Outdoor Air Pollution and Indoor Window Condensation Associated with Childhood Symptoms of Allergic Rhinitis to Pollen
Abstract
:1. Introduction
2. Materials and Methods
2.1. Study Protocol and Questionnaire
2.2. Exposure Windows
2.3. Exposure to Indoor Environmental Factors
2.4. Exposure to Outdoor Air Pollution
2.5. Health Outcome
2.6. Confounding Covariates
2.7. Statistical Analysis
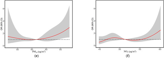
3. Results
4. Discussion
5. Conclusions
Supplementary Materials
Author Contributions
Funding
Institutional Review Board Statement
Informed Consent Statement
Data Availability Statement
Acknowledgments
Conflicts of Interest
References
- Li, R.-L.; Ho, Y.-C.; Luo, C.-W.; Lee, S.-S.; Kuan, Y.-H. Influence of PM2.5 Exposure Level on the Association between Alzheimer’s Disease and Allergic Rhinitis: A National Population-Based Cohort Study. Int. J. Environ. Res. Public Health 2019, 16, 3357. [Google Scholar] [CrossRef] [Green Version]
- Izquierdo-Domínguez, A.; Valero, A.L.; Mullol, J. Comparative analysis of allergic rhinitis in children and adults. Curr. Allergy Asthma Rep. 2013, 13, 142–151. [Google Scholar] [CrossRef] [PubMed]
- Zhang, Y.; Li, B.; Huang, C.; Yang, X.; Qian, H.; Deng, Q.; Zhao, Z.; Li, A.; Zhao, J.; Zhang, X.; et al. Ten cities cross-sectional questionnaire survey of children asthma and other allergies in China. Chin. Sci. Bull. 2013, 58, 4182–4189. [Google Scholar] [CrossRef] [Green Version]
- Greiner, A.N.; Hellings, P.W.; Rotiroti, G.; Scadding, G.K. Allergic rhinitis. Lancet 2011, 378, 2112–2122. [Google Scholar] [CrossRef]
- Yin, S.; Shen, Z.; Zhou, P.; Zou, X.; Che, S.; Wang, W. Quantifying air pollution attenuation within urban parks: An experimental approach in Shanghai, China. Environ. Pollut. 2011, 159, 2155–2163. [Google Scholar] [CrossRef] [PubMed]
- Saif, N.T.; Kleiner, G.I.; Forster, L.Q.; Hershorin, E.R.; Colin, A.A.; Mirsaeidi, M.; Kumar, N. Allergies, Allergic Comorbidities and the Home Environment in Pediatric Asthma in Southern Florida. Int. J. Environ. Res. Public Health 2021, 18, 4142. [Google Scholar] [CrossRef]
- Sun, L.; Chen, J.; Li, Q.; Huang, D. Dramatic uneven urbanization of large cities throughout the world in recent decades. Nat. Commun. 2020, 11, 5366. [Google Scholar] [CrossRef] [PubMed]
- Basu, S.; Nagendra, H. Perceptions of park visitors on access to urban parks and benefits of green spaces. Urban For. Urban Green. 2021, 57, 126959. [Google Scholar] [CrossRef]
- D’Amato, G.; Cecchi, L.; D’Amato, M.; Liccardi, G. Urban Air Pollution and Climate Change as Environmental Risk Factors of Respiratory Allergy: An Update. J. Investig. Allergol. Clin. Immunol. 2010, 20, 95–102. [Google Scholar]
- Gisler, A. Allergies in Urban Areas on the Rise: The Combined Effect of Air Pollution and Pollen. Int. J. Public Health 2021, 66, 1604022. [Google Scholar] [CrossRef]
- Sedghy, F.; Varasteh, A.-R.; Sankian, M.; Moghadam, M. Interaction between Air Pollutants and Pollen Grains: The Role on the Rising Trend in Allergy. Rep. Biochem. Mol. Biol. 2018, 6, 219–224. [Google Scholar] [PubMed]
