The Multi-Sites Trial on the Effects of Therapeutic Gardening on Mental Health and Well-Being
Abstract
1. Introduction
2. Materials and Methods
2.1. Participants
2.2. Procedure
2.3. Measures
2.3.1. Mental Health Screening Tool for Depressive Disorders
2.3.2. Mental Health Screening Tool for Anxiety Disorders
2.3.3. Engagement in Daily Activity Scale
2.3.4. Korean Version of World Health Organization Quality of Life–Brief
2.3.5. Korean Version of Mindful Attention Awareness Scale
2.4. Statistical Analysis
3. Results
3.1. The Effects of Therapeutic Gardening
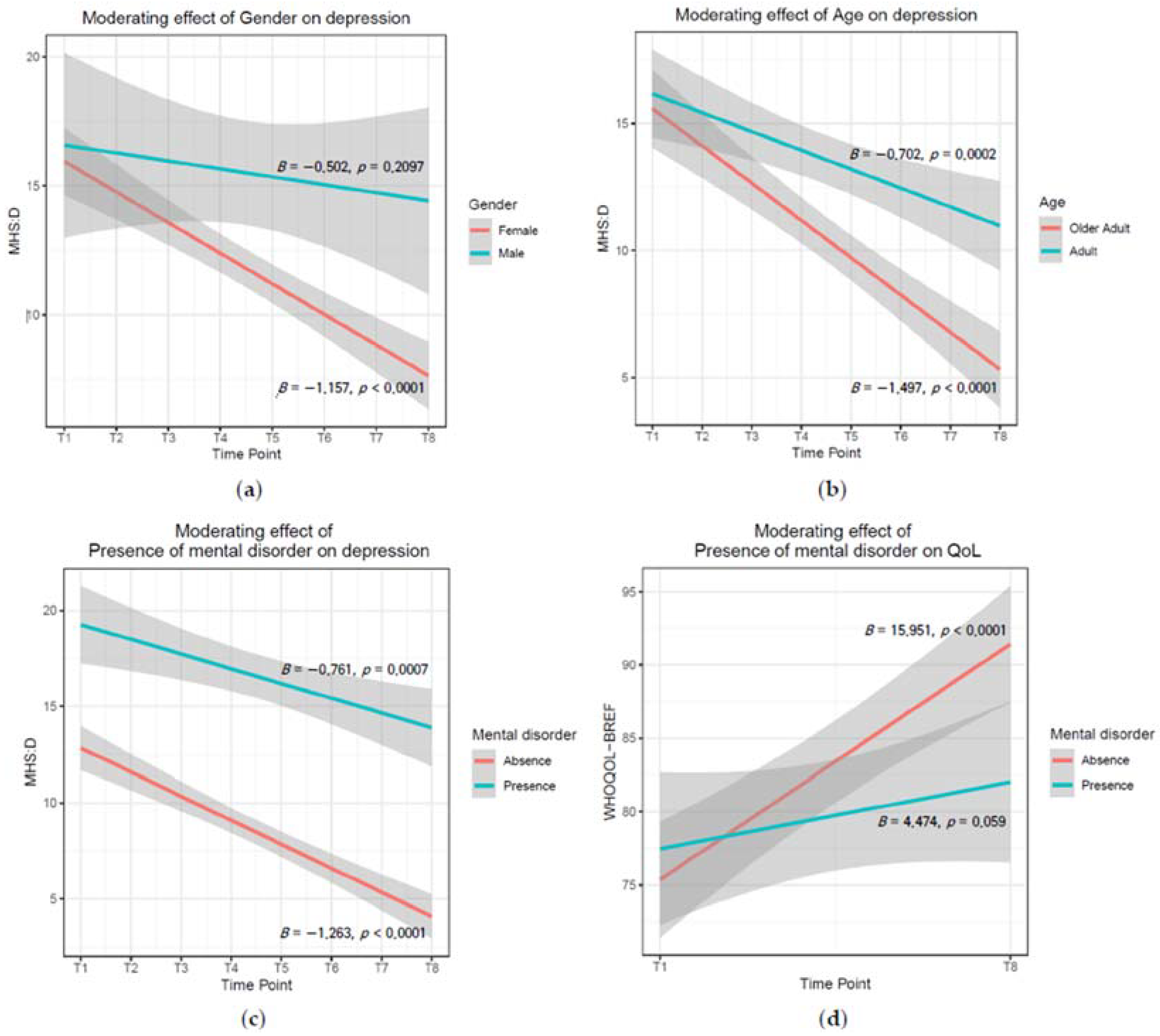
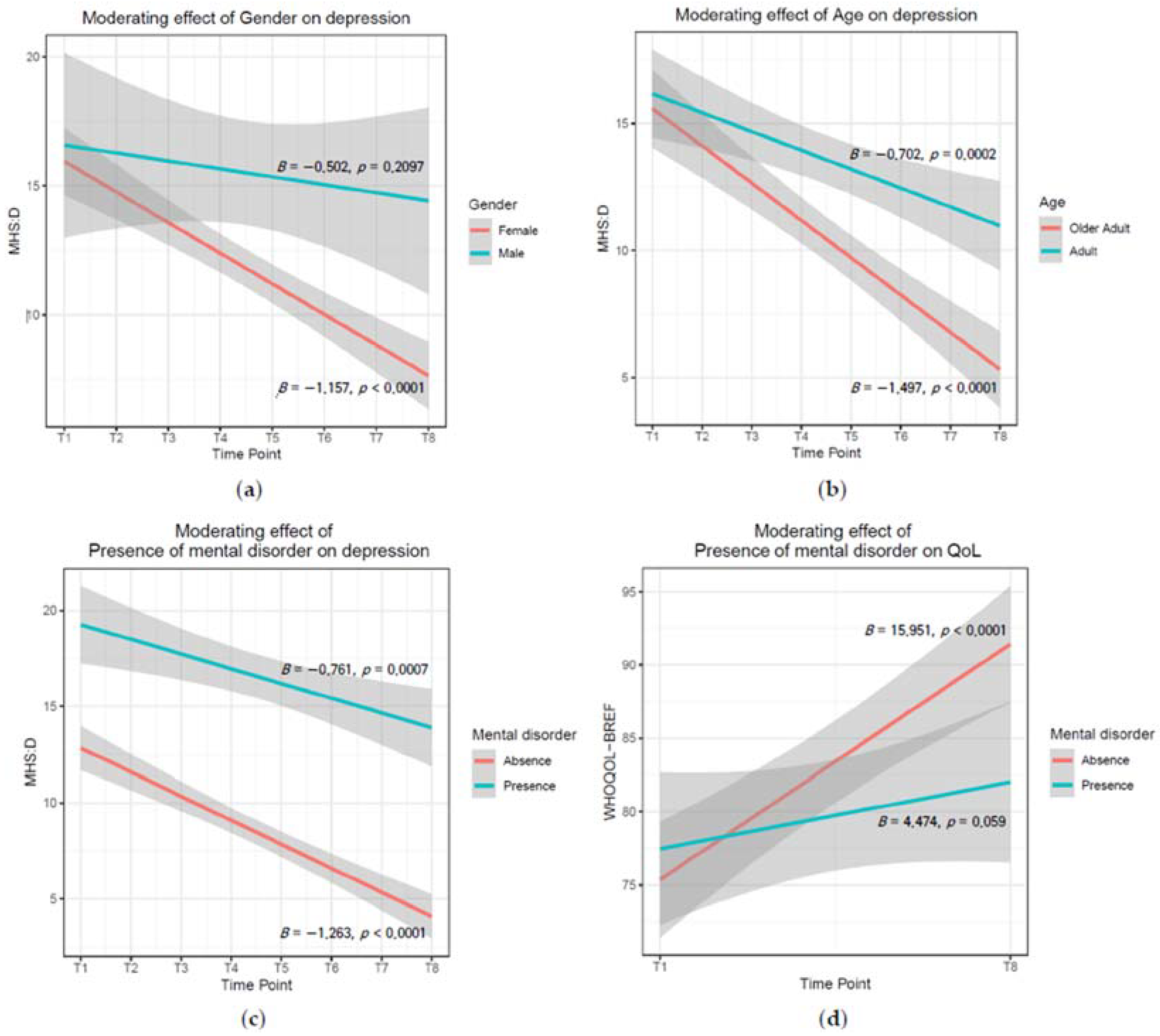
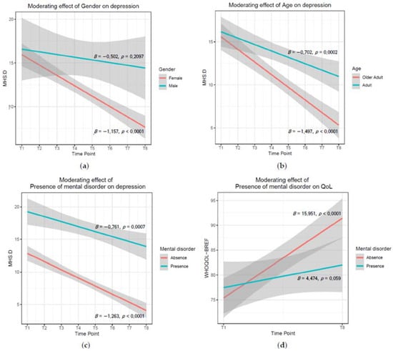
3.2. Moderation Analysis
3.2.1. Gender
3.2.2. Age
3.2.3. Mental Disorders
| Cohen’s d | Multilevel Analysis | Mean Scores | |||||||||||||
|---|---|---|---|---|---|---|---|---|---|---|---|---|---|---|---|
| Effects Estimate | SE | df | t | p | T1 | T2 | T3 | T4 | T5 | T6 | T7 | T8 | |||
| MHS:D | 0.84 | Mean | 18.2 | 13.7 | 12.4 | 12.8 | 11.5 | 11.3 | 10.2 | 9.55 | |||||
| Intercept | 12.580 | 1.503 | 638 | 8.369 | <0.0001 | (SD) | (8.91) | (10.4) | (9.72) | (11.5) | (9.89) | (10.8) | (9.39) | (9.42) | |
| Time | −0.998 | 0.230 | 638 | −4.340 | 0.0014 * | N | 110 | 81 | 98 | 83 | 102 | 72 | 99 | 105 | |
| MHS:A | 0.72 | Mean | 16.2 | 13.7 | 11.2 | 11.8 | 11.4 | 11.6 | 10.4 | 8.98 | |||||
| Intercept | 11.615 | 1.554 | 639 | 7.472 | <0.0001 | (SD) | (9.42) | (10.4) | (9.68) | (10.5) | (10.5) | (10.2) | (9.83) | (9.17) | |
| Time | −0.741 | 0.166 | 639 | −4.469 | 0.0033 * | N | 111 | 81 | 98 | 83 | 102 | 72 | 99 | 105 | |
| EDAS | 0.61 | Mean | 15.6 | 15.9 | 17.0 | 16.7 | 16.8 | 15.9 | 17.0 | 18.1 | |||||
| Intercept | 16.966 | 0.641 | 638 | 26.473 | <0.0001 | (SD) | (3.81) | (3.05) | (4.01) | (4.10) | (4.52) | (3.23) | (4.37) | (4.32) | |
| Time | 0.236 | 0.081 | 638 | 2.911 | 0.0037 * | N | 110 | 81 | 98 | 83 | 102 | 72 | 99 | 105 | |
| WHOQOL-BREF | 0.64 | Mean | 76.4 | 87.2 | |||||||||||
| Intercept | 82.205 | 2.330 | 91 | 35.278 | <0.0001 | (SD) | (14.2) | (18.1) | |||||||
| Time | 9.710 | 2.604 | 91 | 3.729 | 0.0003 * | N | 98 | 92 | |||||||
| MAAS | 0.40 | Mean | 55.9 | 62.7 | |||||||||||
| Intercept | 58.950 | 1.695 | 98 | 34.789 | <0.0001 | (SD) | (15.4) | (15.4) | |||||||
| Time | 6.296 | 2.106 | 98 | 2.990 | 0.0035 * | N | 104 | 99 | |||||||
4. Discussion
5. Conclusions
Supplementary Materials
Author Contributions
Funding
Institutional Review Board Statement
Informed Consent Statement
Conflicts of Interest
References
