Climate Changes, Natural Resources Depletion, COVID-19 Pandemic, and Russian-Ukrainian War: What Is the Impact on Habits Change and Mental Health?
Abstract
:1. Introduction
1.1. Climate Change and Natural Resources Depletion
1.2. Worry about COVID-19
1.3. Russian-Ukrainian War
1.4. Aims
2. Material and Methods
2.1. Procedures
2.2. Participants
2.3. Materials
2.4. Data Analysis
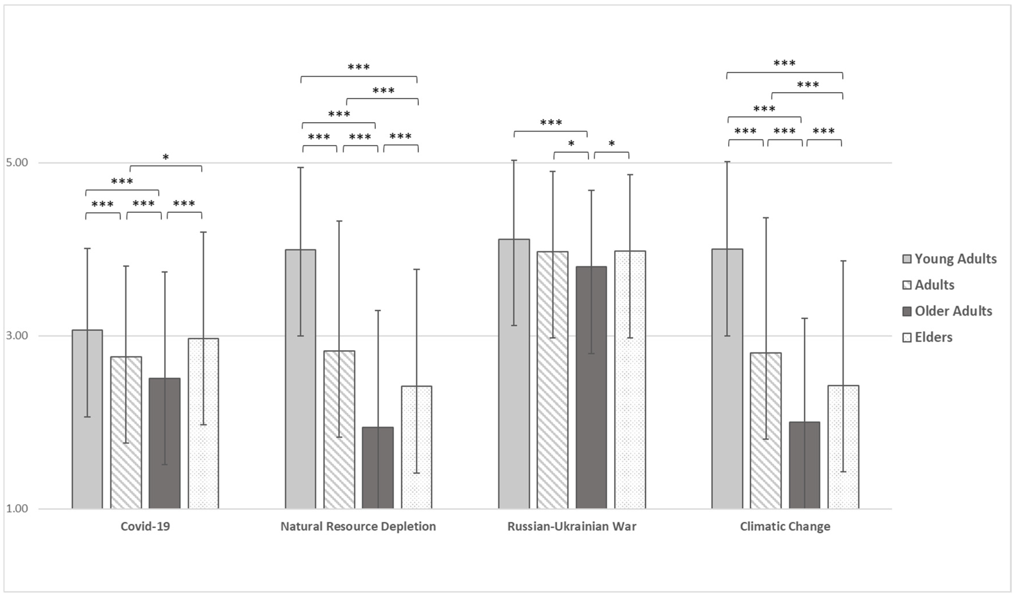
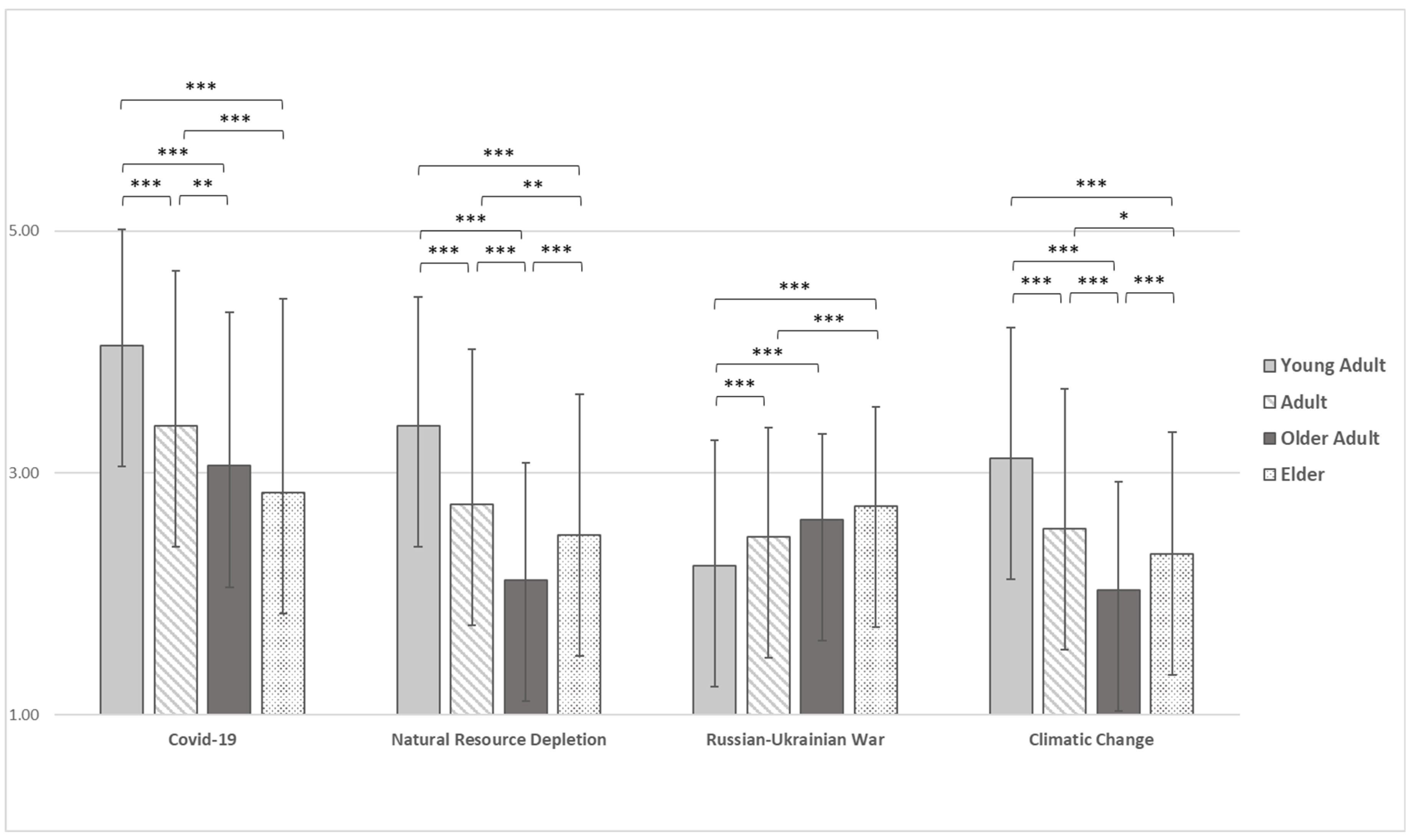
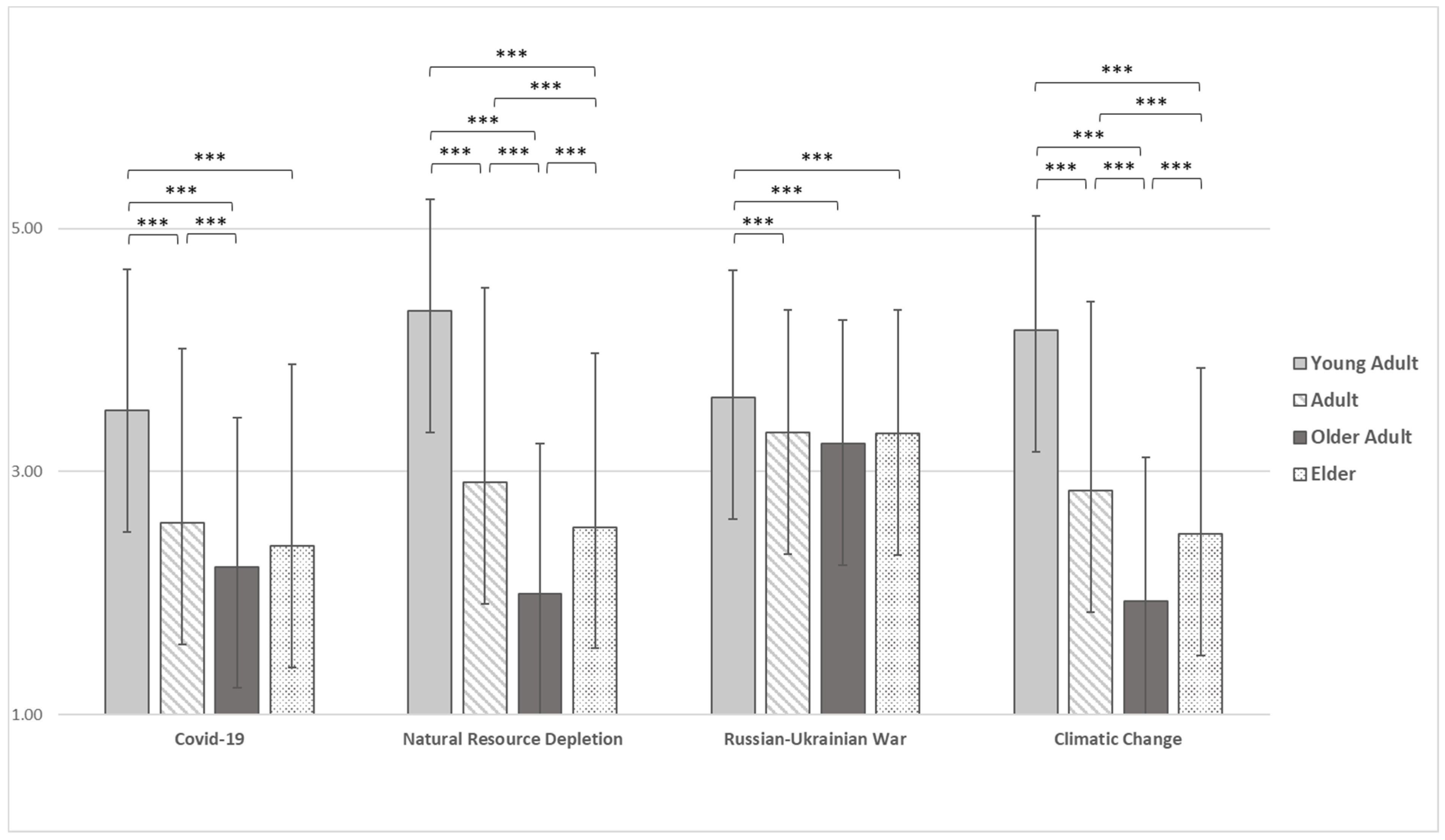
3. Results
3.1. Differences among Age Groups
3.2. Correlation Analysis
| Cli_Pr | Res_Pr | Cov_Pr | War_Pr | Cli_ Hab | Res_ Hab | Cov_ Hab | War_Hab | Cli_F_Hab | Res_F_Hab | Cov_F_Hab | War_F_Hab | ||
|---|---|---|---|---|---|---|---|---|---|---|---|---|---|
| DASS_D | YoungAdults | 0.224 ** | 0.182 ** | 0.096 * | 0.175 ** | 0.078 | 0.115 * | 0.169 ** | 0.019 | 0.182 ** | 0.167 ** | 0.131 ** | 0.131 ** |
| Adults | 0.242 ** | 0.248 ** | 0.257 ** | 0.176 ** | 0.206 ** | 0.186 ** | 0.315 ** | 0.004 | 0.212 ** | 0.218 ** | 0.218 ** | 0.031 | |
| Older Adults | 0.100 * | 0.057 | 0.230** | 0.385 ** | 0.020 | 0.045 | 0.477 ** | 0.163 ** | 0.072 | 0.066 | 0.446 ** | 0.088 | |
| Elders | 0.172 ** | 0.173 ** | 0.232 ** | 0.471 ** | 0.106 * | 0.142 ** | 0.339 ** | 0.069 | 0.128 ** | 0.145 ** | 0.275 ** | 0.147 ** | |
| DASS_A | YoungAdults | 0.171 ** | 0.152 ** | 0.222 ** | 0.180 ** | 0.046 | 0.047 | 0.166 ** | 0.076 | 0.150 ** | 0.094 * | 0.161 ** | 0.152 ** |
| Adults | 0.225 ** | 0.230 ** | 0.262 ** | 0.158 ** | 0.157 ** | 0.148 ** | 0.310 ** | 0.024 | 0.199 ** | 0.181 ** | 0.267 ** | 0.091 | |
| Older Adults | 0.076 | 0.037 | 0.212 ** | 0.421 ** | −0.020 | 0.000 | 0.486 ** | 0.221 ** | 0.078 | 0.046 | 0.438 ** | 0.109 * | |
| Elder | 0.016 | 0.027 | 0.129 ** | 0.407 ** | 0.051 | 0.044 | 0.237 ** | 0.133 ** | 0.024 | 0.039 | 0.195 ** | 0.151 ** | |
| DASS_S | YoungAdults | 0.150 ** | 0.161 ** | 0.144 ** | 0.215 ** | 0.063 | 0.088 | 0.249 ** | 0.031 | 0.213 ** | 0.173 ** | 0.154 ** | 0.149 ** |
| Adults | 0.391 ** | 0.391 ** | 0.271 ** | 0.327 ** | 0.279 ** | 0.305 ** | 0.477 ** | −0.035 | 0.362 ** | 0.373 ** | 0.371 ** | 0.135 ** | |
| Older Adults | 0.176 ** | 0.110 * | 0.239 ** | 0.456 ** | 0.084 | 0.107 * | 0.572 ** | 0.211 ** | 0.159 ** | 0.162 ** | 0.534 ** | 0.151 ** | |
| Elder | 0.112 * | 0.125 ** | 0.192 ** | 0.525 ** | 0.067 | 0.112 * | 0.357 ** | 0.078 | 0.088 | 0.114* | 0.274 ** | 0.144 ** |
4. Discussion
5. Conclusions
Supplementary Materials
Author Contributions
Funding
Institutional Review Board Statement
Informed Consent Statement
Data Availability Statement
Acknowledgments
Conflicts of Interest
References
- Pasimeni, M.R.; Valente, D.; Zurlini, G.; Petrosillo, I. The interplay between urban mitigation and adaptation strategies to face climate change in two European countries. Environ. Sci. Policy 2019, 95, 20–27. [Google Scholar] [CrossRef]
- Ghinoi, S.; Steiner, B. The Political Debate on Climate Change in Italy: A Discourse Network Analysis. Politics Gov. 2020, 8, 215–228. [Google Scholar] [CrossRef]
- Forestieri, A.; Arnone, E.; Blenkinsop, S.; Candela, A.; Fowler, H.; Noto, L.V. The impact of climate change on extreme precipitation in Sicily, Italy. Hydrol. Process. 2018, 32, 332–348. [Google Scholar] [CrossRef]
- Chelli, S.; Wellstein, C.; Campetella, G.; Canullo, R.; Tonin, R.; Zerbe, S.; Gerdol, R. Climate change response of vegetation across climatic zones in Italy. Clim. Res. 2017, 71, 249–262. [Google Scholar] [CrossRef]
- Galeotti, M.; Roson, R. Economic Impacts of Climate Change in Italy and the Mediterranean: Updating the Evidence. J. Sustain. Dev. 2012, 5, 27. [Google Scholar] [CrossRef]
