Correlation between Campus-Built Environment and Physical Fitness in College Students in Xi’an—A GIS Approach
Abstract
:1. Introduction
2. Methods
2.1. Participants
2.2. Measures of the Built Environment
2.2.1. Calculation Method of Street Connectivity

| Facility Classification | Classification Weight | Total Weight | |
|---|---|---|---|
| Food and beverages | Restaurant | 0.75, 0.45, 0.25, 0.25, 0.2, 0.2, 0.15, 0.25 | 2.5 | 
| Beverage shop | 0.45, 0.2, 0.1 | 0.75 | |
| Shopping | Store | 0.5, 0.25, 0.25 | 1 | 
| Supermarket | 0.5 | 0.5 | |
| Leisure sport | Library | 0.5 | 0.5 | 
| Park | 1 | 1 | |
| Fitness place | 0.5, 0.25, 0.25 | 1 | |
| Medical treatment | Hospitals and pharmacies | 1 | 1 | 
2.2.2. Calculation Method of Land Use Mix
2.2.3. Calculation Method of Green Space per Capita in School
2.2.4. Calculation Method of Walk Score
2.3. Measures of Physical Fitness
2.4. Statistical Analysis
3. Results
3.1. Physical Fitness of Students in Four Colleges
3.2. Built Environment of Four Colleges
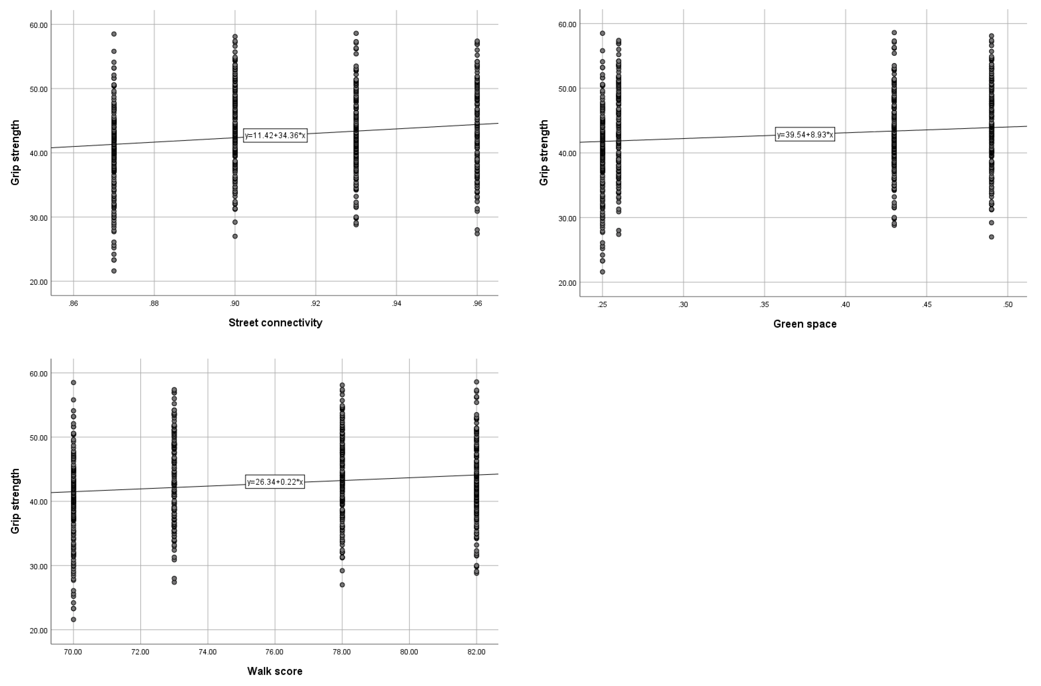
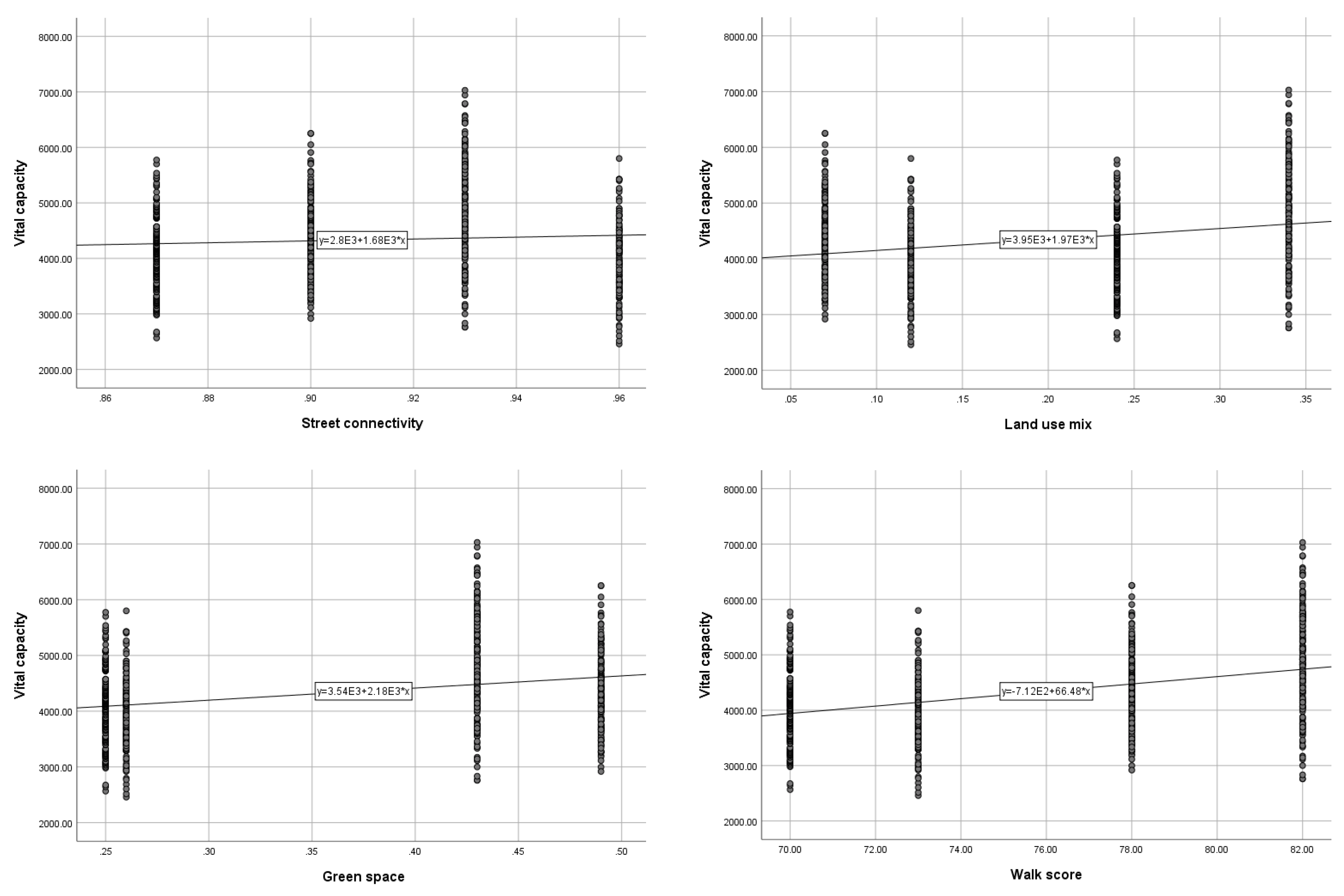
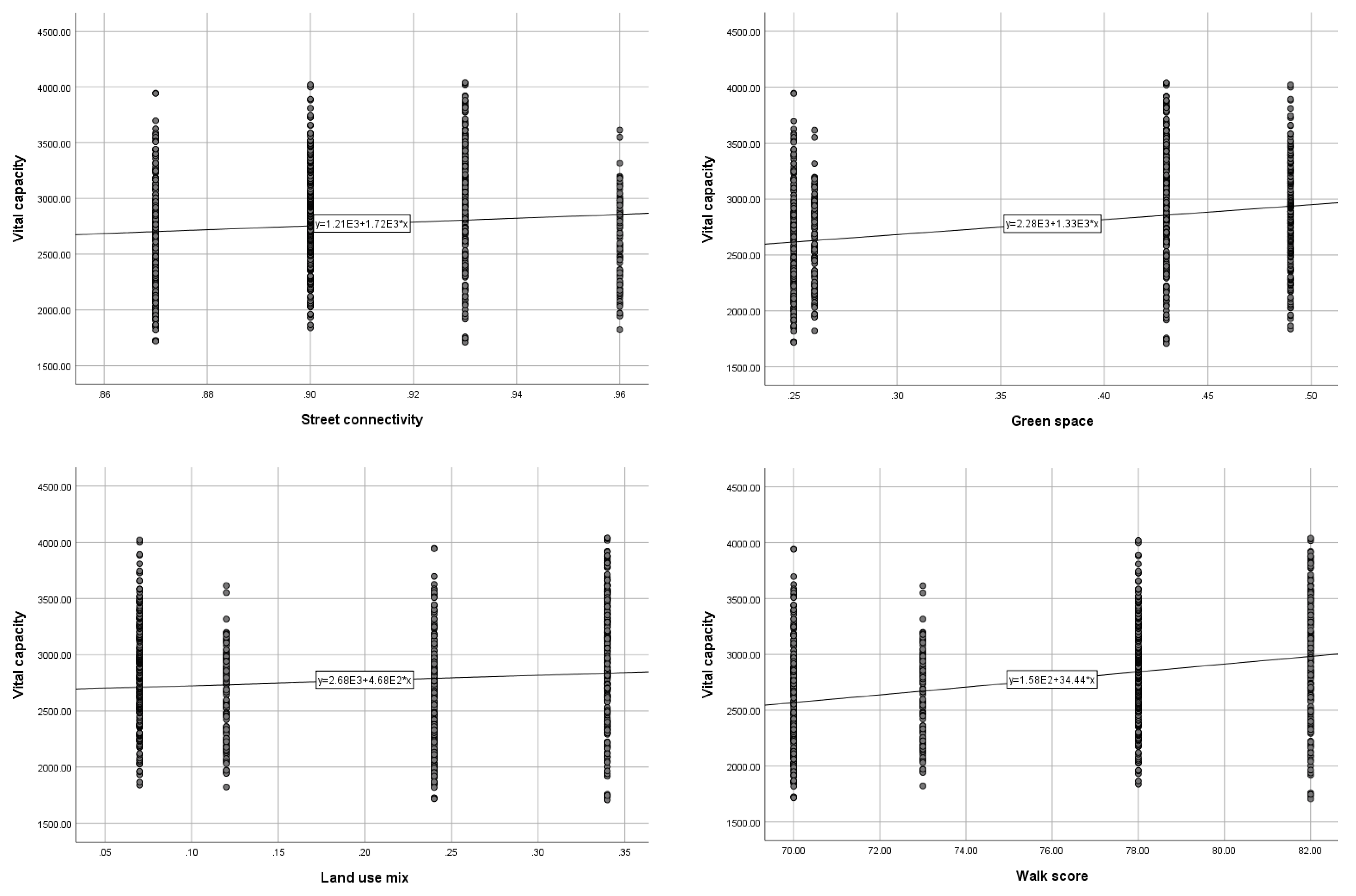
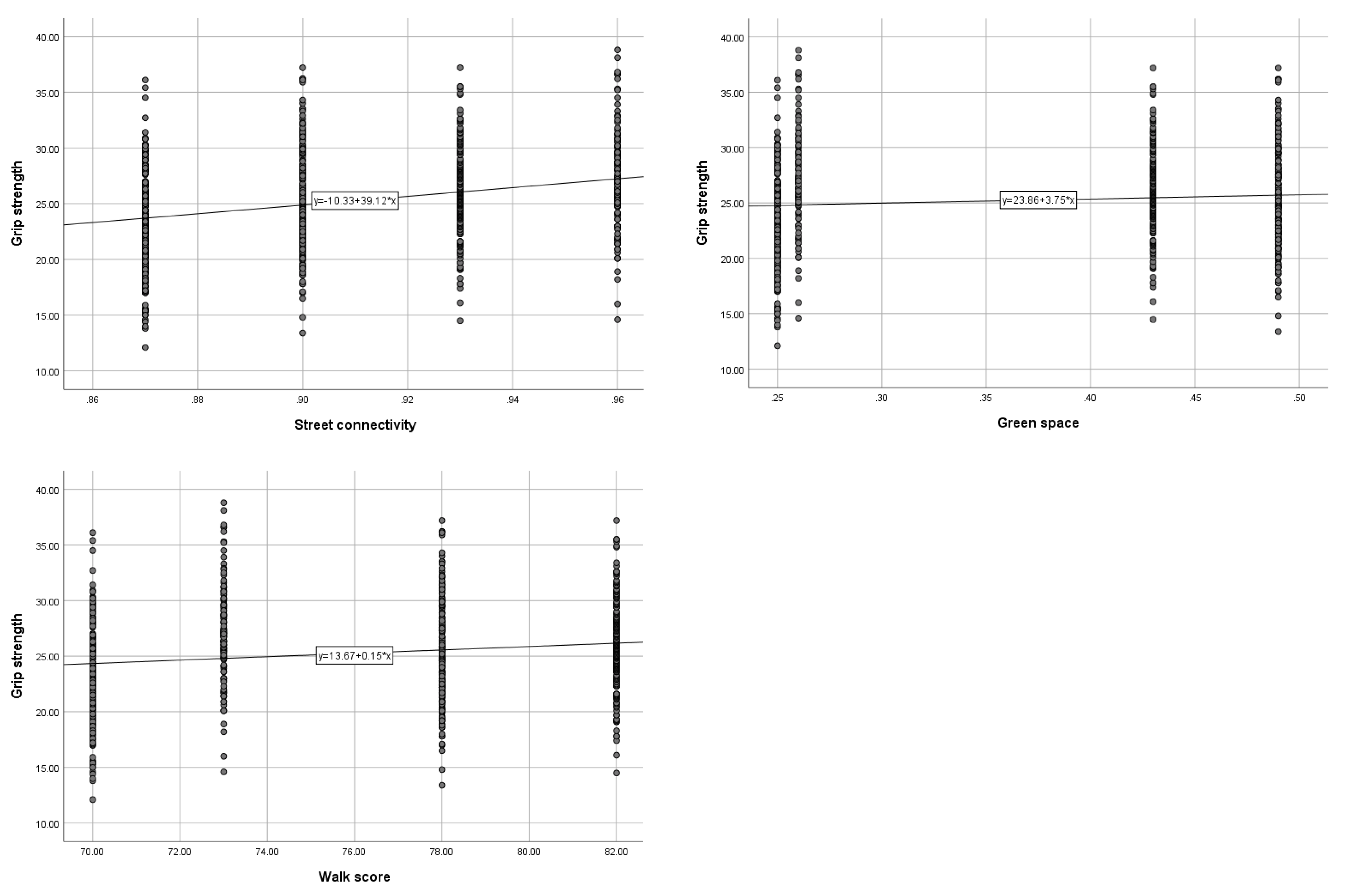
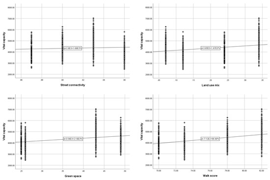
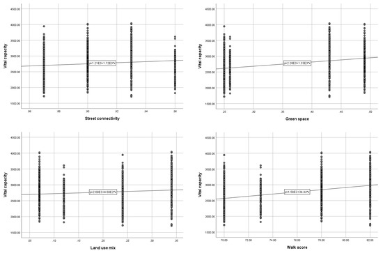
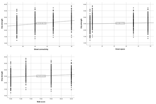
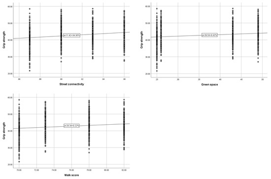
3.3. The Correlation between the Built Environment and Students’ Physical Health
4. Discussion
- While designing the road of the college, the number of short links and intersections deserves to be increased. It can not only slow down the speed of drivers to reduce the incidence of traffic accidents, but also increase the route selections for students. However, street connectivity has different effects on community networks of different sizes and types. In other words, the street connectivity that is applicable to one network type is not always applicable to other types.
- According to the site selection of the buildings in college, as the most common place for students to go, the distance between the student dormitory and academic building should be suitable. Too far will reduce the probability of walking for students, while too short might not satisfy the requirement of physical activity. Furthermore, the types of sports venues should be as many as possible, and the distance should not be too far from the dormitory.
5. Conclusions
