Accelerated PAH Transformation in the Presence of Dye Industry Landfill Leachate Combined with Fungal Membrane Lipid Changes
Abstract
1. Introduction
2. Materials and Methods
2.1. Reagents and LL
2.2. Microorganism and Growth Conditions
2.3. Growth of N. pironii in Medium with PAHs and LL
2.4. Analytical Methods
2.4.1. Extraction and Quantification of PAHs
2.4.2. Phospholipid Extraction and Analysis
2.4.3. Lipid Peroxidation Assay
2.5. Statistical Analysis
3. Results and Discussion
3.1. Characteristics of the Landfill of the Former “Boruta” Dye Industry Plant and the LL
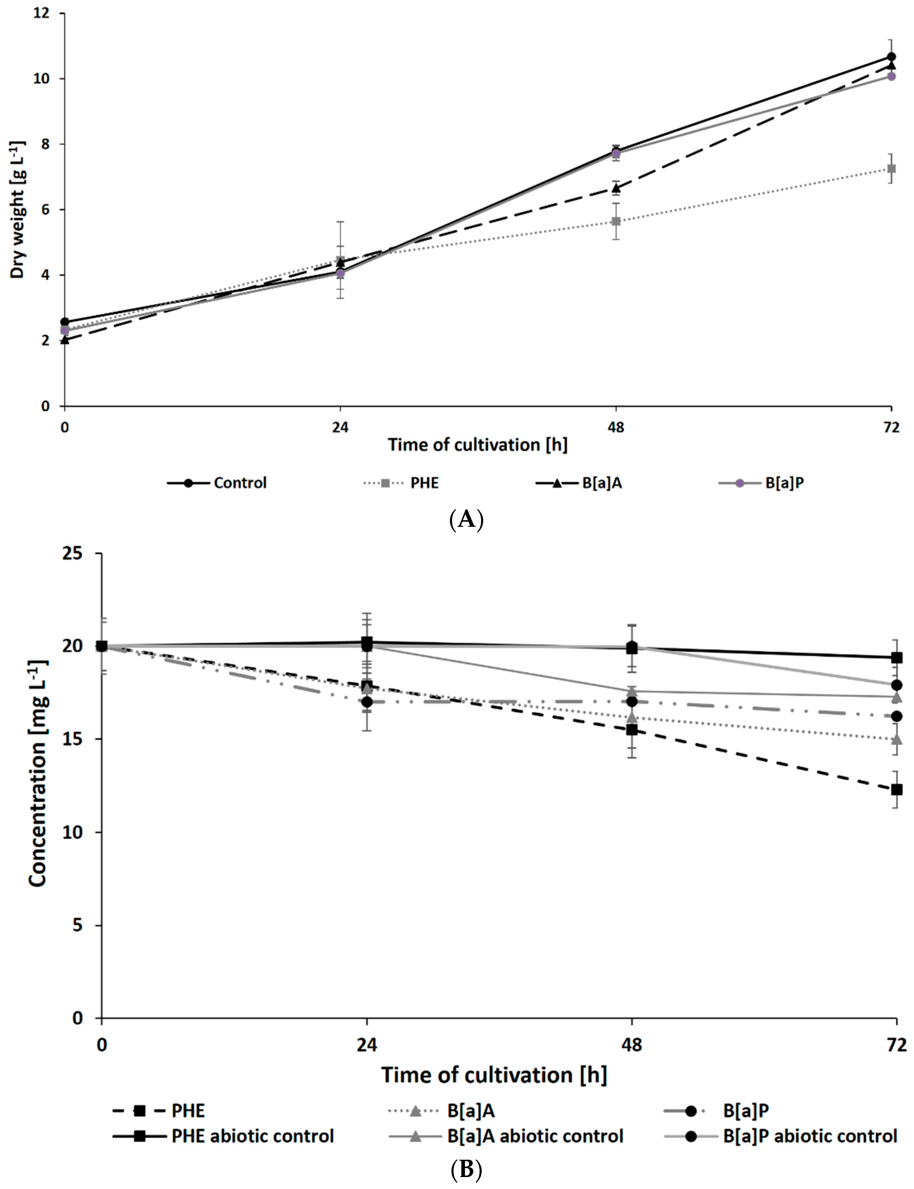
3.2. Growth of N. pironii in the Presence of PAHs and Elimination of PAHs
3.3. Influence of LL on N. pironii Growth and PAH Elimination
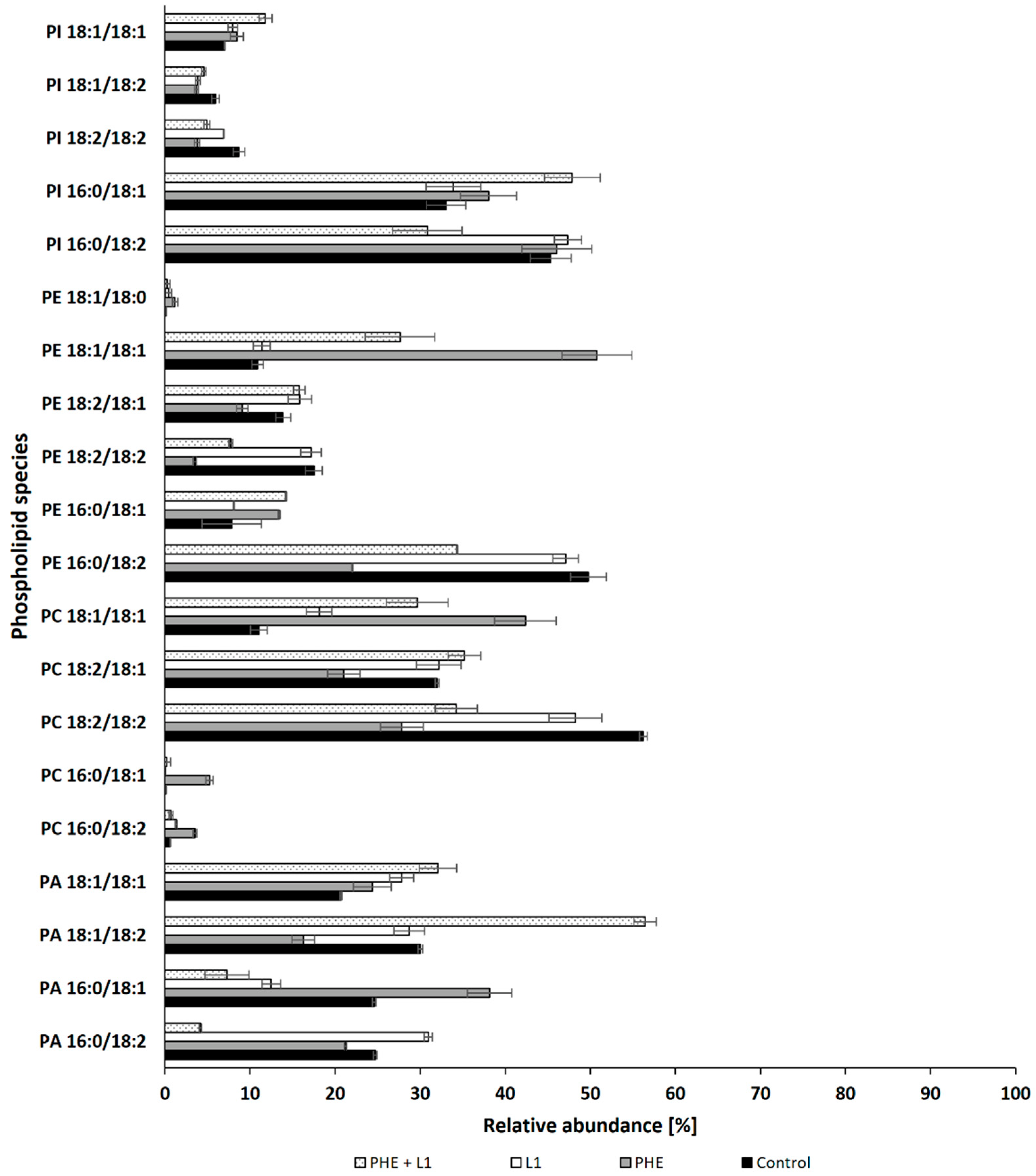
3.4. Influence of PAHs on Membrane Condition—Lipidomic Study
4. Conclusions
Supplementary Materials
Author Contributions
Funding
Institutional Review Board Statement
Informed Consent Statement
Data Availability Statement
Acknowledgments
Conflicts of Interest
References
- Eurostat Statistics Explained–Waste Statistics. Available online: https://ec.europa.eu/eurostat/statistics-explained/index.php?title=Waste_statistics#Hazardous_waste_generation (accessed on 10 May 2022).
- Baderna, D.; Caloni, F.; Benfenati, E. Investigating landfill leachate toxicity in vitro: A review of cell models and endpoints. Environ. Int. 2019, 122, 21–30. [Google Scholar] [CrossRef] [PubMed]
- Abdel-Shafy, H.I.; Mansour, M.S.M. A review on polycyclic aromatic hydrocarbons: Source, environmental impact, effect on human health and remediation. Egypt. J. Pet. 2016, 25, 107–123. [Google Scholar] [CrossRef]
- Cachada, A.; Pato, P.; Rocha-Santos, T.; Ferreira da Silva, E.; Duarte, A.C. Levels, sources and potential human health risks of organic pollutants in urban soils. Sci. Total Environ. 2012, 430, 184–192. [Google Scholar] [CrossRef]
- Riccardi, C.; Di Filippo, P.; Pomata, D.; Di Basilio, M.; Spicaglia, S.; Buiarelli, F. Identification of hydrocarbon sources in contaminated soils of three industrial areas. Sci. Total Environ. 2013, 450, 13–21. [Google Scholar] [CrossRef] [PubMed]
- Jia, T.; Guo, W.; Xing, Y.; Lei, R.; Wu, X.; Sun, S.; He, Y.; Liu, W. Spatial distributions and sources of PAHs in soil in chemical industry parks in the Yangtze River Delta, China. Environ. Pollut. 2021, 283, 117121. [Google Scholar] [CrossRef]
- Liu, B.; Liu, Y.; Bu, Q.; Cao, H.; Zhang, H.; Liu, C.; He, X.; Yun, M. Polycyclic Aromatic Hydrocarbons in surface water from Wuhai and Lingwu Sections of the Yellow River: Concentrations, sources, and ecological risk. J. Chem. 2020, 2020, 8458257. [Google Scholar] [CrossRef]
- Montuori, P.; De Rosa, E.; Di Duca, F.; Provvisiero, D.P.; Sarnacchiaro, P.; Nardone, A.; Triassi, M. Estimation of Polycyclic Aromatic Hydrocarbons pollution in Mediterranean Sea from Volturno River, Southern Italy: Distribution, Risk Assessment and Loads. Int. J. Environ. Res. Public Health 2021, 18, 1383. [Google Scholar] [CrossRef] [PubMed]
