The Impact of the COVID-19 Pandemic on Physicians’ Working Hours and Earnings in São Paulo and Maranhão States, Brazil
Abstract
:1. Introduction
2. Materials and Methods
2.1. Data Collection and Sampling Strategy
- n = sample size;
- zα = critical value for the standard deviation (1.96);
- p = expected likelihood of the variable of interest within the population;
- q = adjustment for the expected prevalence of the variable of interest;
- d = sample error.
- n = sample size;
- N = physician population in the state.
2.2. Data Analysis
2.3. Ethical Aspects
3. Results
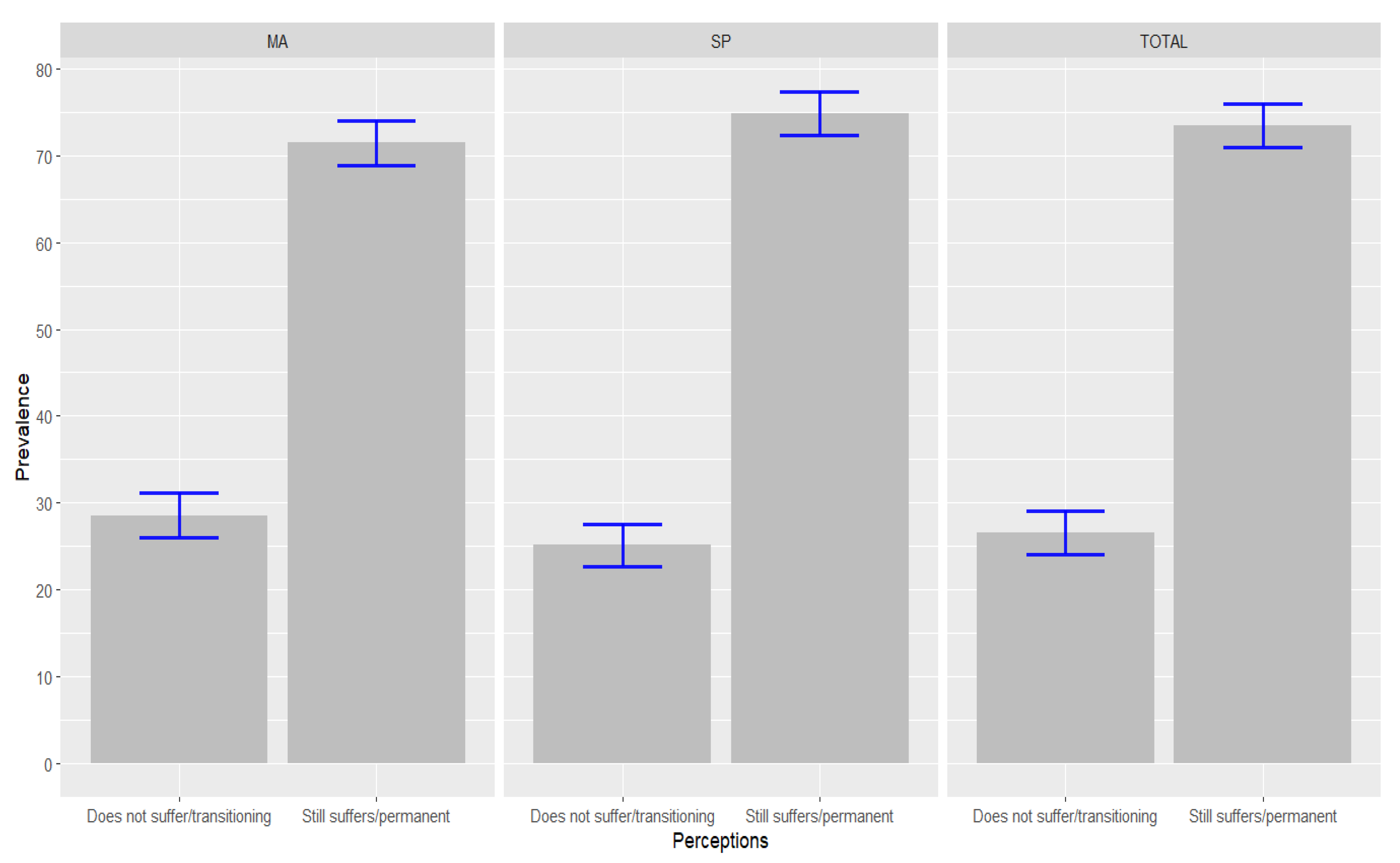
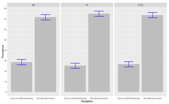
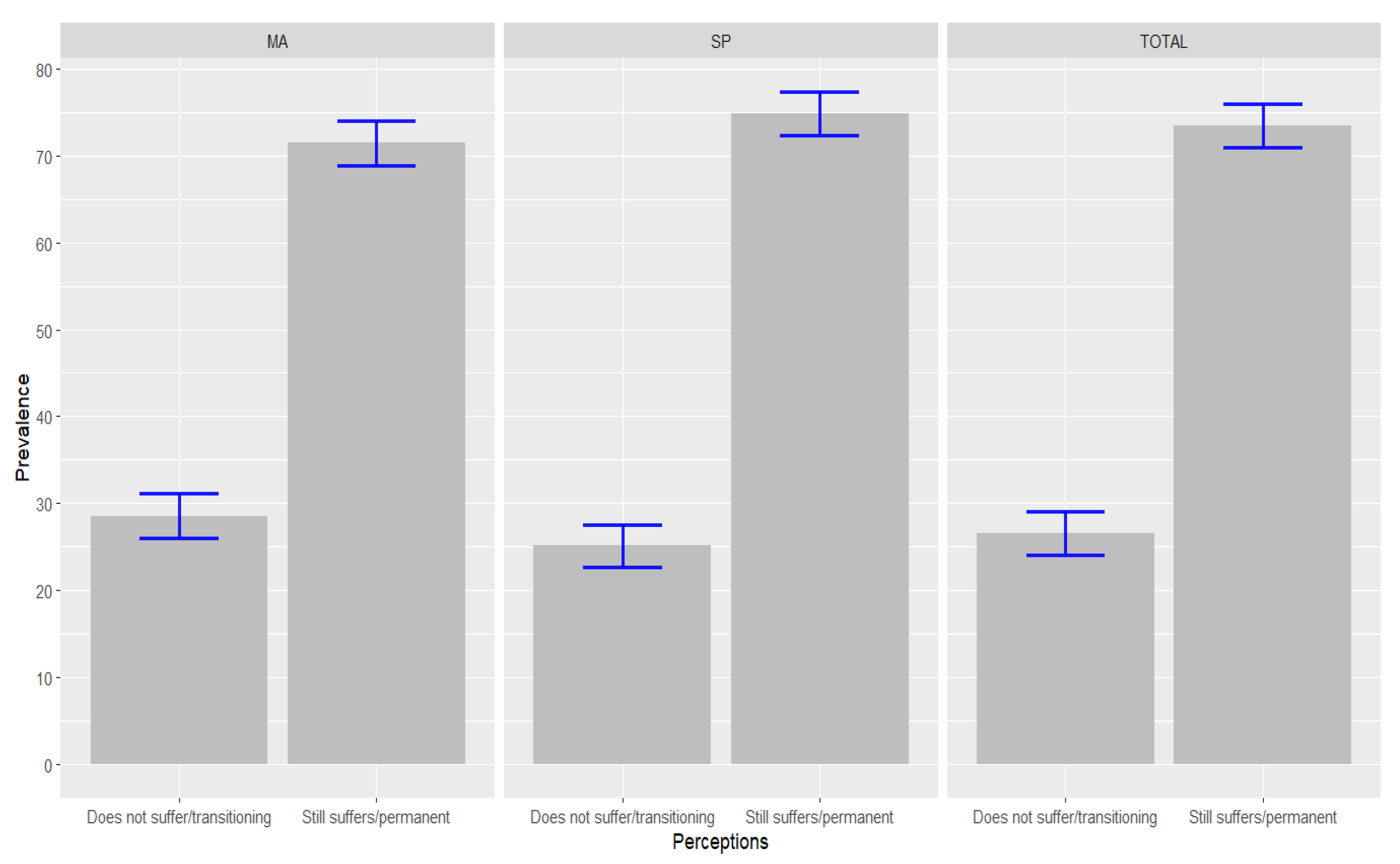
3.1. Impact of COVID-19 Pandemic on Labor Dynamics
3.2. Changes in Physicians’ Incomes
4. Discussion
5. Conclusions
Supplementary Materials
Author Contributions
Funding
Institutional Review Board Statement
Informed Consent Statement
Data Availability Statement
Conflicts of Interest
References
- JHP COVID-19 Map. Available online: https://coronavirus.jhu.edu/map.html (accessed on 19 May 2022).