Author Contributions
Funding
Institutional Review Board Statement
Informed Consent Statement
Data Availability Statement
Conflicts of Interest
Appendix A




References
- Cheah, W.L.; Chang, C.T.; Saimon, R. Environment Factors Associated with Adolescents’ Body Mass Index, Physical Activity and Physical Fitness in Kuching South City, Sarawak: A Cross-Sectional Study. Int. J. Adolesc. Med. Health 2012, 24, 331–337. [Google Scholar] [CrossRef]
- Choi, J.; Lee, M.; Lee, J.K.; Kang, D.; Choi, J.Y. Correlates Associated with Participation in Physical Activity among Adults: A Systematic Review of Reviews and Update. BMC Public Health 2017, 17, 356. [Google Scholar] [CrossRef]
- Grigoletto, A.; Mauro, M.; Maietta Latessa, P.; Iannuzzi, V.; Gori, D.; Campa, F.; Greco, G.; Toselli, S. Impact of Different Types of Physical Activity in Green Urban Space on Adult Health and Behaviors: A Systematic Review. Eur. J. Investig. Health Psychol. Educ. 2021, 11, 263–275. [Google Scholar] [CrossRef]
- Coutrot, A.; Manley, E.; Goodroe, S.; Gahnstrom, C.; Filomena, G.; Yesiltepe, D.; Dalton, R.C.; Wiener, J.M.; Hölscher, C.; Hornberger, M.; et al. Entropy of City Street Networks Linked to Future Spatial Navigation Ability. Nature 2022, 604, 104–110. [Google Scholar] [CrossRef]
- Malina, R.M.; Katzmarzyk, P.T. Physical Activity and Fitness in an International Growth Standard for Preadolescent and Adolescent Children. Food Nutr. Bull. 2006, 27, S295–S313. [Google Scholar] [CrossRef]
- Mitchell, R.; Popham, F. Greenspace, Urbanity and Health: Relationships in England. J. Epidemiol. Community Health 2007, 61, 681–683. [Google Scholar] [CrossRef] [Green Version]
- Wang, P.; Fu, Y.; Zhang, J.; Li, X.; Lin, D. Learning Urban Community Structures: A Collective Embedding Perspective with Periodic Spatial-Temporal Mobility Graphs. ACM Trans. Intell. Syst. Technol. 2018, 9, 63. [Google Scholar] [CrossRef]
- Yuan, Z.; Lin, H.; Tang, S.; Guo, R. Geographically Explicit Network Analysis of Urban Living and Working Interaction Pattern in Shenzhen City, South China. Front. Phys. 2021, 9, 731. [Google Scholar] [CrossRef]
- Milano, V.; Maisto, G.; Baldantoni, D.; Bellino, A.; Bernard, C.; Croce, A.; Dubs, F.; Strumia, S.; Cortet, J. The Effect of Urban Park Landscapes on Soil Collembola Diversity: A Mediterranean Case Study. Landsc. Urban Plan. 2018, 180, 135–147. [Google Scholar] [CrossRef]