- Pietrogrande, M.C.; Demaria, G.; Russo, M. Determination of particulate polycyclic aromatic hydrocarbons in ambient air by gas chromatography-mass spectrometry after molecularly imprinted polymer extraction. J. Environ. Sci. 2023, 124, 644–654. [Google Scholar] [CrossRef] [PubMed]
- Jiao, H.; Wang, Q.; Zhao, N.; Jin, B.; Zhuang, X.; Bai, Z. Distributions and Sources of Polycyclic Aromatic Hydrocarbons (PAHs) in Soils around a Chemical Plant in Shanxi, China. Int. J. Environ. Res. Public Health 2017, 14, 1198. [Google Scholar] [CrossRef] [PubMed]
- Torres-Farradá, G.; Manzano-León, A.M.; Rineau, F.; Ramos Leal, M.; Thijs, S.; Jambon, I.; Put, J.; Czech, J.; Guerra Rivera, G.; Carleer, R.; et al. Biodegradation of polycyclic aromatic hydrocarbons by native Ganoderma sp. strains: Identification of metabolites and proposed degradation pathways. Appl. Microbiol. Biotechnol. 2019, 103, 7203–7215. [Google Scholar] [CrossRef]
- Salihoglu, N.K.; Salihoglu, G.; Tasdemir, Y.; Cindoruk, S.S.; Yolsal, D.; Ogulmus, R.; Karaca, G. Comparison of Polycyclic Aromatic Hydrocarbons levels in sludges from municipal and industrial wastewater treatment plants. Arch. Environ. Contam. Toxicol. 2010, 58, 523–534. [Google Scholar] [CrossRef]
- Ning, X.A.; Lin, M.Q.; Shen, L.Z.; Zhang, J.H.; Wang, J.Y.; Wang, Y.J.; Yang, Z.Y.; Liu, J.Y. Levels, composition profiles and risk assessment of polycyclic aromatic hydrocarbons (PAHs) in sludge from ten textile dyeing plants. Environ. Res. 2014, 132, 112–118. [Google Scholar] [CrossRef]
- Xu, Y.; Zhou, Y.; Wang, D.; Chen, S.; Liu, J.; Wang, Z. Occurrence and removal of organic micropollutants in the treatment of landfill leachate by combined anaerobic-membrane bioreactor technology. J. Environ. Sci. 2008, 20, 1281–1287. [Google Scholar] [CrossRef]
- Wojciechowska, E. Removal of persistant organic pollutants from landfill leachates treated in three constructed wetland systems. Water Sci. Technol. 2013, 68, 1164–1172. [Google Scholar] [CrossRef]
- Ghosh, P.; Gupta, A.; Thakur, I.S. Combined chemical and toxicological evaluation of leachate from municipal solid waste landfill sites of Delhi, India. Environ. Sci. Pollut. Res. Int. 2015, 22, 9148–9158. [Google Scholar] [CrossRef]
- Smol, M.; Włodarczyk-Makuła, M.; Mielczarek, K.; Bohdziewicz, J.; Włóka, D. The use of reverse osmosis in the removal of PAHs from municipal landfill leachate. Polycycl. Aromat. Compd. 2016, 36, 20–39. [Google Scholar] [CrossRef]
- Pisharody, L.; Gopinath, A.; Malhotra, M.; Nidheesh, P.V.; Kumar, M.S. Occurrence of organic micropollutants in municipal landfill leachate and its effective treatment by advanced oxidation processes. Chemosphere 2022, 287, 132216. [Google Scholar] [CrossRef]
- Idowu, O.; Semple, K.T.; Ramadass, K.; O’Connor, W.; Hansbro, P.; Thavamani, P. Beyond the obvious: Environmental health implications of polar polycyclic aromatic hydrocarbons. Environ. Int. 2019, 123, 543–557. [Google Scholar] [CrossRef]