- Müller, G.; Bombana, M.; Heinzel-Gutenbrenner, M.; Kleindienst, N.; Bohus, M.; Lyssenko, L.; Vonderlin, R. Socio-economic consequences of mental distress: Quantifying the impact of self-reported mental distress on the days of incapacity to work and medical costs in a two-year period: A longitudinal study in Germany. BMC Public Health 2021, 21, 625. [Google Scholar] [CrossRef]
- Trautmann, S.; Rehm, J.; Wittchen, H.-U. The economic costs of mental disorders: Do our societies react appropriately to the burden of mental disorders? EMBO Rep. 2016, 17, 1245–1249. [Google Scholar] [CrossRef] [PubMed]
- Rai, D.; Kosidou, K.; Lundberg, M.; Araya, R.; Lewis, G.; Magnusson, C. Psychological distress and risk of long-term disability: Population-based longitudinal study. J. Epidemiol. Community Health 2012, 66, 586–592. [Google Scholar] [CrossRef] [PubMed]
- Evans-Lacko, S.; Aguilar-Gaxiola, S.; Al-Hamzawi, A.; Alonso, J.; Benjet, C.; Bruffaerts, R.; Chiu, W.T.; Florescu, S.; de Girolamo, G.; Gureje, O.; et al. Socio-Economic Variations in the Mental Health Treatment Gap for People with Anxiety, Mood, and Substance Use Disorders: Results from the WHO World Mental Health (WMH) Surveys. Psychol. Med. 2018, 48, 1560–1571. [Google Scholar] [CrossRef] [PubMed]
- Baxter, A.J.; Scott, K.M.; Vos, T.; Whiteford, H.A. Global prevalence of anxiety disorders: A systematic review and meta-regression. Psychol. Med. 2013, 43, 897–910. [Google Scholar] [CrossRef] [PubMed]
- Lim, G.Y.; Tam, W.W.; Lu, Y.; Ho, C.S.; Zhang, M.W.; Ho, R.C. Prevalence of depression in the community from 30 countries between 1994 and 2014. Sci. Rep. 2018, 8, 2861. [Google Scholar] [CrossRef]
- Bahk, Y.-C.; Park, K.; Kim, N.; Lee, J.; Cho, S.; Jang, J.; Jung, D.; Chang, E.; Choi, K.-H. Psychological impact of COVID-19 in South Korea: A preliminary study. Korean J. Clin. Psychol. 2020, 39, 355–367. [Google Scholar] [CrossRef]
- Cullen, W.; Gulati, G.; Kelly, B.D. Mental health in the COVID-19 pandemic. QJM 2020, 113, 311–312. [Google Scholar] [CrossRef]
- Hyland, P.; Shevlin, M.; McBride, O.; Murphy, J.; Karatzias, T.; Bentall, R.P.; Martinez, A.; Vallières, F. Anxiety and depression in the Republic of Ireland during the COVID-19 pandemic. Acta Psychiatr. Scand. 2020, 142, 249–256. [Google Scholar] [CrossRef] [PubMed]
- Mazza, M.G.; De Lorenzo, R.; Conte, C.; Poletti, S.; Vai, B.; Bollettini, I.; Melloni, E.M.T.; Furlan, R.; Ciceri, F.; Rovere-Querini, P.; et al. Anxiety and depression in COVID-19 survivors: Role of inflammatory and clinical predictors. Brain Behav. Immun. 2020, 89, 594–600. [Google Scholar] [CrossRef] [PubMed]
- Wang, C.Y.; Pan, R.Y.; Wan, X.Y.; Tan, Y.L.; Xu, L.K.; Ho, C.S.; Ho, R.C. Immediate Psychological Responses and Associated Factors during the Initial Stage of the 2019 Coronavirus Disease (COVID-19) Epidemic among the General Population in China. Int. J. Environ. Res. Public Health 2020, 17, 1729. [Google Scholar] [CrossRef]
