Next Article in Journal
Livelihood Resilience or Policy Attraction? Factors Determining Households’ Willingness to Participate in Rural Tourism in Western China
Next Article in Special Issue
Land Use Transition and Eco-Environmental Effects in Karst Mountain Area Based on Production-Living-Ecological Space: A Case Study of Longlin Multinational Autonomous County, Southwest China
Previous Article in Journal
Teacher Support Matters: The Effect of Self-Control Demands on Safety Behavior of Vocational High School Students in China
 
 
Font Type:
Arial Georgia Verdana
Font Size:
Aa Aa Aa
Line Spacing:
Column Width:
Background:
Article

Spatiotemporal Differentiation and Balance Pattern of Ecosystem Service Supply and Demand in the Yangtze River Economic Belt

1
School of Chemistry and Environmental Engineering, Wuhan Polytechnic University, Wuhan 430040, China
2
College of Urban and Environmental Sciences, Central China Normal University, Wuhan 430079, China
3
School of Business Administration, Zhongnan University of Economics and Law, Wuhan 430073, China
4
Faculty of Resources and Environmental Science, Hubei University, Wuhan 430062, China
*
Author to whom correspondence should be addressed.
Int. J. Environ. Res. Public Health 2022, 19(12), 7223; https://doi.org/10.3390/ijerph19127223
Submission received: 12 May 2022 / Revised: 10 June 2022 / Accepted: 11 June 2022 / Published: 13 June 2022

Abstract

:
Analyzing the supply and demand of ecosystem services and the regional balance pattern is an important basis for improving the ecological management level. Taking the Yangtze River economic belt as the study area, the spatiotemporal characteristics and balance pattern of ecosystem service supply and demand are quantitatively revealed based on equivalent factors, supply and demand balance modeling and quantile regression. The results show that: (1) the ecosystem services value in the research area experienced a change process of “increase–decrease–increase” from 2000 to 2020. The ecological service value of cultivated land and grassland presented a continuous decline, with decreases of 20.446 billion and 4.53 billion yuan, respectively, in the past 20 years, with reduction rates of −4.82% and −3.98%, respectively. (2) The demand for ecosystem services showed an unbalanced and phased growth trend. The total demand for ecosystem services showed heterogeneity and agglomeration effects in space. High demand and higher demand areas are mainly distributed in the regions with relatively developed population and economy, including Yangtze River Delta urban agglomeration, “Changsha–Zhuzhou–Xiangtan” urban agglomeration, Poyang Lake Plain, Jianghan Plain and Chengdu Plain. (3) The overall pattern of the supply–demand balance of ecosystem services has changed little; however, there have also been significant changes in certain areas in individual years.

1. Introduction

Ecosystem services (ES) refer to ecological products and services that mankind obtains through direct or indirect means [1], as well as environmental conditions and utilities that affect mankind’s continuation and prosperity [2]. The complex linkages between nature and mankind is manifested through the supply and demand of ecosystem services [3]. The supply of ecosystem services is considered to be the various benefits produced by the ecosystem for human beings [4], while the ecosystem services demand is considered to be the expenditure and utilization of the products and services supplied by the ecosystem [5], which together form the complex procedure of ecosystem products and services flowing from the natural environment to the socio-economic system [6,7,8]. Studying ecosystem services from the viewpoint of supply and demand can better promote the realization of ecological security and sustainable development of society and economy [9,10,11]. Identifying the supply areas of ecosystem services and assessing their supply potential will help to meet the growing social needs [12,13]. Clarifying the demand space and demand structure of ecosystem services will be helpful in exploring what impact ecosystem services have on economic development, including promotion and restriction [14,15]. Analyzing the differences between the supply and demand of ecosystem services can not only reflect the spatial allocation of environmental resources but also provide a new perspective for ecosystem service payment and ecological compensation [16]. However, against the backdrop of rapid urbanization, population migration and continuous expansion of impervious surface, the balance between the supply and demand of ecosystem services has been gradually broken, resulting in a series of environmental damage, including habitat loss, air pollution, reduction of ecological land and environmental damage. It will be helpful to promote the efficiency of ecosystem management by identifying, analyzing and calculating the supply–demand and the balance pattern of ecosystem services.
The current research mainly focuses on ecosystem service assessment [17,18,19], ecosystem service simulation prediction [20,21,22], driving mechanism [23,24], trade-off and coordination [25,26], human well-being [27,28] and ecosystem service supply and demand [10,14,15]. The research on the “supply–demand” balance of ecosystem services mainly concerns two aspects: First, the calculation and spatiotemporal representation of the ecosystem services in “supply–demand balance”. At present, the spatial methods of ecosystem service supply and demand are diverse and have their own advantages and disadvantages due to different research areas, objectives, objects and data [10,29,30,31]. Combing the existing literature, the spatial methods can be summarized into four categories: land use estimation [32,33], ecological process simulation [34,35], data spatial superposition [36,37] and expert experience discrimination [38]. In addition, as an integrated model integrating multiple algorithms into the same platform, InVEST (integrated valuation of ecosystem services and trade-offs) [39,40,41,42] and ARIES (artificial intelligence for ecosystem services) [43,44] have different development purposes and application scopes; however, they can select corresponding modules for spatial analysis for a variety of ecosystem service types, which have good development and application prospects [10]. Many scholars have studied the spatiotemporal evolution of the balance between the supply and demand of ecosystem services from various scales, such as national [45], city [36,46], county [47,48], Yangtze River economic belt [49], Yangtze River Delta urban agglomeration [29,50] and land senses [51]. Second is the application of the balance between the supply and demand of ecosystem services. The connection between the supply and demand of ecosystem services has been applied from the aspects of ecological network spatial optimization [30,31,52,53], land regulation spatial zoning [54,55,56,57], ecological security pattern [50,58,59,60,61] and land ecological restoration [62,63,64]. The existing research results have laid a certain foundation for exploring the pattern of balanced supply–demand relationship for ecosystem services; however, there are still some improvements. First, these results mostly depend on large scales, such as national, provincial and municipal levels, but pay less attention to the measurement of the spatiotemporal evolution of basin scales [65,66]. Second, they focus on the unilateral spatiotemporal succession of supply and demand; however, there are relatively few studies on the spatiotemporal evolution of both the supply and demand sides and the balance pattern of supply and demand [67,68]. Third, the research focuses on economically developed regions, including “Beijing–Tianjin–Hebei” urban Agglomeration and Yangtze River Delta urban agglomeration and pays less attention to the ecosystem services from the perspective of “supply–demand-balance” pattern in the research area [69,70,71].
With unique geographical environment and convenient land and water transportation conditions, the Yangtze River Economic Belt has gathered many modern industries and leading enterprises, such as steel, automobile, electronics and petrochemical, in China and has become an economic belt with the strongest economic development level and comprehensive competitiveness in China [72]. At the same time, it is also a priority area for biodiversity protection with more ecological security barriers and global significance. However, inadequate protection of the river basin has recently resulted in frequent ecological problems [54]. This study attempts to take the Yangtze River economic belt as the research area to select relevant data on land use type from 2000 to 2020 and adopt the methods of equivalent factor, supply–demand balance analysis and quantile regression to quantitatively analyze the supply–demand and balance pattern of ecosystem services in the research area to thus provide a decision-making basis to realize harmonious development between the economy and environment.