- Patel, A.B.; Shaikh, S.; Jain, K.R.; Desai, C.; Madamwar, D. Polycyclic Aromatic Hydrocarbons: Sources, toxicity, and remediation approaches. Front. Microbiol. 2020, 11, 562813. [Google Scholar] [CrossRef]
- Bojes, H.K.; Pope, P.G. Characterization of EPA’s 16 priority pollutant polycyclic aromatic hydrocarbons (PAHs) in tank bottom solids and associated contaminated soils at oil exploration and production sites in Texas. Regul. Toxicol. Pharmacol. 2007, 47, 288–295. [Google Scholar] [CrossRef]
- Ghosal, D.; Ghosh, S.; Dutta, T.K.; Ahn, Y. Current State of Knowledge in Microbial Degradation of Polycyclic Aromatic Hydrocarbons (PAHs): A Review. Front. Microbiol. 2016, 7, 1369. [Google Scholar] [CrossRef] [PubMed]
- Peng, T.; Luo, A.; Kan, J.; Liang, L.; Huang, T.; Hu, Z. Identification of a ring-hydroxylating dioxygenases capable of anthracene and benz[a]anthracene oxidization from Rhodococcus sp. P14. J. Mol. Microbiol. Biotechnol. 2018, 28, 183–189. [Google Scholar] [CrossRef] [PubMed]
- Gitipour, S.; Sorial, G.A.; Ghasemi, S.; Bazyari, M. Treatment technologies for PAH-contaminated sites: A critical review. Environ. Monit. Assess. 2018, 190, 1–17. [Google Scholar] [CrossRef]
- Cevallos-Mendoza, J.; Amorim, C.G.; Rodríguez-Díaz, J.M.; Montenegro, M.D.C.B.S.M. Removal of Contaminants from Water by Membrane Filtration: A Review. Membranes 2022, 12, 570. [Google Scholar] [CrossRef]
- Xinhong, G.; Ying, T.; Wenjie, R.; Jun, M.; Christie, P.; Yongming, L. Optimization of ex-situ washing removal of polycyclic aromatic hydrocarbons from a contaminated soil using nano-sulfonated graphene. Pedosphere 2017, 27, 527–536. [Google Scholar] [CrossRef]
- Shih, Y.J.; Binh, N.T.; Chen, C.W.; Chen, C.F.; Dong, C.D. Treatability assessment of polycyclic aromatic hydrocarbons contaminated marine sediments using permanganate, persulfate and Fenton oxidation processes. Chemosphere 2016, 150, 294–303. [Google Scholar] [CrossRef] [PubMed]
- Partovinia, A.; Naeimpoor, F. Comparison of phenanthrene biodegradation by free and immobilized cell systems: Formation of hydroxylated compounds. Environ. Sci. Pollut. Res Int. 2014, 21, 5889–5898. [Google Scholar] [CrossRef]
- Marco-Urrea, E.; García-Romera, I.; Aranda, E. Potential of non-ligninolytic fungi in bioremediation of chlorinated and polycyclic aromatic hydrocarbons. N. Biotechnol. 2015, 32, 620–628. [Google Scholar] [CrossRef] [PubMed]
- Pozdnyakova, N.N. Involvement of the ligninolytic system of white-rot and litter-decomposing fungi in the degradation of polycyclic aromatic hydrocarbons. Biotechnol. Res. Int. 2012, 2012, 243217. [Google Scholar] [CrossRef]
- Dhar, K.; Panneerselvan, L.; Venkateswarlu, K.; Megharaj, M. Efficient bioremediation of PAHs-contaminated soils by a methylotrophic enrichment culture. Biodegradation 2022, 33, 575–591. [Google Scholar] [CrossRef]
- Kweon, O.; Kim, S.J.; Sutherland, J.B.; Cerniglia, C.E. Novel insights into Polycyclic Aromatic Hydrocarbon biodegradation pathways using systems biology and bioinformatics approaches. In Microbial Biodegradation from Omics to Function and Application, 1st ed.; Długoński, J., Ed.; Caister Academic Press: Norfolk, UK, 2016; pp. 143–166. [Google Scholar]