- Jiang, F.; Liu, S.; Yuan, H.; Zhang, Q. Measuring Urban Sprawl in Beijing with Geo-Spatial Indices. J. Geogr. Sci. 2007, 17, 469–478. [Google Scholar] [CrossRef]
- Sallis, J.F.; Cerin, E.; Kerr, J.; Adams, M.A.; Sugiyama, T.; Christiansen, L.B.; Schipperijn, J.; Davey, R.; Salvo, D.; Frank, L.D.; et al. Built Environment, Physical Activity, and Obesity: Findings from the International Physical Activity and Environment Network (IPEN) Adult Study. Annu. Rev. Public Health 2019, 41, 119–139. [Google Scholar] [CrossRef] [Green Version]
- Vanhelst, J.; Béghin, L.; Salleron, J.; Ruiz, J.R.; Ortega, F.B.; De Bourdeaudhuij, I.; Molnar, D.; Manios, Y.; Widhalm, K.; Vicente-Rodriguez, G.; et al. A Favorable Built Environment Is Associated with Better Physical Fitness in European Adolescents. Prev. Med. 2013, 57, 844–849. [Google Scholar] [CrossRef]
- Cerin, E.; Conway, T.L.; Saelens, B.E.; Frank, L.D.; Sallis, J.F. Cross-Validation of the Factorial Structure of the Neighborhood Environment Walkability Scale (NEWS) and Its Abbreviated Form (NEWS-A). Int. J. Behav. Nutr. Phys. Act. 2009, 6, 32. [Google Scholar] [CrossRef]
- Cerin, E.; Leslie, E.; Owen, N.; Bauman, A. An Australian Version of the Neighborhood Environment Walkability Scale: Validity Evidence. Meas. Phys. Educ. Exerc. Sci. 2008, 12, 31–51. [Google Scholar] [CrossRef]
- Cerin, E.; Saelens, B.E.; Sallis, J.F.; Frank, L.D. Neighborhood Environment Walkability Scale: Validity and Development of a Short Form. Med. Sci. Sports Exerc. 2006, 38, 1682–1691. [Google Scholar] [CrossRef] [Green Version]
- Cerin, E.; Sit, C.H.P.; Cheung, M.C.; Ho, S.Y.; Lee, L.C.J.; Chan, W.M. Reliable and Valid NEWS for Chinese Seniors: Measuring Perceived Neighborhood Attributes Related to Walking. Int. J. Behav. Nutr. Phys. Act. 2010, 7, 84. [Google Scholar] [CrossRef] [Green Version]
- De Bourdeaudhuij, I.; Sallis, J.; Saelens, B.E. Environmental Correlates of Physical Activity in a Population Sample. Med. Sci. Sports Exerc. 2002, 34, S65. [Google Scholar] [CrossRef]
- Leslie, E.; Saelens, B.; Frank, L.; Owen, N.; Bauman, A.; Coffee, N.; Hugo, G. Residents’ Perceptions of Walkability Attributes in Objectively Different Neighbourhoods: A Pilot Study. Health Place 2005, 11, 227–236. [Google Scholar] [CrossRef]