- Alvioli, M.; Melillo, M.; Guzzetti, F.; Rossi, M.; Palazzi, E.; von Hardenberg, J.; Brunetti, M.T.; Peruccacci, S. Implications of climate change on landslide hazard in Central Italy. Sci. Total Environ. 2018, 630, 1528–1543. [Google Scholar] [CrossRef]
- Warsini, S.; West, C.; Ed, G.D.; Meth, G.C.R.; Mills, J.; Usher, K. The Psychosocial Impact of Natural Disasters among Adult Survivors: An Integrative Review. Issues Ment. Health Nurs. 2014, 35, 420–436. [Google Scholar] [CrossRef]
- Pihkala, P. Eco-anxiety, tragedy, and hope: Psychological and spiritual dimensions of climate change. Zygon 2018, 53, 545–569. [Google Scholar] [CrossRef]
- Clayton, S. Climate anxiety: Psychological responses to climate change. J. Anxiety Disord. 2020, 74, 102263. [Google Scholar] [CrossRef]
- Ojala, M.; Cunsolo, A.; Ogunbode, C.A.; Middleton, J. Anxiety, Worry, and Grief in a Time of Environmental and Climate Crisis: A Narrative Review. Annu. Rev. Environ. Resour. 2021, 46, 35–58. [Google Scholar] [CrossRef]
- Clayton, S.; Karazsia, B.T. Development and validation of a measure of climate change anxiety. J. Environ. Psychol. 2020, 69, 101434. [Google Scholar] [CrossRef]
- Usher, K.; Durkin, J.; Bhullar, N. Eco-anxiety: How thinking about climate change-related environmental decline is affecting our mental health. Int. J. Ment. Health Nurs. 2019, 28, 1233–1234. [Google Scholar] [CrossRef] [PubMed]
- van der Linden, S. The social-psychological determinants of climate change risk perceptions: Towards a comprehensive model. J. Environ. Psychol. 2015, 41, 112–124. [Google Scholar] [CrossRef]
- Bradley, G.L.; Babutsidze, Z.; Chai, A.; Reser, J.P. The role of climate change risk perception, response efficacy, and psychological adaptation in pro-environmental behavior: A two nation study. J. Environ. Psychol. 2020, 68, 101410. [Google Scholar] [CrossRef]
- Antronico, L.; Coscarelli, R.; De Pascale, F.; Di Matteo, D. Climate Change and Social Perception: A Case Study in Southern Italy. Sustainability 2020, 12, 6985. [Google Scholar] [CrossRef]
- McCright, A.M. The effects of gender on climate change knowledge and concern in the American public. Popul. Environ. 2010, 32, 66–87. [Google Scholar] [CrossRef]
- Bush, S.S.; Clayton, A. Facing Change: Gender and Climate Change Attitudes Worldwide. Am. Political Sci. Rev. 2022, 1–18. [Google Scholar] [CrossRef]
- Innocenti, M.; Santarelli, G.; Faggi, V.; Castellini, G.; Manelli, I.; Magrini, G.; Galassi, F.; Ricca, V. Psychometric properties of the Italian version of the Climate Change Anxiety Scale. J. Clim. Chang. Health 2021, 3, 100080. [Google Scholar] [CrossRef]
- Milfont, T.L.; Zubielevitch, E.; Milojev, P.; Sibley, C.G. Ten-year panel data confirm generation gap but climate beliefs increase at similar rates across ages. Nat. Commun. 2021, 12, 403. [Google Scholar] [CrossRef]
- Corner, A.; Roberts, O.; Chiari, S.; Völler, S.; Mayrhuber, E.S.; Mandl, S.; Monson, K. How do young people engage with climate change? The role of knowledge, values, message framing, and trusted communicators. WIREs Clim. Chang. 2015, 6, 523–534. [Google Scholar] [CrossRef]
- World Health Organization. Protecting Health in Europe from Climate Change: 2017 Update; Clim-ADAPT 2017; World Health Organization: Geneva, Switzerland, 2017. [Google Scholar]
- Wiernik, B.M.; Ones, D.S.; Dilchert, S. Age and environmental sustainability: A meta-analysis. J. Manag. Psychol. 2013, 28, 826–856. [Google Scholar] [CrossRef]
- Moore, J.; Rees, W.E. Getting to One-Planet Living. In State World 2013; Worldwatch Institute, Ed.; Island Press/Center for Resource Economics: Washington, DC, USA, 2013; pp. 39–50. [Google Scholar] [CrossRef]