- Azadi, D.; Shojaei, H. Biodegradation of polycyclic aromatic hydrocarbons, phenol and sodium sulfate by Nocardia species isolated and characterized from Iranian ecosystems. Sci. Rep. 2020, 10, 21860. [Google Scholar] [CrossRef]
- Hesham, A.; Mawad, A.M.; Mostafa, Y.M.; Shoreit, A. Biodegradation ability and catabolic genes of petroleum-degrading Sphingomonas koreensis strain ASU-06 isolated from Egyptian oily soil. BioMed Res. Int. 2014, 2014, 127674. [Google Scholar] [CrossRef] [PubMed]
- Aranda, E.; Godoy, P.; Reina, R.; Badia-Fabregat, M.; Rosell, M.; Marco-Urrea, E.; García-Romera, I. Isolation of Ascomycota fungi with capability to transform PAHs: Insights into the biodegradation mechanisms of Penicillium oxalicum. Int. Biodeter. Biodegr. 2017, 122, 141–150. [Google Scholar] [CrossRef]
- Prenafeta-Boldú, F.X.; Kuhn, A.; Luykx, D.M.A.M.; Anke, H.; van Groenestijn, J.W.; de Bont, J.A.M. Isolation and characterisation of fungi growing on volatile aromatic hydrocarbons as their sole carbon and energy source. Mycolog. Res. 2001, 105, 477–484. [Google Scholar] [CrossRef]
- Worrich, A.; Stryhanyuk, H.; Musat, N.; König, S.; Banitz, T.; Centler, F.; Frank, K.; Thullner, M.; Harms, H.; Richnow, H.H. Mycelium-mediated transfer of water and nutrients stimulates bacterial activity in dry and oligotrophic environments. Nat. Commun. 2017, 8, 15472. [Google Scholar] [CrossRef]
- González-Abradelo, D.; Pérez-Llano, Y.; Peidro-Guzmán, H.; Sánchez-Carbente, M.D.R.; Folch-Mallol, J.L.; Aranda, E.; Vaidyanathan, V.K.; Cabana, H.; Gunde-Cimerman, N.; Batista-García, R.A. First demonstration that ascomycetous halophilic fungi (Aspergillus sydowii and Aspergillus destruens) are useful in xenobiotic mycoremediation under high salinity conditions. Bioresour. Technol. 2019, 279, 287. [Google Scholar] [CrossRef]
- Medaura, M.C.; Guivernau, M.; Moreno-Ventas, X.; Prenafeta-Boldú, F.X.; Viñas, M. Bioaugmentation of native fungi, an efficient strategy for the bioremediation of an aged industrially polluted soil with heavy hydrocarbons. Front. Microbiol. 2021, 12, 626436. [Google Scholar] [CrossRef]
- Góralczyk-Bińkowska, A.; Jasińska, A.; Długoński, A.; Płociński, P.; Długoński, J. Laccase activity of the ascomycete fungus Nectriella pironii and innovative strategies for its production on leaf litter of an urban park. PLoS ONE 2020, 15, e0231453, Erratum in PLoS ONE 2020, 15, e0233553. [Google Scholar] [CrossRef]
- Góralczyk-Bińkowska, A.; Długoński, A.; Bernat, P.; Długoński, J.; Jasińska, A. Environmental and molecular approach to dye industry waste degradation by the ascomycete fungus Nectriella pironii. Sci. Rep. 2021, 11, 23829. [Google Scholar] [CrossRef]
- Milczarek, K.; Wrońska, N.; Felczak, A. Media. In Microbial Biotechnology in the Laboratory and in Practice. Theory, Exercises and Specialist Laboratories, 1st ed.; Długoński, J., Ed.; Łódź University Press & Jagiellonian University Press: Łódź-Kraków, Poland, 2021; pp. 475–496. [Google Scholar]