- Saelens, B.E.; Sallis, J.F.; Black, J.B.; Chen, D. Comité Européen Des Entreprises Vins (CEEV) (2016b) Internal Market and Food Safety. Comité Vins, Brussels. Am. J. Public Health 2003, 93, 1552–1558. Available online: http://ceev.eu/policy-dossiers/internal-market-food-safety (accessed on 2 November 2016). [CrossRef]
- Raudenbusch, S.W.; Sampson, R.J. Ecometrics, toward a Science of Assessing Ecological Settings. Sociol. Methodol. 1999, 29, 1–41. [Google Scholar] [CrossRef]
- Brown, G.; Schebella, M.F.; Weber, D. Using Participatory GIS to Measure Physical Activity and Urban Park Benefits. Landsc. Urban Plan. 2014, 121, 34–44. [Google Scholar] [CrossRef]
- Butler, E.N.; Ambs, A.M.; Reedy, J.; Bowles, H.R. Identifying GIS Measures of the Physical Activity Built Environment through a Review of the Literature. J. Phys. Act. Health 2011, 8 (Suppl. 1), 91–97. [Google Scholar] [CrossRef] [PubMed] [Green Version]
- Alfonzo, M.A. To Walk or Not to Walk? The Hierarchy of Walking Needs. Environ. Behav. 2005, 37, 808–836. [Google Scholar] [CrossRef]
- Su, J.G.; Dadvand, P.; Nieuwenhuijsen, M.J.; Bartoll, X.; Jerrett, M. Associations of Green Space Metrics with Health and Behavior Outcomes at Different Buffer Sizes and Remote Sensing Sensor Resolutions. Environ. Int. 2019, 126, 162–170. [Google Scholar] [CrossRef]
- Zlatkovic, M.; Zlatkovic, S.; Sullivan, T.; Bjornstad, J.; Kiavash Fayyaz Shahandashti, S. Assessment of Effects of Street Connectivity on Traffic Performance and Sustainability within Communities and Neighborhoods through Traffic Simulation. Sustain. Cities Soc. 2019, 46, 101409. [Google Scholar] [CrossRef]
- Frank, L.D.; Saelens, B.E.; Powell, K.E.; Chapman, J.E. Stepping towards Causation: Do Built Environments or Neighborhood and Travel Preferences Explain Physical Activity, Driving, and Obesity? Soc. Sci. Med. 2007, 65, 1898–1914. [Google Scholar] [CrossRef]
- Xia, C.; Yeh, A.G.O.; Zhang, A. Analyzing Spatial Relationships between Urban Land Use Intensity and Urban Vitality at Street Block Level: A Case Study of Five Chinese Megacities. Landsc. Urban Plan. 2020, 193, 103669. [Google Scholar] [CrossRef]
- Beyer, K.M.M.; Kaltenbach, A.; Szabo, A.; Bogar, S.; Javier Nieto, F.; Malecki, K.M. Exposure to Neighborhood Green Space and Mental Health: Evidence from the Survey of the Health of Wisconsin. Int. J. Environ. Res. Public Health 2014, 11, 3453–3472. [Google Scholar] [CrossRef] [Green Version]