2. Materials and Methods

2.1. Research Area

The research area consists of two municipalities and nine provinces, namely Chongqing, Jiangxi, Hubei, Hunan, Shanghai, Guangzhou, Yunnan, Sichuan, Anhui, Zhejiang and Jiangsu (see Figure 1). It covers an area of about 2.0523 million square kilometers, accounting for 21.4% of China’s total land area. The proportion of population and GDP (Gross Domestic Product) in the study area in China exceeds 40% [73]. With a subtropical monsoon climate, the region is characterized by sufficient precipitation and simultaneous rain and heat. The terrain of this area is undulating, complex and diverse, and the plateau and mountainous areas account for a large proportion.
The Yangtze River economic belt, mainly composed of Sichuan Basin and the plains in the middle and lower reaches of the Yangtze River, is an important ecological security barrier area in China. It not only has many lakes, wetlands and relatively rich water resources but also has fragile ecological environment areas in many countries. The research area has formed some key areas and covered more than 50 prefecture level cities, including the Yangtze River Delta urban agglomeration, “Changsha–Zhuzhou–Xiangtan” urban agglomeration, Hefei metropolitan area, “Chengdu–Chongqing” urban agglomeration, Wuhan urban agglomeration, Central Yunnan Urban Agglomeration and central Guizhou urban agglomeration.

2.2. Data Source

The research data mainly include land use data, night light remote sensing data and economic data. Among the three types of data, the land use data comes from the resource and environment science data center of the Chinese Academy of Sciences (https://www.resdc.cn, accessed on 1 March 2022), with a resolution of 1 km, and the research periods are 2000, 2005, 2010, 2015 and 2020. By re-classifying the data of land use types each year, this study obtained six primary land use types (including cultivated land, forest land, grassland, water area, construction land and unused land).
The population density data comes from the WorldPop data set with a 1 km resolution (https://www.worldpop.org/methods/populations, accessed on 1 March 2022). The nighttime light data comes from DMSP-OLS nighttime lights (https://www.ngdc.noaa.gov, accessed on 1 March 2022) and VIIRS nighttime lights (https://eogdata.mines.edu/product/vnl/, accessed on 1 March 2022). This study takes the county-level administrative units as the research unit for the analysis of the supply and demand and balance pattern of ecosystem services in the research area. Figure 2 is the technical route of the whole article.

2.3. Research Method

2.3.1. Ecosystem Service Supply

Ecosystem service supply is the capability of ecosystem to supply specific ecological products and services in specific time and space [3]. Ecosystem services value (ESV) is an economic measure of the supply capacity, which can reflect the supply state of ecosystem services to an extent [74]. At present, scholars mainly use the functional value method [25,75] and the equivalent factor method [49,50] to compute the supply of ecosystem services.
Among them, the equivalent factor method is relatively easy to use, the calculation steps are simplified, the required data are few, and the evaluation results are highly comparable. Hence, this method is frequently used in evaluating the supply of ecosystem services. Therefore, based on the relevant achievements of [76,77], this study obtains the ecological value coefficient of each land use type (see Table 1) to calculate the ecosystem service value of the study area. The formula is as follows:
  E S V = ( A k × V C k )
where ESV is the ecosystem service value in the research area, unit: yuan/a; Ak is the area of class k land use type in the research area, unit: hm2; and VCk is the ecosystem service value coefficient of class k land use type, unit: yuan/(hm2·a);

2.3.2. Ecosystem Service Demand

Referring to the research of [3], this study applies the comprehensive index, composing of land use degree, population density and night light comprehensive index, to calculate the demand of ecosystem services [72]. The formula is as follows:
  X i = D i × log P i × log N L C I i
where X is the ecosystem service demand index; Di is the degree of land use (%); Pi is the population density (person/km2); NLCIi represents the night light comprehensive index; and i is the serial number of the administrative region.
The degree of land use is expressed by the percentage of the built-up area in a certain area in the total land area [54]. Based on the research results of [78,79], the night light comprehensive index (NLCI) is calculated as follows:
N L C I = P 1 × I + P 2 × S
where I is the average night light intensity of the study area, and S is the proportion of the light pixel area of the study area to the total pixel area of the study area. P1 and P2 represents the weights of I and S, which are 0.8 and 0.2, respectively.
The calculation formula of average night light intensity I is
I = j = 1 63 ( D N j × N j ) N t × 63
where DNj is the pixel gray value of the j gray level. Nj is the number of all pixels of the j-th gray level. Nt is the total number of pixels with 63 ≤ DN ≤ 1.
The proportion of night light pixel area to the total pixel area S is calculated as follows:
S = N t N
where Nt is the number of all pixels with 63 ≤ DN ≤ 1; and N is the total number of pixels in the study area.

