Research on Evolutionary Game of Water Environment Governance Behavior from the Perspective of Public Participation
Abstract
1. Introduction
2. Materials and Methods
3. Analysis of Evolutionary Stability Strategies among Different Stakeholders
3.1. Evolutionary Game Model of Different Subjects
3.1.1. The Equilibrium Analysis of Government and Enterprises
- (1)
- When , due to , for any , there exists , at which point is ESS for the government.
- (2)
- When , , is ESS; when , is ESS.
3.1.2. The Equilibrium Analysis of the Public and Enterprises
- (1)
- When , , is ESS; when , is ESS.
- (2)
- When , due to , for any , there exists , at which point is ESS for the public.
3.1.3. The Equilibrium Analysis of Government, Enterprises and the Public
3.2. Simulation Analysis
3.2.1. The Influence of Initial Intention on Behavioral Strategies




3.2.2. The Influence of Different Execution Intensity on Behavioral Strategies
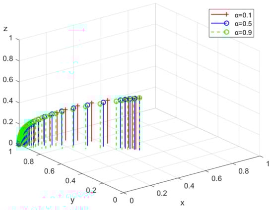
- (1)
- Simulation analysis under different ecological protection publicity

- (2)
- Simulation analysis under different subsidies

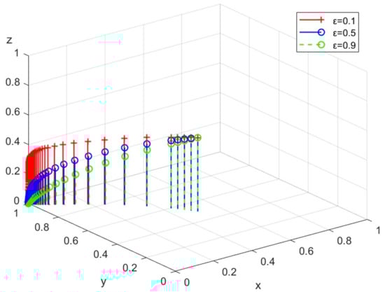
- (3)
- Simulation analysis under different fines

- (4)
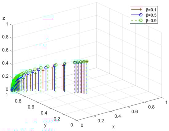
- Simulation analysis under different levels of public concern

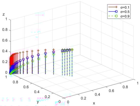
- (5)
- Simulation analysis under different levels of public whistle-blowing