- De Giglio, O.; Napoli, C.; Lovero, G.; Diella, G.; Rutigliano, S.; Caggiano, G.; Montagna, M.T. Antibiotic susceptibility of Legionella pneumophila strains isolated from hospital water systems in Southern Italy. Environ. Res. 2015, 142, 586–590. [Google Scholar] [CrossRef] [PubMed]
- L’Angiocola, P.D.; Monti, M. COVID-19: The critical balance between appropriate governmental restrictions and expected economic, psychological and social consequences in Italy. Are we going in the right direction? Acta Bio Med. Atenei Parm. 2020, 91, 35–38. [Google Scholar] [CrossRef]
- Rodrigues, M.; Silva, R.; Franco, M. COVID-19: Financial Stress and Well-Being in Families. J. Fam. Issues 2021. [Google Scholar] [CrossRef]
- Pérez-Mengual, N.; Aragonés-Barbera, I.; Moret-Tatay, C.; Moliner-Albero, A.R. The Relationship of Fear of Death Between Neuroticism and Anxiety During the Covid-19 Pandemic. Front. Psychiatry 2021, 12, 648498. [Google Scholar] [CrossRef]
- Kim, H.H.-S.; Jung, J.H. Social Isolation and Psychological Distress During the COVID-19 Pandemic: A Cross-National Analysis. Gerontologist 2020, 61, 103–113. [Google Scholar] [CrossRef]
- Medda, E.; Toccaceli, V.; Gigantesco, A.; Picardi, A.; Fagnani, C.; Stazi, M.A. The COVID-19 pandemic in Italy: Depressive symptoms immediately before and after the first lockdown. J. Affect. Disord. 2021, 298, 202–208. [Google Scholar] [CrossRef] [PubMed]
- Rania, N.; Coppola, I. The Fear of Contagion and the Attitude Toward the Restrictive Measures Imposed to Face COVID-19 in Italy: The Psychological Consequences Caused by the Pandemic One Year After It Began. Front. Psychol. 2022, 13, 805706. [Google Scholar] [CrossRef]
- Burrai, J.; Quaglieri, A.; Aitella, U.; Cricenti, C.; D’Alessio, I.; Pizzo, A.; Lausi, G.; Giannini, A.M.; Mari, E. The Fear of COVID-19: Gender Differences among Italian Health Volunteers. Int. J. Environ. Res. Public Health 2022, 19, 6369. [Google Scholar] [CrossRef]
- Quaglieri, A.; Lausi, G.; Fraschetti, A.; Burrai, J.; Barchielli, B.; Pizzo, A.; Cordellieri, P.; De Gennaro, L.; Gorgoni, M.; Ferlazzo, F.; et al. “Stay at Home” in Italy during the COVID-19 Outbreak: A Longitudinal Study on Individual Well-Being among Different Age Groups. Brain Sci. 2021, 11, 993. [Google Scholar] [CrossRef]
- Gallè, F.; Sabella, E.A.; Roma, P.; Ferracuti, S.; Da Molin, G.; Diella, G.; Montagna, M.T.; Orsi, G.B.; Liguori, G.; Napoli, C. Knowledge and Lifestyle Behaviors Related to COVID-19 Pandemic in People over 65 Years Old from Southern Italy. Int. J. Environ. Res. Public Health 2021, 18, 10872. [Google Scholar] [CrossRef] [PubMed]
- Mazza, C.; Ricci, E.; Biondi, S.; Colasanti, M.; Ferracuti, S.; Napoli, C.; Roma, P. A Nationwide Survey of Psychological Distress among Italian People during the COVID-19 Pandemic: Immediate Psychological Responses and Associated Factors. Int. J. Environ. Res. Public Health 2020, 17, 3165. [Google Scholar] [CrossRef] [PubMed]
- Lodder, G.; Van Halem, S.; Bülow, A.; Van Scheppingen, M.; Weller, J.; Reitz, A. Daily Fluctuations in Occupation with and Worry about COVID-19. Pers. Individ. Differ. 2021, 182, 111078. [Google Scholar] [CrossRef] [PubMed]
- Thiyagarajan, A.; James, T.G.; Marzo, R.R. Psychometric properties of the 21-item Depression, Anxiety, and Stress Scale (DASS-21) among Malaysians during COVID-19: A methodological study. Humanit. Soc. Sci. Commun. 2022, 9, 220. [Google Scholar] [CrossRef]
- Traunmüller, C.; Stefitz, R.; Gaisbachgrabner, K.; Schwerdtfeger, A. Psychological correlates of COVID-19 pandemic in the Austrian population. BMC Public Health 2020, 20, 1395. [Google Scholar] [CrossRef] [PubMed]
- Di Stefano, V.; Rispoli, M.G.; Pellegrino, N.; Graziosi, A.; Rotondo, E.; Napoli, C.; Pietrobon, D.; Brighina, F.; Parisi, P. Diagnostic and therapeutic aspects of hemiplegic migraine. J. Neurol. Neurosurg. Psychiatry 2020, 91, 764–771. [Google Scholar] [CrossRef]
