Comparison of Root Ecological Stoichiometry between Non-Growing Season and Growing Season of Grassland on the Chang Tang Plateau
Abstract
1. Introduction
2. Materials and Methods
2.1. Experimental Design
2.2. Sample Collection and Analysis
2.3. Statistical Analyses
3. Results
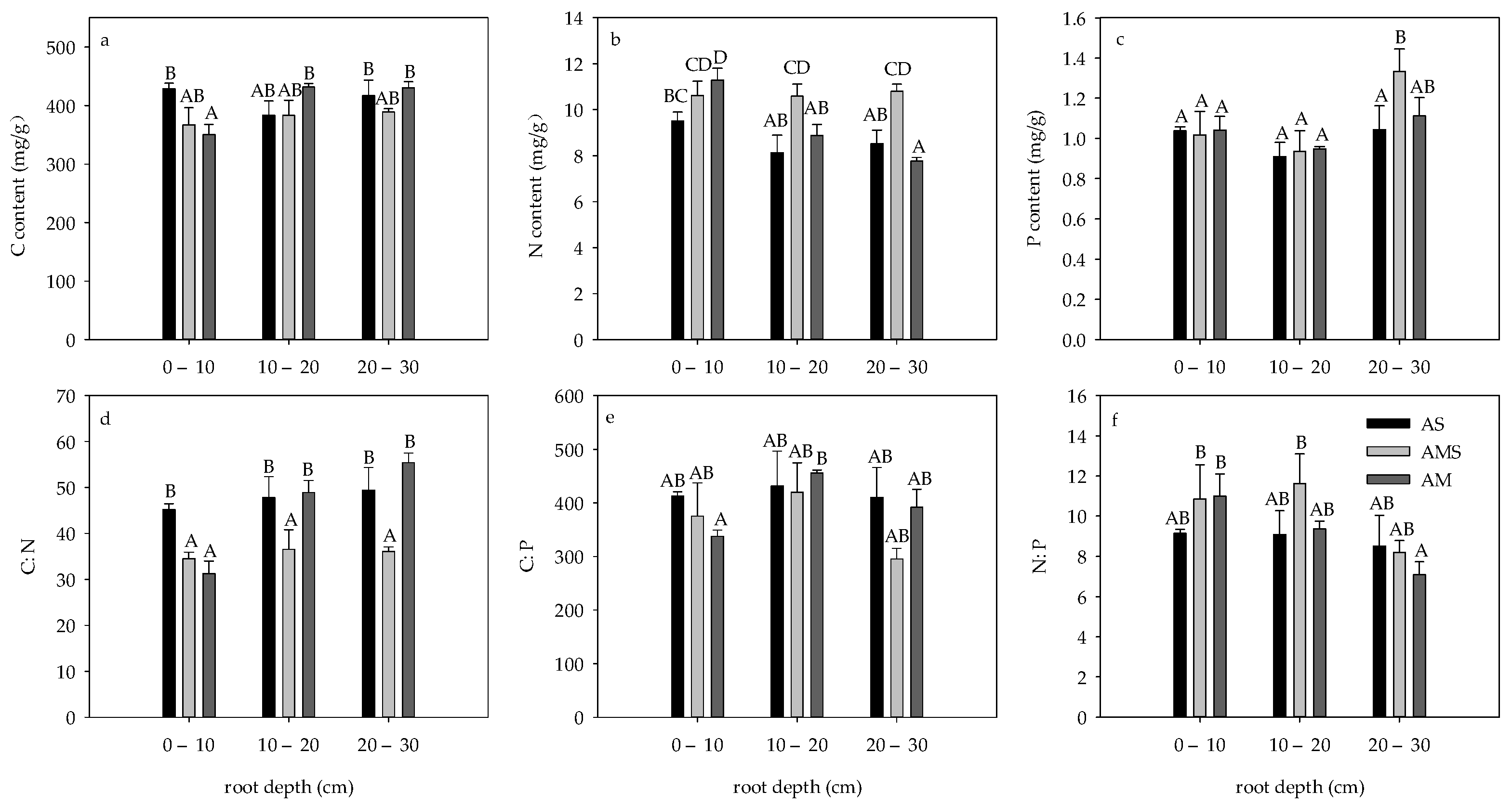
3.1. Contents and Ratios of C, N and P in Roots in April
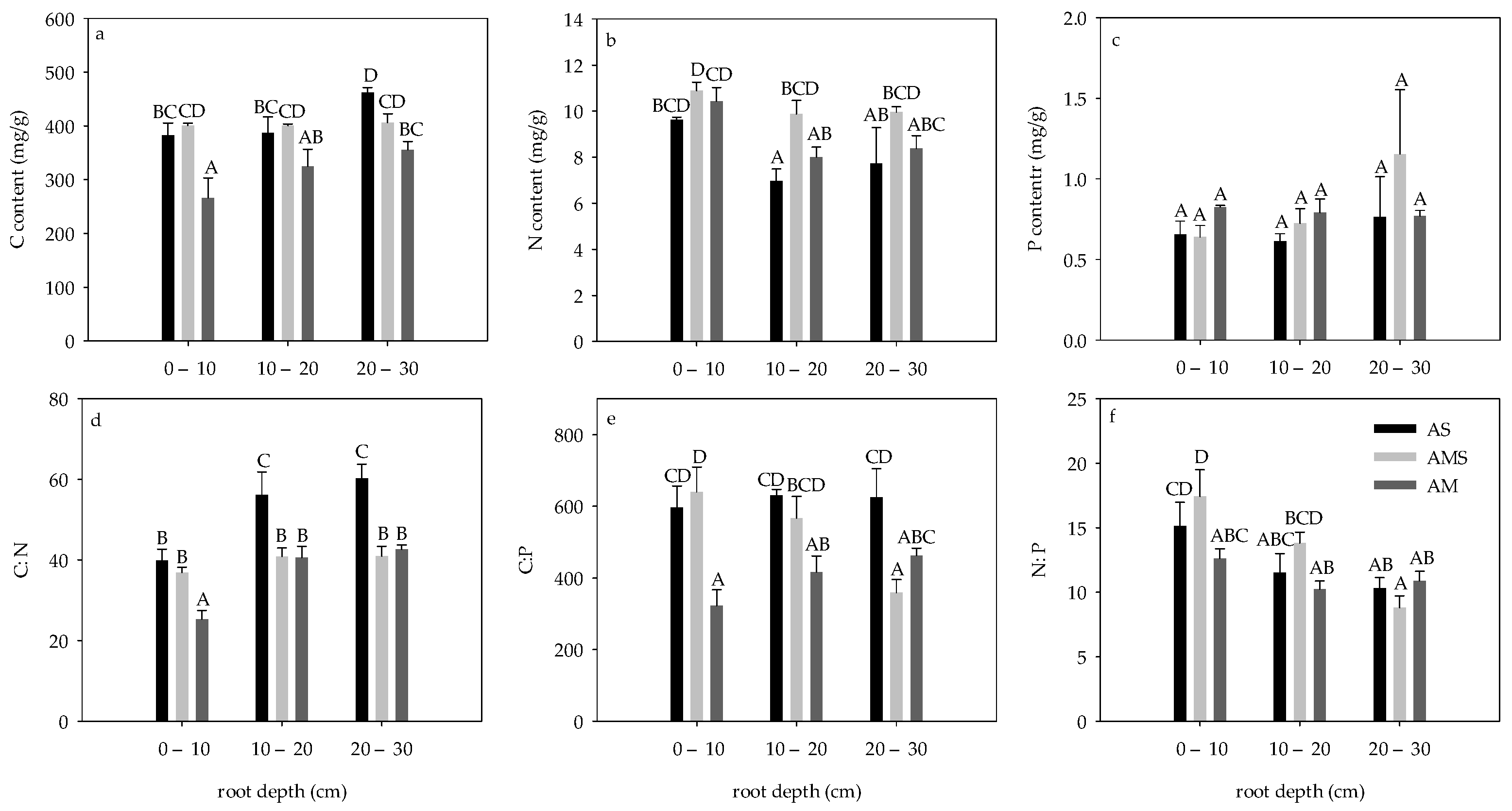
3.2. Contents and Ratios of C, N and P in Roots in August
3.3. Difference of Root C:N:P Stoichiometry between April and August
3.4. Patterns of C, N, P, AN and AP Contents of Soil
3.5. Relationship between Root C:N:P Stoichiometry and Soil Nutrients Content
4. Discussion
5. Conclusions
Author Contributions
Funding
Institutional Review Board Statement
Informed Consent Statement
Data Availability Statement
Conflicts of Interest
References
- Hans, S.; Felix, L.; Karl, A. Nutrient redistribution by grazing cattle drives patterns of topsoil N and P stocks in a low-input pasture ecosystem. Nutr. Cycl. Agroecosyst. 2010, 88, 183–195. [Google Scholar] [CrossRef]
- Bardgett, R.D.; Rvander, W.; Jonsdottir, I.S.; Quirk, H.; Dutton, S. Temporal variability in plant and soil nitrogen pools in a high-Arctic ecosystem. Soil Biol. Biochem. 2007, 39, 2129–2137. [Google Scholar] [CrossRef]
- Yu, H.; Gao, R.Y.; Yang, W.J.; Yang, L.S.; Li, S.Y.; Lin, Y.M.; Wang, D.J.; Li, J. Carbon, nitrogen, and phosphorus contents of leaf, root, and soil and their relationships in dominant herbaceous plants in dry-hot valley. Chin. J. Appl. Environ. Biol. 2022, 28, 727–735. [Google Scholar] [CrossRef]
- Ellsworth, P.Z.; Sternberg, L.S.L. Linking soil nutrient availability, fine root production and turnover, and species composition in a seasonally dry plant community. Plant Soil. 2019, 442, 49–63. [Google Scholar] [CrossRef]
- Liu, Y.; He, J.W.; Yu, H.; Lin, Y.M.; Wang, D.J. Nutrients (C, N, P) contents and stoichiometric ratios of fine root, coarse root and leaf in dominant shrubs in dry-hot valley. Mt. Res. 2020, 38, 29–39. [Google Scholar] [CrossRef]
- Gill, R.A.; Jackson, R.B. Global patterns of root turnover for terrestrial ecosystems. New Phytol. 2000, 147, 13–31. [Google Scholar] [CrossRef]
- Wang, S.Q.; Yu, G.R. Ecological stoichiometry characteristics of ecosystem carbon, nitrogen and phosphorus elements. Acta Ecol. Sin. 2008, 28, 3937–3947. [Google Scholar] [CrossRef]