4. Discussion
5. Conclusions
Author Contributions
Funding
Institutional Review Board Statement
Informed Consent Statement
Data Availability Statement
Acknowledgments
Conflicts of Interest
References
- Veldkamp, T.I.E.; Wada, Y.; Aerts, J.C.J.H.; Döll, P.; Gosling, S.N.; Liu, J.; Masaki, Y.; Oki, T.; Ostberg, S.; Pokhrel, Y.; et al. Water scarcity hotspots travel downstream due to human interventions in the 20th and 21st century. Nat. Commun. 2017, 8, 15697. [Google Scholar] [CrossRef] [PubMed]
- Li, J.W.; Liu, Z.F.; He, C.Y.; Yue, H.B.; Gou, S.Y. Water shortages raised a legitimate concern over the sustainable development of the drylands of northern China: Evidence from the water stress index. Sci. Total Environ. 2017, 590, 739–750. [Google Scholar] [CrossRef] [PubMed]
- Fu, H.L.; Niu, J.C.; Wu, Z.F.; Cheng, B.Q.; Guo, X.T.; Zuo, J. Exploration of public stereotypes of supply-and-demand characteristics of recycled water infrastructure—Evidence from an event-related potential experiment in Xi’an, China. J. Environ. Manag. 2022, 322, 116103. [Google Scholar] [CrossRef] [PubMed]
- Li, Y.; Chiu, Y.H.; Li, Y.S.; Cen, H.Y.; Lin, T.Y. Dynamic analysis of residential and enterprise water supply and leakage efficiencies. Environ. Sci. Pollut. Res. 2021, 28, 39471–39492. [Google Scholar] [CrossRef]
- Zhao, H.Q.; Yang, Z.H.; Zhang, H.W.; Meng, J.W.; Jin, Q.; Ming, S.K. Emergency Monitoring of a Tailings Pond Leakage Accident Based on the GEE Platform. Sustainability 2022, 14, 8558. [Google Scholar] [CrossRef]
- Wang, Y.G.; Engel, B.A.; Huang, P.P.; Peng, H.; Zhang, X.; Cheng, M.L.; Zhang, W.S. Accurately early warning to water quality pollutant risk by mobile model system with optimization technology. J. Environ. Manag. 2018, 208, 122–133. [Google Scholar] [CrossRef]
- Shou, Y.P.; Zhao, J.J.; Zhu, Y.X.; Qiao, J.Z.; Shen, Z.F.; Zhang, W.; Han, N.; Avelino, N.-D. Heavy metals pollution characteristics and risk assessment in sediments and waters: The case of Tianjin, China. Environ. Res. 2022, 212, 113162. [Google Scholar] [CrossRef]
- Zhang, Y.L.; Lu, J. Green finance and corporate environmental violations: A test from the perspective of illegal pollution discharge behaviors. Environ. Sci. Pollut. Res. 2022, 29, 48477–48490. [Google Scholar] [CrossRef]
- Liu, G.Q.; Yang, Z.Q.; Zhang, F.; Zhang, N. Environmental tax reform and environmental investment: A quasi-natural experiment based on China’s environmental protection pax paw. Energy Econ. 2022, 109, 106000. [Google Scholar] [CrossRef]
- Zhao, X.C.; Long, L.C.; Sun, Q.; Zhang, W. How to evaluate investment efficiency of environmental pollution control: Evidence from China. Int. J. Env. Res. Pub. Health 2022, 19, 7252. [Google Scholar] [CrossRef]
- Sun, H.X.; Wan, Y.; Zhang, L.L.; Zhen, Z. Evolutionary game of the green investment in a two-echelon supply chain under a government subsidy mechanism. J. Clean. Prod. 2019, 235, 1315–1326. [Google Scholar] [CrossRef]
- Mar, P.P.; Philipp, K.; Dimitrios, X.; Lotte, A.; Patricia, O. Societal values, tensions and uncertainties in resource recovery from wastewaters. J. Environ. Manag. 2022, 319, 115759. [Google Scholar]
- Gunes, N.; Bayar, Y.; Danilina, M.; Ozturk, O.F. Do stringent environmental policies and business regulations matter for economic growth? evidence from G7 and BRICS economies. Pol. J. Env. Stud. 2022, 31, 3083–3094. [Google Scholar] [CrossRef]
- Chakraborty, D.; Mukherjee, S. How do trade and investment flows affect environmental sustainability? Evidence from panel data. Environ. Dev. 2013, 6, 34–47. [Google Scholar] [CrossRef]
- Foumani, M.; Smith-Miles, K. The impact of various carbon reduction policies on green flowshop scheduling. Appl. Energy 2019, 249, 300–315. [Google Scholar] [CrossRef]
- Zhang, H.; Xu, T.T.; Feng, C. Does public participation promote environmental efficiency? Evidence from a quasi-natural experiment of environmental information disclosure in China. Energy Econ. 2022, 108, 105871. [Google Scholar] [CrossRef]
- Tevapitak, K.; Helmsing, A.H.J.B. The interaction between local governments and stakeholders in environmental management: The case of water pollution by SMEs in Thailand. J. Environ. Manag. 2019, 247, 840–848. [Google Scholar] [CrossRef]
- Jing, X.D.; Tian, G.L.; Li, M.R.; Javeed, S.A. Research on the spatial and temporal differences of China’s provincial carbon emissions and ecological compensation based on land carbon budget accounting. Int. J. Env. Res. Pub. Health 2021, 18, 12892. [Google Scholar] [CrossRef]
- Sun, H.X.; Yang, J. Optimal decisions for competitive manufacturers under carbon tax and cap-and-trade policies. Comput. Ind. Eng. 2021, 156, 107244. [Google Scholar] [CrossRef]
- Chu, Z.P.; Bian, C.; Yang, J. How can public participation improve environmental governance in China? A policy simulation approach with multi-player evolutionary game. Environ. Impact Assess. Rev. 2022, 95, 106782. [Google Scholar] [CrossRef]
- Gera, W. Public participation in environmental governance in the Philippines: The challenge of consolidation in engaging the state. Land Use. Pol. 2016, 52, 501–510. [Google Scholar] [CrossRef]
- Fu, J.Y.; Geng, Y.Y. Public participation, regulatory compliance and green development in China based on provincial panel data. J. Clean. Prod. 2019, 230, 1344–1353. [Google Scholar] [CrossRef]
- Wu, J.N.; Xu, M.M.; Zhang, P. The impacts of governmental performance assessment policy and citizen participation on improving environmental performance across Chinese provinces. J. Clean Prod. 2018, 184, 227–238. [Google Scholar] [CrossRef]
- Marco, G.; Bo, X. Air quality legislation and standards in the European Union: Background, status and public participation. Adv. Clim. Chang. Res. 2013, 4, 50–59. [Google Scholar] [CrossRef]