- Bernat, P.; Nykiel-Szymańska, J.; Stolarek, P.; Słaba, M.; Szewczyk, R.; Różalska, S. 2,4-dichlorophenoxyacetic acid-induced oxidative stress: Metabolome and membrane modifications in Umbelopsis isabellina, a herbicide degrader. PLoS ONE 2018, 13, e0199677. [Google Scholar] [CrossRef]
- Słaba, M.; Bernat, P.; Różalska, S.; Nykiel, J.; Długoński, J. Comparative study of metal induced phospholipid modifications in the heavy metal tolerant filamentous fungus Paecilomyces marquandii and implications for the fungal membrane integrity. Acta Biochim. Pol. 2013, 60, 695–700. [Google Scholar] [CrossRef]
- Długoński, A.; Szumański, M. Analysis of green infrastructure in Lodz, Poland. J. Urban Plan. Dev. 2014, 141, A5014001. [Google Scholar] [CrossRef]
- Długoński, A.; Szumański, M. Eco-Urban Atlas of Green Infrastructure of Lodz City; Łódzkie Towarzystwo Naukowe: Łódź, Poland, 2016; (In Polish with English Summary); Available online: https://www.ltn.lodz.pl/index.php?option=com_content&view=article&id=693&Itemid=170 (accessed on 16 September 2022).
- MKIS. Projekt Ustawy o Terenach Zdegradowanych Nr UD312 [Draft Act on Large-Scale Degraded Areas]. 2022. Available online: https://www.gov.pl/web/premier/projekt-ustawy-o-wielkoobszarowych-terenach-zdegradowanych2 (accessed on 25 May 2022).
- HELCOM. State of the Baltic Sea—Second HELCOM Holistic Assessment 2011–2016. Baltic Sea Environment Proceedings 155. 2018. Available online: https://www.eea.europa.eu/data-and-maps/indicators/chlorophyll-in-transitional-coastal-and-3/helcom-2018-state-of-the (accessed on 11 August 2022).
- HELCOM. Thematic Assessment of Hazardous Substances 2011–2016. Supplementary Report to the HELCOM “State of the Baltic Sea” Report. 2018. Available online: https://www.helcom.fi/wp-content/uploads/2019/08/HELCOM_Thematic-assessment-of-hazardous-substances-2011-2016_pre-publication.pdf (accessed on 11 August 2022).
- HELCOM. Polyaromatic Hydrocarbons (PAHs) and Their Metabolites. HELCOM Core Indicator Report. 2018. Available online: https://helcom.fi/wp-content/uploads/2019/08/Polyaromatic-hydrocarbons-PAHs-and-their-metabolites-HELCOM-core-indicator-2018.pdf (accessed on 11 August 2022).
- Kanwischer, M.; Asker, N.; Wernersson, A.S.; Wirth, M.A.; Fisch, K.; Dahlgren, E.; Osterholz, H.; Habedank, F.; Naumann, M.; Mannio, J.; et al. Substances of emerging concern in Baltic Sea water: Review on methodological advances for the environmental assessment and proposal for future monitoring. Ambio 2022, 51, 1588–1608. [Google Scholar] [CrossRef] [PubMed]
- OSS. Ocena Stanu Środowiska Polskich Obszarów Morskich Bałtyku na Podstawie Danych Monitoringowych z Roku 2019 na Tle Dziesięciolecia 2009–2018 [Assessment of the Environmental Status of the Polish Baltic Sea Regions Based on Monitoring Data from 2019 in the Context of the Decade 2009–2018]. Ed. Narodowy Fundusz Ochrony Środowiska: Warsaw, Poland. 2020. Available online: https://www.gios.gov.pl/images/dokumenty/pms/monitoring_wod/ocena_stanu_2019_2009-2018.pdf (accessed on 10 May 2022).
