Effects of Chronic Diseases on All-Cause Mortality in People with Mental Illness: A Retrospective Cohort Study Using the Korean National Health Insurance Service-Health Screening
Abstract
:1. Introduction
2. Methods
2.1. Study Population
2.2. Measurements
2.3. Statistical Analysis
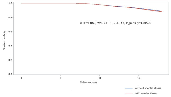
3. Results
4. Discussion
5. Strengths and Limitations
6. Conclusions
Author Contributions
Funding
Institutional Review Board Statement
Informed Consent Statement
Data Availability Statement
Conflicts of Interest
References
- Berren, M.R.; Hill, K.R.; Merikle, E.; Gonzalez, N.; Santiago, J. Serious mental illness and mortality rates. Hosp. Community Psychiatry 1994, 45, 604–605. [Google Scholar] [CrossRef] [PubMed]
- Felker, B.; Yazel, J.J.; Short, D. Mortality and medical comorbidity among psychiatric patients: A review. Psychiatr. Serv. 1996, 47, 1356–1363. [Google Scholar] [PubMed]
- Plana-Ripoll, O.; Pedersen, C.B.; Agerbo, E.; Holtz, Y.; Erlangsen, A.; Canudas-Romo, V.; Andersen, P.K.; Charlson, F.J.; Christensen, M.K.; Erskine, H.E.; et al. A comprehensive analysis of mortality-related health metrics associated with mental disorders: A nationwide, register-based cohort study. Lancet 2019, 394, 1827–1835. [Google Scholar] [CrossRef]
- Baxter, A.J.; Harris, M.G.; Khatib, Y.; Brugha, T.S.; Bien, H.; Bhui, K. Reducing excess mortality due to chronic disease in people with severe mental illness: Meta-review of health interventions. Br. J. Psychiatry 2016, 208, 322–329. [Google Scholar] [CrossRef] [PubMed]
- Chesney, E.; Goodwin, G.M.; Fazel, S. Risks of all-cause and suicide mortality in mental disorders: A meta-review. World Psychiatry 2014, 13, 153–160. [Google Scholar] [CrossRef] [PubMed]
- Joukamaa, M.; Heliövaara, M.; Knekt, P.; Aromaa, A.; Raitasalo, R.; Lehtinen, V. Mental disorders and cause-specific mortality. Br. J. Psychiatry 2001, 179, 498–502. [Google Scholar] [CrossRef] [PubMed]
- Wahlbeck, K.; Westman, J.; Nordentoft, M.; Gissler, M.; Laursen, T.M. Outcomes of Nordic mental health systems: Life expectancy of patients with mental disorders. Br. J. Psychiatry 2011, 199, 453–458. [Google Scholar] [CrossRef] [PubMed]
- Walker, E.R.; McGee, R.E.; Druss, B.G. Mortality in mental disorders and global disease burden implications: A systematic review and meta-analysis. JAMA Psychiatry 2015, 72, 334–341. [Google Scholar] [CrossRef] [PubMed]
- Colton, C.W.; Manderscheid, R.W. Congruencies in increased mortality rates, years of potential life lost, and causes of death among public mental health clients in eight states. Prev. Chronic Dis. 2006, 3, A42. [Google Scholar]
- Druss, B.G.; Walker, E.R. Mental disorders and medical comorbidity. Synth. Proj. Res. Synth. Rep. 2011, 1–26. [Google Scholar]
- Daré, L.O.; Bruand, P.E.; Gérard, D.; Marin, B.; Lameyre, V.; Boumédiène, F.; Preux, P.M. Co-morbidities of mental disorders and chronic physical diseases in developing and emerging countries: A meta-analysis. BMC Public Health 2019, 19, 304. [Google Scholar] [CrossRef]
- Honda, K.; Goodwin, R.D. Cancer and mental disorders in a national community sample: Findings from the national comorbidity survey. Psychother. Psychosom. 2004, 73, 235–242. [Google Scholar] [CrossRef] [PubMed]