- Choi, E.P.H.; Hui, B.P.H.; Wan, E.Y.F. Depression and Anxiety in Hong Kong during COVID-19. Int. J. Environ. Res. Public Health 2020, 17, 3740. [Google Scholar] [CrossRef] [PubMed]
- Stanton, R.; To, Q.G.; Khalesi, S.; Williams, S.L.; Alley, S.J.; Thwaite, T.L.; Fenning, A.S.; Vandelanotte, C. Depression, Anxiety and Stress during COVID-19: Associations with Changes in Physical Activity, Sleep, Tobacco and Alcohol Use in Australian Adults. Int. J. Environ. Res. Public Health 2020, 17, 4065. [Google Scholar] [CrossRef]
- Pierce, M.; Hope, H.; Ford, T.; Hatch, S.; Hotopf, M.; John, A.; Kontopantelis, E.; Webb, R.; Wessely, S.; McManus, S.; et al. Mental health before and during the COVID-19 pandemic: A longitudinal probability sample survey of the UK population. Lancet Psychiatry 2020, 7, 883–892. [Google Scholar] [CrossRef]
- Ramiz, L.; Contrand, B.; Rojas Castro, M.Y.; Dupuy, M.; Lu, L.; Sztal-Kutas, C.; Lagarde, E. A longitudinal study of mental health before and during COVID-19 lockdown in the French population. Glob. Health 2021, 17, 29. [Google Scholar] [CrossRef] [PubMed]
- Meda, N.; Pardini, S.; Slongo, I.; Bodini, L.; Zordan, M.A.; Rigobello, P.; Visioli, F.; Novara, C. Students’ mental health problems before, during, and after COVID-19 lockdown in Italy. J. Psychiatr. Res. 2021, 134, 69–77. [Google Scholar] [CrossRef]
- Han, Y.; Jang, J.; Cho, E.; Choi, K.-H. Investigating how individual differences influence responses to the COVID-19 crisis: The role of maladaptive and five-factor personality traits. Pers. Individ. Dif. 2021, 176, 110786. [Google Scholar] [CrossRef] [PubMed]
- Yao, H.; Chen, J.-H.; Xu, Y.-F. Patients with mental health disorders in the COVID-19 epidemic. Lancet Psychiatry 2020, 7, e21. [Google Scholar] [CrossRef]
- Beyer, K.M.; Kaltenbach, A.; Szabo, A.; Bogar, S.; Nieto, F.J.; Malecki, K.M. Exposure to neighborhood green space and mental health: Evidence from the survey of the health of Wisconsin. Int. J. Environ. Res. Public Health 2014, 11, 3453–3472. [Google Scholar] [CrossRef] [PubMed]
- Larson, L.R.; Jennings, V.; Cloutier, S.A. Public parks and wellbeing in urban areas of the United States. PLoS ONE 2016, 11, e0153211. [Google Scholar] [CrossRef] [PubMed]
- Maas, J.; Verheij, R.A.; de Vries, S.; Spreeuwenberg, P.; Schellevis, F.G.; Groenewegen, P.P. Morbidity is related to a green living environment. J. Epidemiol. Community Health 2009, 63, 967–973. [Google Scholar] [CrossRef] [PubMed]