- Di Blasi, M.; Gullo, S.; Mancinelli, E.; Freda, M.F.; Esposito, G.; Gelo, O.C.G.; Lagetto, G.; Giordano, C.; Mazzeschi, C.; Pazzagli, C.; et al. Psychological distress associated with the COVID-19 lockdown: A two-wave network analysis. J. Affect. Disord. 2021, 284, 18–26. [Google Scholar] [CrossRef]
- Fenollar-Cortés, J.; Jiménez, Ó.; Ruiz-García, A.; Resurrección, D.M. Gender Differences in Psychological Impact of the Confinement During the COVID-19 Outbreak in Spain: A Longitudinal Study. Front. Psychol. 2021, 12, 682860. [Google Scholar] [CrossRef]
- Giudice, V.; Iannaccone, T.; Faiella, F.; Ferrara, F.; Aversano, G.; Coppola, S.; De Chiara, E.; Romano, M.G.; Conti, V.; Filippelli, A. Gender Differences in the Impact of COVID-19 Pandemic on Mental Health of Italian Academic Workers. J. Pers. Med. 2022, 12, 613. [Google Scholar] [CrossRef]
- Alsharawy, A.; Spoon, R.; Smith, A.; Ball, S. Gender Differences in Fear and Risk Perception During the COVID-19 Pandemic. Front. Psychol. 2021, 12, 689467. [Google Scholar] [CrossRef]
- Cincidda, C.; Pizzoli, S.F.M.; Oliveri, S.; Pravettoni, G. Regulation strategies during Covid-19 quarantine: The mediating effect of worry on the links between coping strategies and anxiety. Eur. Rev. Appl. Psychol. 2021, 100671. [Google Scholar] [CrossRef]
- Sebri, V.; Cincidda, C.; Savioni, L.; Ongaro, G.; Pravettoni, G. Worry during the initial height of the COVID-19 crisis in an Italian sample. J. Gen. Psychol. 2021, 148, 327–359. [Google Scholar] [CrossRef] [PubMed]
- Zarocostas, J. How to fight an infodemic. Lancet 2020, 395, 676. [Google Scholar] [CrossRef] [PubMed]
- Geldsetzer, P. Using rapid online surveys to assess perceptions during infectious disease outbreaks: A cross-sectional survey on COVID-19 among the general public in the United States and United Kingdom. medRxiv 2020. [Google Scholar] [CrossRef]
- Lin, C.-Y.; Broström, A.; Griffiths, M.D.; Pakpour, A.H. Investigating mediated effects of fear of COVID-19 and COVID-19 misunderstanding in the association between problematic social media use, psychological distress, and insomnia. Internet Interv. 2020, 21, 100345. [Google Scholar] [CrossRef] [PubMed]
- Philpot, L.M.; Ramar, P.; Roellinger, D.L.; Barry, B.A.; Sharma, P.; Ebbert, J.O. Changes in social relationships during an initial “stay-at-home” phase of the COVID-19 pandemic: A longitudinal survey study in the U.S. Soc. Sci. Med. 2021, 274, 113779. [Google Scholar] [CrossRef] [PubMed]
- Wickens, C.M.; McDonald, A.J.; Elton-Marshall, T.; Wells, S.; Nigatu, Y.T.; Jankowicz, D.; Hamilton, H.A. Loneliness in the COVID-19 pandemic: Associations with age, gender and their interaction. J. Psychiatr. Res. 2021, 136, 103–108. [Google Scholar] [CrossRef]
- McDonald, A.J.; Wickens, C.M.; Bondy, S.J.; Elton-Marshall, T.; Wells, S.; Nigatu, Y.T.; Jankowicz, D.; Hamilton, H.A. Age differences in the association between loneliness and anxiety symptoms during the COVID-19 pandemic. Psychiatry Res. 2022, 310, 114446. [Google Scholar] [CrossRef]
- Echaniz, E.; Rodríguez, A.; Cordera, R.; Benavente, J.; Alonso, B.; Sañudo, R. Behavioural changes in transport and future repercussions of the COVID-19 outbreak in Spain. Transp. Policy 2021, 111, 38–52. [Google Scholar] [CrossRef]
- Gallè, F.; Sabella, E.A.; Di Muzio, M.; Barchielli, B.; Da Molin, G.; Ferracuti, S.; Liguori, G.; Orsi, G.B.; Napoli, C. Capturing the Features of Physical Activity in Old Adults during the COVID-19 Pandemic: Results of an Italian Survey. Int. J. Environ. Res. Public Health 2022, 19, 6868. [Google Scholar] [CrossRef]