- WHO. The Impact of COVID-19 on Health and Care Workers: A Closer Look at Deaths; Health Workforce Department: Geneva, Switzerland, 2021; Available online: https://apps.who.int/iris/bitstream/handle/10665/345300/WHO-HWF-WorkingPaper-2021.1-eng.pdf?sequence=1&isAllowed=y (accessed on 20 April 2022).
- Pappa, S.; Barnett, J.; Berges, I.; Sakkas, N. Tired, Worried and Burned Out, but Still Resilient: A Cross-Sectional Study of Mental Health Workers in the UK during the COVID-19 Pandemic. Int. J. Environ. Res. Public Health 2021, 18, 4457. [Google Scholar] [CrossRef] [PubMed]
- Li, J.; Xu, J.; Zhou, H.; You, H.; Wang, X.; Li, Y.; Liang, Y.; Li, S.; Ma, L.; Zeng, J.; et al. Working Conditions and Health Status of 6317 Front Line Public Health Workers across Five Provinces in China during the COVID-19 Epidemic: A Cross-Sectional Study. BMC Public Health 2021, 21, 106. [Google Scholar] [CrossRef] [PubMed]
- Khanal, P.; Devkota, N.; Dahal, M.; Paudel, K.; Joshi, D. Mental Health Impacts among Health Workers during COVID-19 in a Low Resource Setting: A Cross-Sectional Survey from Nepal. Glob. Health 2020, 16, 89. [Google Scholar] [CrossRef]
- Campbell, J.; Dussault, G.; Buchan, J.; Pozo-Martin, F.; Cometto, G. A Universal Truth: No Health Without a Workforce; Global Health Workforce Alliance: Recife, Brazil, 2013. [Google Scholar]
- Suhrcke, M.; Stuckler, D.; Suk, J.E.; Desai, M.; Senek, M.; McKee, M.; Tsolova, S.; Basu, S.; Abubakar, I.; Hunter, P.; et al. The Impact of Economic Crises on Communicable Disease Transmission and Control: A Systematic Review of the Evidence. PLoS ONE 2011, 6, e20724. [Google Scholar] [CrossRef]
- Thomson, S.; Figueras, J.; Evetovits, T.; Jowett, M.; Mladovsky, P.; Maresso, A.; Cylus, J.; Karanikolos, M.; Kluge, H. Economic Crisis, Health Systems and Health in Europe: Impact and Implications for Policy in Europe; European Observatory on Health Systems and Policies, LSE: London, UK, 2014; p. 60. [Google Scholar]
- Russo, G.; Pires, C.A.; Perelman, J.; Gonçalves, L.; Barros, P.P. Exploring Public Sector Physicians’ Resilience, Reactions and Coping Strategies in Times of Economic Crisis; Findings from a Survey in Portugal’s Capital City Area. BMC Health Serv. Res. 2017, 17, 207. [Google Scholar] [CrossRef] [PubMed]
- Buerhaus, P.I.; Auerbach, D.I. The Recession’s Effect on Hospital Registered Nurse Employment Growth. Nurs. Econ. 2011, 29, 163–167. [Google Scholar] [PubMed]
- Russo, G.; Silva, T.J.; Gassasse, Z.; Filippon, J.; Rotulo, A.; Kondilis, E. The Impact of Economic Recessions on Health Workers: A Systematic Review and Best-Fit Framework Synthesis of the Evidence from the Last 50 Years. Health Policy Plan. 2021, 36, 542–551. [Google Scholar] [CrossRef] [PubMed]