- Lin, L.S.; Li, T.Y.; Sun, M.Q.; Liang, Q.Q.; Ma, Y.X.; Wang, F.H.; Duan, J.C.; Sun, Z.W. Effect of particulate matter exposure on the prevalence of allergic rhinitis in children: A systematic review and meta-analysis. Chemosphere 2021, 268, 128841. [Google Scholar] [CrossRef] [PubMed]
- Lu, C.; Deng, Q.H.; Ou, C.Y.; Liu, W.W.; Sundell, J. Effects of ambient air pollution on allergic rhinitis among preschool children in Changsha, China. Chin. Sci. Bull. 2013, 58, 4252–4258. [Google Scholar] [CrossRef] [Green Version]
- Saxon, A.; Diaz-Sanchez, D. Air pollution and allergy: You are what you breathe. Nat. Immunol. 2005, 6, 223–226. [Google Scholar] [CrossRef] [PubMed]
- Zou, Q.Y.; Shen, Y.; Ke, X.; Hong, S.L.; Kang, H.Y. Exposure to air pollution and risk of prevalence of childhood allergic rhinitis: A meta-analysis. Int. J. Pediatric Otorhinolaryngol. 2018, 112, 82–90. [Google Scholar] [CrossRef]
- Mariani, J.; Iodice, S.; Cantone, L.; Solazzo, G.; Marraccini, P.; Conforti, E.; Bulsara, P.A.; Lombardi, M.S.; Howlin, R.P.; Bollati, V.; et al. Particulate Matter Exposure and Allergic Rhinitis: The Role of Plasmatic Extracellular Vesicles and Bacterial Nasal Microbiome. Int. J. Environ. Res. Public Health 2021, 18, 10689. [Google Scholar] [CrossRef]
- Fuertes, E.; Markevych, I.; Bowatte, G.; Gruzieva, O.; Gehring, U.; Becker, A.; Berdel, D.; von Berg, A.; Bergstrom, A.; Brauer, M.; et al. Residential greenness is differentially associated with childhood allergic rhinitis and aeroallergen sensitization in seven birth cohorts. Allergy 2016, 71, 1461–1471. [Google Scholar] [CrossRef] [Green Version]
- Markevych, I.; Ludwig, R.; Baumbach, C.; Standl, M.; Heinrich, J.; Herberth, G.; de Hoogh, K.; Pritsch, K.; Weikl, F. Residing near allergenic trees can increase risk of allergies later in life: LISA Leipzig study. Environ. Res. 2020, 191, 110132. [Google Scholar] [CrossRef]
- Senechal, H.; Visez, N.; Charpin, D.; Shahali, Y.; Peltre, G.; Biolley, J.-P.; Lhuissier, F.; Couderc, R.; Yamada, O.; Malrat-Domenge, A.; et al. A Review of the Effects of Major Atmospheric Pollutants on Pollen Grains, Pollen Content, and Allergenicity. Sci. World J. 2015, 2015, 940243. [Google Scholar] [CrossRef] [Green Version]
- Melen, E.; Standl, M.; Gehring, U.; Altug, H.; Anto, J.M.; Berdel, D.; Bergstrom, A.; Bousquet, J.; Heinrich, J.; Koppelman, G.H.; et al. Air pollution and IgE sensitization in 4 European birth cohorts-the MeDALL project. J. Allergy Clin. Immunol. 2021, 147, 713–722. [Google Scholar] [CrossRef]
- Morgenstern, V.; Zutavern, A.; Cyrys, J.; Brockow, I.; Koletzko, S.; Kramer, U.; Behrendt, H.; Herbarth, O.; von Berg, A.; Bauer, C.P.; et al. Atopic diseases, allergic sensitization, and exposure to traffic-related air pollution in children. Am. J. Respir. Crit. Care Med. 2008, 177, 1331–1337. [Google Scholar] [CrossRef] [PubMed]
- Parker, J.D.; Akinbami, L.J.; Woodruff, T.J. Air Pollution and Childhood Respiratory Allergies in the United States. Environ. Health Perspect. 2009, 117, 140–147. [Google Scholar] [CrossRef] [PubMed]