- Gallè, F.; Veshi, A.; Sabella, E.; Çitozi, M.; Da Molin, G.; Ferracuti, S.; Liguori, G.; Orsi, G.; Napoli, C.; Napoli, C. Awareness and Behaviors Regarding COVID-19 among Albanian Undergraduates. Behav. Sci. 2021, 11, 45. [Google Scholar] [CrossRef] [PubMed]
- Gallè, F.; Sabella, E.A.; Ferracuti, S.; De Giglio, O.; Caggiano, G.; Protano, C.; Valeriani, F.; Parisi, E.A.; Valerio, G.; Liguori, G.; et al. Sedentary Behaviors and Physical Activity of Italian Undergraduate Students during Lockdown at the Time of CoViD−19 Pandemic. Int. J. Environ. Res. Public Health 2020, 17, 6171. [Google Scholar] [CrossRef]
- Gallè, F.; Sabella, E.A.; Da Molin, G.; De Giglio, O.; Caggiano, G.; Di Onofrio, V.; Ferracuti, S.; Montagna, M.T.; Liguori, G.; Orsi, G.B.; et al. Understanding Knowledge and Behaviors Related to CoViD–19 Epidemic in Italian Undergraduate Students: The EPICO Study. Int. J. Environ. Res. Public Health 2020, 17, 3481. [Google Scholar] [CrossRef] [PubMed]
- Gallé, F.; Quaranta, A.; Napoli, C.; Diella, G.; De Giglio, O.; Caggiano, G.; Di Muzio, M.; Stefanizzi, P.; Orsi, G.B.; Liguori, G.; et al. How do Vaccinators Experience the Pandemic? Lifestyle Behaviors in a Sample of Italian Public Health Workers during the COVID-19 Era. Vaccines 2022, 10, 247. [Google Scholar] [CrossRef]
- López-Bueno, R.; Calatayud, J.; Casaña, J.; Casajús, J.A.; Smith, L.; Tully, M.A.; Andersen, L.L.; López-Sánchez, G.F. COVID-19 Confinement and Health Risk Behaviors in Spain. Front. Psychol. 2020, 11, 1426. [Google Scholar] [CrossRef]
- Alon-Tirosh, M.; Hadar-Shoval, D.; Asraf, K.; Tannous-Haddad, L.; Tzischinsky, O. The Association between Lifestyle Changes and Psychological Distress during COVID-19 Lockdown: The Moderating Role of COVID-Related Stressors. Int. J. Environ. Res. Public Health 2021, 18, 9695. [Google Scholar] [CrossRef]
- Cypryańska, M.; Nezlek, J.B. Anxiety as a mediator of relationships between perceptions of the threat of COVID-19 and coping behaviors during the onset of the pandemic in Poland. PLoS ONE 2020, 15, e0241464. [Google Scholar] [CrossRef]
- Esteves, C.S.; de Oliveira, C.R.; Argimon, I.I.D.L. Social Distancing: Prevalence of Depressive, Anxiety, and Stress Symptoms Among Brazilian Students During the COVID-19 Pandemic. Front. Public Health 2021, 8, 589966. [Google Scholar] [CrossRef]
- Wilson, J.M.; Lee, J.; Shook, N.J. COVID-19 worries and mental health: The moderating effect of age. Aging Ment. Health 2020, 25, 1289–1296. [Google Scholar] [CrossRef]
- Yu, C.C.; Tou, N.X.; Low, J.A. A comparative study on mental health and adaptability between older and younger adults during the COVID-19 circuit breaker in Singapore. BMC Public Health 2022, 22, 507. [Google Scholar] [CrossRef]
- Fiorenzato, E.; Zabberoni, S.; Costa, A.; Cona, G. Cognitive and mental health changes and their vulnerability factors related to COVID-19 lockdown in Italy. PLoS ONE 2021, 16, e0246204. [Google Scholar] [CrossRef]
- Van Patten, R.; Nguyen, T.T.; Mahmood, Z.; Lee, E.E.; Daly, R.E.; Palmer, B.W.; Wu, T.-C.; Tu, X.; Jeste, D.V.; Twamley, E.W. Physical and Mental Health Characteristics of 2,962 Adults With Subjective Cognitive Complaints. Int. J. Aging Hum. Dev. 2021, 94, 459–477. [Google Scholar] [CrossRef]
- The Armed Conflict Location & Event Data Project. 2022. Available online: https://acleddata.com (accessed on 17 September 2022).
- Bogic, M.; Njoku, A.; Priebe, S. Long-term mental health of war-refugees: A systematic literature review. BMC Int. Health Hum. Rights 2015, 15, 29. [Google Scholar] [CrossRef]
- Borho, A.; Viazminsky, A.; Morawa, E.; Schmitt, G.M.; Georgiadou, E.; Erim, Y. The prevalence and risk factors for mental distress among Syrian refugees in Germany: A register-based follow-up study. BMC Psychiatry 2020, 20, 362. [Google Scholar] [CrossRef]