- Russo, G.; Levi, M.L.; Seabra Soares de Britto e Alves, M.T.; Carneiro Alves de Oliveira, B.L.; de Souza Britto Ferreira de Carvalho, R.H.; Andrietta, L.S.; Filippon, J.G.; Scheffer, M.C. How the “plates” of a Health System Can Shift, Change and Adjust during Eco-nomic Recessions: A Qualitative Interview Study of Public and Private Health Providers in Brazil’s São Paulo and Maranhão States. PloS ONE 2020, 15, e0241017. [Google Scholar] [CrossRef]
- Andrietta, L.S.; Levi, M.L.; Scheffer, M.C.; de Britto, M.T.; de Oliveira, B.L.; Russo, G. The Differential Impact of Economic Recessions on Health Systems in Middle-Income Settings: A Comparative Case Study of Unequal States in Brazil. BMJ Glob. Health 2020, 5, e002122. [Google Scholar] [CrossRef]
- Paim, J.; Travassos, C.; Almeida, C.; Bahia, L.; Macinko, J. The Brazilian Health System: History, Advances, and Challenges. Lancet 2011, 377, 1778–1797. [Google Scholar] [CrossRef]
- Scheffer, M.C.; Cassenote, A.; Guilloux, A.G.A.; Guerra, A.; Miotto, B.A. Demografia médica no Brasil 2020; Faculdade de Medicina USP, Conselho Federal de Medicina: São Paulo, Brazil, 2021; p. 125. [Google Scholar]
- OECD. OECD Reviews of Health Systems: Brazil; OECD: Paris, France, 2021. [Google Scholar] [CrossRef]
- Miotto, B.A.; Guilloux, A.G.A.; Cassenote, A.J.F.; Mainardi, G.M.; Russo, G.; Scheffer, M.C. Physician’s Sociodemographic Profile and Distribution across Public and Private Health Care: An Insight into Physicians’ Dual Practice in Brazil. BMC Health Serv. Res. 2018, 18, 299. [Google Scholar] [CrossRef] [PubMed]
- Scheffer, M.C.; Ribeiro, F.O.P.; Dal Poz, M.; Andrietta, L. Physicians’ income in Brazil: A study on information sources. Rev. Assoc. Médica Bras. 2022, 68, 691–696. [Google Scholar] [CrossRef]
- Faria de Moura Villela, E.; Rodrigues da Cunha, I.; Nelson Siewe Fodjo, J.; Obimpeh, M.; Colebunders, R.; Van Hees, S. Impact of COVID-19 on Healthcare Workers in Brazil between August and November 2020: A Cross-Sectional Survey. Int. J. Environ. Res. Public Health 2021, 18, 6511. [Google Scholar] [CrossRef] [PubMed]
- Russo, G.; Jesus, T.S.; Kondilis, E.; Filippon, J.; Rotulo, A.; Gassasse, Z. Impact of Economic Recessions on Healthcare Workers and Their Crises’ Responses: Study Protocol for a Systematic Review of the Qualitative and Quantitative Evidence for the Development of an Evidence-Based Conceptual Framework. BMJ Open 2019, 9, e032972. [Google Scholar] [CrossRef]
- UKRI. How Is the Current Crisis Reshaping Brazil’s Health System? Strengthening Health Workforce and Provision of Services in São Paulo and Maranhão. Available online: https://gtr.ukri.org/projects?ref=MR%2FR022747%2F1&pn=0&fetchSize=10&selectedSortableField=title&selectedSortOrder=ASC (accessed on 9 March 2022).