2.3.3. Balance between the Supply and Demand of Ecosystem Services

On the basis of referring to the concept of the supply and demand of the ecological carrying capacity proposed by [80] and the construction method of comprehensive index of the supply and demand of ecosystem services proposed by [81], this study uses the supply and demand balance index of ecosystem services to reflect the supply and demand status of ecosystem services, including the surplus, deficit and balance. The formula is as follows:
B I = E S V X
where BI refers to the balance index of the supply and demand of ecosystem services, ESV refers to the supply of ecosystem services, and X refers to the demand of ecosystem services.

2.3.4. Quantile Regression Analysis

Referring to the research of [47] and taking the supply–demand balance index of ecosystem service as the explained variable and the proportion of each land use as the explanatory variable, a quantile regression model is established to quantify the effect of each land use type with regard to the ecosystem service supply and demand balance index. Compared with ordinary least squares (OLS), quantile regression can measure the regression coefficient of the explained variable under different quantiles [82] and is less affected by extreme values. The formula is as follows:
Q θ ( Y | X ) = X β ( θ )
where Q θ ( Y | X ) is the value of the explained variable Y at the θ quantile when the explanatory variable X is clear. X = (urban land proportion, rural residential area proportion, other construction land proportion, paddy field proportion, dry land proportion, other forest land proportion, natural grassland proportion, river canal proportion, forest land proportion and lake proportion), and X is the vector of explanatory variables [47]. β ( θ ) is the regression coefficient vector at locus θ , which meets the following requirements [82]:
β ( θ ) = m i n { i : Y X θ | y Y X β | + i : Y < X β ( θ ) ( 1 θ ) | Y X β ( θ ) | }
With the value of θ from 0 to 1, this method can describe the conditional distribution trajectories of all Y on X. This study gives the parameter estimation results at 0.1, 0.3, 0.5, 0.7 and 0.9 quantile to analyze the role of various land use types on the supply–demand balance index of different ecosystem services.

3. Results

3.1. Changes of Land Use Types

As can be seen from Figure 3 and Table 2, according to the land use data, the cultivated land area of this region decreased the most from 2000 to 2020, with a decrease of 30,768 km2. In addition, the growth rate of construction land area ranked first among various land use type, with an increase of 35,687 km2. The water area increased by 5732 km2. Forest land increased by 2156 km2, grassland decreased by 13,599 km2, and the area of unused land changed little. In terms of growth rate, from 2015 to 2020, the growth rate of construction land area is the largest, as high as 21.86%. The cultivated land, forest land, grassland and water also changed with the growth rates of −1.82%, 0.36%, −3.37% and 4.26%, respectively. In terms of phased changes, the cultivated land and grassland area has been decreasing with different scales. The water and construction land continue to grow steadily, and the unused land shows a wave type of “decrease–increase–decrease”.

3.2. Ecosystem Services Supply

In ArcGIS 10.7 software (ESRI, Redlands, CA, USA), the ecosystem services supply of the Yangtze River Economic Belt is divided into five levels according to the natural breakpoint method, including high supply, higher supply, general supply, lower supply and low supply. Figure 4 and Table 3 show that the total value of ecosystem services in research area experienced a dynamic process of “increase–decrease–increase” from 2000 to 2020. It increased from 2890.479 billion yuan in 2000 to 2894.590 billion yuan in 2005, an increase of 4.111 billion yuan, with a growth rate of 0.14%, then decreased to 2893.758 billion yuan in 2010, a decrease of 832 million yuan, with a reduction rate of −0.03%. Subsequently, it continued to decrease to 2887.273 billion yuan in 2015, a decrease of 6.484 billion yuan, with a reduction rate of −0.22% and finally increased by 3.198 billion yuan, reaching 2890.472 billion yuan in 2020, with a growth rate of 0.11%. The ecosystem services value of cultivated land and grassland showed a trend of continuous decline, with decreases of 20.446 billion and 4.53 billion yuan, respectively, in the last 20 years, with reduction rates of −4.82% and −3.98% respectively. After experiencing the change process of “increase–decrease–increase”, the ecosystem service value of unused land increased by 3 million yuan. The ecosystem service value of the water area has continued to grow, with an increase of 25.363 billion yuan in recent 20 years, with a growth rate of 9.90%.
Table 4 shows that in the dynamic change of single ecosystem service value from 2000 to 2005, except for the increase of ecosystem service value of water conservation, waste treatment, raw materials and entertainment, the remaining single ecosystem service value reflects the reduction in varying degrees. Among them, gas regulation, climate regulation, soil formation and protection, biodiversity protection and food production decreased by 1.8 billion, 2.994 billion, 6.056 billion, 1.479 billion and 3.275 billion yuan, respectively. Over time, the value of gas regulation, climate regulation, soil formation and protection and food production decreased continuously from 2000 to 2020. The value of water conservation and entertainment continues to increase due to the overall growth of wetland and water area. Waste treatment and raw materials go through an “increase–decrease–increase” process. From the composition of ecosystem service value, the proportion of individual ecosystem service value is as follows: soil formation and protection > water conservation > biodiversity protection > gas regulation > waste treatment > climate regulation > raw materials > entertainment > food production.
Among them, the soil formation and protection and water conservation account for a large proportion, accounting for more than 15% of the total value of each year. Including biodiversity protection, gas regulation, waste treatment and climate regulation, the sum of the four is basically maintained at more than 40% of the total value of each year. The food production value is the lowest, accounting for no more than 3% of the total value of ecosystem services per year. The sum of the six functional values, including waste treatment, biodiversity protection, soil formation and protection, water conservation, climate regulation and gas regulation, accounts for more than 80% of the total value of ecosystem services in each year.