- Svartengren, M.; Strand, V.; Bylin, G.; Jarup, L.; Pershagen, G. Short-term exposure to air pollution in a road tunnel enhances the asthmatic response to allergen. Eur. Respir. J. 2000, 15, 716–724. [Google Scholar] [CrossRef] [Green Version]
- Babu, P.; Suthar, G. Indoor Air Quality and Thermal Comfort in Green Building: A Study for Measurement, Problem and Solution Strategies; Indoor Environmental Quality; Sharma, A., Goyal, R., Mittal, R., Eds.; Springer: Singapore, 2020; pp. 139–146. [Google Scholar]
- Norback, D.; Lu, C.; Wang, J.; Zhang, Y.P.; Li, B.Z.; Zhao, Z.H.; Huang, C.; Zhang, X.; Qian, H.; Sun, Y.X.; et al. Asthma and rhinitis among Chinese children—Indoor and outdoor air pollution and indicators of socioeconomic status (SES). Environ. Int. 2018, 115, 1–8. [Google Scholar] [CrossRef] [PubMed]
- Deng, Q.; Lu, C.; Ou, C.; Chen, L.; Yuan, H. Preconceptional, prenatal and postnatal exposure to outdoor and indoor environmental factors on allergic diseases/symptoms in preschool children. Chemosphere 2016, 152, 459–467. [Google Scholar] [CrossRef]
- Tischer, C.; Chen, C.M.; Heinrich, J. Association between domestic mould and mould components, and asthma and allergy in children: A systematic review. Eur. Respir. J. 2011, 38, 812–824. [Google Scholar] [CrossRef] [PubMed] [Green Version]
- Wang, J.; Zhao, Z.; Zhang, Y.; Li, B.; Huang, C.; Zhang, X.; Deng, Q.; Lu, C.; Qian, H.; Yang, X.; et al. Asthma, allergic rhinitis and eczema among parents of preschool children in relation to climate, and dampness and mold in dwellings in China. Environ. Int. 2019, 130, 104910. [Google Scholar] [CrossRef]
- Ellie, A.S.; Sun, Y.; Hou, J.; Wang, P.; Zhang, Q.; Sundell, J. Prevalence of Childhood Asthma and Allergies and Their Associations with Perinatal Exposure to Home Environmental Factors: A Cross-Sectional Study in Tianjin, China. Int. J. Environ. Res. Public Health 2021, 18, 4131. [Google Scholar] [CrossRef]
- Norbäck, D.; Lampa, E.; Engvall, K. Asthma, allergy and eczema among adults in multifamily houses in Stockholm (3-HE study)-Associations with building characteristics, home environment and energy use for heating. PLoS ONE 2014, 9, e112960. [Google Scholar] [CrossRef]
- Takaoka, M.; Suzuki, K.; Norbäck, D. The home environment of junior high school students in Hyogo, Japan–associations with asthma, respiratory health and reported allergies. Indoor Built Environ. 2016, 25, 81–92. [Google Scholar] [CrossRef]
- Hu, M.M.; Wang, Y.F.; Wang, S.; Jiao, M.Y.; Huang, G.H.; Xia, B.C. Spatial-temporal heterogeneity of air pollution and its relationship with meteorological factors in the Pearl River Delta, China. Atmos. Environ. 2021, 254, 118415. [Google Scholar] [CrossRef]
- Tao, M.H.; Gui, L.; Li, R.; Wang, L.L.; Liang, S.W.; Li, Q.J.; Wang, L.C.; Yu, C.; Chen, L.F. Tracking prevailing dust aerosol over the air pollution in central China with integrated satellite and ground observations. Atmos. Environ. 2021, 253, 118369. [Google Scholar] [CrossRef]