- Kilbourne, A.M.; Morden, N.E.; Austin, K.; Ilgen, M.; McCarthy, J.F.; Dalack, G.; Blow, F.C. Excess heart-disease-related mortality in a national study of patients with mental disorders: Identifying modifiable risk factors. Gen. Hosp. Psychiatry 2009, 31, 555–563. [Google Scholar] [CrossRef] [PubMed]
- Ormel, J.; Von Korff, M.; Burger, H.; Scott, K.; Demyttenaere, K.; Huang, Y.Q.; Posada-Villa, J.; Pierre Lepine, J.; Angermeyer, M.C.; Levinson, D.; et al. Mental disorders among persons with heart disease-results from World Mental Health surveys. Gen. Hosp. Psychiatry 2007, 29, 325–334. [Google Scholar] [CrossRef] [PubMed]
- Williams, L.S.; Ghose, S.S.; Swindle, R.W. Depression and other mental health diagnoses increase mortality risk after ischemic stroke. Am. J. Psychiatry 2004, 161, 1090–1095. [Google Scholar] [CrossRef] [PubMed]
- Al-Hayek, A.A.; Robert, A.A.; Alzaid, A.A.; Nusair, H.M.; Zbaidi, N.S.; Al-Eithan, M.H.; Sam, A.E. Association between diabetes self-care, medication adherence, anxiety, depression, and glycemic control in type 2 diabetes. Saudi Med. J. 2012, 33, 681–683. [Google Scholar] [PubMed]
- Danna, S.M.; Graham, E.; Burns, R.J.; Deschênes, S.S.; Schmitz, N. Association between Depressive Symptoms and Cognitive Function in Persons with Diabetes Mellitus: A Systematic Review. PLoS ONE 2016, 11, e0160809. [Google Scholar] [CrossRef] [PubMed]
- Kruse, J.; Schmitz, N.; Thefeld, W. On the association between diabetes and mental disorders in a community sample: Results from the German National Health Interview and Examination Survey. Diabetes Care 2003, 26, 1841–1846. [Google Scholar] [CrossRef]
- Yohannes, A.M.; Müllerová, H.; Hanania, N.A.; Lavoie, K.; Tal-Singer, R.; Vestbo, J.; Rennard, S.I.; Wouters, E.F. Long-term Course of Depression Trajectories in Patients with COPD: A 3-Year Follow-up Analysis of the Evaluation of COPD Longitudinally to Identify Predictive Surrogate Endpoints Cohort. Chest 2016, 149, 916–926. [Google Scholar] [CrossRef] [PubMed]
- Zhang, M.W.; Ho, R.C.; Cheung, M.W.; Fu, E.; Mak, A. Prevalence of depressive symptoms in patients with chronic obstructive pulmonary disease: A systematic review, meta-analysis and meta-regression. Gen. Hosp. Psychiatry 2011, 33, 217–223. [Google Scholar] [CrossRef] [PubMed]
- Hsu, J.H.; Chien, I.C.; Lin, C.H.; Chou, Y.J.; Chou, P. Increased risk of chronic liver disease in patients with schizophrenia: A population-based cohort study. Psychosomatics 2014, 55, 163–171. [Google Scholar] [CrossRef] [PubMed]
- Seong, S.C.; Kim, Y.Y.; Park, S.K.; Khang, Y.H.; Kim, H.C.; Park, J.H.; Kang, H.J.; Do, C.H.; Song, J.S.; Lee, E.J.; et al. Cohort profile: The National Health Insurance Service-National Health Screening Cohort (NHIS-HEALS) in Korea. BMJ Open 2017, 7, e016640. [Google Scholar] [CrossRef] [PubMed]
- Expert Panel on Detection, Evaluation, and Treatment of High Blood Cholesterol in Adults. Executive Summary of The Third Report of The National Cholesterol Education Program (NCEP) Expert Panel on Detection, Evaluation, And Treatment of High Blood Cholesterol In Adults (Adult Treatment Panel III). JAMA 2001, 285, 2486–2497. [Google Scholar] [CrossRef] [PubMed]