3.3. Ecosystem Services Demand

In ArcGIS 10.7, this paper divides the night light comprehensive index, population density and land use degree into five levels based on the natural breakpoint method. In Figure 5, the comprehensive index of night light, population density and land use degree show relatively consistent change characteristics—that is, unbalanced development and a distinct urban agglomeration effect. The unbalanced development is manifested as “higher in the East and lower in the west, higher in the coast and lower in the interior”. The overall development level of the eastern region is higher than that of the central and western regions, and the regional urbanization level of the coastal zone is much higher than that of the inland region. In particular, the spatial distribution characteristics of night light comprehensive index are very clear. In 2000, there was still a data gap in the northwest of Sichuan Province, indicating that human economic activities were not distinct yet. By 2020, the areas with data gaps had large traces of human activities. This also shows the superiority of using the night light index instead of the GDP per area to express the economic density, which can express the intensity of economic activities more clearly. The urban agglomeration effect is reflected in that, throughout the study period, the Yangtze River Delta urban agglomeration, northern Jiangsu, Chengdu Plain, Hefei urban circle, Central Yunnan Urban Agglomeration, Poyang Lake Plain, “Changsha–Zhuzhou–Xiangtan” urban agglomeration and Jianghan Plain show the characteristics of strong economic activity, population concentration and high land use degree, and the general area, low value area and lower value area are surrounded around the high value area and higher value area.
According to the natural breakpoint method, the ecosystem services demand is divided into five levels in ArcGIS 10.7, namely, high demand, higher demand, general demand, low demand and lower demand. Figure 6 show that the overall demand for ecosystem services from 2000 to 2020 reflects the characteristics of unbalanced and phased growth. From 2000 to 2005, the demand of Yangtze River Delta urban agglomeration, Sichuan Basin, northern Jiangsu and Wuhan urban circle increased rapidly. From 2005 to 2010, the growth of the overall demand in the research area was not obvious; however, the demand of some urban agglomerations in the Yangtze River Delta is still expanding. From 2010 to 2015, the demand growth of Chongqing, Chengdu, Wuhan, Kunming, “Changsha–Zhuzhou–Xiangtan” urban agglomeration, Nanchang and southern Zhejiang is relatively clear. The total demand for ecosystem services shows the characteristics of heterogeneity and agglomeration in space, which is mainly reflected in that the high demand and higher demand areas are mainly areas with relatively developed population and economy, such as Chengdu Plain, Yangtze River Delta urban agglomeration, Poyang Lake Plain, “Changsha–Zhuzhou–Xiangtan” urban agglomeration and Jianghan Plain.
The periphery of high demand and high demand is surrounded by a general demand area, low demand area and lower demand area. Considering that China is still in the process of urbanization and population urbanization, economic urbanization and geospatial urbanization are particularly obvious in economically developed provincial capital cities and urban agglomerations, and the demand for ecosystem services in these areas is increasing. The economy of the periphery of the economic center and areas with relatively poor geographical environment is comparatively backward, resulting in lower population and low demand for ecosystem services.

3.4. Balace Pattern between the Supply and Demand of Ecosystem Services

The supply–demand balance index of ecosystem services can roughly reflect the balance between the supply and demand of ecosystem services in the research area [50]. The natural breakpoint method applied in ArcGIS divides the region into seven types of areas: high surplus area, higher surplus area, general surplus area, high deficit area, higher deficit area, general deficit area and supply–demand balance area [54] (as shown in Figure 7).
With regard to time, the distribution of the supply–demand balance changed slightly from 2000 to 2020; however, there were clear fluctuations in some areas in individual years. The dimension of the high deficit area was not shrinking but expanding. In the Yangtze River Delta urban agglomeration, Chengdu, Kunming, “Changsha–Zhuzhou–Xiangtan” urban agglomeration and Wuhan, there are many general deficit areas transformed into high deficit areas and higher deficit areas, reflecting the imbalanced pressure of ecosystem services in these areas. In the future development, such areas should increase ecological land reasonably and control the unlimited expansion of construction land. In terms of spatial change, high surplus areas and higher surplus areas are distributed in western Sichuan, southern Sichuan, southwestern Sichuan, southern Yunnan, southeast Yunnan, western Hunan, southwestern Hubei and northwestern Hubei. These areas are the key areas of ecological protection, and with smaller populations, the supply of ecosystem services is in these areas are far greater than the demand, which results in a higher surplus. Generally, surplus areas are mostly located in the periphery of higher surplus areas and mostly in the transition zone of terrain, and the supply of ecosystem services is slightly greater than the demand in these areas.
The supply–demand balance areas are mainly distributed in the middle and lower reaches of the Yangtze River Plain, Sichuan Basin, Dongting Lake Plain and Poyang Lake Plain. High deficit areas and higher deficit areas are mainly distributed in the Yangtze River Delta, as well as Chongqing, Chengdu, Changsha, Wuhan, Kunming, Guizhou and Nanchang. These areas have a concentrated population, prosperous economy and high level of urbanization. The demand for ecosystem services in these areas is far greater than the supply. By 2020, the general deficit areas will be mainly distributed around the Yangtze River Delta Urban Agglomerations, northern Anhui and northern Jiangsu.