- Shin, J.C.; Parab, K.V.; An, R.P.; Grigsby-Toussaint, D.S. Greenspace exposure and sleep: A systematic review. Environ. Res. 2020, 182, 109081. [Google Scholar] [CrossRef]
- Van den Bosch, M.; Sang, A.O. Urban natural environments as nature-based solutions for improved public health—A systematic review of reviews. Environ. Res. 2017, 158, 373–384. [Google Scholar] [CrossRef] [PubMed]
- Annerstedt, M.; Währborg, P. Nature-assisted therapy: Systematic review of controlled and observational studies. Scand. J. Public Health 2011, 39, 371–388. [Google Scholar] [CrossRef]
- Cipriani, J.; Benz, A.; Holmgren, A.; Kinter, D.; McGarry, J.; Rufino, G. A systematic review of the effects of horticultural therapy on persons with mental health conditions. Occup. Ther. Ment. Health 2017, 33, 47–69. [Google Scholar] [CrossRef]
- Hansen, M.M.; Jones, R.; Tocchini, K. Shinrin-yoku (forest bathing) and nature therapy: A state-of-the-art review. Int. J. Environ. Res. Public Health 2017, 14, 851. [Google Scholar] [CrossRef] [PubMed]
- Gonzalez, M.T.; Hartig, T.; Patil, G.G.; Martinsen, E.W.; Kirkevold, M. Therapeutic horticulture in clinical depression: A prospective study of active components. J. Adv. Nurs. 2010, 66, 2002–2013. [Google Scholar] [CrossRef] [PubMed]
- Sahlin, E.; Ahlborg, G.; Tenenbaum, A.; Grahn, P. Using Nature-Based Rehabilitation to Restart a Stalled Process of Rehabilitation in Individuals with Stress-Related Mental Illness. Int. J. Environ. Res. Public Health 2015, 12, 1928–1951. [Google Scholar] [CrossRef] [PubMed]
- Sia, A.; Tam, W.W.S.; Fogel, A.; Kua, E.H.; Khoo, K.; Ho, R.C.M. Nature-based activities improve the well-being of older adults. Sci. Rep. 2020, 10, 1–8. [Google Scholar] [CrossRef]
- Simson, S.P.; Straus, M.C. Horticulture as Therapy: Principles and Practice; CRC Press: Boca Raton, FL, USA, 1997. [Google Scholar]
- Van Den Berg, A.E.; Custers, M.H.G. Gardening Promotes Neuroendocrine and Affective Restoration from Stress. J. Health Psychol. 2011, 16, 3–11. [Google Scholar] [CrossRef]
- Faber Taylor, A.; Kuo, F.E. Children with attention deficits concentrate better after walk in the park. J. Atten. Disord. 2009, 12, 402–409. [Google Scholar] [CrossRef] [PubMed]
- Oh, Y.-A.; Park, S.-A.; Ahn, B.-E. Assessment of the psychopathological effects of a horticultural therapy program in patients with schizophrenia. Complement. Ther. Med. 2018, 36, 54–58. [Google Scholar] [CrossRef] [PubMed]
- Parvin, N.; Rafiee Vardanjani, L.; Aliakbari, F. Group horticulture program on psychiatric symptoms in patients with chronic schizophrenia. J. Res. Dev. Nurs. Midw. 2017, 14, 16–21. [Google Scholar] [CrossRef][Green Version]