- Sheather, J. As Russian troops cross into Ukraine, we need to remind ourselves of the impact of war on health. BMJ 2022, 376. [Google Scholar] [CrossRef]
- Ainamani, H.E.; Elbert, T.; Olema, D.K.; Hecker, T. Gender differences in response to war-related trauma and posttraumatic stress disorder—A study among the Congolese refugees in Uganda. BMC Psychiatry 2020, 20, 17. [Google Scholar] [CrossRef]
- Kurapov, A.; Pavlenko, V.; Drozdov, A.; Bezliudna, V.; Reznik, A.; Isralowitz, R. Toward an Understanding of the Russian-Ukrainian War Impact on University Students and Personnel. J. Loss Trauma 2022, 1–8. [Google Scholar] [CrossRef]
- Jawaid, A.; Gomolka, M.; Timmer, A. Neuroscience of trauma and the Russian invasion of Ukraine. Nat. Hum. Behav. 2022, 6, 748–749. [Google Scholar] [CrossRef]
- Cricenti, C.; Mari, E.; Barchielli, B.; Quaglieri, A.; Burrai, J.; Pizzo, A.; D’Alessio, I.; Giannini, A.M.; Ferracuti, S.; Lausi, G. Can Emotion Regulation Affect Aggressive Responses? A Study on the Ukrainian–Russian Conflict in a Non-Directly Exposed Sample. Int. J. Environ. Res. Public Health 2022, 19, 6189. [Google Scholar] [CrossRef]
- Tebeka, S.; Pignon, B.; Amad, A.; Le Strat, Y.; Brichant-Petitjean, C.; Thomas, P.; Vaiva, G.; Roelandt, J.-L.; Benradia, I.; Etain, B.; et al. A study in the general population about sadness to disentangle the continuum from well-being to depressive disorders. J. Affect. Disord. 2018, 226, 66–71. [Google Scholar] [CrossRef]
- Kopper, B.A.; Epperson, D.L. The experience and expression of anger: Relationships with gender, gender role socialization, depression, and mental health functioning. J. Couns. Psychol. 1996, 43, 158–165. [Google Scholar] [CrossRef]
- Forbes, D.; Alkemade, N.; Waters, E.; Gibbs, L.; Gallagher, H.C.; Pattison, P.; Lusher, D.; MacDougall, C.; Harms, L.; Block, K.; et al. The role of anger and ongoing stressors in mental health following a natural disaster. Aust. N. Z. J. Psychiatry 2015, 49, 706–713. [Google Scholar] [CrossRef] [PubMed]
- Bottesi, G.; Ghisi, M.; Altoè, G.; Conforti, E.; Melli, G.; Sica, C. The Italian version of the Depression Anxiety Stress Scales-21: Factor structure and psychometric properties on community and clinical samples. Compr. Psychiatry 2015, 60, 170–181. [Google Scholar] [CrossRef]
- Lovibond, P.F.; Lovibond, S.H. The structure of negative emotional states: Comparison of the Depression Anxiety Stress Scales (DASS) with the Beck Depression and Anxiety Inventories. Behav. Res. Ther. 1995, 33, 335–343. [Google Scholar] [CrossRef]
- Hickman, C.; Marks, E.; Pihkala, P.; Clayton, S.; Lewandowski, R.E.; Mayall, E.E.; Wray, B.; Mellor, C.; van Susteren, L. Climate anxiety in children and young people and their beliefs about government responses to climate change: A global survey. Lancet Planet. Health 2021, 5, e863–e873. [Google Scholar] [CrossRef]



| Young Adults (n = 470) | Adults (n = 465) | Older Adults (n = 460) | Elders (n = 436) | ||
|---|---|---|---|---|---|
| Age | Mean | 24.18 | 43.29 | 55.61 | 69.47 |
| Std. Deviation | 4.83 | 3.89 | 2.63 | 7.15 | |
| Range | 18–35 | 36–50 | 51–60 | 61–93 | |
| Gender | Female | 348 (74.0%) | 282 (60.6%) | 226 (49.1%) | 260 (59.6%) |
| Male | 122 (26.0%) | 183 (39.4%) | 234 (50.9%) | 176 (40.4%) | |
| Total | 470 (100%) | 465 (100%) | 460 (100%) | 436 (100%) | |
| Marital Status | Married | 31 (6.6%) | 272 (58.5%) | 191 (41.5%) | 245 (56.2%) |
| Cohabiting partner | 39 (8.3%) | 58 (12.5%) | 30 (6.5%) | 10 (2.3%) | |
| Separate/Divorced | 1 (0.2%) | 77 (16.6%) | 176 (38.3%) | 95 (21.8%) | |
| Single | 195 (41.5%) | 34 (7.3%) | 30 (6.5%) | 14 (3.2%) | |