- Althubaiti, A. Information Bias in Health Research: Definition, Pitfalls, and Adjustment Methods. J. Multidiscip. Healthc. 2016, 9, 211–217. [Google Scholar] [CrossRef]
- Wang, X.; Cheng, Z. Cross-Sectional Studies: Strengths, Weaknesses, and Recommendations. Chest 2020, 158, S65–S71. [Google Scholar] [CrossRef] [PubMed]
- Scott, A.; Holte, J.H.; Witt, J. Preferences of Physicians for Public and Private Sector Work. Hum. Resour. Health 2020, 18, 59. [Google Scholar] [CrossRef] [PubMed]
- Gragnolati, M.; Lindelow, M.; Couttolenc, B. Twenty Years of Health System Reform in Brazil: An Assessment of the Sistema Único de Saúde; World Bank: Washington, DC, USA, 2013. [Google Scholar]
- Blumenthal, D.; Fowler, E.J.; Abrams, M.; Collins, S.R. COVID-19–Implications for the Health Care System. N. Engl. J. Med. 2020, 383, 1483–1488. [Google Scholar] [CrossRef] [PubMed]
- Zhong, J.; Zhe Luo, X.S.; Xining, Z.; Chao, L.; Peng, L.; Feng, G.; Kaihuan, Y.; Changhong, M. Psychological Impact and Workload of COVID-19 on Healthcare Workers in China During the Early Time of the Pandemic: A Cross-Sectional Study. Disaster Med. Public Health Prep. 2022, 1–9. [Google Scholar] [CrossRef] [PubMed]
- Meghani, A.; Shreya, H.; Priyanka, D.; Bennett, S. Public Sector Engagement of Private Healthcare Providers during the COVID-19 Pandemic in Uttar Pradesh, India. PLOS Glob. Public Health 2022, 2, 7. [Google Scholar] [CrossRef]
- Wallace, L.J.; Agyepong, I.; Baral, S.; Barua, D.; Das, M.; Huque, R.; Joshi, D.; Mbachu, C.; Naznin, B.; Nonvignon, J.; et al. The Role of the Private Sector in the COVID-19 Pandemic: Experiences from Four Health Systems. Front. Public Health 2022, 10, 1527. [Google Scholar] [CrossRef]
- Tan, C.S.; Lokman, S.; Rao, Y.; Kok, S.H.; Ming, L.C. Public and Private Sectors Collective Response to Combat COVID-19 in Malaysia. J. Pharm. Policy Pract. 2021, 14, 40. [Google Scholar] [CrossRef]
- Massuda, A.; Hone, T.; Leles, F.A.G.; de Castro, M.C.; Atun, R. The Brazilian Health System at Crossroads: Progress, Crisis and Resilience. BMJ Glob. Health 2018, 3, e000829. [Google Scholar] [CrossRef]
- Caram, B.; Brito, R. Bolsonaro Eyes Change to Brazil Spending Cap after Election. Reuters 2022. Available online: https://www.reuters.com/article/uk-brazil-economy-bolsonaro-idUKKCN2ML1XR (accessed on 29 April 2022).
- De Jaegher, K.; Jegers, M. A Model of Physician Behaviour with Demand Inducement. J. Health Econ. 2000, 19, 231–258. [Google Scholar] [CrossRef]
- Xu, D.; Zhan, J.; Cheng, T.; Fu, H.; Yip, W. Understanding Online Dual Practice of Public Hospital Doctors in China: A Mixed-Methods Study. Health Policy Plan. 2022, 37, 440–451. [Google Scholar] [CrossRef]
- Russo, G.; McPake, B.; Fronteira, I.; Ferrinho, P. Negotiating Markets for Health: An Exploration of Physicians’ Engagement in Dual Practice in Three African Capital Cities. Health Policy Plan. 2014, 29, 774–783. [Google Scholar] [CrossRef]
- McPake, B.; Russo, G.; Tseng, F.-M. How Do Dual Practitioners Divide Their Time? The Cases of Three African Capital Cities. Soc. Sci. Med. 2014, 122, 113–121. [Google Scholar] [CrossRef] [PubMed]