3.5. The Relationship between the Spatial Pattern of the Supply and Demand of Ecosystem Services

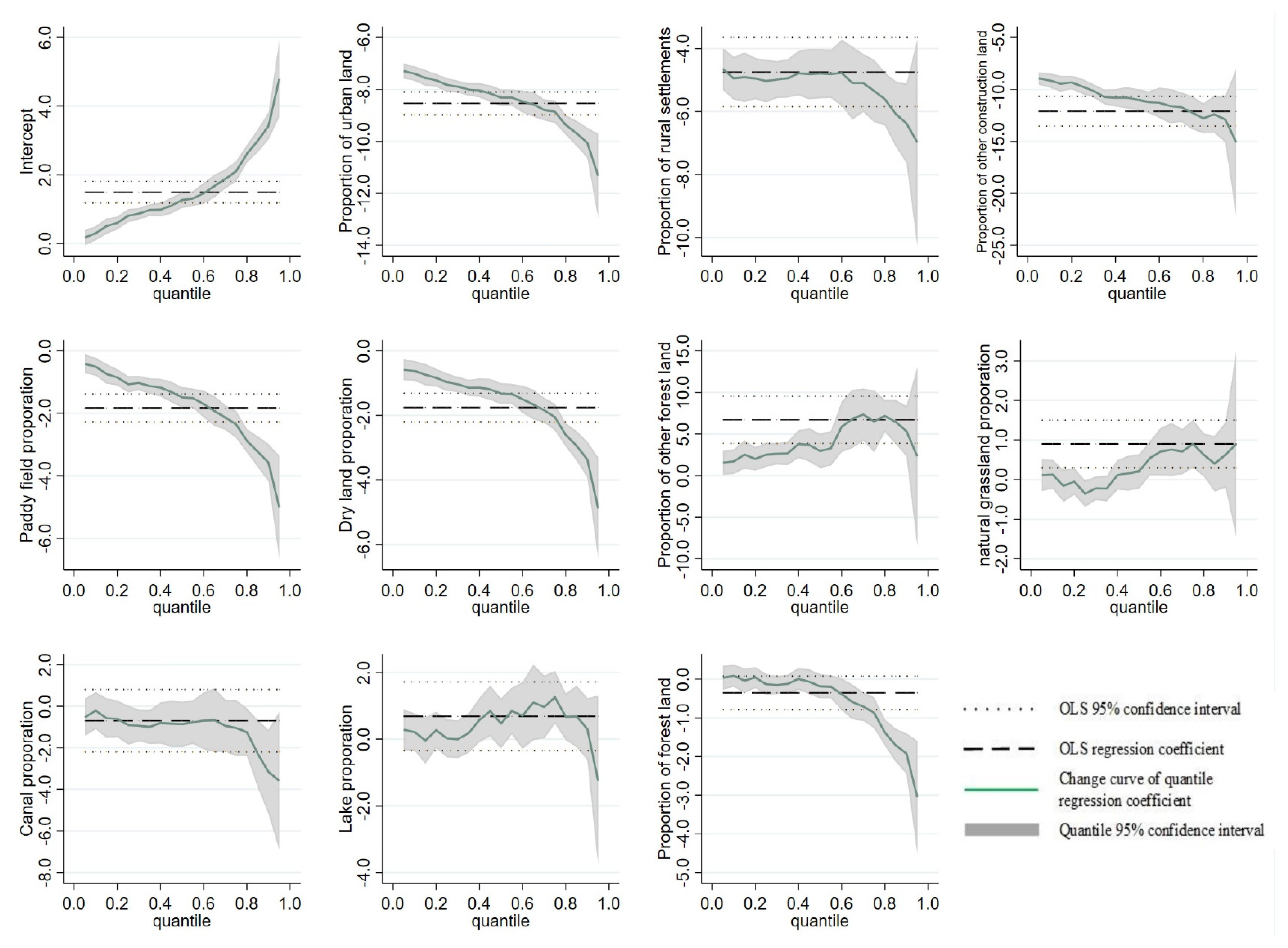
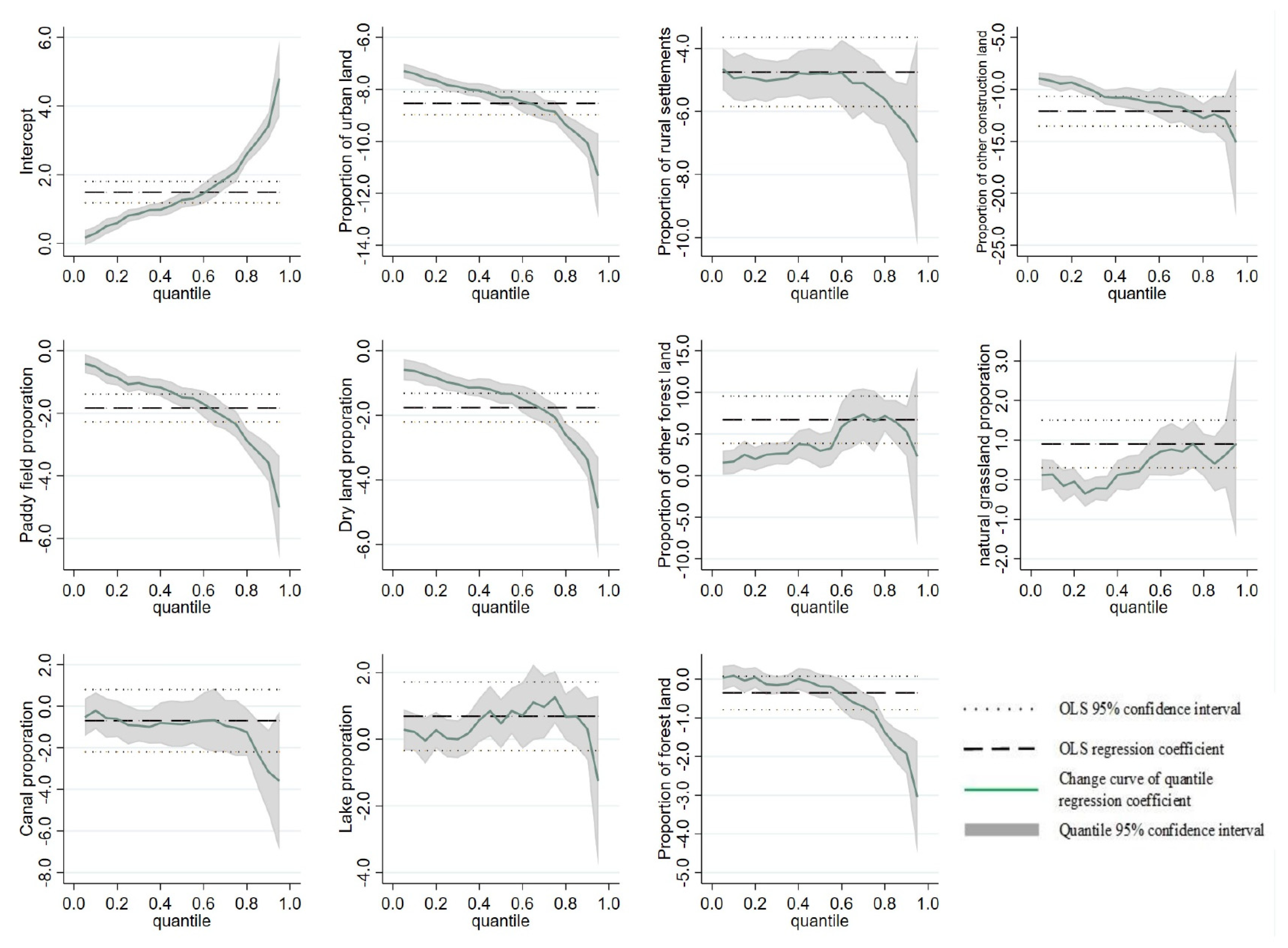
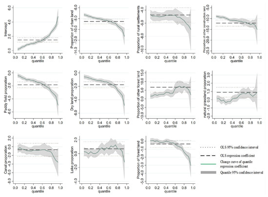
By using Stata 15.0 software (Statacorp, College Station, TX, USA), quantile regression analysis of impact ratio of various land use types on the supply and demand balance index of ecosystem services in the Yangtze River Economic Belt was conducted (Table 5). OLS estimation results show that, except for other woodlands, the estimation coefficients of various living and production land are significantly negative at the level of 1%, indicating that living and production land have a significant negative impact on sustaining the supply–demand balance—in other words, the expansion of living and production land is not conducive to a higher level supply–demand balance.
The higher the proportion of living and production land, the lower the supply–demand balance. The coefficient of other forest land and natural grassland to the supply–demand balance degree of ecosystem is significantly positive, indicating that the higher the proportion of other forest land and natural grassland, the higher the supply–demand balance degree of the ecosystem. The quantile regression results (Table 5 and Figure 8) show that, among living and production land, other construction land, urban land, rural residential areas, paddy fields and dry lands have different negative impacts on the balance of ecosystem services. The higher the degree of equilibrium, the greater the negative effect. The relationship between other woodlands and the supply–demand balance showed a roughly inverted U-shape of first increasing and then decreasing. On the whole, no matter the mean effect or at each quantile, the living and production land (except other forest land) had a significant negative impact on the supply–demand balance. There was a positive relationship between other forest lands and natural grassland on the supply–demand balance of ecosystem services.