- Richardson, E.; Pearce, J.; Mitchell, R.; Day, P.; Kingham, S. The Association between Green Space and Cause-Specific Mortality in Urban New Zealand: An Ecological Analysis of Green Space Utility. BMC Public Health 2010, 10, 240. [Google Scholar] [CrossRef] [Green Version]
- Lu, Y. Using Google Street View to Investigate the Association between Street Greenery and Physical Activity. Landsc. Urban Plan. 2019, 191, 103435. [Google Scholar] [CrossRef]
- Frank, L.D.; Schmid, T.L.; Sallis, J.F.; Chapman, J.; Saelens, B.E. Linking Objectively Measured Physical Activity with Objectively Measured Urban Form: Findings from SMARTRAQ. Am. J. Prev. Med. 2005, 28, 117–125. [Google Scholar] [CrossRef] [PubMed]
- Cao, X.; Handy, S.L.; Mokhtarian, P.L. The Influences of the Built Environment and Residential Self-Selection on Pedestrian Behavior: Evidence from Austin, TX. Transportation 2006, 33, 1–20. [Google Scholar] [CrossRef] [Green Version]
- Cao, X.; Mokhtarian, P.L.; Handy, S.L. Do Changes in Neighborhood Characteristics Lead to Changes in Travel Behavior? A Structural Equations Modeling Approach. Transportation 2007, 34, 535–556. [Google Scholar] [CrossRef] [Green Version]
- Cao, X.; Mokhtarian, P.L.; Handy, S.L. No Particular Place to Go: An Empirical Analysis of Travel for the Sake of Travel. Environ. Behav. 2009, 41, 233–257. [Google Scholar] [CrossRef]
- Chatman, D.G. Residential Choice, the Built Environment, and Nonwork Travel: Evidence Using New Data and Methods. Environ. Plan. A 2009, 41, 1072–1089. [Google Scholar] [CrossRef]
- Handy, S.; Cao, X.; Mokhtarian, P.L. Self-Selection in the Relationship between the Built Environment and Walking: Empirical Evidence from Northern California. J. Am. Plan. Assoc. 2006, 72, 55–74. [Google Scholar] [CrossRef]
- McCormack, G.; Giles-Corti, B.; Lange, A.; Smith, T.; Martin, K.; Pikora, T.J. An Update of Recent Evidence of the Relationship between Objective and Self-Report Measures of the Physical Environment and Physical Activity Behaviours. J. Sci. Med. Sport / Sports Med. Aust. 2004, 7, 81–92. [Google Scholar] [CrossRef]
- Meurs, H.; Haaijer, R. Spatial Structure and Mobility. Transp. Res. Part D Transp. Environ. 2001, 6, 429–446. [Google Scholar] [CrossRef]
- Wendel-Vos, W.; Droomers, M.; Kremers, S.; Brug, J.; Van Lenthe, F. Potential Environmental Determinants of Physical Activity in Adults: A Systematic Review. Obes. Rev. 2007, 8, 425–440. [Google Scholar] [CrossRef]
