37 | 1.12 | 3.44 | 1.37 | 0.879 ° | ||
| p-value | 0.037 °° | 0.335 °° | 0.103 °°° | ||||
| Rate of change | 9.18 | 15.78 | −6.58 | 30.48 | 0.086 ° | ||
| Flanker task | Baseline | 0.75 | 0.50 | 0.68 | 0.54 | 0.690 ° | |
| 4 weeks | 0.80 | 0.55 | 0.84 | 0.89 | 0.869 ° | ||
| p-value | 0.635 °° | 0.380 °° | 0.598 °°° | ||||
| Rate of change | 12.94 | 76.89 | 67.45 | 400.94 | 0.609 ° | ||
| Sustained attention to response task | Baseline | 2.00 | 1.17 | 2.37 | 0.98 | 0.348 ° | |
| 4 weeks | 2.39 | 1.11 | 2.45 | 1.30 | 0.903 ° | ||
| p-value | 0.069 °° | 0.782 °° | 0.473 °°° | ||||
| Rate of change | 4.08 | 226.10 | 9.46 | 44.76 | 0.928 ° | ||
| Attention Task Response Style Index | Visual selective attention task | Baseline | 0.46 | 0.40 | 0.48 | 0.31 | 0.851 ° |
| 4 weeks | 0.71 | 0.63 | 0.95 | 1.53 | 0.594 ° | ||
| p-value | 0.173 °° | 0.220 °° | 0.624 °°° | ||||
| Exacerbation | 5 | 33.3 | 4 | 26.7 | 0.574 °°°° | ||
| No Change | 0 | 0.0 | 1 | 6.7 | |||
| Improvement | 10 | 66.7 | 10 | 66.7 | |||
| Rate of change | 208.34 | 353.01 | 83.52 | 150.40 | 0.218 ° | ||
| Auditory selective attention task | Baseline | 0.71 | 0.47 | 0.46 | 0.27 | 0.093 ° | |
| 4 weeks | 0.84 | 0.77 | 0.64 | 0.33 | 0.380 ° | ||
| p-value | 0.560 °° | 0.104 °° | 0.546 °°° | ||||
| Exacerbation | 7 | 46.7 | 4 | 26.7 | 0.361 °°° | ||
| No Change | 0 | 0.0 | 1 | 6.7 | |||
| Improvement | 8 | 53.3 | 10 | 66.7 | |||
| Rate of change | 74.04 | 169.66 | 120.91 | 244.91 | 0.547 ° | ||
| Flanker task | Baseline | 0.72 | 0.23 | 0.75 | 0.26 | 0.746 ° | |
| 4 weeks | 0.70 | 0.25 | 0.57 | 0.28 | 0.203 ° | ||
| p-value | 0.630 °° | 0.001 °° | 0.020 °°° | ||||
| Exacerbation | 8 | 53.3 | 14 | 93.3 | 0.035 °°°° | ||
| No Change | 0 | 0.0 | 0 | 0.0 | |||
| Improvement | 7 | 46.7 | 1 | 6.7 | |||
| Rate of change | −1.70 | 29.14 | −25.43 | 23.42 | 0.020 ° | ||
| Sustained attention to response task | Baseline | 0.41 | 0.31 | 0.41 | 0.25 | 0.948 ° | |
| 4 weeks | 0.41 | 0.24 | 0.66 | 0.74 | 0.213 ° | ||
| p-value | 1 °° | 0.147 °° | 0.174 °°° | ||||
| Exacerbation | 9 | 60.0 | 8 | 53.3 | >0.05 °°°° | ||
| No Change | 0 | 0.0 | 0 | 0 | |||
| Improvement | 6 | 40.0 | 7 | 46.7 | |||
| Rate of change | 137.04 | 504.71 | 104.66 | 274.73 | 0.829 ° | ||
| Experimental Group (n = 15) | Control Group (n = 15) | p-Value | |||||
|---|---|---|---|---|---|---|---|
| Mean or n | SD or % | Mean or n | SD or % | ||||
| ADHD Rating | K-ARS | Baseline | 19.60 | 9.41 | 14.87 | 9.91 | 0.190 ° |
| 2 weeks | 12.73 | 8.25 | 14.80 | 11.61 | 0.579 ° | ||
| 4 weeks | 12.27 | 8.39 | 12.53 | 10.35 | 0.939 ° | ||
| p-value | 0.005 °° | 0.414 °° | 0.795 °°° | ||||
| Rate of change | 33.14 | 35.75 | 27.16 | 54.69 | 0.729 ° | ||
| K-ARS-Attention Deficit | Baseline | 10.20 | 4.18 | 8.13 | 4.81 | 0.219 ° | |
| 2 weeks | 7.20 | 3.71 | 8.07 | 5.76 | 0.628 ° | ||