| Non-cohabiting partner | 204 (43.4%) | 18 (3.9%) | 20 (4.3%) | 9 (2.1%) | |
| Widow | 6 (1.3%) | 13 (2.8%) | 63 (14.4%) | ||
| Children | Yes | 42 (8.9%) | 328 (70.5%) | 270 (58.7%) | 330 (75.7%) |
| No | 428 (91.1%) | 137 (29.5%) | 190 (41.3%) | 106 (24.3%) | |
| Educational Level | Lower than High School | 2 (0.4%) | 11 (2.4%) | 49 (10.7%) | 58 (13.3%) |
| High School | 341 (72.6%) | 162 (34.8%) | 150 (32.6%) | 183 (41.7%) | |
| Bachelor’s or master’s degree | 94 (20.0%) | 159 (34.2%) | 162 (35.2%) | 151 (34.6%) | |
| Postgraduate degree | 33 (7.0%) | 133 (28.6%) | 99 (21.5%) | 45 (10.3%) | |
| Work | Worker | 114 (24.3%) | 393 (84.5%) | 333 (72.4%) | 97 (22.2%) |
| Retired | 15 (3.3%) | 215 (49.3%) | |||
| Unemployed | 11 (2.3%) | 63 (13.5%) | 111 (24.1%) | 123 (28.2%) | |
| Student | 345 (73.4%) | 9 (1.9%) | 1 (0.2%) | 1 (0.2%) |
| Young Adults | Adults | Older Adults | Elders | |||||||
|---|---|---|---|---|---|---|---|---|---|---|
| Gender | Total | Gender | Total | Gender | Total | Gender | Total | |||
| Main fears for COVID | Possible vaccine consequences | Male | 15x (3.6%) | 57a (12.1%) | 132x (31.7%) | 235b (50.5%) | 176x (42.3%) | 331c (72.0%) | 93x (22.4%) | 210b (48.2%) |
| Female | 42y (10.1%) | 103y (24.7%) | 155x (37.2%) | 117x (28.1%) | ||||||
| Likelihood of being isolated | Male | 36x (70.6%) | 145a (30.9%) | 4x (7.8%) | 47b (10.1%) | 1x (2.0%) | 10c (2.2%) | 10x (19.6%) | 21c (4.8%) | |
| Female | 109x (63.4%) | 43y (25.0%) | 9x (5.2%) | 11y (6.4%) | ||||||
| Disease and its consequences | Male | 71x (28.6%) | 268a (57.0%) | 47x (19.0%) | 183b (39.4%) | 57x (23.0%) | 119c (25.9%) | 73x (29.4%) | 205b (47.0%) | |
| Female | 197y (37.4%) | 136y (25.8%) | 62y (11.8%) | 132x (25.0%) | ||||||
| Main fears for Natural Resource Depletion | Rising prices of food products | Male | 37x (11.9%) | 139a (29.6) | 108x (34.8%) | 213b (45.8%) | 101x (32.6%) | 188b, c (40.9%) | 64x (20.6%) | 159a, c (36.5%) |
| Female | 102y (26.2%) | 105y (27.0%) | 87y (22.4%) | 95x (24.4%) | ||||||
| Likelihood of starvation | Male | 26x (43.3%) | 96a (20.4%) | 7x (11.7%) | 31b (6.7%) | 20x (33.3%) | 38b (8.3%) | 7x (11.7%) | 26b (6.0%) | |
| Female | 70x (53.4%) | 24x (18.3%) | 18y (13.7%) | 19x (14.5%) | ||||||
| Rising cost of energy | Male | 23x (8.6%) | 90a (19.1%) | 62x (23.0%) | 152b (32.7%) | 97x (36.1%) | 185b, c (40.2%) | 87x (32.3%) | 209c (47.9%) | |
| Female | 67y (18.3%) | 90x (24.5%) | 88y (24.0%) | 122x (33.2%) | ||||||
| Likelihood of dying | Male | 36x (47.4%) | 145a (39.9%) | 6x (7.9%) | 69b (14.8%) | 16x (21.1%) | 49b (10.7%) | 18x (23.7%) | 42b (9.6%) | |
| Female | 109x (47.6%) | 63y (27.5%) | 33x (14.4%) | 24y (10.5%) | ||||||
| Main Fears for Russia-Ukrainian war | Rising prices of food products | Male | 20x (26.3%) | 54a (39.9%) | 12x (15.8%) | 52a (39.9%) | 19x (25.0%) | 41a (39.9%) | 25x (32.9%) | 49a (39.9%) |
| Female | 34x (28.3%) | 40y (33.3%) | 22x (18.3%) | 24y (20.0%) | ||||||
| Likelihood of starvation | Male | 5x (6.1%) | 17a (3.6%) | 27x (32.9%) | 50b (10.8%) | 27x (32.9%) | 42b (9.1%) | 23x (28.0%) | 44b (10.1%) | |
| Female | 12y (16.9%) | 23x (32.4%) | 15x (21.1%) | 21x (29.6%) | ||||||
| Rising cost of energy | Male | 37x (16.2%) | 92a (19.6%) | 58x (25.3%) | 113a, b (24.3%) | 83x (36.2%) | 150c (32.6%) | 51x (22.3%) | 120b. c (27.5%) | |
| Female | 55x (22.4%) | 55x (22.4%) | 67y (27.2%) | 69x (28.0%) | ||||||
| Likelihood of being isolated | Male | 5x (5.7%) | 26a (5.5%) | 17x (19.5%) | 47a, b (10.1%) | 37x (42.5%) | 62b (13.5%) | 28x (32.2%) | 56b (12.8%) | |
| Female | 21y (20.2%) | 30x (28.8%) | 25y (24.0%) | 28x (26.9%) | ||||||
| Likelihood of dying | Male | 49x (22.2%) | 237a (50.4%) | 65x (29.4%) | 167b (35.9%) | 63x (28.5%) | 143b (31.1%) | 44x (19.9%) | 131b (30.0%) | |