- Olds, T.; Tomkinson, G.; Léger, L.; Cazorla, G. Worldwide Variation in the Performance of Children and Adolescents: An Analysis of 109 Studies of the 20-m Shuttle Run Test in 37 Countries. J. Sports Sci. 2006, 24, 1025–1038. [Google Scholar] [CrossRef]
- Kondo, K.; Lee, J.S.; Kawakubo, K.; Kataoka, Y.; Asami, Y.; Mori, K.; Umezaki, M.; Yamauchi, T.; Takagi, H.; Sunagawa, H.; et al. Association between Daily Physical Activity and Neighborhood Environments. Environ. Health Prev. Med. 2009, 14, 196–206. [Google Scholar] [CrossRef] [PubMed] [Green Version]
- Sun, Y.; He, C.; Zhang, X.; Zhu, W. Association of Built Environment with Physical Activity and Physical Fitness in Men and Women Living inside the City Wall of Xi’an, China. Int. J. Environ. Res. Public Health 2020, 17, 4940. [Google Scholar] [CrossRef] [PubMed]
- Schmücker, B.; Rigauer, B.; Hinrichs, W.; Trawinski, J. Motor Abilities and Habitual Physical Activity in Children. In Children and Sport; Ilmarinen, J., Välimäki, I., Eds.; Springer: Berlin/Heidelberg, Germany, 1984; pp. 46–52. [Google Scholar] [CrossRef]
- Hartig, T.; Evans, G.W.; Jamner, L.D.; Davis, D.S.; Gärling, T. Tracking Restoration in Natural and Urban Field Settings. J. Environ. Psychol. 2003, 23, 109–123. [Google Scholar] [CrossRef]
- Brown, S.C.; Pantin, H.; Lombard, J.; Toro, M.; Huang, S.; Plater-Zyberk, E.; Perrino, T.; Perez-Gomez, G.; Barrera-Allen, L.; Szapocznik, J. Walk Score®: Associations with Purposive Walking in Recent Cuban Immigrants. Am. J. Prev. Med. 2013, 45, 202–206. [Google Scholar] [CrossRef] [Green Version]
- Carreira, H.; Amaral, T.F.; Brás-Silva, C.; Oliveira, B.M.P.M.; Borges, N. Hand Grip Strength in a Sample of 11 to 14 Years Old Children. Acta Med. Port. 2010, 23, 811–818. [Google Scholar]
- Leong, D.P.; Teo, K.K.; Rangarajan, S.; Lopez-Jaramillo, P.; Avezum, A.; Orlandini, A.; Seron, P.; Ahmed, S.H.; Rosengren, A.; Kelishadi, R.; et al. Prognostic Value of Grip Strength: Findings from the Prospective Urban Rural Epidemiology (PURE) Study. Lancet 2015, 386, 266–273. [Google Scholar] [CrossRef]
- Aaron, D.J.; Kriska, A.M.; Dearwater, S.R.; Anderson, R.L.; Olsen, T.L.; Cauley, J.A.; LaPorte, R.E. The Epidemiology of Leisure Physical Activity in an Adolescent Population. Med. Sci. Sports Exerc. 1993, 25, 847–853. [Google Scholar] [CrossRef]

| S1 | S2 | S3 | S4 | Total | |
|---|---|---|---|---|---|