| 4 weeks | 7.27 | 3.63 | 7.07 | 4.68 | 0.897 ° | ||
| p-value | 0.018 °° | 0.451 °° | 0.733 °°° | ||||
| Rate of change | 21.37 | 35.80 | 12.10 | 83.47 | 0.697 ° | ||
| K-ARS Hyper Activity | Baseline | 9.40 | 6.09 | 6.73 | 5.47 | 0.218 ° | |
| 2 weeks | 5.53 | 5.04 | 6.73 | 5.99 | 0.558 ° | ||
| 4 weeks | 5.00 | 5.11 | 5.47 | 5.89 | 0.818 ° | ||
| p-value | 0.004 °° | 0.406 °° | 0.856 °°° | ||||
| Rate of change | 48.38 | 38.93 | 43.45 | 41.30 | 0.743 ° | ||
| Experiment Group (n = 15) | Control Group (n = 15) | p-Value | |||||
|---|---|---|---|---|---|---|---|
| Mean or n | SD or % | Mean or n | SD or % | ||||
| Clinical Severity and Improvement | CGI- Severity | Baseline | 4.07 | 0.59 | 4.47 | 0.74 | 0.115 ° |
| 4 weeks | 3.67 | 0.62 | 4.53 | 0.64 | 0.001 ° | ||
| p-value | 0.028 °° | 0.582 °° | 0.002 °°° | ||||
| Rate of change | 9.00 | 14.90 | −2.22 | 10.19 | 0.023 ° | ||
| CGI- Improvement | 4 weeks | 3.60 | 0.63 | 4.07 | 0.46 | 0.029 ° | |
| Experimental Group (n = 15) | Control Group (n = 15) | p-Value | |||||
|---|---|---|---|---|---|---|---|
| Mean or n | SD or % | Mean or n | SD or % | ||||
| Behavior Problems and Social Competence | K-CBCL _Total Behavior Problems | Baseline | 67.13 | 7.95 | 64.60 | 11.10 | 0.478 ° |
| 2 weeks | 59.40 | 9.98 | 58.13 | 9.79 | 0.728 ° | ||
| 4 weeks | 56.67 | 9.70 | 60.00 | 9.49 | 0.349 ° | ||
| p-value | >0.05 °° | 0.002 °° | 0.963 °°° | ||||
| Rate of change | 15.66 | 10.12 | 6.68 | 7.20 | 0.009 ° | ||
| K-CBCL _Internalizing Disorder | Baseline | 63.93 | 11.00 | 59.53 | 10.20 | 0.266 ° | |
| 2 weeks | 56.87 | 11.98 | 55.53 | 8.67 | 0.730 ° | ||
| 4 weeks | 53.80 | 10.52 | 56.80 | 8.13 | 0.389 ° | ||
| p-value | 0.003 °° | 0.190 °° | 0.785 °°° | ||||
| Rate of change | 13.99 | 20.66 | 3.35 | 13.10 | 0.103 ° | ||
| K-CBCL _Externalizing Disorders | Baseline | 65.13 | 10.89 | 61.80 | 11.35 | 0.419 ° | |
| 2 weeks | 58.20 | 9.03 | 55.27 | 11.63 | 0.447 ° | ||
| 4 weeks | 56.93 | 9.18 | 58.00 | 11.96 | 0.786 ° | ||
| p-value | 0.003 °° | 0.026 °° | 0.639 °°° | ||||
| Rate of change | 11.73 | 12.45 | 6.07 | 10.15 | 0.183 ° | ||
| F-Value | p-Value | t-Value Experimental Group | p-Value Experimental Group | t-Value Control Group | p-Value Control Group | ||
|---|---|---|---|---|---|---|---|
| K-ARS | 0.069 | 0.795 | F-value: baseline, follow 1, 2 Repeated measure ANOVA | 3.281 | 0.005 | 0.842 | 0.414 |
| K-ARS Attention Deficit | 0.118 | 0.733 | 2.683 | 0.018 | 0.776 | 0.451 | |
| K-ARS Hyper Activity | 0.034 | 0.856 | 3.491 | 0.004 | 0.857 | 0.406 | |
| K-CBCL _Total Behavior Problems | 0.002 | 0.963 | 6.064 | 0.000 | 3.740 | 0.002 | |
| K-CBCL_ Internalizing Disorder | 0.076 | 0.785 | 3.527 | 0.003 | 1.377 | 0.190 | |
| K-CBCL Extemalizing Disorders | 0.225 | 0.639 | 3.615 | 0.003 | 2.492 | 0.026 | |