- Janas, M.; Zawadzka, A. Assessment of the Monitoring of an Industrial Waste Landfill. Ecol. Chem. Eng. S 2018, 25, 659–669. [Google Scholar] [CrossRef]
- NIK Report. Plan Pracy Najwyższej Izby Kontroli na 2022 rok. Work Plan of the Supreme Audit Office for 2022. Nr 30; p. 71. 2021. Available online: https://www.nik.gov.pl/kontrole/plan-pracy-nik/ (accessed on 10 May 2022).
- Kuśmierz, A.; Krawczyńska, B.; Krawczyński, J. Ocena Oddziaływania Składowisk Pozakładowych Zlokalizowanych na Terenie Byłych Zakładów “Boruta” w Zgierzu na Źycie i Zdrowie Mieszkańców Zgierza i Okolic Oraz Dla środowiska [Assessment of the Impact of the Off-Site Landfills on the Site of the Former “Boruta” Industrial Area in Zgierz on the Life and Health of the Inhabitants of Zgierz and Its Surroundings and on the Snvironment]; IOS-PIB: Warsaw, Poland, 2019. [Google Scholar]
- Fayeulle, A.; Veignie, E.; Schroll, R.; Munch, J.C.; Rafin, C. PAH biodegradation by telluric saprotrophic fungi isolated from aged PAH-contaminated soils in mineral medium and historically contaminated soil microcosms. J. Soil Sediments 2019, 19, 3056–3067. [Google Scholar] [CrossRef]
- de Souza, H.M.L.; Barreto, L.R.; da Mota, A.J.; de Oliveira, L.A.; dos Barroso, H.S.; Zanotto, S.P. Tolerance to Polycyclic Aromatic Hydrocarbons (PAHs) by filamentous fungi isolated from contaminated sediment in the Amazon region. Acta Sci. Biol. Sci. 2017, 39, 481–488. [Google Scholar] [CrossRef]
- Lisowska, K.; Pałecz, B.; Długoński, J. Microcalorimetry as a possible tool for phenanthrene toxicity evaluation to eukaryotic cells. Thermochim. Acta 2004, 411, 181–186. [Google Scholar] [CrossRef]
- Argumedo-Delira, R.; Alarcón, A.; Ferrera-Cerrato, R.; Almaraz, J.J.; Peña-Cabriales, J.J. Tolerance and growth of 11 Trichoderma strains to crude oil, naphthalene, phenanthrene and benzo[a]pyrene. J. Environ. Manag. 2012, 9, S291–S299. [Google Scholar] [CrossRef]
- Jasińska, A.; Soboń, A.; Różalska, S.; Średnicka, P. Bisphenol A removal by the fungus Myrothecium roridum IM 6482—Analysis of the cellular and subcellular level. Int. J. Mol. Sci. 2021, 22, 10676. [Google Scholar] [CrossRef]
- Jasińska, A.; Góralczyk-Bińkowska, A.; Soboń, A.; Długoński, J. Lignocellulose resources for the Myrothecium roridum laccase production and their integrated application for dyes removal. Int. J. Environ. Sci. Technol. 2019, 16, 4811–4822. [Google Scholar] [CrossRef]
- Janicki, T.; Długoński, A.; Felczak, A.; Długoński, J.; Krupiński, M. Ecotoxicological estimation of 4-cumylphenol, 4-t-octylphenol, nonylphenol, and volatile leachate phenol degradation by the microscopic fungus Umbelopsis isabellina using a battery of biotests. Int. J. Environ. Res. Public Health 2022, 19, 4093. [Google Scholar] [CrossRef] [PubMed]
- Liao, S.G.; Zhang, L.J.; Sun, F.; Wang, Z.; He, X.; Wang, A.M.; Li, Y.J.; Huang, Y.; Lan, Y.Y.; Zhang, B.L.; et al. Identification and characterisation of phenolics in Polygonum capitatum by ultrahigh-performance liquid chromatography with photodiode array detection and tandem mass spectrometry. Phytochem. Anal. 2013, 24, 556–568. [Google Scholar] [CrossRef]
- Kakkar, S.; Bais, S. A review on protocatechuic acid and its pharmacological potential. ISRN Pharmacol. 2014, 2014, 952943. [Google Scholar] [CrossRef] [PubMed]
- Acevedo, F.; Pizzul, L.; del Pilar Castillo, M.; Cuevas, R.; Diez, M.C. Degradation of polycyclic aromatic hydrocarbons by the Chilean white-rot fungus Anthracophyllum discolor. J. Hazard. Mater. 2011, 185, 212–219. [Google Scholar] [CrossRef]