- Russo, G.; Cassenote, A.; de Oliveira, B.L.C.A.; Scheffer, M. Demographic and Professional Risk Factors of COVID-19 Infections among Physicians in Low- and Middle-Income Settings; Findings from a Representative Survey in Two Brazilian States. medRxiv 2022. [Google Scholar] [CrossRef]
- Babu, G.R.; Khetrapal, S.; John, D.A.; Deepa, R.; Narayan, K.M.V. Pandemic Preparedness and Response to COVID-19 in South Asian Countries. Int. J. Infect. Dis. 2021, 104, 169–174. [Google Scholar] [CrossRef] [PubMed]
- Horton, R.; Clark, S. The Perils and Possibilities of the Private Health Sector. Lancet 2016, 388, 540–541. [Google Scholar] [CrossRef]
- Montagu, D.; Goodman, C. Prohibit, Constrain, Encourage, or Purchase: How Should We Engage with the Private Health-Care Sector? Lancet 2016, 388, 613–621. [Google Scholar] [CrossRef]
- Costa, D.C.A.R.; Bahia, L.; de Carvalho, E.M.C.L.; Cardoso, A.M.; Souza, P.M.S. Oferta pública e privada de leitos e acesso aos cuidados à saúde na pandemia de COVID-19 no Brasil. Saúde Debate 2021, 44, 232–247. [Google Scholar] [CrossRef]
- Monaghesh, E.; Hajizadeh, A. The Role of Telehealth during COVID-19 Outbreak: A Systematic Review Based on Current Evidence. BMC Public Health 2020, 20, 1193. [Google Scholar] [CrossRef] [PubMed]
- Scheffler, R.M. A Labor Market Framework for Human Resources for Health in Low- and Middle-Income Countries. In Health Labor Market Analyses in Low- and Middle-Income Countries: An Evidence-Based Approach; Directions in Development—Human Development; The World Bank: Washington, DC, USA, 2016; pp. 11–30. [Google Scholar] [CrossRef]

| Variables | Categories |
|---|---|
| Q.1 Considering your current medical work, with its routine, format, volume of patients, and working hours, when compared to a usual level of work, before March 2020: |
|
| Q.3 (FOR EACH Q.2 = 1) In this medical activity _____ (READ THE ITEM), do you attend or did you attend, on a regular basis, only to patients with health insurance or private patients; attend/attended only Unified Health System (SUS) patients (either at a public, philanthropic facility, social organization or another type of facility that provides services to SUS) OR attend/attended to both types of patients, work in both public and private sectors? |
|
| Q.13 Considering a regular/habitual working week before the start of the pandemic, and your work after March 2020, has your number of worked hours per week increased, remained the same or decreased? |
|
| Q.14a (IF Q13 = 1) By approximately how many weekly hours would you say your work has increased since the start of the pandemic? (SPONTANEOUS AND SINGLE ANSWER) Q.14b (IF Q13 = 3) By approximately how many weekly hours would you say your work has decreased since the start of the pandemic? (SPONTANEOUS AND SINGLE ANSWER) | _______ hours (WRITE DOWN). 9999. Does not know |
| Q.15 Considering your monthly salary before March 2020, at the start of the pandemic, has your salary increased, remained the same or decreased? |
|
| Q.16a (IF Q.15 = 1) By how much, in reais, did your monthly salary increase? | _______ earnings (WRITE DOWN). 9999. Does not know |
| Q.16b (IF Q.15 = 3) By how much, in Reais, did your monthly salary decrease? |
| Characteristics/Variables | Total (n = 1183) | SP (n = 632) 53.4% (50.6–56.3) | MA (n = 551) 46.6% (43.7–49.4) | |||
|---|---|---|---|---|---|---|