- Lopes, D.; Ferreira, J.; Hoi, K.I.; Yuen, K.-V.; Mok, K.M.; Miranda, A.I. Emission Inventories and Particulate Matter Air Quality Modeling over the Pearl River Delta Region. Int. J. Environ. Res. Public Health 2021, 18, 4155. [Google Scholar] [CrossRef] [PubMed]
- Zeng, Y.Y.; Cao, Y.F.; Qiao, X.; Seyler, B.C.; Tang, Y. Air pollution reduction in China: Recent success but great challenge for the future. Sci. Total Environ. 2019, 663, 329–337. [Google Scholar] [CrossRef]
- Deng, Q.; Lu, C.; Li, Y.; Sundell, J.; Norbäck, D. Exposure to outdoor air pollution during trimesters of pregnancy and childhood asthma, allergic rhinitis, and eczema. Environ. Res. 2016, 150, 119–127. [Google Scholar] [CrossRef]
- Asher, M.I.; Montefort, S.; Björkstén, B.; Lai, C.K.; Strachan, D.P.; Weiland, S.K.; Williams, H.; the ISAAC Phase Three Study Group. Worldwide time trends in the prevalence of symptoms of asthma, allergic rhinoconjunctivitis, and eczema in childhood: ISAAC Phases One and Three repeat multicountry cross-sectional surveys. Lancet 2006, 368, 733–743. [Google Scholar] [CrossRef]
- Bornehag, C.-G.; Sundell, J.; Sigsgaard, T. Dampness in buildings and health (DBH): Report from an ongoing epidemiological investigation on the association between indoor environmental factors and health effects among children in Sweden. Indoor Air 2004, 14, 59–66. [Google Scholar] [CrossRef]
- Deng, Q.; Lu, C.; Norbäck, D.; Bornehag, C.-G.; Zhang, Y.; Liu, W.; Yuan, H.; Sundell, J. Early life exposure to ambient air pollution and childhood asthma in China. Environ. Res. 2015, 143, 83–92. [Google Scholar] [CrossRef]
- Bekö, G.; Toftum, J.; Clausen, G. Modeling ventilation rates in bedrooms based on building characteristics and occupant behavior. Build. Environ. 2011, 46, 2230–2237. [Google Scholar] [CrossRef]
- Sun, Y.; Hou, J.; Sheng, Y.; Kong, X.; Weschler, L.B.; Sundell, J. Modern life makes children allergic. A cross-sectional study: Associations of home environment and lifestyles with asthma and allergy among children in Tianjin region, China. Int. Arch. Occup. Environ. Health 2019, 92, 587–598. [Google Scholar] [CrossRef]
- Pfaar, O.; Karatzas, K.; Bastl, K.; Berger, U.; Buters, J.; Darsow, U.; Demoly, P.; Durham, S.R.; Galan, C.; Gehrig, R.; et al. Pollen season is reflected on symptom load for grass and birch pollen-induced allergic rhinitis in different geographic areas-An EAACI Task Force Report. Allergy 2020, 75, 1099–1106. [Google Scholar] [CrossRef] [PubMed] [Green Version]
- Wang, J.; Li, B.Z.; Yu, W.; Yang, Q.; Wang, H.; Huang, D.C.; Sundell, J.; Norback, D. Rhinitis Symptoms and Asthma among Parents of Preschool Children in Relation to the Home Environment in Chongqing, China. PLoS ONE 2014, 9, e94731. [Google Scholar] [CrossRef] [PubMed]
- Zhang, Y.; Zhang, L. Prevalence of Allergic Rhinitis in China. Allergy Asthma Immunol. Res. 2014, 6, 105–113. [Google Scholar] [CrossRef] [PubMed] [Green Version]
