Impact of Basketball Match on the Pre-Competitive Anxiety and HRV of Youth Female Players
Abstract
:1. Introduction
2. Materials and Methods
2.1. Participants
2.2. Variables and Instruments
2.3. Procedure
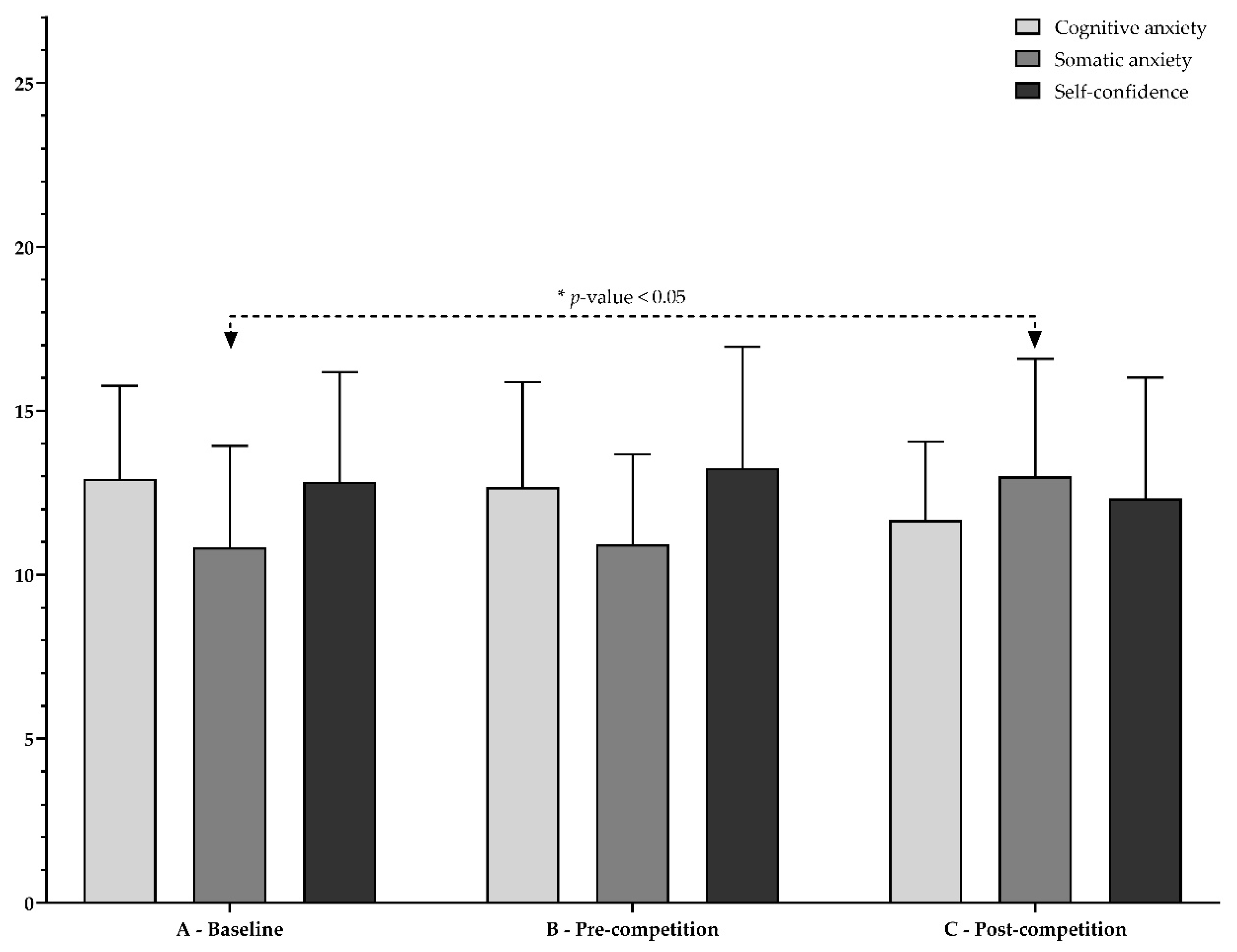
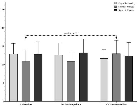
- Baseline: HRV data and pre-competitive anxiety were evaluated three days before the quarter-finals match. All participants were evaluated before the warm-up in the same training session.
- Pre-competition: HRV and pre-competitive anxiety were collected five minutes before starting the quarter-finals match’s warm-up.