- Bail, J.R.; Frugé, A.D.; Cases, M.G.; De Los Santos, J.F.; Locher, J.L.; Smith, K.P.; Cantor, A.B.; Cohen, H.J.; Demark-Wahnefried, W. A home-based mentored vegetable gardening intervention demonstrates feasibility and improvements in physical activity and performance among breast cancer survivors. Cancer 2018, 124, 3427–3435. [Google Scholar] [CrossRef] [PubMed]
- Gigliotti, C.M.; Jarrott, S.E. Effects of horticulture therapy on engagement and affect. Can. J. Aging 2005, 24, 367–377. [Google Scholar] [CrossRef]
- Lee, Y.; Kim, S. Effects of indoor gardening on sleep, agitation, and cognition in dementia patients—a pilot study. Int. J. Geriatr. Psychiatry 2008, 23, 485–489. [Google Scholar] [CrossRef]
- Mori, Y.; Kugel, J.; Krpalek, D.; Javaherian-Dysinger, H.; Gharibvand, L. Occupational Therapy and Therapeutic Horticulture for Women with Cancer and Chronic Pain: A Pilot Study. Am. J. Occup. Ther. 2021, 9, 1–14. [Google Scholar] [CrossRef]
- Sommerfeld, A.J.; Waliczek, T.M.; Zajicek, J.M. Growing Minds: Evaluating the Effect of Gardening on Quality of Life and Physical Activity Level of Older Adults. HortTechnology 2010, 20, 705–710. [Google Scholar] [CrossRef]
- Waliczek, T.M.; Zajicek, J.M.; Lineberger, R.D. The influence of gardening activities on consumer perceptions of life satisfaction. HortScience 2005, 40, 1360–1365. [Google Scholar] [CrossRef]
- Wood, C.J.; Pretty, J.; Griffin, M. A case-control study of the health and well-being benefits of allotment gardening. J. Public Health 2016, 38, E336–E344. [Google Scholar] [CrossRef]
- Masuya, J.; Ota, K. Efficacy of horticultural activity in elderly people with dementia: A pilot study on the influence on vitality and cognitive function. Int. J. Nurs. Clin. Pract. 2014, 1, 2394–4978. [Google Scholar] [CrossRef]
- Mohamed, W.; Azlan, A.; Abd Talib, R. Benefits of community gardening activity in obesity intervention: Findings from FEAT programme. Curr. Res. Nutr. Food Sci. 2018, 6, 700–710. [Google Scholar] [CrossRef]
- Jang, E.J.; Han, G.W.; Hong, J.W.; Yoon, S.E.; Pak, C.H. Meta-analysis of research papers on horticultural therapy program effect. Kor. J. Hort. Sci. Technol. 2010, 28, 701–707. [Google Scholar]
- Soga, M.; Gaston, K.J.; Yamaura, Y. Gardening is beneficial for health: A meta-analysis. Prev. Med. Rep. 2017, 5, 92–99. [Google Scholar] [CrossRef]
- Spano, G.; D’Este, M.; Giannico, V.; Carrus, G.; Elia, M.; Lafortezza, R.; Panno, A.; Sanesi, G. Are Community Gardening and Horticultural Interventions Beneficial for Psychosocial Well-Being? A Meta-Analysis. Int. J. Environ. Res. Public Health 2020, 17, 3584. [Google Scholar] [CrossRef] [PubMed]