- Forkel, S.; Beutner, C.; Heetfeld, A.; Fuchs, T.; Schoen, M.P.; Geier, J.; Buhl, T. Allergic Rhinitis to Weed Pollen in Germany: Dominance by Plantain, Rising Prevalence, and Polysensitization Rates over 20 Years. Int. Arch. Allergy Immunol. 2020, 181, 128–135. [Google Scholar] [CrossRef]
- Kim, J.-H.; Oh, J.-W.; Lee, H.-B.; Kim, S.-W.; Kang, I.-J.; Kook, M.-H.; Kim, B.-S.; Park, K.-S.; Baek, H.-S.; Kim, K.-R.; et al. Changes in Sensitization Rate to Weed Allergens in Children with Increased Weeds Pollen Counts in Seoul Metropolitan Area. J. Korean Med. Sci. 2012, 27, 350–355. [Google Scholar] [CrossRef] [Green Version]
- Kim, H.; Park, Y.; Park, K.; Yoo, B. Association between Pollen Risk Indexes, Air Pollutants, and Allergic Diseases in Korea. Osong Public Health Res. Perspect. 2016, 7, 172–179. [Google Scholar] [CrossRef] [Green Version]
- Burr, M.L.; Emberlin, J.C.; Treu, R.; Cheng, S.; Pearce, N.E.; the ISAAC Phase One Study Group. Pollen counts in relation to the prevalence of allergic rhinoconjunctivitis, asthma and atopic eczema in the International Study of Asthma and Allergies in Childhood (ISAAC). Clin. Exp. Allergy 2003, 33, 1675–1680. [Google Scholar] [CrossRef] [Green Version]
- D’Amato, G.; Cecchi, L.; Bonini, S.; Nunes, C.; Annesi-Maesano, I.; Behrendt, H.; Liccardi, G.; Popov, T.; van Cauwenberge, P. Allergenic pollen and pollen allergy in Europe. Allergy 2007, 62, 976–990. [Google Scholar] [CrossRef]
- de Weger, L.A.; Bergmann, K.C.; Rantio-Lehtimäki, A.; Dahl, Å.; Buters, J.; Déchamp, C.; Belmonte, J.; Thibaudon, M.; Cecchi, L.; Besancenot, J.-P.; et al. Impact of Pollen. In Allergenic Pollen: A Review of the Production, Release, Distribution and Health Impacts; Sofiev, M., Bergmann, K.-C., Eds.; Springer: Dordrecht, The Netherlands, 2013; pp. 161–215. [Google Scholar]
- Peccia, J.; Kwan, S.E. Buildings, Beneficial Microbes, and Health. Trends Microbiol. 2016, 24, 595–597. [Google Scholar] [CrossRef]
- Nazaroff, W.W. Indoor bioaerosol dynamics. Indoor Air 2016, 26, 61–78. [Google Scholar] [CrossRef]
- Bloomfield, S.F.; Rook, G.A.W.; Scott, E.A.; Shanahan, F.; Stanwell-Smith, R.; Turner, P. Time to abandon the hygiene hypothesis: New perspectives on allergic disease, the human microbiome, infectious disease prevention and the role of targeted hygiene. Perspect. Public Health 2016, 136, 213–224. [Google Scholar] [CrossRef]
- Haahtela, T. A biodiversity hypothesis. Allergy 2019, 74, 1445–1456. [Google Scholar] [CrossRef] [Green Version]



| n | Case | Prevalence (%) | p-Value | |
|---|---|---|---|---|
| Total | 2598 | 318 | 12.2 | — |
| Sex | ||||
| Boys | 1399 | 181 | 12.9 | 0.246 |
| Girls | 1199 | 137 | 11.4 | |
| Age (years) | ||||
| 3 | 665 | 82 | 12.3 | 0.898 |
| 4 | 952 | 114 | 12.0 | |
| 5 | 815 | 104 | 12.8 | |
| 6 | 166 | 18 | 10.8 | |
| Birth season | ||||
| Warm (May–September) | 1152 | 149 | 12.9 | 0.327 |
| Cold (October–April) | 1446 | 169 | 11.7 | |
| Breast-feeding | ||||
| No | 222 | 26 | 11.7 | 0.807 |
| Yes | 2376 | 292 | 12.3 | |
| Antibiotics used | ||||
| No | 432 | 42 | 9.7 | 0.059 |
| Yes | 2115 | 273 | 12.9 | |