4. Discussion

4.1. Deficiency and Prospect

Based on the research of [2,76] and referring to the research of [74,76,77], the research results basically accord with the distribution pattern of ecosystem service value calculated by [49,50], which indicates that the calculation results of this study are relatively reasonable. However, this study did not further explore the mechanism of habitat quality, topographic potential index, spatial accessibility and other factors on ecosystem service supply and did not distinguish and quantify the actual supply and potential supply of ecosystem service. The distinction between the potential supply and actual supply reflects the sustainable development state of ecosystem, furthermore, the distinction between the potential demand and actual demand reflects the extent to which social needs are met [14]. In future in-depth research, we can further consider the role of other factors on ecosystem service supply and explore the actual supply and potential supply to thus make the research more in-depth. This study draws on and improves the estimation system of ecosystem service demand proposed by [47,76,83] and comprehensively measures the ecosystem service demand by land use and development degree, population density and night light comprehensive index. After replacing the original economic density with the night light comprehensive index, the calculation process is simpler, and the reliability of the result is higher. This method does not take the preferences and expectations of the demand subject into consideration and cannot analyze the actual demand and potential demand.
In future research, multi-source data and multidisciplinary methods should be used to identify multiple needs to thus make the results more credible. At present, many scholars mostly use an ecosystem service supply and demand matrix [84] and the quadrant method [54] to measure the balance pattern. After referring to the results of [81], this study uses the difference between supply and demand to characterize the balance between two sides, however, does not further consider the impact of spatial flow of ecosystem services in the study area. Various models can be applied to study the services’ flow on the “supply side” and “demand side” in future research. Ecosystem services can be produced on different temporal and spatial scales, with the characteristics of “time dimension” and “spatial scale” [85]. Different temporal and spatial scales will lead to different balance and matching patterns [86,87], trade-offs and synergies [88,89] and “driving–response–impact” mechanisms [90]. Therefore, the research on the supply and demand of ecosystem services needs to consider different time dimensions and spatial scales. At present, a large amount of ecosystem services monitoring work has been conducted worldwide and has played a strategic guiding role in the research on the supply and demand of ecosystem services; however, these works have not reached ideal results in resource protection [91]. This is mainly because the ecosystem corresponding to the global scale is complex, and the response cycle is long when it is disturbed by the external environment [92].
Therefore, most current research on ecosystem services mainly focuses on the specific quantitative calculation of supply and demand and the analysis of spatial matching characteristics. The supply side should not only satisfy the current demand for ecosystem services but also meet the needs of future generations in the long run [46]. In the future, when studying the supply and demand of global and national large-scale ecosystem services, we should take a longer view from a sustainability perspective. At the regional level, the current research on ecosystem services focuses on the coordination of supply and demand [93]. The spatial utilization layout of resource elements in the region will impact the production and transportation of ecosystem services, end up with significant changes in the trade-off/synergy between various services [94]. However, at the regional level, the ecosystem change cycle is long, and the changes of ecosystem service supply and demand should be considered in the long run. At the small-scale landscape level, the research on ecosystem services from the supply and demand perspective needs to focus on applications [95].
Considering the strong availability of landscape level data, large-scale and high-resolution data can be selected in studies [96]. Due to the low resistance of the ecosystem at the landscape level to external interference and the effects of some changes in natural factors, land use and socio-economic factors on the supply and demand of ecosystem services, it is suitable to explore the influence mechanism of ecosystem service supply and demand at this scale [97,98]. Considering that the ecosystem change cycle at the landscape level is short, the frequency is high, and it is prone to mutation, this can correspond to a shorter time dimension.