- Wu, J.S.; Shen, Z.X.; Zhang, X.Z.; Shi, P.L. Biomass allocation patterns of alpine grassland species and functional groups along a precipitation gradient on the Northern Tibetan Plateau. J. Mount. Sci. 2013, 10, 1097–1108. [Google Scholar] [CrossRef]
- Li, N.; Wang, G.X.; Yang, Y.; Gao, Y.H.; Liu, G.S. Plant production, and carbon and nitrogen source pools, are strongly intensified by experimental warming in alpine ecosystems in the Qinghai-Tibet Plateau. Soil Biol. Biochem. 2011, 43, 942–953. [Google Scholar] [CrossRef]
- Johnson, M.T.; Agrawal, A.A. Plant genotype and environment interact to shape a diverse arthropod community on evening primrose (Oenothera biennis). Ecology 2005, 86, 874–885. [Google Scholar] [CrossRef]
- Tian, L.; Zehao, Z.; Jingkuan, S.; Zhanyong, F.; Yinghan, Z.; Wenjing, X. Seasonal Variation Characteristics of C, N, and P Stoichiometry and Water Use Efficiency of Messerschmidia sibirica and Its Relationship With Soil Nutrients. Front. Ecol. Evol. 2022, 10, 1–11. [Google Scholar] [CrossRef]
- Du, C.; Gao, Y. Grazing exclusion alters ecological stoichiometry of plant and soil in degraded alpine grassland. Agric. Ecosyst. Environ. 2021, 308, 107256. [Google Scholar] [CrossRef]
- Lin, Z.L.; Gao, Y.; Zhu, T.X.; Gao, K. Effects of nitrogen application rate and density on the stoichiometric characteristics of C, N, and P in oat leaves. Pratac. Sci. 2020, 37, 1107–1114. [Google Scholar] [CrossRef]
- Chen, Y.; Feng, J.; Yuan, X.; Zhu, B. Effects of warming on carbon and nitrogen cycling in alpine grassland ecosystems on the Tibetan Plateau: A meta-analysis. Geoderma 2020, 370, 114363. [Google Scholar] [CrossRef]
- Liu, C.; Li, W.; Xu, J.; Wei, W.; Xue, P.; Yan, H. Response of soil nutrients and stoichiometry to grazing management in alpine grassland on the Qinghai-Tibet Plateau. Soil Tillage Res. 2021, 206, 104822. [Google Scholar] [CrossRef]
- Hong, J.; Wang, X.; Wu, J. Effects of soil fertility on the N:P stoichiometry of herbaceous plants on a nutrient-limited alpine steppe on the northern Tibetan Plateau. Plant Soil 2015, 391, 179–194. [Google Scholar] [CrossRef]