- Vujcic, M.; Tomicevic-Dubljevic, J.; Grbic, M.; Lecic-Tosevski, D.; Vukovic, O.; Toskovic, O. Nature based solution for improving mental health and well-being in urban areas. Environ. Res. 2017, 158, 385–392. [Google Scholar] [CrossRef]
- Sia, A.; Tan, P.Y.; Wong, J.C.M.; Araib, S.; Ang, W.F.; Er, K.B.H. The impact of gardening on mental resilience in times of stress: A case study during the COVID-19 pandemic in Singapore. Urban For. Urban Green. 2022, 68, 127448. [Google Scholar] [CrossRef]
- Theodorou, A.; Panno, A.; Carrus, G.; Carbone, G.A.; Massullo, C.; Imperatori, C. Stay home, stay safe, stay green: The role of gardening activities on mental health during the COVID-19 home confinement. Urban For. Urban Green. 2021, 61, 127091. [Google Scholar] [CrossRef]
- Yoon, S.; Lee, B.; Park, K.; Jung, S.; Kim, S.H.; Park, Y.; Baik, S.Y.; Kim, C.L.; Lee, W.H.; Choi, Y.; et al. Development of Korean depression screening assessment: Phase II preliminary validation study. Korean J. Clin. Psychol. 2018, 37, 252–262. [Google Scholar] [CrossRef]
- Kim, S.H.; Park, K.; Yoon, S.; Choi, Y.; Lee, S.H.; Choi, K.H. A brief online and offline (paper-and-pencil) screening tool for generalized anxiety disorder: The final phase in the development and validation of the mental health screening tool for anxiety disorders (MHS: A). Front. Psychol. 2021, 12, 639366. [Google Scholar] [CrossRef]
- Harper, A.; Power, M.; Grp, W. Development of the World Health Organization WHOQOL-BREF quality of life assessment. Psychol. Med. 1998, 28, 551–558. [Google Scholar] [CrossRef]
- Min, S.K.; Lee, C.I.; Kim, K.I.; Suh, S.Y.; Kim, D.K. Development of Korean version of WHO quality of life scale abbreviated version (WHOQOL-BREF). J. Korean Neuropsychiatr. Assoc. 2000, 39, 571–579. [Google Scholar]
- Brown, K.W.; Ryan, R.M. The benefits of being present: Mindfulness and its role in psychological well-being. J. Pers. Soc. Psychol. 2003, 84, 822–848. [Google Scholar] [CrossRef] [PubMed]
- Jeon, J.; Lee, W.; Lee, S.; Lee, W. A pilot study of reliability and validity of the Korean version of mindful attention awareness scale. Korean J. Clin. Psychol. 2007, 26, 201–212. [Google Scholar] [CrossRef]
- Lakens, D. Calculating and reporting effect sizes to facilitate cumulative science: A practical primer for t-tests and ANOVAs. Front. Psychol. 2013, 4, 863. [Google Scholar] [CrossRef]
- Cohen, J. Statistical Power Analysis for the Behavioral Sciences, 2nd ed.; Routledge: New York, NY, USA, 2013. [Google Scholar] [CrossRef]
- Finch, W.H.; Bolin, J.E.; Kelley, K. Multilevel Modeling Using R, 2nd ed.; CRC Press: New York, NY, USA, 2019. [Google Scholar] [CrossRef]
- Steele, F. Multilevel models for longitudinal data. J. R. Stat. Soc. Ser. A Stat. Soc. 2008, 171, 5–19. [Google Scholar] [CrossRef]