| CAT _Visual Selective Attention Task_Sensitivity Factor | 2.042 | 0.164 | F-value: baseline, follow 2 baseline ANCOVA | −1.767 | 0.099 | 0.748 | 0.467 |
| CAT_Visual Selective Attention Task_Response Style Index | 0.245 | 0.624 | −1.436 | 0.173 | −1.283 | 0.220 | |
| CAT_Auditory Selective Attention Task__Sensitivity Factor | 2.856 | 0.103 | −2.299 | 0.037 | 0.998 | 0.335 | |
| CAT_Auditory Selective Attention Task_Response Style Index | 0.374 | 0.546 | −0.596 | 0.560 | −1.739 | 0.104 | |
| CAT_Flanker Task_Sensitivity Factor | 0.285 | 0.598 | −1.966 | 0.069 | −0.282 | 0.782 | |
| CAT_Flanker Task_Response Style Index | 6.142 | 0.020 | 0.000 | 1.000 | −1.536 | 0.147 | |
| CAT_Sustained Attention to Response Task_Sensitivity Factor | 0.530 | 0.473 | −0.485 | 0.635 | −0.906 | 0.380 | |
| CAT_Sustained Attention to Response Task_Response Style Index | 1.954 | 0.174 | 0.493 | 0.630 | 4.053 | 0.001 | |
| CGI-S | 11.164 | 0.002 | 2.449 | 0.028 | −0.564 | 0.582 | |
| baseline v.s. follow 2 paired t-test | |||||||
| Answer | Total (%) | |
|---|---|---|
| Overall Satisfaction from Child’s Perspective | Satisfied | 60% |
| Normal | 40% | |
| Not satisfied | 0% | |
| Overall Satisfaction from Parent’s Perspective | Satisfied | 73% |
| Normal | 26% | |
| Not satisfied | 0% | |
| Whether They Would Re-participate in NeuroWorld DTx Intervention | Yes | 80% |
| No | 6.6% | |
| Other answer | 13.3% |
Publisher’s Note: MDPI stays neutral with regard to jurisdictional claims in published maps and institutional affiliations. |
© 2022 by the authors. Licensee MDPI, Basel, Switzerland. This article is an open access article distributed under the terms and conditions of the Creative Commons Attribution (CC BY) license (https://creativecommons.org/licenses/by/4.0/).
Share and Cite
Kim, S.-C.; Lee, H.; Lee, H.-S.; Kim, G.; Song, J.-H. Adjuvant Therapy for Attention in Children with ADHD Using Game-Type Digital Therapy. Int. J. Environ. Res. Public Health 2022, 19, 14982. https://doi.org/10.3390/ijerph192214982
Kim S-C, Lee H, Lee H-S, Kim G, Song J-H. Adjuvant Therapy for Attention in Children with ADHD Using Game-Type Digital Therapy. International Journal of Environmental Research and Public Health. 2022; 19(22):14982. https://doi.org/10.3390/ijerph192214982
Chicago/Turabian StyleKim, Seon-Chil, Hojun Lee, Hyun-Suk Lee, Gaeun Kim, and Jeong-Heon Song. 2022. "Adjuvant Therapy for Attention in Children with ADHD Using Game-Type Digital Therapy" International Journal of Environmental Research and Public Health 19, no. 22: 14982. https://doi.org/10.3390/ijerph192214982
APA StyleKim, S.-C., Lee, H., Lee, H.-S., Kim, G., & Song, J.-H. (2022). Adjuvant Therapy for Attention in Children with ADHD Using Game-Type Digital Therapy. International Journal of Environmental Research and Public Health, 19(22), 14982. https://doi.org/10.3390/ijerph192214982