- Shi, L.; Li, Q.; Fu, X.; Kou, L.; Dai, X.; Wang, H. Foliar, root and rhizospheric soil C:N:P stoichiometries of overstory and understory species in subtropical plantations. Catena 2021, 198, 105020. [Google Scholar] [CrossRef]
- Piao, S.; Tan, K.; Nan, H.; Ciais, P.; Fang, J.; Wang, T.; Vuichard, N.; Zhu, B. Impacts of climate and CO2 changes on the vegetation growth and carbon balance of Qinghai–Tibetan grasslands over the past five decades. Glob. Planet. Change 2012, 98–99, 73–80. [Google Scholar] [CrossRef]
- Wang, J.L.; Chang, T.J.; Li, P.; Cheng, H.H.; Fang, H.L. The vegetation carbon reserve and its spatial distribution configuration of grassland ecosystem in Tibet. Acta Ecol. Sin. 2009, 29, 931–938. [Google Scholar]
- Ma, X.X.; Yan, Y.; Lu, X.Y.; Wang, X.D. Dynamics of belowground biomass and its relationship with soil moisture in alpine grassland on the north Tibetan Plateau. Ecol. Environ. Sci. 2016, 25, 189–195. [Google Scholar] [CrossRef]
- Piao, S.L.; Fang, J.Y.; He, J.S.; Xiao, Y. Spatial Distribution of grassland biomass in China. Chin. J. Plant Ecol. 2004, 4, 491–498. [Google Scholar] [CrossRef]
- Cai, Y.J.; Wang, X.D.; Ding, W.X.; Tian, L.L.; Zhao, H.; Lu, X.Y. Potential short-term effects of yak and Tibetan sheep dung on greenhouse gas emissions in two alpine grassland soils under laboratory conditions. Biol. Fertil. Soils 2013, 49, 1215–1226. [Google Scholar] [CrossRef]
- Wang, H.Y.; Ding, R.; Wang, Z.H.; Yang, F.J. Effects of nitrogen and phosphorus addition on C: N:P ecological stoichi-ometry in leaves and roots of different canopy species in Hulun buir grassland. Acta Prataculturae Sin. 2020, 29, 37–45. [Google Scholar] [CrossRef]
- Kerkhoff, A.J.; Fagan, W.F.; Elser, J.J.; Enquist, B.J. Phylogenetic and growth form variation in the scaling of nitrogen and phosphorus in the seed plants. Am. Nat. 2006, 168, E103–E122. [Google Scholar] [CrossRef] [PubMed]
- Fan, J.W.; Zhang, W.Y.; Zhong, H.P. Plant root N and P levels and their relationship to geographical and climate factors in a Chinese grassland transect. Acta Prataculturae Sin. 2014, 23, 69–76. [Google Scholar] [CrossRef]
- Zhao, W.; Reich, P.B.; Yu, Q.; Zhao, N.; Yin, C.; Zhao, C.; Li, D.; Hu, J.; Li, T.; Yin, H. Shrub type dominates the vertical distribution of leaf C: N: P stoichiometry across an extensive altitudinal gradient. Biogeosciences 2017, 15, 1–45. [Google Scholar] [CrossRef]