- OECD Elderly Population (Indicator). Available online: https://doi.org/10.1787/8d805ea1-en (accessed on 29 April 2022).
- Kuznetsova, A.; Brockhoff, P.B.; Christensen, R.H. lmerTest package: Tests in linear mixed effects models. J. Stat. Softw. 2017, 82, 1–26. [Google Scholar] [CrossRef]
- Bates, D.; Mächler, M.M.; Bolker, B.; Walker, S. Fitting Linear Mixed-Effects Models Using lme4. J. Stat. Softw. 2015, 67, 1–48. [Google Scholar] [CrossRef]
- Pinheiro José, B.D.; R Core Team. nlme: Linear and Nonlinear Mixed Effects Models. R Package Version 2022, 3, 1–157. Available online: https://CRAN.R-project.org/package=nlme (accessed on 4 April 2022).
- Wickham, H. ggplot2. WIREs Comput. Stat. 2011, 3, 180–185. [Google Scholar] [CrossRef]
- Kim, K.H.; Park, S.A. Horticultural therapy program for middle-aged women’s depression, anxiety, and self-identify. Complement. Ther. Med. 2018, 39, 154–159. [Google Scholar] [CrossRef] [PubMed]
- Min, S.; Ha, Y.J.; Kang, J.H.; Kang, H.Y. The effects of horticultural therapy on the well-being and hope of women in rural Korea. J. Nurs. Care 2014, 3, 214. [Google Scholar] [CrossRef]
- Kunpeuk, W.; Spence, W.; Phulkerd, S.; Suphanchaimat, R.; Pitayarangsarit, S. The impact of gardening on nutrition and physical health outcomes: A systematic review and meta-analysis. Health Promot. Int. 2020, 35, 397–408. [Google Scholar] [CrossRef]
- Stigsdotter, U.K.; Corazon, S.S.; Sidenius, U.; Nyed, P.K.; Larsen, H.B.; Fjorback, L.O. Efficacy of nature-based therapy for individuals with stress-related illnesses: Randomised controlled trial. Br. J. Psychiatry 2018, 213, 404–411. [Google Scholar] [CrossRef] [PubMed]
- Yao, Y.F.; Chen, K.M. Effects of horticulture therapy on nursing home older adults in southern Taiwan. Qual. Life Res. 2017, 26, 1007–1014. [Google Scholar] [CrossRef]
- Armitage, R.; Nellums, L.B. COVID-19 and the consequences of isolating the elderly. Lancet Public Health 2020, 5, e256. [Google Scholar] [CrossRef]
- Banerjee, D. The impact of COVID-19 pandemic on elderly mental health. Int. J. Geriatr. Psychiatry 2020, 35, 1466–1467. [Google Scholar] [CrossRef]
- Wang, D.; MacMillan, T. The Benefits of Gardening for Older Adults: A Systematic Review of the Literature. Act. Adapt. Aging 2013, 37, 153–181. [Google Scholar] [CrossRef]
- Ashton-Shaeffer, C.; Constant, A. Why do older adults garden? Act. Adapt. Aging 2006, 30, 1–18. [Google Scholar] [CrossRef]
- Austin, E.N.; Johnston, Y.A.; Morgan, L.L. Community gardening in a senior center: A therapeutic intervention to improve the health of older adults. Ther. Recreat. J. 2006, 40, 48–56. [Google Scholar]