| Gender | |||||
| Men (%) | 187 (45.3%) | 192 (49.1%) | 197 (47.9%) | 154 (54.4%) | 730 (48.7%) | 
| Women | 226 (54.7%) | 199 (50.9%) | 214 (52.1%) | 129 (45.6%) | 768 (51.3%) | 
| Grade | |||||
| Freshman year | 110 (26.6%) | 103 (26.4%) | 6 (1.5%) | 0 (0.0%) | |
| Sophomore year | 105 (25.4%) | 95 (24.3%) | 79 (19.2%) | 107 (37.8%) | |
| Junior year | 113 (27.4%) | 94 (24.0%) | 83 (20.2%) | 97 (34.3%) | |
| Senior year | 85 (20.6%) | 99 (25.3%) | 243 (59.1%) | 79 (27.9%) | |
| Total | 413 | 391 | 411 | 283 | 1498 | 
| S1 | S2 | S3 | S4 | p | |
|---|---|---|---|---|---|
| BMI | 22.31 ± 3.09 | 22.25 ± 2.90 | 22.12 ± 2.67 | 21.87 ± 2.47 | 0.556 | 
| Vital capacity | 4106 ± 697 | 4615 ± 899 | 4338 ± 666 | 3997 ± 648 | <0.01 | 
| Sit-and-reach | 12.00 ± 6.41 | 13.71 ± 6.18 | 10.99 ± 6.09 | 12.78 ± 6.12 | <0.01 | 
| Pull-up | 3.28 ± 3.44 | 4.96 ± 4.40 | 5.51 ± 5.75 | 6.77 ± 5.57 | <0.01 | 
| Grip strength | 40.84 ± 19.21 | 39.47 ± 14.25 | 41.95 ± 21.85 | 38.54 ± 19.32 | <0.01 | 
| 50 m running | 7.77 ± 0.63 | 7.82 ± 0.66 | 7.56 ± 0.52 | 7.71 ± 0.55 | <0.01 | 
| 1000 running | 267.57 ± 32.00 | 262.92 ± 26.50 | 257.54 ± 26.51 | 248.95 ± 29.14 | <0.01 | 
| S1 | S2 | S3 | S4 | |
|---|---|---|---|---|
| Street connectivity | 0.87 | 0.93 | 0.90 | 0.96 | 
| Land use mix | 24.18% | 34.02% | 6.77% | 11.78% | 
| Green space per capita | 25.29% | 43.03% | 49.24% | 25.91% | 
| Walk score | 70 | 82 | 78 | 73 | 
| S1 | S2 | S3 | S4 | p | |
|---|---|---|---|---|---|
| BMI | 21.17 ± 2.65 | 20.77 ± 2.53 | 21.21 ± 2.50 | 20.67 ± 2.36 | 0.064 | 
| Vital capacity | 2592 ± 477 | 3013 ± 559 | 2855 ± 481 | 2778 ± 516 | <0.01 | 
| Sit-and-reach | 15.25 ± 6.53 | 17.35 ± 5.20 | 14.95 ± 6.15 | 17.20 ± 5.27 | <0.01 | 
| Sit-up | 26.99 ± 9.20 | 36.38 ± 6.80 | 31.81 ± 9.93 | 31.00 ± 7.99 | <0.01 | 
| Grip strength | 25.20 ± 13.10 | 26.21 ± 12.35 | 27.25 ± 15.60 | 24.32 ± 12.69 | <0.01 | 
| 50 m running | 9.83 ± 0.87 | 9.88 ± 0.81 | 9.48 ± 0.76 | 9.62 ± 0.70 | <0.01 | 
| 800 running | 263.73 ± 24.38 | 265.37 ± 24.99 | 254.07 ± 26.24 | 252.78 ± 27.21 | <0.01 | 
| Mean ± SD (Male) | SC (p) | LUM (p) | GSPC (p) | WS (p) | |
|---|---|---|---|---|---|
| BMI | 22.14 ± 2.81 | - | - | - | - | 
| Vital capacity | 4280.16 ± 774.09 | 0.011 | <0.01 | <0.01 | <0.01 | 
| Sit-and-reach | 12.34 ± 6.28 | 0.308 | 0.465 | 0.975 | 0.812 | 
| Pull-up | 5.08 ± 5.00 | 0.523 | <0.01 | 0.101 | 0.003 | 