4.2. Policy Enlightenment

Evaluating the supply and demand of ecosystem services is not the main purpose. The research value lies in incorporating the evaluation results into the management decision-making process and maintaining the stability of the ecosystem while improving human well-being as much as possible [14,99].
In this study, the surplus area included three types: a high surplus area, higher surplus area and general surplus area, and most of these areas are within the scope of ecological protection. The ecological environment is relatively good, the population distribution is relatively scattered, and there is less interference caused by human activities in these areas. Therefore, the government should strictly implement the ecological and environmental protection policy, emphasize the comprehensive protection of nature resources, enhance the capacity of soil and water conservation, transform the mode of economic development and realize the sustainable development of human and nature.
There are mostly concentrated and contiguous cultivated land in the supply–demand balance area; however, there is also the possibility of imbalance in these areas. Therefore, special attention should be paid to the coordinated development between human and nature. Attention should also be paid to the optimization of the spatial layout of residential areas and the improvement of the scale and quality of agricultural land. Under the premise of controlling the expansion of rural construction land, the stock of rural construction land should be revitalized and the structure of rural construction land should be improved. Through the construction of high standard basic farmland with guaranteed income in drought and flood and the improvement of farmland water conservancy infrastructure, a national strategic reserve grain production area will be formed.
The deficit areas, including high deficit areas, higher deficit areas and general deficit areas, are concentrated and have a high level of economic development, most of which are located in provincial administrative centers and urban agglomerations, and it is difficult for their ecosystem service supply to meet the increasingly diverse needs of urbanization and carbon neutrality. In future development, these regions must make efficient use of the land, promote comprehensive land improvement, control the expansion intensity of construction land, promote the intensive use of urban residential land, build an urban green space system and strengthen the connection between urban green space, wetland park and country parks and various ecological spaces.

5. Conclusions

Referring to the land use data, population density, night light and other socio-economic data in 2000, 2005, 2010, 2015 and 2020, this study comprehensively applied the equivalent factor method, supply and demand balance modeling and quantile regression to explore the supply–demand-balance pattern of ecosystem services in the research area. The main conclusions can be drawn as follows:
(1) From 2000 to 2020, the cultivated land area decreased the most, with a decrease of 30,768 km2. The area growth of construction land ranked first among various land use types, with an increase of 35,687 km2. The water increased greatly, with an increase of 5732 km2. Forest land increased by 2156 km2, grassland decreased by 13,599 km2, and the area of unused land changed little. In the time period, the total value of ecosystem services experienced a change process of “increase–decrease–increase”, the ecological service value of cultivated land and grassland presented a trend of continuous decrease, the unused land experienced a change process of “increase–decrease–increase”, and the ecological service value of water areas continued to grow.
(2) The ecosystem services demand showed the characteristics of unbalanced and phased growth. The total demand for ecosystem services showed heterogeneity and agglomeration effects in space. High demand and higher demand areas were mainly distributed in the Yangtze River Delta, the middle and lower reaches of the Yangtze River Plain, “Changsha–Zhuzhou–Xiangtan” urban agglomeration and Chengdu Plain with a relatively developed population and economy.
(3) From 2000 to 2020, the overall pattern of the supply–demand balance of ecosystem services changed slightly; however, there were also clear fluctuations in certain areas in individual years. The scope of the high deficit area was not shrinking but expanding.
(4) It can be seen that the influencing factors of the ecosystem supply–demand balance were significantly different at different quantiles. Regardless of the mean effect or at each quantile, living and production land (except other forest land) had a significant negative impact on the balance between the supply and demand of ecosystem services. Other forest land and natural grassland had positive impacts on the balance of the supply and demand of ecosystem services.

Author Contributions

Data curation, P.Q.; Formal analysis, J.X.; Investigation, L.Y.; Methodology, Y.W.; Supervision, P.X.; Writing—original draft, C.Z. All authors have read and agreed to the published version of the manuscript.

Funding

This research was funded by the Talent introduction and research launch project of WHPU (2021RZ091) and Research and Innovation Initiatives of WHPU (2022Y18).

Institutional Review Board Statement

Not applicable.

Informed Consent Statement

Not applicable.

Data Availability Statement

Not applicable.

Conflicts of Interest

The authors declare no conflict of interest.