- Scott, T.L.; Masser, B.M.; Pachana, N.A. Exploring the health and wellbeing benefits of gardening for older adults. Ageing Soc. 2015, 35, 2176–2200. [Google Scholar] [CrossRef]

| Variables | N (%) |
|---|---|
| Gender | |
| Male | 23 (20.7%) |
| Female | 88 (79.3%) |
| Age | |
| 18–30 | 17 (15.3%) |
| 31–40 | 8 (7.2%) |
| 41–50 | 18 (16.2%) |
| 50–64 | 25 (22.5%) |
| ≥65 | 43 (38.7%) |
| Mental disorder | |
| None | 52 (46.8%) |
| Neurodevelopmental Disorder | 15 (13.5%) |
| Neurocognitive Disorder | 14 (12.6%) |
| Depressive Disorder | 13 (11.7%) |
| Schizophrenia | 12 (10.8%) |
| Bipolar Spectrum Disorder | 4 (3.6%) |
| Anxiety Disorder | 1 (0.9%) |
| Education | |
| No Education | 1 (0.9%) |
| Primary school | 8 (7.2%) |
| Secondary school | 18 (16.2%) |
| University bachelor degree | 53 (47.7%) |
| Higher Education (>15 years) | 8 (7.2%) |
| Unknown | 23 (20.7%) |
Publisher’s Note: MDPI stays neutral with regard to jurisdictional claims in published maps and institutional affiliations. |
© 2022 by the authors. Licensee MDPI, Basel, Switzerland. This article is an open access article distributed under the terms and conditions of the Creative Commons Attribution (CC BY) license (https://creativecommons.org/licenses/by/4.0/).
Share and Cite
Yang, Y.; Ro, E.; Lee, T.-J.; An, B.-C.; Hong, K.-P.; Yun, H.-J.; Park, E.-Y.; Cho, H.-R.; Yun, S.-Y.; Park, M.; et al. The Multi-Sites Trial on the Effects of Therapeutic Gardening on Mental Health and Well-Being. Int. J. Environ. Res. Public Health 2022, 19, 8046. https://doi.org/10.3390/ijerph19138046
Yang Y, Ro E, Lee T-J, An B-C, Hong K-P, Yun H-J, Park E-Y, Cho H-R, Yun S-Y, Park M, et al. The Multi-Sites Trial on the Effects of Therapeutic Gardening on Mental Health and Well-Being. International Journal of Environmental Research and Public Health. 2022; 19(13):8046. https://doi.org/10.3390/ijerph19138046
Chicago/Turabian StyleYang, Yeji, Eunbin Ro, Taek-Joo Lee, Byung-Chul An, Kwang-Pyo Hong, Ho-Jun Yun, Eun-Yeong Park, Hye-Ryeong Cho, Suk-Young Yun, Miok Park, and et al. 2022. "The Multi-Sites Trial on the Effects of Therapeutic Gardening on Mental Health and Well-Being" International Journal of Environmental Research and Public Health 19, no. 13: 8046. https://doi.org/10.3390/ijerph19138046
APA StyleYang, Y., Ro, E., Lee, T.-J., An, B.-C., Hong, K.-P., Yun, H.-J., Park, E.-Y., Cho, H.-R., Yun, S.-Y., Park, M., Yun, Y.-J., Lee, A.-R., Jeon, J.-I., Jung, S., Ahn, T.-H., Jin, H.-Y., Lee, K. J., & Choi, K.-H. (2022). The Multi-Sites Trial on the Effects of Therapeutic Gardening on Mental Health and Well-Being. International Journal of Environmental Research and Public Health, 19(13), 8046. https://doi.org/10.3390/ijerph19138046