- Zhang, C.; Zhou, H.; Ma, Z. Phylogenetic structure of alpine steppe plant communities along a precipitation and temperature gradient on the Tibetan Plateau. Glob. Ecol. Conserv. 2020, 24, e01379. [Google Scholar] [CrossRef]
- Zhou, M.; Wang, J.; Bai, W.; Zhang, Y.; Zhang, W.H.; Weiser, M. The response of root traits to precipitation change of herbaceous species in temperate steppes. Funct. Ecol. 2019, 33, 2030–2041. [Google Scholar] [CrossRef]
- Wang, J.L.; Zhong, Z.M.; Wang, Z.H.; Zhang, X.Z.; Shen, Z.X.; Hu, X.X. Distribution characteristics and its influence factors of vegetation C/N value of alpine steppe ecosystem in Tibetan Plateau. J. Plant Resour. Environ. 2013, 22, 20–28. [Google Scholar] [CrossRef]
- Tessier, J.T.; Raynal, D.J. Use of nitrogen to phosphorus ratios in plant tissue as an indicator of nutrient limitation and nitrogen saturation. J. Appl. Ecol. 2003, 40, 523–534. [Google Scholar] [CrossRef]
- Zhang, C.; Tian, H.; Liu, J.; Wang, S.; Liu, M.; Pan, S.; Shi, X. Pools and distributions of soil phosphorus in China. Glob. Biogeochem. Cycles 2005, 19, GB1020. [Google Scholar] [CrossRef]
- Braakhekke, W.G.; Hooftman, D. The resource balance hypothesis of plant species diversity in grassland. J. Veg. Sci. 1999, 10, 187–200. [Google Scholar] [CrossRef]
- Sardans, J.; Grau, O.; Chen, H.; Janssens, I.A.; Ciais, P.; Piao, S. Changes in nutrient concentrations of leaves and roots in response to global change factors. Glob. Change Biol. 2017, 23, 3849–3856. [Google Scholar] [CrossRef] [PubMed]



| Type | Depth (cm) | Root C | Root N | Root P | Root C:N | Root C:P | Root N:P |
|---|---|---|---|---|---|---|---|
| AS | 0–10 | 1.884 | −0.283 | 4.520 * | 1.741 | −3.049 | −3.219 * |
| 10–20 | −0.104 | 1.276 | 3.507 * | −1.150 | −2.965 * | −1.278 | |
| 20–30 | −1.632 | 0.476 | 1.005 | −1.775 | −2.202 | −1.035 | |
| AMS | 0–10 | −1.138 | −0.371 | 2.733 | −1.256 | −2.843 * | −2.442 |
| 10–20 | −0.666 | 0.900 | 1.543 | −0.901 | −1.806 | −1.286 | |
| 20–30 | −1.049 | 2.104 | 0.428 | −1.842 | −1.520 | −0.567 | |
| AM | 0–10 | 2.051 | 1.095 | 3.112 | 1.700 | 0.321 | −1.225 |
| 10–20 | 3.307 * | 1.359 | 1.846 | 2.167 | 0.861 | −1.180 | |
| 20–30 | 4.017 * | −1.058 | 3.526 * | 5.411 ** | −1.829 | −3.923 * |
| Month | Root C | Root N | Root P | Root C:N | Root C:P | Root N:P | |