- Goodwin, R.D.; Davidson, K.W.; Keyes, K. Mental disorders and cardiovascular disease among adults in the United States. J Psychiatr. Res. 2009, 43, 239–246. [Google Scholar] [CrossRef] [PubMed]
- Scott, K.M.; Lim, C.; Al-Hamzawi, A.; Alonso, J.; Bruffaerts, R.; Caldas-de-Almeida, J.M.; Florescu, S.; de Girolamo, G.; Hu, C.; de Jonge, P.; et al. Association of Mental Disorders With Subsequent Chronic Physical Conditions: World Mental Health Surveys from 17 Countries. JAMA Psychiatry 2016, 73, 150–158. [Google Scholar] [CrossRef] [PubMed]
- Newcomer, J.W.; Hennekens, C.H. Severe mental illness and risk of cardiovascular disease. JAMA 2007, 298, 1794–1796. [Google Scholar] [CrossRef]
- Correll, C.U.; Solmi, M.; Veronese, N.; Bortolato, B.; Rosson, S.; Santonastaso, P.; Thapa-Chhetri, N.; Fornaro, M.; Gallicchio, D.; Collantoni, E.; et al. Prevalence, incidence and mortality from cardiovascular disease in patients with pooled and specific severe mental illness: A large-scale meta-analysis of 3,211,768 patients and 113,383,368 controls. World Psychiatry 2017, 16, 163–180. [Google Scholar] [CrossRef] [PubMed]
- Scott, D.; Happell, B. The high prevalence of poor physical health and unhealthy lifestyle behaviours in individuals with severe mental illness. Issues Ment. Health Nurs. 2011, 32, 589–597. [Google Scholar] [CrossRef] [PubMed]
- Mitchell, A.J.; Lord, O. Do deficits in cardiac care influence high mortality rates in schizophrenia? A systematic review and pooled analysis. J. Psychopharmacol. 2010, 24 (Suppl. 4), 69–80. [Google Scholar] [CrossRef] [PubMed]
- Burns, T.; Cohen, A. Item-of-service payments for general practitioner care of severely mentally ill persons: Does the money matter? Br. J. Gen. Pract. 1998, 48, 1415–1416. [Google Scholar] [PubMed]
- Kilbourne, A.M.; Welsh, D.; McCarthy, J.F.; Post, E.P.; Blow, F.C. Quality of care for cardiovascular disease-related conditions in patients with and without mental disorders. J. Gen. Intern. Med. 2008, 23, 1628–1633. [Google Scholar] [CrossRef]
- Hippisley-Cox, J.; Parker, C.; Coupland, C.; Vinogradova, Y. Inequalities in the primary care of patients with coronary heart disease and serious mental health problems: A cross-sectional study. Heart 2007, 93, 1256–1262. [Google Scholar] [CrossRef] [PubMed]
- Newcomer, J.W. Second-generation (atypical) antipsychotics and metabolic effects: A comprehensive literature review. CNS Drugs 2005, 19 (Suppl. 1), 1–93. [Google Scholar] [CrossRef] [PubMed]
- Lieberman, J.A.; Stroup, T.S.; McEvoy, J.P.; Swartz, M.S.; Rosenheck, R.A.; Perkins, D.O.; Keefe, R.S.; Davis, S.M.; Davis, C.E.; Lebowitz, B.D.; et al. Effectiveness of antipsychotic drugs in patients with chronic schizophrenia. N. Engl. J. Med. 2005, 353, 1209–1223. [Google Scholar] [CrossRef] [PubMed]
- Consensus development conference on antipsychotic drugs and obesity and diabetes. Obes. Res. 2004, 12, 362–368. [CrossRef] [PubMed]
- Kisely, S.; Crowe, E.; Lawrence, D. Cancer-related mortality in people with mental illness. JAMA Psychiatry 2013, 70, 209–217. [Google Scholar] [CrossRef] [PubMed]