- Post-competition: HRV and pre-competitive anxiety were collected immediately after the players arrived at the changing room.
2.4. Statistical Analysis
3. Results
4. Discussion
5. Conclusions
Author Contributions
Funding
Institutional Review Board Statement
Informed Consent Statement
Data Availability Statement
Acknowledgments
Conflicts of Interest
References
- Thayer, J.F.; Ahs, F.; Fredrikson, M.; Sollers, J.J., III; Wager, T.D. A meta-analysis of heart rate variability and neuroimaging studies: Implications for heart rate variability as a marker of stress and health. Neurosci. Biobehav. Rev. 2012, 36, 747–756. [Google Scholar] [CrossRef] [PubMed]
- Shaffer, F.; McCraty, R.; Zerr, C.L. A healthy heart is not a metronome: An integrative review of the heart’s anatomy and heart rate variability. Front. Psychol. 2014, 5, 1040. [Google Scholar] [CrossRef] [PubMed] [Green Version]
- Kim, H.G.; Cheon, E.J.; Bai, D.S.; Lee, Y.H.; Koo, B.H. Stress and Heart Rate Variability: A Meta-Analysis and Review of the Literature. Psychiatry Investig. 2018, 15, 235–245. [Google Scholar] [CrossRef] [PubMed] [Green Version]
- Ayuso-Moreno, R.; Fuentes-García, J.P.; Collado-Mateo, D.; Villafaina, S. Heart rate variability and pre-competitive anxiety according to the demanding level of the match in female soccer athletes. Physiol. Behav. 2020, 222, 112926. [Google Scholar] [CrossRef]
- Fuentes-García, J.P.; Crespo, M.; Martínez-Gallego, R.; Villafaina, S. Impact of match-induced pressure on HRV of junior tennis players. Physiol. Behav. 2022, 252, 113836. [Google Scholar] [CrossRef]
- Cervantes Blásquez, J.C.; Rodas Font, G.; Capdevila Ortís, L. Heart-rate variability and precompetitive anxiety in swimmers. Psicothema 2009, 21, 531–536. [Google Scholar]
- Fortes, L.S.; da Costa, B.D.V.; Paes, P.P.; do Nascimento Júnior, J.R.A.; Fiorese, L.; Ferreira, M.E.C. Influence of competitive-anxiety on heart rate variability in swimmers. J. Sports Sci. Med. 2017, 16, 498. [Google Scholar]
- Oliveira-Silva, I.; Silva, V.A.; Cunha, R.M.; Foster, C. Autonomic changes induced by pre-competitive stress in cyclists in relation to physical fitness and anxiety. PLoS ONE 2018, 13, e0209834. [Google Scholar] [CrossRef]
- Mateo, M.; Blasco-Lafarga, C.; Martínez-Navarro, I.; Guzmán, J.F.; Zabala, M. Heart rate variability and pre-competitive anxiety in BMX discipline. Eur. J. Appl. Physiol. 2012, 112, 113–123. [Google Scholar] [CrossRef]
- Martens, R.; Vealey, R.S.; Burton, D. Competitive Anxiety in Sport; Human Kinetics: Champaign, IL, USA, 1990. [Google Scholar]
- Ford, J.L.; Ildefonso, K.; Jones, M.L.; Arvinen-Barrow, M. Sport-related anxiety: Current insights. Open Access J. Sports Med. 2017, 8, 205–212. [Google Scholar] [CrossRef] [Green Version]
- Filaire, E.; Alix, D.; Ferrand, C.; Verger, M. Psychophysiological stress in tennis players during the first single match of a tournament. Psychoneuroendocrinology 2009, 34, 150–157. [Google Scholar] [CrossRef]
- Correia, M.; Rosado, A. Anxiety in athletes: Gender and type of sport differences. Int. J. Psychol. Res. 2019, 12, 9–17. [Google Scholar] [CrossRef]
- Ohannessian, C.M.; Milan, S.; Vannucci, A. Gender Differences in Anxiety Trajectories from Middle to Late Adolescence. J. Youth Adolesc. 2017, 46, 826–839. [Google Scholar] [CrossRef] [Green Version]
- Bahrami, F.; Yousefi, N. Females are more anxious than males: A metacognitive perspective. Iran. J. Psychiatry Behav. Sci. 2011, 5, 83–90. [Google Scholar]