|---|---|---|---|---|---|---|---|
| Soil TC | April | 0.112 | −0.133 | −0.160 | 0.147 | 0.178 | 0.012 |
| August | −0.197 | 0.162 | −0.055 | −0.226 | −0.098 | 0.129 | |
| Soil TN | April | −0.082 | 0.045 | −0.212 | −0.068 | 0.102 | 0.160 |
| August | −0.174 | 0.289 | −0.084 | −0.311 | 0.065 | 0.400 * | |
| Soil TP | April | −0.362 | 0.310 | −0.072 | −0.357 | −0.134 | 0.254 |
| August | −0.561 ** | 0.186 | −0.057 | −0.486 * | −0.315 | 0.107 | |
| Soil AN | April | −0.233 | 0.197 | −0.058 | −0.256 | −0.074 | 0.187 |
| August | −0.086 | 0.374 | −0.219 | −0.357 | 0.247 | 0.618 ** | |
| Soil AP | April | −0.139 | −0.003 | 0.024 | −0.047 | −0.142 | −0.038 |
| August | −0.489 * | 0.146 | −0.025 | −0.440 * | −0.151 | 0.262 |
Publisher’s Note: MDPI stays neutral with regard to jurisdictional claims in published maps and institutional affiliations. |
© 2022 by the authors. Licensee MDPI, Basel, Switzerland. This article is an open access article distributed under the terms and conditions of the Creative Commons Attribution (CC BY) license (https://creativecommons.org/licenses/by/4.0/).
Share and Cite
Ma, X.; Yan, Y.; Hong, J.; Wang, X. Comparison of Root Ecological Stoichiometry between Non-Growing Season and Growing Season of Grassland on the Chang Tang Plateau. Int. J. Environ. Res. Public Health 2022, 19, 14628. https://doi.org/10.3390/ijerph192214628
Ma X, Yan Y, Hong J, Wang X. Comparison of Root Ecological Stoichiometry between Non-Growing Season and Growing Season of Grassland on the Chang Tang Plateau. International Journal of Environmental Research and Public Health. 2022; 19(22):14628. https://doi.org/10.3390/ijerph192214628
Chicago/Turabian StyleMa, Xingxing, Yan Yan, Jiangtao Hong, and Xiaodan Wang. 2022. "Comparison of Root Ecological Stoichiometry between Non-Growing Season and Growing Season of Grassland on the Chang Tang Plateau" International Journal of Environmental Research and Public Health 19, no. 22: 14628. https://doi.org/10.3390/ijerph192214628
APA StyleMa, X., Yan, Y., Hong, J., & Wang, X. (2022). Comparison of Root Ecological Stoichiometry between Non-Growing Season and Growing Season of Grassland on the Chang Tang Plateau. International Journal of Environmental Research and Public Health, 19(22), 14628. https://doi.org/10.3390/ijerph192214628