- Davidson, S.; Judd, F.; Jolley, D.; Hocking, B.; Thompson, S.; Hyland, B. Cardiovascular risk factors for people with mental illness. Aust. N. Zealand J. Psychiatry 2001, 35, 196–202. [Google Scholar] [CrossRef] [PubMed]
- Tan, X.W.; Lee, E.S.; Toh, M.; Lum, A.W.M.; Seah, D.E.J.; Leong, K.P.; Chan, C.Y.W.; Fung, D.S.S.; Tor, P.C. Comparison of mental-physical comorbidity, risk of death and mortality among patients with mental disorders-A retrospective cohort study. J. Psychiatr. Res. 2021, 142, 48–53. [Google Scholar] [PubMed]
- Schwarzinger, M.; Thiébaut, S.P.; Baillot, S.; Mallet, V.; Rehm, J. Alcohol use disorders and associated chronic disease-a national retrospective cohort study from France. BMC Public Health 2017, 18, 43. [Google Scholar] [CrossRef] [PubMed]
- Haque, L.Y.; Jakab, S.; Deng, Y.; Ciarleglio, M.M.; Tetrault, J.M. Substance Use Disorders in Recently Hospitalized Patients with Cirrhosis. J. Addict. Med. 2020, 14, e337–e343. [Google Scholar] [CrossRef] [PubMed]
- Carrier, P.; Debette-Gratien, M.; Girard, M.; Jacques, J.; Nubukpo, P.; Loustaud-Ratti, V. Liver Illness and Psychiatric Patients. Hepat. Mon. 2016, 16, e41564. [Google Scholar] [CrossRef]

| Variables | People with Mental Illness (n = 7199) | People without Mental Illness (n = 485,965) | p-Value |
|---|---|---|---|
| Gender | <0.0001 | ||
| Male | 3195 (44.38) | 260,477 (53.60) | |
| Female | 4004 (55.62) | 225,488 (46.40) | |
| Age | <0.0001 | ||
| 40–49 | 3079 (42.77) | 225,318 (46.37) | |
| 50–59 | 2180 (30.28) | 141,786 (29.18) | |
| 60–69 | 1508 (20.95) | 93,447 (19.23) | |
| >70 | 432 (6.00) | 25,414 (5.23) | |
| Income level | 0.2225 | ||
| 0–3 decile | 1676 (23.28) | 109,233 (22.48) | |
| 4–7 decile | 2341 (32.52) | 158,124 (32.54) | |
| 8–10 decile | 3182 (44.20) | 218,608 (44.98) | |
| Number of health screenings | <0.0001 | ||
| ≥5 | 3087 (42.88) | 227,135 (46.74) | |
| 4 | 1490 (20.70) | 95,829 (19.72) | |
| 3 | 802 (11.14) | 52,021 (10.70) | |
| 2 | 577 (8.02) | 37,392 (7.69) | |
| 1 | 561 (7.79) | 33,689 (6.93) | |
| 0 | 682 (9.47) | 39,899 (8.21) | |
| Physical activity | 0.7705 | ||
| Good | 2168 (33.64) | 149,547 (33.82) | |
| Poor | 4277 (66.36) | 292,630 (55.18) | |
| Smoking | <0.0001 | ||
| Never smoking | 3224 (49.50) | 203,167 (45.56) | |
| Ex smoking | 1090 (16.74) | 91,585 (20.54) | |
| Current smoking | 2199(33.76) | 151,148(33.90) | |
| Alcohol drinking | <0.0001 | ||
| None | 564 (8.66) | 32,014 (7.18) | |
| <2 times/week | 1540 (23.64) | 123,539 (27.70 | |
| ≥2 times/week | 4410 (67.70) | 290,373 (65.12) | |
| Blood pressure(mmHg) | 0.0055 | ||
| Normal | 1954(29.98) | 125,334(28.10) | |
| Prehypertension | 3817(58.57) | 267,056(59.87) | |
| Hypertension | 746(11.45) | 53,676(12.03) | |
| Total cholesterol (mg/dL) | <0.0001 | ||
| <200 | 4836 (74.21) | 337,862 (77.25) | |
| 200–239 | 1354 (20.78) | 88,620 (13.33) | |
| ≥240 | 327 (5.02) | 19,584 (4.39) | |
| Fasting glucose level (mg/dL) | <0.0001 | ||
| <100 | 3690 (56.62) | 249,950 (56.03) | |
| 100–125 | 2225 (34.14) | 146,805 (32.91) | |
| ≥126 | 602 (9.24) | 49,311 (11.05) |