- Hasan, M.H.; Nahiduzzaman, K.M.; Aldosary, A.S. Public participation in EIA: A comparative study of the projects run by government and non-governmental organizations. Env. Impact Asses. 2018, 72, 12–24. [Google Scholar] [CrossRef]
- El Ouadighiri, I.; Khaled, G.; Jonathan, P.; Andreas, Z. Public attention to environmental issues and stock market returns. Ecol. Econ. 2021, 180, 106836. [Google Scholar] [CrossRef]
- Steffen, I.S.; Eder, C. Public opinion in policy contexts. A comparative analysis of domestic energy policies and individual policy preferences in Europe. Int. Polit. Sci. Rev. 2020, 42, 78–94. [Google Scholar] [CrossRef]
- Gutsche, G.; Ziegler, A. Which private investors are willing to pay for sustainable investments? Empirical evidence from stated choice experiments. J. Bank Financ. 2019, 102, 193–214. [Google Scholar] [CrossRef]
- Lu, S.B.; Lian, Z.D.; Sun, H.P.; Wu, X.H.; Bai, X.; Wang, C.C. Simulating trans-boundary watershed water resources conflict. Resour. Policy 2021, 73, 102139. [Google Scholar] [CrossRef]
- Jiang, K.; You, D.M.; Merrill, R.; Li, Z.D. Implementation of a multi-agent environmental regulation strategy under Chinese fiscal decentralization: An evolutionary game theoretical approach. J. Clean. Prod. 2019, 214, 902–915. [Google Scholar] [CrossRef]
- Tu, Y.; Peng, B.H.; Wei, G.; Wu, W.K. EPR system participants’ behavior: Evolutionary game and strategy simulation. J. Clean. Prod. 2020, 271, 122659. [Google Scholar] [CrossRef]
- Yang, W.X.; Yang, Y.P. Research on air pollution control in China: From the perspective of quadrilateral evolutionary games. Sustainability 2020, 12, 1756. [Google Scholar] [CrossRef]
- Li, C.D.; Ma, X.W.; Fu, T.B.; Guan, S.H. Does public concern over haze pollution matter? evidence from Beijing-Tianjin-Hebei region, China. Sci. Total Environ. 2021, 755, 142397. [Google Scholar] [CrossRef]
- Klaus, R.; Jörgen, W.W. Evolutionary selection in normal form games. Econometrica 1995, 63, 1371–1399. [Google Scholar]
- Wang, W.W.; Xue, L.Z.; Zhang, M. Research on environmental regulation behavior among local government, enterprises, and consumers from the perspective of dynamic cost of enterprises. Environ. Dev. Sustain. 2022. [Google Scholar] [CrossRef]
- Gao, M.; Liao, M.L. Collaboration of haze control: Based on the evolutionary game. Oper. Res. Manag. Sci. 2020, 29, 152–160. [Google Scholar]
| Parameter | Meanings |
|---|---|
| cost of promotion ecological protection publicity | |
| incentive costs of government | |
| government fines | |
| costs of public concern | |
| costs of public whistle-blowing | |
| social benefits of government when enterprises discharge legally | |
| economic benefits of legal discharge of enterprises | |
| additional benefits of legal discharge of enterprises | |
| economic benefits of illegal discharge of enterprises | |
| benefits of the public when enterprises discharge legally | |
| additional benefits from public participation | |
| losses of government when enterprises discharge illegally | |
| losses of government credibility caused by public whistle-blowing | |
| losses of illegal discharge of enterprises | |
| costs of legal discharge of enterprises | |
| losses of the public when enterprises discharge illegally | |
| costs of illegal discharge of enterprises |
| Positive Regulation | Negative Regulation | |||
|---|---|---|---|---|
| Government | Enterprises | Government | Enterprises | |
| legal discharge | ||||
| illegal discharge | ||||
| Active Participation | Non-Participation | |||
|---|---|---|---|---|
| Public | Enterprises | Public | Enterprises | |
| legal discharge | ||||
| illegal discharge | ||||
| Active Participation (z) | Non-Participation (1 − z) | ||
|---|---|---|---|
| positive regulation (x) | legal discharge (y) | ||
| illegal discharge (1 − y) | |||
| negative regulation (1 − x) | legal discharge (y) | ||
| illegal discharge (1 − y) | |||
| Equilibrium Point | The Eigenvalues of Jacobian Matrix | Conclusion | |
|---|---|---|---|
| Real Part | |||
| E1 (0,0,0) | (*,*,−) | ESS | |
| E2 (0,0,1) | (*,*,+) | unstable point | |
| E3 (0,1,0) | (−,*,*) | ESS | |
| E4 (0,1,1) | (−,*,*) | ESS | |
| E5 (1,0,0) | (*,*,−) | ESS | |
| E6 (1,0,1) | (*,*,+) | unstable point | |
| E7 (1,1,0) | (+,*,*) | unstable point | |
| E8 (1,1,1) | (+,*,*) | unstable point |
Publisher’s Note: MDPI stays neutral with regard to jurisdictional claims in published maps and institutional affiliations. |
© 2022 by the authors. Licensee MDPI, Basel, Switzerland. This article is an open access article distributed under the terms and conditions of the Creative Commons Attribution (CC BY) license (https://creativecommons.org/licenses/by/4.0/).
Share and Cite
Sun, M.; Gao, X.; Li, J.; Jing, X. Research on Evolutionary Game of Water Environment Governance Behavior from the Perspective of Public Participation. Int. J. Environ. Res. Public Health 2022, 19, 14732. https://doi.org/10.3390/ijerph192214732
Sun M, Gao X, Li J, Jing X. Research on Evolutionary Game of Water Environment Governance Behavior from the Perspective of Public Participation. International Journal of Environmental Research and Public Health. 2022; 19(22):14732. https://doi.org/10.3390/ijerph192214732
Chicago/Turabian StyleSun, Meng, Xukuo Gao, Jinze Li, and Xiaodong Jing. 2022. "Research on Evolutionary Game of Water Environment Governance Behavior from the Perspective of Public Participation" International Journal of Environmental Research and Public Health 19, no. 22: 14732. https://doi.org/10.3390/ijerph192214732
APA StyleSun, M., Gao, X., Li, J., & Jing, X. (2022). Research on Evolutionary Game of Water Environment Governance Behavior from the Perspective of Public Participation. International Journal of Environmental Research and Public Health, 19(22), 14732. https://doi.org/10.3390/ijerph192214732