- Kumar, A. An analysis of pre-competitive anxiety involving male and female basketball players. Int. J. Phys. Educ. Sports Health 2016, 3, 23–25. [Google Scholar]
- Martínez-Gallego, R.; Villafaina, S.; Crespo, M.; Fuentes-García, J.P. Gender and Age Influence in Pre-Competitive and Post-Competitive Anxiety in Young Tennis Players. Sustainability 2022, 14, 4966. [Google Scholar] [CrossRef]
- Ceballos Gurrola, O.; Pineda Espejel, H.A.; López Walle, J.M.; Tristán Rodríguez, J.L.; Medina Villanueva, M. Pre-competitive anxiety and self-confidence in pan american gymnasts. Sci. Gymnast. J. 2013, 5, 39–48. [Google Scholar]
- Engh, F. Why Johnny Hates Sports; Square One Publishers, Inc.: Garden City Park, NY, USA, 2002. [Google Scholar]
- Seggar, J.F.; Pedersen, D.M.; Hawkes, N.R.; McGown, C. A measure of stress for athletic performance. Percept. Mot. Ski. 1997, 84, 227–236. [Google Scholar] [CrossRef]
- Guillén, F.; Sánchez, R. Competitive anxiety in expert female athletes: Sources and intensity of anxiety in National Team and First Division Spanish basketball players. Percept. Mot. Ski. 2009, 109, 407–419. [Google Scholar] [CrossRef]
- Arruda, A.F.; Aoki, M.S.; Freitas, C.G.; Drago, G.; Oliveira, R.; Crewther, B.T.; Moreira, A. Influence of competition playing venue on the hormonal responses, state anxiety and perception of effort in elite basketball athletes. Physiol. Behav. 2014, 130, 1–5. [Google Scholar] [CrossRef]
- Bois, J.E.; Lalanne, J.; Delforge, C. The influence of parenting practices and parental presence on children’s and adolescents’ pre-competitive anxiety. J. Sports Sci. 2009, 27, 995–1005. [Google Scholar] [CrossRef]
- Abenza, L.; Alarcón, F.; Piñar, M.I.; Ureña, N. Relationship between the anxiety and performance of a basketball team during competition. Rev. Psicol. Deporte 2009, 18, 409–413. [Google Scholar]
- Arruda, A.F.S.; Aoki, M.S.; Paludo, A.C.; Moreira, A. Salivary steroid response and competitive anxiety in elite basketball players: Effect of opponent level. Physiol. Behav. 2017, 177, 291–296. [Google Scholar] [CrossRef]
- Hoover, S.J.; Winner, R.K.; McCutchan, H.; Beaudoin, C.C.; Judge, L.W.; Jones, L.M.; Leitzelar, B.; Hoover, D.L. Mood and Performance Anxiety in High School Basketball Players: A Pilot Study. Int. J. Exerc. Sci. 2017, 10, 604–618. [Google Scholar]
- Mohamed Nasr, S. A Comparative Study for Pre and Post Competition Anxiety Levels for Male and Female Basketball Juniors. J. Appl. Sports Sci. 2013, 3, 30–35. [Google Scholar]
- Cox, R.H.; Martens, M.P.; Russell, W.D. Measuring anxiety in athletics: The revised competitive state anxiety inventory–2. J. Sport Exerc. Psychol. 2003, 25, 519–533. [Google Scholar] [CrossRef]
- Fernández, E.M.A.; Río, G.L.; Fernández, C.A. Propiedades psicométricas de la versión española del Inventario de Ansiedad Competitiva CSAI-2R en deportistas. Psicothema 2007, 19, 150–155. [Google Scholar]
- De Rezende Barbosa, M.P.d.C.; Silva, N.T.d.; de Azevedo, F.M.; Pastre, C.M.; Vanderlei, L.C.M. Comparison of Polar® RS800G3™ heart rate monitor with Polar® S810i™ and electrocardiogram to obtain the series of RR intervals and analysis of heart rate variability at rest. Clin. Physiol. Funct. Imaging 2016, 36, 112–117. [Google Scholar] [CrossRef]
- Camm, A.J.; Malik, M.; Bigger, J.T.; Breithardt, G.; Cerutti, S.; Cohen, R.J.; Coumel, P.; Fallen, E.L.; Kennedy, H.L.; Kleiger, R.E. Heart rate variability: Standards of measurement, physiological interpretation and clinical use: Task Force of the European Society of Cardiology and the North American Society of Pacing and Electrophysiology. Ann. Noninvasive Electrocardiol. 1996, 1, 151–181. [Google Scholar]