| Grip strength | 41.95 ± 21.85 | 0.012 | 0.014 | 0.096 | <0.01 | 
| 50 m running | 7.71 ± 0.60 | 0.154 | 0.112 | <0.01 | 0.017 | 
| 1000 running | 259.71 ± 29.27 | 0.124 | 0.251 | 0.128 | <0.01 | 
| Mean ± SD (Female) | |||||
| BMI | 21.00 ± 2.54 | - | - | - | - | 
| Vital capacity | 2778.91 ± 516.51 | 0.003 | 0.003 | <0.001 | <0.001 | 
| Sit-and-reach | 16.04 ± 5.99 | 0.283 | <0.001 | <0.001 | 0.017 | 
| Curl-up | 31.44 ± 9.33 | <0.001 | 0.145 | 0.125 | <0.001 | 
| Grip strength | 25.20 ± 13.10 | <0.001 | 0.245 | <0.001 | <0.001 | 
| 50 m running | 9.71 ± 0.823 | 0.676 | 0.672 | 0.199 | 0.340 | 
| 800 running | 259.63 ± 26.0 | 0.002 | 0.002 | 0.957 | 0.032 | 
| Publisher’s Note: MDPI stays neutral with regard to jurisdictional claims in published maps and institutional affiliations. | 
© 2022 by the authors. Licensee MDPI, Basel, Switzerland. This article is an open access article distributed under the terms and conditions of the Creative Commons Attribution (CC BY) license (https://creativecommons.org/licenses/by/4.0/).
Share and Cite
Lu, Z.; Li, Z.; Mao, C.; Tan, Y.; Zhang, X.; Zhang, L.; Zhu, W.; Sun, Y. Correlation between Campus-Built Environment and Physical Fitness in College Students in Xi’an—A GIS Approach. Int. J. Environ. Res. Public Health 2022, 19, 7948. https://doi.org/10.3390/ijerph19137948
Lu Z, Li Z, Mao C, Tan Y, Zhang X, Zhang L, Zhu W, Sun Y. Correlation between Campus-Built Environment and Physical Fitness in College Students in Xi’an—A GIS Approach. International Journal of Environmental Research and Public Health. 2022; 19(13):7948. https://doi.org/10.3390/ijerph19137948
Chicago/Turabian StyleLu, Zijun, Zhengao Li, Chuangui Mao, Yuanyuan Tan, Xingyue Zhang, Ling Zhang, Wenfei Zhu, and Yuliang Sun. 2022. "Correlation between Campus-Built Environment and Physical Fitness in College Students in Xi’an—A GIS Approach" International Journal of Environmental Research and Public Health 19, no. 13: 7948. https://doi.org/10.3390/ijerph19137948
APA StyleLu, Z., Li, Z., Mao, C., Tan, Y., Zhang, X., Zhang, L., Zhu, W., & Sun, Y. (2022). Correlation between Campus-Built Environment and Physical Fitness in College Students in Xi’an—A GIS Approach. International Journal of Environmental Research and Public Health, 19(13), 7948. https://doi.org/10.3390/ijerph19137948
 
         
                                                




 
       