- Lisowska, K.; Zawadzka, K.; Długoński, A. Biological wastewater treatment processes. In Microbial Biotechnology in the Laboratory and in Practice. Theory, Exercises and Specialist Laboratories, 1st ed.; Długoński, J., Ed.; Łódź University Press & Jagiellonian University Press: Łódź-Kraków, Poland, 2021; pp. 317–325. [Google Scholar]
- Nzila, A.; Musa, M.M. Current status of and future perspectives in bacterial degradation of benzo[a]pyrene. Int. J. Environ. Res. Public Health 2021, 18, 262. [Google Scholar] [CrossRef] [PubMed]
- Bernat, P. Application of lipidomics in the study of detoxification processes in microorganisms. In Microbial Biotechnology in the Laboratory and Practice. Theory, Exercises and Specialist Laboratories, 1st ed.; Długoński, J., Ed.; Łódź University Press & Jagiellonian University Press: Łódź-Kraków, Poland, 2021; pp. 452–459. [Google Scholar]
- de Kroon, A.I.; Rijken, P.J.; De Smet, C.H. Checks and balances in membrane phospholipid class and acyl chain homeostasis, the yeast perspective. Prog. Lipid. Res. 2013, 52, 374–394. [Google Scholar] [CrossRef] [PubMed]
- Siewiera, P.; Bernat, P.; Różalska, S.; Długoński, J. Estradiol improves tributyltin degradation by the filamentous fungus Metarhizium robertsii. Int. Biodeterior. Biodegr. 2015, 104, 258–263. [Google Scholar] [CrossRef]
- Nykiel-Szymańska, J.; Różalska, S.; Bernat, P.; Słaba, M. Assessment of oxidative stress and phospholipids alterations in chloroacetanilides-degrading Trichoderma spp. Ecotoxicol. Environ. Saf. 2019, 184, 109629. [Google Scholar] [CrossRef]
- Mironenka, J.; Różalska, S.; Soboń, A.; Bernat, P. Lipids, proteins and extracellular metabolites of Trichoderma harzianum modifications caused by 2,4-dichlorophenoxyacetic acid as a plant growth stimulator. Ecotoxicol. Environ. Saf. 2020, 194, 110383. [Google Scholar] [CrossRef]
- Li, Z.; Agellon, L.B.; Allen, T.M.; Umeda, M.; Jewell, L.; Mason, A.; Vance, D.E. The ratio of phosphatidylcholine to phosphatidylethanolamine influences membrane integrity and steatohepatitis. Cell Metab. 2006, 3, 321–331. [Google Scholar] [CrossRef]
- Bernat, P.; Gajewska, E.; Szewczyk, R.; Słaba, M.; Długoński, J. Tributyltin (TBT) induces oxidative stress and modifies lipid profile in the filamentous fungus Cunninghamella elegans. Environ. Sci. Pollut. Res. Int. 2014, 21, 4228–4235. [Google Scholar] [CrossRef] [PubMed]
- Szewczyk, R.; Różalska, S.; Mironenka, J.; Bernat, P. Atrazine biodegradation by mycoinsecticide Metarhizium robertsii: Insights into its amino acids and lipids profile. J. Environ. Manag. 2020, 262, 110304. [Google Scholar] [CrossRef] [PubMed]
- Litwin, A.; Bernat, P.; Nowak, M.; Słaba, M.; Różalska, S. Lipidomic response of the entomopathogenic fungus Beauveria bassiana to pyrethroids. Sci. Rep. 2021, 11, 21319. [Google Scholar] [CrossRef]
- Fedoseeva, E.V.; Danilova, O.A.; Ianutsevich, E.A.; Terekhova, V.A.; Tereshina, V.M. Micromycete lipids and stress. Microbiology 2021, 90, 37–55. [Google Scholar] [CrossRef]
- Shon, J.C.; Noh, Y.J.; Kwon, Y.S.; Kim, J.H.; Wu, Z.; Seo, J.S. The impact of phenanthrene on membrane phospholipids and its biodegradation by Sphingopyxis soli. Ecotoxicol. Environ. Saf. 2020, 192, 110254. [Google Scholar] [CrossRef]







| Date of Sampling | CODMang (N = 125) | TOC (N = 30) | Iron (N = 10) | Petroleum Hydrocarbons (N = 15) | ||||
|---|---|---|---|---|---|---|---|---|
| mg L−1 O2 | mg L−1 C | mg L−1 Fe | mg L−1 | |||||
| L1 | L2 | L1 | L2 | L1 | L2 | L1 | L2 | |
| 17 X 2017 | 564 ± 150 | 568 ± 151 | 787 ± 118 | 753 ± 113 | 61.5 ± 11.7 | 58.4 ± 11.1 | 3.01 ± 0.81 | 3.80 ± 1.03 |
| 09 X 2018 | 247 ± 66 | 251 ± 67 | 540 ± 99 | 525 ± 101 | 27.3 ± 5.2 | 26.2 ± 5.0 | 5.40 ± 1.36 | 14.0 ± 3.5 |