- Catai, A.M.; Pastre, C.M.; de Godoy, M.F.; da Silva, E.; de Medeiros Takahashi, A.C.; Vanderlei, L.C.M. Heart rate variability: Are you using it properly? Standardisation checklist of procedures. Braz. J. Phys. Ther. 2020, 24, 91–102. [Google Scholar] [CrossRef] [PubMed]
- Tarvainen, M.P.; Niskanen, J.-P.; Lipponen, J.A.; Ranta-Aho, P.O.; Karjalainen, P.A. Kubios HRV—Heart rate variability analysis software. Comput. Methods Programs Biomed. 2014, 113, 210–220. [Google Scholar] [CrossRef]
- Aranda, C.; De-la-Cruz-Torres, B.; Orellana, J.N. Effects of different automatic filters on the analysis of heart rate variability with kubios HRV software. Arch. Med. Deporte 2017, 34, 196–200. [Google Scholar]
- Tarvainen, M.P.; Ranta-Aho, P.O.; Karjalainen, P.A. An advanced detrending method with application to HRV analysis. IEEE Trans. Biomed. Eng. 2002, 49, 172–175. [Google Scholar] [CrossRef] [PubMed]
- Kamen, P.W.; Krum, H.; Tonkin, A.M. Poincare plot of heart rate variability allows quantitative display of parasympathetic nervous activity in humans. Clin. Sci. 1996, 91, 201–208. [Google Scholar] [CrossRef] [Green Version]
- Karmakar, C.K.; Khandoker, A.H.; Voss, A.; Palaniswami, M. Sensitivity of temporal heart rate variability in Poincaré plot to changes in parasympathetic nervous system activity. Biomed. Eng. Online 2011, 10, 17. [Google Scholar] [CrossRef] [Green Version]
- Soares-Miranda, L.; Sattelmair, J.; Chaves, P.; Duncan, G.E.; Siscovick, D.S.; Stein, P.K.; Mozaffarian, D. Physical activity and heart rate variability in older adults: The Cardiovascular Health Study. Circulation 2014, 129, 2100–2110. [Google Scholar] [CrossRef] [Green Version]
- Weippert, M.; Behrens, M.; Rieger, A.; Behrens, K. Sample entropy and traditional measures of heart rate dynamics reveal different modes of cardiovascular control during low intensity exercise. Entropy 2014, 16, 5698–5711. [Google Scholar] [CrossRef] [Green Version]
- Michael, S.; Graham, K.S.; Davis, G.M.O. Cardiac Autonomic Responses during Exercise and Post-exercise Recovery Using Heart Rate Variability and Systolic Time Intervals-A Review. Front. Physiol. 2017, 8, 301. [Google Scholar] [CrossRef] [Green Version]
- Fritz, C.O.; Morris, P.E.; Richler, J.J. Effect Size Estimates: Current Use, Calculations, and Interpretation. J. Exp. Psychol. Gen. 2012, 141, 2–18. [Google Scholar] [CrossRef] [Green Version]
- Coolican, H. Research Methods and Statistics in Psychology; Psychology Press: London, UK, 2017. [Google Scholar]
- Kaplánová, A. Self-esteem, anxiety and coping strategies to manage stress in ice hockey. Acta Gymnica 2019, 49, 10–15. [Google Scholar] [CrossRef] [Green Version]
- Kaplánová, A. Competitive Anxiety, and Guilt and Shame Proneness From Perspective Type D and Non-type D Football Players. Front. Psychol. 2021, 12, 754. [Google Scholar] [CrossRef]
- Vila, G.O.; Rodríguez, J.R.; Fuentes-Guerra, F.J.G.; Martín, J.F.; Sánchez, A.C.J.; González, L.J.D.; Robles, M.T.A. Competitive anxiety in young basketball players from the Real Madrid Foundation. Sustainability 2020, 12, 3596. [Google Scholar] [CrossRef]
- Meckel, Y.; Gottlieb, R.; Eliakim, A. Repeated sprint tests in young basketball players at different game stages. Eur. J. Appl. Physiol. 2009, 107, 273–279. [Google Scholar] [CrossRef]