| Female | 188y (41.1%) | 102y (22.3%) | 80y (17.5%) | 87x (19.0%) | ||||||
| Likelihood that the COVID-19 pandemic will not end or will worsen due to war | Male | 6x (30.0%) | 44a (9.4%) | 4x (20.0%) | 36a, b (7.7%) | 5x (25.0%) | 22b (4.8%) | 5x (25.0%) | 36a. b (8.3%) | |
| Female | 38x (32.2%) | 32x (27.1%) | 17x (14.4%) | 31x (26.3%) | ||||||
| Main Fears for Climate Change | Likelihood of being isolated | Male | 3x (11.5%) | 9a (1.9%) | 8x (30.8%) | 26b (5.6%) | 3x (11.5%) | 19a, b (4.1%) | 12x (46.2%) | 28b (6.4%) |
| Female | 6x (10.7%) | 18x (32.1%) | 16x (28.6%) | 16x (28.6%) | ||||||
| Rising prices of food products | Male | 23x (5.0%) | 67a (14.3%) | 139x (30.2%) | 244b (52.5%) | 188x (40.8%) | 325c (70.7%) | 111x (24.1%) | 274c (62.8%) | |
| Female | 44y (9.8%) | 105y (23.4%) | 137y (30.5%) | 163y (36.3%) | ||||||
| Likelihood of starvation | Male | 9x (14.8%) | 29a (6.2%) | 12x (19.7%) | 38a, b (8.2%) | 18x (29.5%) | 35a, b (7.6%) | 22x (36.1%) | 50b (11.5%) | |
| Female | 20x (22.0%) | 26x (28.6%) | 17x (18.7%) | 28x (30.8%) | ||||||
| Likelihood of being forced to leave the place where I live | Male | 30x (40.5%) | 166a (35.3%) | 17x (23.0%) | 76b (16.3%) | 15x (20.3%) | 41c (8.9%) | 12x (16.2%) | 36c (8.3%) | |
| Female | 136y (55.5%) | 59x (24.1%) | 26y (10.6%) | 24x (9.8%) | ||||||
| Likelihood of dying | Male | 57x (61.3%) | 199a (42.3%) | 7x (7.5%) | 81b (17.4%) | 10x (10.8%) | 40c (8.7%) | 19x (20.4%) | 48c (11.0%) | |
| Female | 142x (51,6%) | 74y (26,9%) | 30x (10,9%) | 29y (10,5%) | ||||||
Publisher’s Note: MDPI stays neutral with regard to jurisdictional claims in published maps and institutional affiliations. |
© 2022 by the authors. Licensee MDPI, Basel, Switzerland. This article is an open access article distributed under the terms and conditions of the Creative Commons Attribution (CC BY) license (https://creativecommons.org/licenses/by/4.0/).
Share and Cite
Barchielli, B.; Cricenti, C.; Gallè, F.; Sabella, E.A.; Liguori, F.; Da Molin, G.; Liguori, G.; Orsi, G.B.; Giannini, A.M.; Ferracuti, S.; et al. Climate Changes, Natural Resources Depletion, COVID-19 Pandemic, and Russian-Ukrainian War: What Is the Impact on Habits Change and Mental Health? Int. J. Environ. Res. Public Health 2022, 19, 11929. https://doi.org/10.3390/ijerph191911929
Barchielli B, Cricenti C, Gallè F, Sabella EA, Liguori F, Da Molin G, Liguori G, Orsi GB, Giannini AM, Ferracuti S, et al. Climate Changes, Natural Resources Depletion, COVID-19 Pandemic, and Russian-Ukrainian War: What Is the Impact on Habits Change and Mental Health? International Journal of Environmental Research and Public Health. 2022; 19(19):11929. https://doi.org/10.3390/ijerph191911929
Chicago/Turabian StyleBarchielli, Benedetta, Clarissa Cricenti, Francesca Gallè, Elita Anna Sabella, Fabrizio Liguori, Giovanna Da Molin, Giorgio Liguori, Giovanni Battista Orsi, Anna Maria Giannini, Stefano Ferracuti, and et al. 2022. "Climate Changes, Natural Resources Depletion, COVID-19 Pandemic, and Russian-Ukrainian War: What Is the Impact on Habits Change and Mental Health?" International Journal of Environmental Research and Public Health 19, no. 19: 11929. https://doi.org/10.3390/ijerph191911929
APA StyleBarchielli, B., Cricenti, C., Gallè, F., Sabella, E. A., Liguori, F., Da Molin, G., Liguori, G., Orsi, G. B., Giannini, A. M., Ferracuti, S., & Napoli, C. (2022). Climate Changes, Natural Resources Depletion, COVID-19 Pandemic, and Russian-Ukrainian War: What Is the Impact on Habits Change and Mental Health? International Journal of Environmental Research and Public Health, 19(19), 11929. https://doi.org/10.3390/ijerph191911929