| Chronic Diseases | People with Mental Illness (n = 7199) | People without Mental Illness (n = 485,965) | p-Value |
|---|---|---|---|
| Hypertension | 3748 (52.06) | 240,006 (49.39) | <0.0001 |
| CHF | 388 (5.39) | 23,827 (4.9) | 0.0616 |
| CAD | 1298 (18.03) | 78,494 (16.15) | <0.0001 |
| Arrhythmia | 577 (7.74) | 32,212 (6.63) | 0.0002 |
| Hyperlipidemia | 3855 (53.55) | 240,957 (49.58) | <0.0001 |
| Stroke | 1273 (17.68) | 69,925 (14.39) | <0.0001 |
| Arthritis | 4899 (68.05) | 309,464 (63.68) | <0.0001 |
| Asthma | 1641 (22.79) | 101,393 (20.86) | <0.0001 |
| Cancer | 745 (10.35) | 52,114 (10.72) | 0.3183 |
| CKD | 142 (1.97) | 10,303 (2.12) | 0.4096 |
| COPD | 541 (7.51) | 33,366 (6.87) | 0.0327 |
| Diabetes | 2260 (31.39) | 148,171 (30.49) | 0.0989 |
| Chronic hepatitis | 62 (0.86) | 3691 (0.76) | 0.3057 |
| Liver cirrhosis | 79 (1.1) | 6086 (1.25) | 0.2616 |
| Osteoporosis | 1905 (26.46) | 106,007 (21.81) | <0.0001 |
| People with Mental Illness | People without Mental Illness | |||
|---|---|---|---|---|
| aHR | 95% CI | aHR | 95% CI | |
| Hypertension | 1.394 | 1.089–1.785 | 1.192 | 1.158–1.228 |
| CHF | 1.399 | 1.048–1.866 | 1.219 | 1.177–1.263 |
| CAD | 0.963 | 0.770–1.205 | 1.006 | 0.979–1.034 |
| Arrhythmia | 1.315 | 1.010–1.713 | 1.428 | 1.384–1.474 |
| Hyperlipidemia | 0.885 | 0.712–1.101 | 0.806 | 0.785–0.827 |
| Stroke | 1.216 | 0.987–1.498 | 1.312 | 1.279–1.346 |
| Arthritis | 1.039 | 0.824–1.311 | 0.853 | 0.831–0.877 |
| Asthma | 0.936 | 0.749–1.171 | 1.090 | 1.062–1.118 |
| Cancer | 2.846 | 2.310–3.506 | 2.547 | 2.484–2.611 |
| CKD | 1.453 | 0.984–2.146 | 1.361 | 1.303–1.423 |
| COPD | 0.934 | 0.703–1.241 | 1.320 | 1.281–1.361 |
| Diabetes | 1.079 | 0.869–1.34 | 1.254 | 1.221–1.289 |
| Chronic hepatitis | 1.343 | 0.648–2.787 | 1.128 | 1.02–1.247 |
| Liver cirrhosis | 2.365 | 1.472–3.800 | 2.196 | 2.084–2.315 |
| Osteoporosis | 0.639 | 0.505–0.808 | 0.918 | 0.893–0.944 |
| Risk of All-Cause Mortality | ||
|---|---|---|
| aHR | 95% CI | |
| Hypertension | 1.195 | 1.160–1.230 |
| CHF | 1.222 | 1.180–1.265 |
| CAD | 1.005 | 0.978–1.033 |
| Arrhythmia | 1.427 | 1.383–1.472 |
| Hyperlipidemia | 0.807 | 0.786–0.829 |
| Stroke | 1.310 | 1.277–1.344 |
| Arthritis | 0.856 | 0.834–0.880 |
| Asthma | 1.088 | 1.060–1.116 |
| Cancer | 2.550 | 2.488–2.614 |
| CKD | 1.363 | 1.304–1.423 |
| COPD | 1.313 | 1.274–1.353 |
| Diabetes | 1.251 | 1.218–1.285 |
| Chronic hepatitis | 1.131 | 1.024–1.250 |
| Liver cirrhosis | 2.198 | 2.086–2.316 |
| Osteoporosis | 0.913 | 0.888–0.939 |
| Variables | People with History of Psychiatric Hospitalization (n = 404) | People with History of Psychiatric Outpatient (n = 6795) | People without Mental Illness (n = 485,965) | p-Value |
|---|---|---|---|---|
| Gender | <0.0001 | |||
| Male | 196 (48.51) | 2999 (48.51) | 230,477 (53.6) | |
| Female | 208 (51.49) | 3796 (51.49) | 225,488 (46.4) | |
| Age | <0.0001 | |||
| 40–49 | 169 (41.83) | 2910 (42.83) | 225,318 (46.37) | |
| 50–59 | 119 (29.46) | 2061 (30.33) | 141,786 (29.18) | |
| 60–69 | 76 (18.81) | 1432 (21.07) | 93,447 (19.23) | |
| >70 | 40 (9.90) | 392 (5.77) | 25,414 (5.23) | |
| Income level | 0.0689 | |||