- Gottlieb, R.; Eliakim, A.; Shalom, A.; Dello-Iacono, A.; Meckel, Y. Improving anaerobic fitness in young basketball players: Plyometric vs. specific sprint training. J. Athl. Enhanc. 2014, 3, 1–6. [Google Scholar]
- Jones, J.G.; Cale, A. Relationships between multidimensional competitive state anxiety and cognitive and motor subcomponents of performance. J. Sports Sci. 1989, 7, 229–240. [Google Scholar] [CrossRef]
- Kristjánsdóttir, H.; Erlingsdóttir, A.V.; Sveinsson, G.; Saavedra, J.M. Psychological skills, mental toughness and anxiety in elite handball players. Personal. Individ. Differ. 2018, 134, 125–130. [Google Scholar] [CrossRef]
- O’Donoghue, P.; Neil, R. Relative age effect on behavioural regulation, burnout potential and anxiety of sports students. Eur. J. Hum. Mov. 2015, 35, 1–11. [Google Scholar]
- Hussain, F.; Zaman, A.; Idris, M. Pre-competitive anxiety linked with gender difference in collegiate athletes of Khyber Pakistan. J. Appl. Environ. Biol. Sci. 2014, 4, 82–93. [Google Scholar]
- Koronas, V.; Tohanean, D.; Salonikidis, K. Precompetition Anxiety and Stress in Tennis: Review of Literature. Bull. Transilv. Univ. Braşov. 2020, 13, 43–52. [Google Scholar] [CrossRef]
- Grupe, D.W.; Nitschke, J.B. Uncertainty and anticipation in anxiety: An integrated neurobiological and psychological perspective. Nat. Rev. Neurosci. 2013, 14, 488–501. [Google Scholar] [CrossRef]
- Smoll, F.L.; Smith, R.E.; Cumming, S.P. Effects of coach and parent training on performance anxiety in young athletes: A systemic approach. J. Youth Dev. 2007, 2, 19–36. [Google Scholar] [CrossRef] [Green Version]
- Ravé, G.; Fortrat, J.-O. Heart rate variability in the standing position reflects training adaptation in professional soccer players. Eur. J. Appl. Physiol. 2016, 116, 1575–1582. [Google Scholar] [CrossRef] [PubMed]
- Boullosa, D.A.; Abreu, L.; Nakamura, F.Y.; Muñoz, V.E.; Domínguez, E.; Leicht, A.S. Cardiac autonomic adaptations in elite Spanish soccer players during preseason. Int. J. Sports Physiol. Perform. 2013, 8, 400–409. [Google Scholar] [CrossRef] [PubMed] [Green Version]
- Parraca, J.A.; Alegrete, J.; Villafaina, S.; Batalha, N.; Fuentes-García, J.P.; Muñoz, D.; Fernandes, O. Heart Rate Variability Monitoring during a Padel Match. Int. J. Environ. Res. Public Health 2022, 19, 3623. [Google Scholar] [CrossRef]
- Mazon, J.H.; Gastaldi, A.C.; Martins-Pinge, M.C.; Eduardo de Araújo, J.; Dutra de Souza, H.C. Study of Heart Rate Variability and Stress Markers in Basketball Players Submitted to Selective Loads Periodization System. Am. J. Sports Sci. 2015, 3, 46–51. [Google Scholar] [CrossRef] [Green Version]
- Mourot, L.; Bouhaddi, M.; Perrey, S.; Cappelle, S.; Henriet, M.T.; Wolf, J.P.; Rouillon, J.D.; Regnard, J. Decrease in heart rate variability with overtraining: Assessment by the Poincaré plot analysis. Clin. Physiol. Funct. Imaging 2004, 24, 10–18. [Google Scholar] [CrossRef] [Green Version]
- Thayer, J.F.; Yamamoto, S.S.; Brosschot, J.F. The relationship of autonomic imbalance, heart rate variability and cardiovascular disease risk factors. Int. J. Cardiol. 2010, 141, 122–131. [Google Scholar] [CrossRef]
- Jimenez, C.N.; Álvarez, J.R.; Mainer, E.P.; Orellana, J.N. La variabilidad de la frecuencia cardiaca en el control del entrenamiento en un corredor de Ironman: Estudio de caso. Retos Nuevas Tend. Educ. Fís. Deporte Y Recreac. 2020, 37, 339–343. [Google Scholar]
- Nieto-Jiménez, C.; Pardos-Mainer, E.; Ruso-Álvarez, J.F.; Naranjo-Orellana, J. Training Load and HRV in a Female Athlete: A Case Study. Rev. Int. Med. Y Cienc. Act. Física Y Deporte 2020, 20, 321–333. [Google Scholar]