| Parental atopy | ||||
| No | 2332 | 262 | 11.2 | <0.001 |
| Yes | 266 | 56 | 21.1 | |
| Environmental tobacco smoke (ETS) at home | ||||
| No | 864 | 96 | 11.1 | 0.217 |
| Yes | 1734 | 222 | 12.8 | |
| Incense used | ||||
| No | 1845 | 204 | 11.1 | 0.005 |
| Yes | 705 | 107 | 15.2 | |
| Visible mold/damp stains | ||||
| No | 1985 | 227 | 11.4 | 0.027 |
| Yes | 606 | 90 | 14.9 | |
| Window condensation in winter | ||||
| No | 1175 | 116 | 9.9 | <0.001 |
| Yes | 1369 | 201 | 14.7 | |
| Air humidifier | ||||
| No | 2095 | 263 | 12.6 | 0.316 |
| Yes | 277 | 41 | 14.8 | |
| Cockroaches | ||||
| No | 827 | 97 | 11.7 | 0.487 |
| Yes | 1653 | 210 | 12.7 | |
| Household pets | ||||
| No | 2300 | 292 | 12.7 | 0.061 |
| Yes | 294 | 26 | 8.8 | |
| Crude OR | Adjusted OR # | |
|---|---|---|
| 1 year before conception | ||
| PM10 | 0.97 (0.82–1.16) | 1.01 (0.72–1.42) |
| SO2 | 1.02 (0.85–1.22) | 1.11 (0.91–1.36) |
| NO2 | 1.02 (0.84–1.23) | 1.10 (0.88–1.39) |
| Prenatal | ||
| 1st trimester | ||
| PM10 | 1.08 (0.93–1.24) | 1.09 (0.89–1.33) |
| SO2 | 1.11 (0.98–1.26) | 1.18 (1.02–1.37) * |
| NO2 | 1.07 (0.90–1.27) | 1.09 (0.87–1.37) |
| 2nd trimester | ||
| PM10 | 0.92 (0.80–1.06) | 0.91 (0.77–1.07) |
| SO2 | 1.05 (0.94–1.18) | 1.08 (0.95–1.24) |
| NO2 | 0.98 (0.84–1.16) | 0.97 (0.79–1.20) |
| 3rd trimester | ||
| PM10 | 0.92 (0.81–1.05) | 0.89 (0.74–1.06) |
| SO2 | 0.93 (0.81–1.07) | 0.99 (0.83–1.17) |
| NO2 | 0.94 (0.79–1.11) | 0.98 (0.80–1.20) |
| Entire pregnancy | ||
| PM10 | 0.94 (0.83–1.08) | 0.89 (0.72–1.09) |
| SO2 | 1.05 (0.89–1.23) | 1.16 (0.95–1.41) |
| NO2 | 0.99 (0.83–1.19) | 1.02 (0.82–1.28) |
| Current | ||
| PM10 | 0.94 (0.83–1.08) | 1.16 (0.90–1.51) |
| SO2 | 1.05 (0.89–1.23) | 1.24 (0.99–1.56) |
| NO2 | 0.99 (0.83–1.19) | 1.07 (0.81–1.41) |
| SAR to Pollen | ||||
|---|---|---|---|---|
| Spring | Summer | Autumn | Winter | |
| 1 year before conception | ||||
| PM10 | 1.32 (0.86–2.03) | 0.88 (0.43–1.81) | 1.06 (0.55–2.06) | 0.67 (0.27–1.65) |
| SO2 | 0.98 (0.76–1.26) | 0.93 (0.61–1.43) | 1.60 (1.08–2.37) ** | 1.16 (0.65–2.07) |
| NO2 | 0.91 (0.68–1.21) | 1.10 (0.68–1.77) | 1.72 (1.10, 2.71) ** | 1.28 (0.66–2.45) |
| Prenatal | ||||
| 1st trimester | ||||
| PM10 | 1.02 (0.78–1.33) | 1.33 (0.87–2.05) | 1.05 (0.70–1.58) | 0.98 (0.56–1.72) |
| SO2 | 1.06 (0.85–1.33) | 1.22 (0.86–1.73) | 1.42 (1.02–1.96) ** | 1.57 (0.97–2.54) |
| NO2 | 0.85 (0.62–1.17) | 1.01 (0.60–1.70) | 1.56 (0.96, 2.54) | 1.22 (0.58–2.55) |
| 2nd trimester | ||||
| PM10 | 0.93 (0.73–1.19) | 0.91 (0.61–1.37) | 0.98 (0.67–1.44) | 0.82 (0.48–1.42) |
| SO2 | 1.13 (0.93–1.38) | 1.05 (0.77–1.45) | 1.35 (1.03–1.77) ** | 1.30 (0.87–1.92) |
| NO2 | 0.86 (0.64–1.15) | 0.81 (0.49–1.34) | 1.60 (1.02–2.49) ** | 1.20 (0.62–2.33) |
| 3rd trimester | ||||
| PM10 | 0.89 (0.70–1.13) | 0.93 (0.63–1.39) | 0.83 (0.57–1.22) | 0.45 (0.25–0.82) ** |
| SO2 | 1.07 (0.83–1.38) | 0.78 (0.49–1.23) | 1.17 (0.81–1.69) | 0.96 (0.58–1.60) |
| NO2 | 0.90 (0.67–1.21) | 0.74 (0.45–1.21) | 1.90 (1.22–2.96) ** | 0.88 (0.46–1.69) |
| Entire pregnancy | ||||