| 0–3 decile | 112 (27.72) | 1564 (23.02) | 109,233 (22.48) | |
| 4–7 decile | 116 (28.71) | 2225 (32.74) | 158,124 (32.54) | |
| 8–10 decile | 176 (43.56) | 3006 (44.24) | 218,608 (44.98) | |
| Number of health screenings | <0.0001 | |||
| ≥5 | 86 (21.29) | 3001 (44.10) | 227,135 (46.74) | |
| 4 | 61 (15.10) | 1429 (21.03) | 95,829 (19.72) | |
| 3 | 49 (12.13) | 753 (11.08) | 52,021 (10.70) | |
| 2 | 51 (12.62) | 526 (7.74) | 37,392 (7.69) | |
| 1 | 66 (16.34) | 495 (7.28) | 33,689 (6.93) | |
| 0 | 91 (22.52) | 591 (8.7) | 39,899 (8.21) | |
| Physical activity | 0.1127 | |||
| Good | 187 (28.15) | 2735 (33.91) | 193,335 (33.82) | |
| Poor | 217 (71.85) | 4060 (66.09) | 292,630 (66.18) | |
| Smoking | <0.0001 | |||
| Never smoking | 145 (46.33) | 3079 (49.66) | 203,167 (45.56) | |
| Ex smoking | 59 (18.85) | 1031 (16.63) | 91,585 (20.54) | |
| Current smoking | 109 (34.82) | 2090 (33.71) | 15,1148 (33.9) | |
| Alcohol drinking | <0.0001 | |||
| None | 40 (12.82) | 524 (8.45) | 32,014 (7.18) | |
| <2 times/week | 75 (24.04) | 1465 (23.62) | 123,539 (27.7) | |
| ≥2 times/week | 197 (65.12) | 4213 (63.14) | 290,373 (65.12) | |
| Blood pressure (mmHg) | 0.0009 | |||
| Normal | 109 (34.82) | 1845 (29.74) | 125,334 (28.1) | |
| Prehypertension | 161 (51.44) | 3656 (58.93) | 267,056 (59.87) | |
| Hypertension | 43 (13.74) | 703 (11.33) | 53,676 (12.03) | |
| Total cholesterol (mg/dL) | 0.0002 | |||
| <200 | 230 (73.48) | 4606 (74.24) | 337,862 (77.25) | |
| 200–239 | 56 (17.89) | 1298 (20.92) | 88,620 (13.33) | |
| ≥240 | 27 (8.63) | 300 (4.84) | 19,584 (4.39) | |
| Fasting glucose level (mg/dL) | <0.0001 | |||
| <100 | 159 (50.8) | 3531 (56.91) | 249,950 (56.03) | |
| 100–125 | 117 (37.38) | 2108 (33.98) | 146,805 (32.91) | |
| ≥126 | 37 (11.82) | 565 (9.11) | 49,311 (11.05) |
| Chronic Diseases | People with History of Psychiatric Hospitalization (n = 404) | People with History of Psychiatric Outpatient (n = 6795) | People without Mental Illness (n = 485,965) | p-Value |
|---|---|---|---|---|
| Hypertension | 230 (56.93) | 3518 (51.77) | 240,006 (49.39) | <0.0001 |
| CHF | 29 (7.18) | 359 (5.28) | 23,827 (4.90) | 0.0382 |
| CAD | 92 (22.77) | 1206 (17.75) | 78,494 (16.15) | <0.0001 |
| Arrhythmia | 40 (9.9) | 517 (7.61) | 32,212 (6.63) | 0.0002 |
| Hyperlipidemia | 201 (49.75) | 3654 (53.77) | 240,957 (49.58) | <0.0001 |
| Stroke | 97 (24.01) | 1176 (17.31) | 69,925 (14.39) | <0.0001 |
| Arthritis | 234 (57.92) | 4665 (68.65) | 309,464 (63.68) | <0.0001 |
| Asthma | 99 (24.50) | 1542 (22.69) | 101,393 (20.86) | 0.0002 |
| Cancer | 48 (11.88) | 697 (10.26) | 52,114 (10.72) | 0.3610 |
| CKD | 15 (3.71) | 127 (1.87) | 10,303 (2.12) | 0.0302 |
| COPD | 39 (9.65) | 502 (7.39) | 33,366 (6.87) | 0.0210 |
| Diabetes | 170 (42.08) | 2090 (30.76) | 148,171 (30.49) | <0.0001 |
| Chronic hepatitis | 6 (1.49) | 56 (0.82) | 3691 (0.76) | 0.2041 |
| Liver cirrhosis | 10 (2.48) | 69 (1.02) | 6086 (1.25) | 0.0187 |
| Osteoporosis | 89 (22.03) | 1816 (26.73) | 106,007 (21.81) | <0.0001 |
| Chronic Diseases | People with History of Psychiatric Hospitalization (n = 404) | People with History of Psychiatric Outpatient (n = 6795) | People without Mental Illness (n = 485,965) | |||