- Villafaina, S.; Merellano-Navarro, E.; García-Ceberino, J.M. Coach’s Perception of Parent’s Attitudes in School-Age Sports. Int. J. Environ. Res. Public Health 2021, 18, 10701. [Google Scholar] [CrossRef]
- Trujillo-Torrealva, D.; Reyes-Bossio, M. Mindfulness-based program for the reduction of precompetitive anxiety in martial arts athletes. Retos Neuvas Tend. Educ. Fís. Deporte Y Recreac. 2019, 36, 418–426. [Google Scholar]



| Variables | Mean (SD) | 95% CI |
|---|---|---|
| Age (years) | 14.00 (1.41) | 13.10–14.90 |
| Basketball experience (years) | 4.00 (0.85) | 3.46–4.54 |
| Height (m) | 1.67 (0.05) | 1.63–1.70 |
| Weight (kg) | 57.18 (5.86) | 53.45–60.90 |
| Body Mass Index (kg/m2) | 20.60 (1.78) | 19.46–21.73 |
| Variables | Baseline Mean (SD) | Pre-Competition Mean (SD) | Post-Competition Mean (SD) | p-Value | Effect Size | Pairwise Comparisons |
|---|---|---|---|---|---|---|
| mean HR | 85.33 (10.17) | 89.91 (11.34) | 104.30 (11.17) | <0.001 | 2.58 | A > C; B > C |
| RR-interval | 718.48 (85.75) | 683.58 (91.57) | 683.58 (586.91) | 0.001 | 2.53 | A > C; B > C |
| pNN50 | 18.77 (20.07) | 17.34 (14.61) | 5.72 (8.70) | 0.001 | 2.53 | B > C |
| SDNN | 42.55 (18.15) | 44.87 (14.66) | 31.18 (13.41) | 0.009 | 1.58 | B > C |
| RMSSD | 41.23 (28.04) | 37.00 (17.01) | 21.82 (13.91) | <0.001 | 2.58 | A > C; B > C |
| HFnu | 32.75 (16.50) | 33.29 (12.92) | 23.89 (7.93) | 0.028 | 1.19 | B > C |
| LFnu | 67.07 (16.53) | 66.65 (12.93) | 76.06 (7.95) | 0.028 | 1.19 | C > B |
| LF/HF | 2.89 (1.99) | 2.67 (2.22) | 4.36 (4.45) | 0.028 | 1.19 | C > B |
| Total power | 1729 (1470) | 1874 (1027) | 1095 (1294) | 0.050 | 1 | B > C |
| SD1 | 29.19 (19.86) | 26.91 (12.06) | 15.45 (9.85) | <0.001 | 2.58 | A > C; B > C |
| SD2 | 51.87 (18.38) | 57.02 (17.32) | 41.10 (16.62) | 0.028 | 1.19 | B > C |
| SampEn | 1.64 (0.35) | 1.44 (0.28) | 1.07 (0.33) | 0.004 | 1.86 | A > C |
Publisher’s Note: MDPI stays neutral with regard to jurisdictional claims in published maps and institutional affiliations. |
© 2022 by the authors. Licensee MDPI, Basel, Switzerland. This article is an open access article distributed under the terms and conditions of the Creative Commons Attribution (CC BY) license (https://creativecommons.org/licenses/by/4.0/).
Share and Cite
García-Ceberino, J.M.; Fuentes-García, J.P.; Villafaina, S. Impact of Basketball Match on the Pre-Competitive Anxiety and HRV of Youth Female Players. Int. J. Environ. Res. Public Health 2022, 19, 7894. https://doi.org/10.3390/ijerph19137894
García-Ceberino JM, Fuentes-García JP, Villafaina S. Impact of Basketball Match on the Pre-Competitive Anxiety and HRV of Youth Female Players. International Journal of Environmental Research and Public Health. 2022; 19(13):7894. https://doi.org/10.3390/ijerph19137894
Chicago/Turabian StyleGarcía-Ceberino, Juan M., Juan Pedro Fuentes-García, and Santos Villafaina. 2022. "Impact of Basketball Match on the Pre-Competitive Anxiety and HRV of Youth Female Players" International Journal of Environmental Research and Public Health 19, no. 13: 7894. https://doi.org/10.3390/ijerph19137894
APA StyleGarcía-Ceberino, J. M., Fuentes-García, J. P., & Villafaina, S. (2022). Impact of Basketball Match on the Pre-Competitive Anxiety and HRV of Youth Female Players. International Journal of Environmental Research and Public Health, 19(13), 7894. https://doi.org/10.3390/ijerph19137894