| % | 95% CI | % | 95% CI | % | 95% CI | |
| Gender | ||||||
| Male | 56.2 | (53.4–59.0) | 54.1 | (50.2–58.0) | 58.6 | (54.5–62.7) |
| Female | 43.8 | (41.0–46.6) | 45.9 | (42.0–49.8) | 41.4 | (37.3–45.5) |
| Age | ||||||
| 24 to 34 | 34.1 | (31.5–36.9) | 34.3 | (30.6–38.0) | 33.9 | (30.0–37.9) |
| 35 to 44 | 24.5 | (22.1–27.1) | 20.7 | (17.6–23.9) | 28.9 | (25.1–32.6) |
| 45 to 59 | 20.4 | (18.2–22.8) | 22.3 | (19.1–25.6) | 18.1 | (14.9–21.4) |
| ≥60 | 21.0 | (18.7–23.4) | 22.6 | (19.4–25.9) | 19.1 | (15.8–22.3) |
| Geographical location of deployment | ||||||
| Rural areas (Interior) | 50.5 | (47.7–53.4) | 54.9 | (51.0–58.8) | 45.6 | (41.4–49.7) |
| Urban areas around capital cities | 49.5 | (46.6–52.3) | 45.1 | (41.2–49.0) | 54.5 | (50.3–58.6) |
| Health sector of deployment | ||||||
| Exclusively private | 12.9 | (11.1–14.9) | 14.3 | (11.6–17.0) | 8.2 | (5.9–10.5) |
| Exclusively public | 25.4 | (23.0–28.0) | 27.6 | (24.1–31.1) | 26.0 | (22.3–29.8) |
| Dual practice | 61.6 | (58.8–64.4) | 58.1 | (54.4–62.0) | 65.8 | (61.8–69.8) |
| Employment in specific health services | ||||||
| Outpatient clinical services (hospital or clinics) | 82.7 | (80.4–84.7) | 81.2 | (78.1–84.2) | 84.2 | (81.2–87.2) |
| Diagnostic tests, equipment-related services | 33.1 | (30.5–35.9) | 32.0 | (28.4–35.6) | 34.5 | (30.5–38.5) |
| Surgery (in-patient care) | 38.8 | (36.1–41.6) | 36.9 | (33.1–40.7) | 41.0 | (36.9–45.1) |
| Outpatient surgery | 38.0 | (35.3–40.8) | 31.7 | (28.1–35.3) | 45.4 | (41.2–49.6) |
| Administrative position | 24.3 | (22.0–26.9) | 22.2 | (19.0–25.4) | 26.9 | (23.2–30.6) |
| Teaching and research | 26.4 | (23.9–28.9) | 28.2 | (24.7–31.7) | 24.3 | (20.7–27.9) |
| Hours worked per week 1 (Median, Q1–Q3) | ||||||
| Increased | 20 | (10–30) | 18 | (10–24) | 24 | (12–33) |
| Decreased | 12 | (8–20) | 12 | (10–20) | 12 | (8–20) |
| Earnings (in Brazilian Reais) 2 (Median, Q1–Q3) | ||||||
| Increased | 6000 | (5000–10,000) | 5000 | (4000–10,000) | 9000 | (5000–10,000) |
| Decreased | 8000 | (5000–10,000) | 8000 | (5000–10,000) | 8000 | (5000–12,000) |
| Characteristics | Total (n = 1181) | SP (n = 632) 53.4% (50.6–56.3) | MA (n = 551) 46.6% (43.7–49.4) | ||||
|---|---|---|---|---|---|---|---|
| % | CI 95% | % | CI 95% | % | CI 95% | ||
| Public | Hours worked | ||||||
| Increased | 37.9 | (31.7–44.1) | 27.8 | (22.0–33.6) | 44.4 | (38.0–50.8) | |
| Reduced | 16.0 | (11.3–20.7) | 17.8 | (12.9–22.7) | 14.8 | (10.2–19.4) | |
| Remained the same | 46.1 | (39.7–52.5) | 54.4 | (48.0–60.1) | 40.8 | (34.5–47.1) | |
| Private | Increased | 19.6 | (14.3–24.9) | 20.7 | (15.3–26.1) | 15.5 | (10.7–20.3) |
| Reduced | 48.4 | (41.8–55.0) | 48.3 | (41.7–54.9) | 48.9 | (42.3–55.5) | |
| Remained the same | 32.0 | (25.8–38.2) | 31.0 | (24.9–37.1) | 35.6 | (29.3–41.9) | |
| Double practice | Increased | 33.6 | (30.2–37.0) | 33.2 | (29.8–36.6) | 33.9 | (30.5–37.3) |
| Reduced | 31.2 | (27.8–34.6) | 31.1 | (27.7–34.5) | 31.4 | (28.0–34.8) | |
| Remained the same | 35.2 | (31.7–38.6) | 35.7 | (32.2–39.2) | 34.7 | (31.2–38.2) | |
| Total | Increased | 31.9 | (29.2–34.5) | 29.0 | (25.4–32.5) | 35.2 | (31.2–39.2) |
| Reduced | 31.3 | (28.7–34.0) | 33.8 | (30.2–37.6) | 28.5 | (24.7–32.2) | |
| Remained the same | 36.8 | (34.0–39.5) | 37.2 | (33.4–41.0) | 36.3 | (32.3–40.3) | |