| 09 IV 2019 | 460 ± 122 | 488 ± 130 | 725 ± 133 | 765 ± 140 | 22.3 ± 4.2 | 24.3 ± 4.6 | 1.02 ± 0.26 | 0.60 ± 0.15 |
| 11 VII 2019 | 520 ± 138 | 494 ± 131 | 660 ± 176 | 672 ± 179 | 13.2 ± 2.5 | 13.1 ± 2.5 | 6.13 ± 1.54 | 4.82 ± 1.21 |
| 21 V 2020 | 426 ± 113 | 428 ± 114 | 799 ± 146 | 798 ± 146 | 23.8 ± 4.5 | 23.1 ± 4.4 | 3.12 ± 0.79 | 2.08 ± 0.52 |
| 16 XI 2020 | 522.8 ± 138.5 | 348.8 ± 92.4 | 826 ± 151 | 1040.5 ± 190.4 | 28.86 ± 5.48 | 30.88 ± 5.87 | 23.7 ± 7.6 | 7.2 ± 2.3 |
| 09 III 2021 | 448 ± 119 | 460.8 ± 122.6 | 274.2 ± 50.2 | 294.7 ± 53.9 | 57 ± 11 | 31 ± 5.9 | 52.2 ± 16.7 | 1.91 ± 0.61 |
| 07 IX 2021 | 444 ± 118 | 392 ± 104 | 437 ± 80 | 372 ± 68 | 39.1 ± 7.4 | 32.9 ± 6.3 | 17.0 ± 5.4 | 14.8 ± 4.7 |
| Compound Name | Chemical Structure | Fragment Ion (m/z) | Precursor Ion (m/z) |
|---|---|---|---|
| protocatechuic acid (tms) | ![]() | 193 281 355 | 370 |
| phthalic acid (tms) | ![]() | 147 221 295 | 310 |
| terephthalic acid (tms) | ![]() | 221 251 295 | 310 |
| p-hydroxyphenylacetic acid (2 tms) | ![]() | 252 281 | 296 |
| PL Class | Control Biotic | L1 | PHE | PHE + L1 | B[a]A | B[a]A + L1 | B[a]P | B[a]P + L1 |
|---|---|---|---|---|---|---|---|---|
| PA | 0.65 ± 0.02 | 1.96 ± 0.11 ** | 0.42 ± 0.02 * | 0.19 ± 0.01 ** | 0.71 ± 0.03 | 1.20 ± 0.04 ** | 0.43 ± 0.02 | 0.88 ± 0.07 |
| PC | 36.15 ± 2.18 | 40.60 ± 2.54 * | 59.98 ± 1.75 ** | 68.43 ± 3.45 ** | 45.11 ± 1.45 ** | 42.06 ± 3.36 ** | 40.51 ± 3.54 * | 47.67 ± 2.39 * |
| PE | 58.08 ± 2.36 | 52.45 ± 3.17 * | 38.48 ± 2.14 ** | 24.51 ± 1.19 ** | 51.26 ± 3.36 * | 48.09 ± 1.56 ** | 55.70 ± 4.25 | 45.49 ± 3.35 * |
| PI | 5.12 ± 0.41 | 4.99 ± 0.18 | 1.12 ± 0.04 ** | 6.88 ± 0.23 | 2.92 ± 0.14 | 8.65 ± 0.37 ** | 3.37 ± 0.21 | 5.96 ± 0.46 |
| PC/PE | 0.62 ± 0.03 | 0.77 ± 0.03 | 1.56 ± 0.07 * | 2.79 ± 0.25 ** | 0.88 ± 0.05 | 0.87 ± 0.04 | 0.73 ± 0.04 | 1.05 ± 0.09 |
Publisher’s Note: MDPI stays neutral with regard to jurisdictional claims in published maps and institutional affiliations. |
© 2022 by the authors. Licensee MDPI, Basel, Switzerland. This article is an open access article distributed under the terms and conditions of the Creative Commons Attribution (CC BY) license (https://creativecommons.org/licenses/by/4.0/).
Share and Cite
Góralczyk-Bińkowska, A.; Długoński, A.; Bernat, P.; Długoński, J.; Jasińska, A. Accelerated PAH Transformation in the Presence of Dye Industry Landfill Leachate Combined with Fungal Membrane Lipid Changes. Int. J. Environ. Res. Public Health 2022, 19, 13997. https://doi.org/10.3390/ijerph192113997
Góralczyk-Bińkowska A, Długoński A, Bernat P, Długoński J, Jasińska A. Accelerated PAH Transformation in the Presence of Dye Industry Landfill Leachate Combined with Fungal Membrane Lipid Changes. International Journal of Environmental Research and Public Health. 2022; 19(21):13997. https://doi.org/10.3390/ijerph192113997
Chicago/Turabian StyleGóralczyk-Bińkowska, Aleksandra, Andrzej Długoński, Przemysław Bernat, Jerzy Długoński, and Anna Jasińska. 2022. "Accelerated PAH Transformation in the Presence of Dye Industry Landfill Leachate Combined with Fungal Membrane Lipid Changes" International Journal of Environmental Research and Public Health 19, no. 21: 13997. https://doi.org/10.3390/ijerph192113997
APA StyleGóralczyk-Bińkowska, A., Długoński, A., Bernat, P., Długoński, J., & Jasińska, A. (2022). Accelerated PAH Transformation in the Presence of Dye Industry Landfill Leachate Combined with Fungal Membrane Lipid Changes. International Journal of Environmental Research and Public Health, 19(21), 13997. https://doi.org/10.3390/ijerph192113997