|---|---|---|---|---|---|---|
| aHR | 95% CI | aHR | 95% CI | aHR | 95% CI | |
| Hypertension | 2.406 | 0.815–7.107 | 1.315 | 1.016–1.702 | 1.192 | 1.158–1.228 |
| CHF | 0.771 | 0.190–3.136 | 1.505 | 1.116–2.030 | 1.219 | 1.117–1.263 |
| CAD | 2.889 | 1.117–7.474 | 0.908 | 0.718–1.149 | 1.006 | 0.979–1.034 |
| Arrhythmia | 1.143 | 0.310–4.220 | 1.401 | 1.064–1.846 | 1.428 | 1.384–1.474 |
| Hyperlipidemia | 0.378 | 0.150–0.955 | 0.983 | 0.781–1.237 | 0.806 | 0.785–0.827 |
| Stroke | 1.294 | 0.495–3.378 | 1.259 | 1.014–1.563 | 1.312 | 1.279–1.346 |
| Arthritis | 0.578 | 0.204–1.640 | 1.143 | 0.892–1.465 | 0.853 | 0.931–0.877 |
| Asthma | 0.742 | 0.285–1.933 | 0.917 | 0.725–1.158 | 1.090 | 1.062–1.118 |
| Cancer | 4.094 | 1.474–11.373 | 2.820 | 2.270–3.502 | 2.547 | 2.484–2.611 |
| CKD | 0.545 | 0.069–4.331 | 1.630 | 1.078–2.465 | 1.361 | 1.303–1.423 |
| COPD | 0.725 | 0.185–2.838 | 1.010 | 0.756–1.350 | 1.320 | 1.281–1.361 |
| Diabetes | 1.461 | 0.565–3.778 | 1.022 | 0.813–1.284 | 1.254 | 1.221–1.289 |
| Chronic hepatitis | NA | NA | 1.737 | 0.835–3.614 | 1.128 | 1.020–1.247 |
| Liver cirrhosis | 26.334 | 3.685–188.178 | 2.160 | 1.291–3.613 | 2.196 | 2.084–2.315 |
| Osteoporosis | 0.143 | 0.039–0.515 | 0.675 | 0.529–0.861 | 0.918 | 0.893–0.944 |
Publisher’s Note: MDPI stays neutral with regard to jurisdictional claims in published maps and institutional affiliations. |
© 2022 by the authors. Licensee MDPI, Basel, Switzerland. This article is an open access article distributed under the terms and conditions of the Creative Commons Attribution (CC BY) license (https://creativecommons.org/licenses/by/4.0/).
Share and Cite
Son, S.; Kim, Y.J.; Kim, S.H.; Kim, J.I.; Kim, S.; Roh, S. Effects of Chronic Diseases on All-Cause Mortality in People with Mental Illness: A Retrospective Cohort Study Using the Korean National Health Insurance Service-Health Screening. Int. J. Environ. Res. Public Health 2022, 19, 9989. https://doi.org/10.3390/ijerph19169989
Son S, Kim YJ, Kim SH, Kim JI, Kim S, Roh S. Effects of Chronic Diseases on All-Cause Mortality in People with Mental Illness: A Retrospective Cohort Study Using the Korean National Health Insurance Service-Health Screening. International Journal of Environmental Research and Public Health. 2022; 19(16):9989. https://doi.org/10.3390/ijerph19169989
Chicago/Turabian StyleSon, Sujin, Yun Jin Kim, Seok Hyeon Kim, Johanna Inhyang Kim, Sojung Kim, and Sungwon Roh. 2022. "Effects of Chronic Diseases on All-Cause Mortality in People with Mental Illness: A Retrospective Cohort Study Using the Korean National Health Insurance Service-Health Screening" International Journal of Environmental Research and Public Health 19, no. 16: 9989. https://doi.org/10.3390/ijerph19169989
APA StyleSon, S., Kim, Y. J., Kim, S. H., Kim, J. I., Kim, S., & Roh, S. (2022). Effects of Chronic Diseases on All-Cause Mortality in People with Mental Illness: A Retrospective Cohort Study Using the Korean National Health Insurance Service-Health Screening. International Journal of Environmental Research and Public Health, 19(16), 9989. https://doi.org/10.3390/ijerph19169989