| PM10 | 0.87 (0.66–1.15) | 1.04 (0.65–1.65) | 0.91 (0.59–1.40) | 0.48 (0.26–0.90) ** |
| SO2 | 1.13 (0.87–1.47) | 1.06 (0.69–1.62) | 1.49 (1.01–2.20) ** | 1.33 (0.76–2.33) |
| NO2 | 0.86 (0.64–1.14) | 0.87 (0.54–1.41) | 1.82 (1.17–2.83) ** | 1.02 (0.53–1.95) |
| Current | ||||
| PM10 | 0.99 (0.71–1.37) | 1.14 (0.66–1.96) | 1.78 (1.07–2.96) ** | 1.11 (0.53–2.33) |
| SO2 | 1.13 (0.86–1.51) | 1.37 (0.85–2.22) | 1.49 (0.94–2.37) | 0.96 (0.51–1.82) |
| NO2 | 0.86 (0.60–1.23) | 1.06 (0.59–1.92) | 1.94 (1.11–3.40) ** | 1.21 (0.54–2.72) |
| n | Case | (%) | Crude OR | Adjusted OR # | |
|---|---|---|---|---|---|
| Prenatal | |||||
| ETS at home | 1252 | 157 | (12.5) | 1.04 (0.83–1.32) | 1.10 (0.85–1.42) |
| New furniture | 338 | 46 | (13.6) | 1.17 (0.83–1.65) | 1.07 (0.73–1.56) |
| House redecoration | 139 | 18 | (12.9) | 1.07 (0.64–1.80) | 1.01 (0.58–1.77) |
| Visible mold/damp stains | 435 | 63 | (14.5) | 1.26 (0.93–1.69) | 1.19 (0.85–1.65) |
| Window condensation | 1222 | 181 | (14.8) | 1.54 (1.21–1.96) *** | 1.37 (1.05–1.77) * |
| Postnatal | |||||
| ETS at home | 1734 | 222 | (12.8) | 1.17 (0.91–1.52) | 1.32 (0.99–1.74) |
| New furniture | 980 | 136 | (13.9) | 1.26 (0.99–1.60) | 1.22 (0.94–1.59) |
| House redecoration | 499 | 67 | (13.4) | 1.14 (0.85–1.52) | 1.13 (0.82–1.55) |
| Visible mold/damp stains | 308 | 49 | (15.9) | 1.41 (1.01–1.96) * | 1.23 (0.85–1.79) |
| Window condensation | 869 | 139 | (16.0) | 1.52 (1.15–2.02) ** | 1.38 (1.02–1.88) * |
Publisher’s Note: MDPI stays neutral with regard to jurisdictional claims in published maps and institutional affiliations. |
© 2022 by the authors. Licensee MDPI, Basel, Switzerland. This article is an open access article distributed under the terms and conditions of the Creative Commons Attribution (CC BY) license (https://creativecommons.org/licenses/by/4.0/).
Share and Cite
Liu, Y.; Lu, C.; Li, Y.; Norbäck, D.; Deng, Q. Outdoor Air Pollution and Indoor Window Condensation Associated with Childhood Symptoms of Allergic Rhinitis to Pollen. Int. J. Environ. Res. Public Health 2022, 19, 8071. https://doi.org/10.3390/ijerph19138071
Liu Y, Lu C, Li Y, Norbäck D, Deng Q. Outdoor Air Pollution and Indoor Window Condensation Associated with Childhood Symptoms of Allergic Rhinitis to Pollen. International Journal of Environmental Research and Public Health. 2022; 19(13):8071. https://doi.org/10.3390/ijerph19138071
Chicago/Turabian StyleLiu, Yingjie, Chan Lu, Yuguo Li, Dan Norbäck, and Qihong Deng. 2022. "Outdoor Air Pollution and Indoor Window Condensation Associated with Childhood Symptoms of Allergic Rhinitis to Pollen" International Journal of Environmental Research and Public Health 19, no. 13: 8071. https://doi.org/10.3390/ijerph19138071
APA StyleLiu, Y., Lu, C., Li, Y., Norbäck, D., & Deng, Q. (2022). Outdoor Air Pollution and Indoor Window Condensation Associated with Childhood Symptoms of Allergic Rhinitis to Pollen. International Journal of Environmental Research and Public Health, 19(13), 8071. https://doi.org/10.3390/ijerph19138071