| Characteristics | Total (n = 1181) | SP (n = 632) 53.4% (50.6–56.3) | MA (n = 551) 46.6% (43.7–49.4) | ||||
|---|---|---|---|---|---|---|---|
| % | 95% CI | % | 95% CI | % | 95% CI | ||
| Public | Hours worked | ||||||
| Increased | 24.1 | (18.6–29.6) | 14.4 | (9.8–19.0) | 30.3 | (24.4–36.2) | |
| Reduced | 21.6 | (16.3–26.9) | 23.3 | (17.9–28.7) | 20.4 | (15.2–25.6) | |
| Remained the same | 54.3 | (47.9–60.7) | 62.2 | (56.0–68.4) | 49.3 | (42.9–55.7) | |
| Private | Increased | 12.3 | (6.7–17.8) | 12.1 | (6.6–17.6) | 13.3 | (8.8–17.8) |
| Reduced | 52.5 | (45.6–58.8) | 52.9 | (46.3–59.9) | 51.1 | (44.5–57.7) | |
| Remained the same | 35.2 | (28.9–41.5) | 35.1 | (28.8–41.4) | 35.6 | (29.3–41.9) | |
| Double practice | Increased | 19.7 | (16.8–22.6) | 19.4 | (16.5–22.3) | 20.0 | (17.1–22.9) |
| Reduced | 41.5 | (37.9–45.1) | 40.3 | (36.7–43.9) | 42.8 | (39.2–46.4) | |
| Remained the same | 38.8 | (35.3–42.3) | 40.3 | (36.7–43.9) | 37.2 | (33.7–40.7) | |
| Total | Increased | 19.2 | (16.9–21.4) | 16.8 | (13.9–19.7) | 22.0 | (18.5–25.4) |
| Reduced | 39.5 | (36.7–42.3) | 41.3 | (37.4–45.1) | 37.4 | (33.3–41.4) | |
| Remained the same | 41.3 | (38.5–44.1) | 41.9 | (38.1–45.8) | 40.7 | (36.5–44.8) | |
Publisher’s Note: MDPI stays neutral with regard to jurisdictional claims in published maps and institutional affiliations. |
© 2022 by the authors. Licensee MDPI, Basel, Switzerland. This article is an open access article distributed under the terms and conditions of the Creative Commons Attribution (CC BY) license (https://creativecommons.org/licenses/by/4.0/).
Share and Cite
de Oliveira, B.L.C.A.; Andrietta, L.S.; Reis, R.S.; de Carvalho, R.H.d.S.B.F.; de Britto e Alves, M.T.S.S.; Scheffer, M.C.; Russo, G. The Impact of the COVID-19 Pandemic on Physicians’ Working Hours and Earnings in São Paulo and Maranhão States, Brazil. Int. J. Environ. Res. Public Health 2022, 19, 10085. https://doi.org/10.3390/ijerph191610085
de Oliveira BLCA, Andrietta LS, Reis RS, de Carvalho RHdSBF, de Britto e Alves MTSS, Scheffer MC, Russo G. The Impact of the COVID-19 Pandemic on Physicians’ Working Hours and Earnings in São Paulo and Maranhão States, Brazil. International Journal of Environmental Research and Public Health. 2022; 19(16):10085. https://doi.org/10.3390/ijerph191610085
Chicago/Turabian Stylede Oliveira, Bruno Luciano Carneiro Alves, Lucas Salvador Andrietta, Regimarina Soares Reis, Ruth Helena de Souza Britto Ferreira de Carvalho, Maria Teresa Seabra Soares de Britto e Alves, Mário César Scheffer, and Giuliano Russo. 2022. "The Impact of the COVID-19 Pandemic on Physicians’ Working Hours and Earnings in São Paulo and Maranhão States, Brazil" International Journal of Environmental Research and Public Health 19, no. 16: 10085. https://doi.org/10.3390/ijerph191610085
APA Stylede Oliveira, B. L. C. A., Andrietta, L. S., Reis, R. S., de Carvalho, R. H. d. S. B. F., de Britto e Alves, M. T. S. S., Scheffer, M. C., & Russo, G. (2022). The Impact of the COVID-19 Pandemic on Physicians’ Working Hours and Earnings in São Paulo and Maranhão States, Brazil. International Journal of Environmental Research and Public Health, 19(16), 10085. https://doi.org/10.3390/ijerph191610085