References

  1. Daily, G.C. Nature’s Services: Societal Dependence on Natural Ecosystems; Island Press: Washington, DC, USA, 1997; pp. 2–7. [Google Scholar]
  2. Costanza, R.; D’Arge, R.; de Groot, R.; Farber, S.; Grasso, M.; Hannon, B.; Limburg, K.; Naeem, S.; O’Neill, R.V.; Paruelo, J.; et al. The value of the world’s ecosystem services and natural capital. Nature 1997, 387, 253–260. [Google Scholar] [CrossRef]
  3. Wang, J.; Lin, Y.; Zhai, T.; He, T.; Qi, Y.; Jin, Z.; Cai, Y. The role of human activity in decreasing ecologically sound land use in China. Land Degrad. Dev. 2018, 29, 446–460. [Google Scholar] [CrossRef]
  4. Shen, J.; Li, S.; Liang, Z.; Wang, Y.; Sun, F. Research progress and prospect for the relationships between ecosystem services supplies and demands. J. Nat. Resour. 2021, 36, 1909–1922. [Google Scholar] [CrossRef]
  5. Li, Z.; Li, S.; Cao, Y.; Wang, S.; Liu, S.; Zhang, Z. Supply and demand of ecosystem services: Basic connotation and practical application. J. Agric. Resour. Environ. 2022, 1, 1–16. [Google Scholar]
  6. Zhang, B.; Min, Q.; Jiao, W.; He, S.; Liu, M.; Yang, L. Research progress and perspective on ecosystem services trade-offs. Acta Ecol. Sin. 2021, 41, 5517–5532. [Google Scholar]
  7. Guo, C.; Xu, X.; Shu, Q. A review on the assessment methods of supply and demand of ecosystem services. Chin. J. Ecol. 2020, 39, 2086–2096. [Google Scholar]
  8. Wang, Z.; Peng, Y.; Xu, C. Current Applications and Future Potentials of Ecosystem Service Tradeoff Research. Acta Sci. Nat. Univ. Pekin. 2019, 55, 773–781. [Google Scholar]
  9. Wang, J.; Zhou, W. Ecosystem service flows: Recent progress and future perspectives. Acta Ecol. Sin. 2019, 39, 4213–4222. [Google Scholar]
  10. Ma, L.; Liu, H.; Peng, J.; Wu, J. A review of ecosystem services supply and demand. Acta Geogr. Sin. 2017, 72, 1277–1289. [Google Scholar]
  11. Yan, Y.; Zhu, J.; Wu, G.; Zhan, Y. Review and prospective applications of demand, supply, and consumption of ecosystem services. Acta Ecol. Sin. 2017, 37, 2489–2496. [Google Scholar]
  12. Wu, X.; Wang, W.; Li, H.; Tian, Y.; Ning, Z. Research and application of ecosystem service function supply and demand. Ecol. Econ. 2013, 2, 390–393. [Google Scholar]
  13. Zhang, Y. Some Basic Issues in Ecosystem Services Research. Resour. Sci. 2012, 34, 725–733. [Google Scholar]
  14. Yi, D.; Xiao, S.; Han, Y.; Ou, M. Review on supply and demand of ecosystem service and the construction of systematic frame-work. Chin. J. Appl. Ecol. 2021, 32, 3942–3952. [Google Scholar]
  15. Bai, Y.; Wang, M.; Li, H.; Huang, S.; Alatalo, J.M. Ecosystem service supply and demand: Theory and management application. Acta Ecol. Sin. 2017, 37, 5846–5852. [Google Scholar]
  16. Ding, Z.; Yao, S. Rationality and Decision-making Attributes of Sensitivity Coefficient of Ecosystem Services Based on Elastic Model. Sci. Geogr. Sin. 2019, 39, 1672–1679. [Google Scholar]
  17. Zhao, Z.; Yu, D.; Wang, K.; LV, A. Ecosystem services value evaluation and strategies of payment for ecosystem service in western Jiangxi Province. Acta Ecol. Sin. 2020, 40, 7507–7518. [Google Scholar]
  18. Deng, J.; Chang, L.; Zhang, Y.; Zhou, W.; Qi, L.; Zhou, L.; Yu, D. Accounting of gross ecosystem product in Fuzhou City, China. Chin. J. Appl. Ecol. 2021, 1, 1–12. [Google Scholar]
  19. Yin, N.; Wang, S.; Liu, Y. Ecosystem service value assessment: Research progress and prospects. Chin. J. Ecol. 2021, 40, 233–244. [Google Scholar]
  20. Liu, Y.; Ren, Y.; Zhou, Y.; Liu, C. Dynamic simulation of ecosystem service value in Jianghan Plain Based on Ca Markov-a case study of Qianjiang City, Hubei Province. Chin. J. Agric. Resour. Reg. Plan. 2020, 41, 159–167. [Google Scholar]
  21. Gao, X.; Wan, Y.; Li, C.; Song, Z.; Wang, J. Land use change and ecosystem service value measurement in Baiyangdian Basin under the simulated multiple scenarios. Acta Ecol. Sin. 2021, 41, 7974–7988. [Google Scholar]
  22. Lin, M.; Liu, H.; Zhou, R.; Gong, J. Evaluation and trade-offs of ecosystem services in GuangdongHong Kong-Macao Greater Bay Area under multi-scenario simulation. Geogr. Res. Aust. 2021, 40, 2657–2669. [Google Scholar]
  23. Wang, R.; Pan, H.; Liu, Y.; Tang, Y.; Zhang, Z.; Ma, H. Evolution and driving force of ecosystem service value based on dynamic equivalent in Leshan City. Acta Ecol. Sin. 2022, 1, 1–14. [Google Scholar]
  24. Geng, T.; Hai, C.; Zhang, X.; Shi, Q.; Liu, D. Spatiotemporal evolution of land ecosystem service value and its influencing factors in Shaanxi province based on GWR. J. Nat. Resour. 2020, 35, 1714–1727. [Google Scholar]
  25. Chen, X.; Wang, X.; Feng, X.; Zhang, X.; Luo, G. Ecosystem service trade-off and synergy on Qinghai-Tibet Plateau. Geogr. Res. Aust. 2021, 40, 18–34. [Google Scholar]
  26. Li, D.; Zhang, X.; Wang, Y.; Zhang, X.; Li, L.; Lu, L. Evolution process of ecosystem services and the trade-off synergy in Xin’an River Basin. Acta Ecol. Sin. 2021, 17, 1–13. [Google Scholar]
  27. Qiu, J.; Liu, Y.; Yuan, L.; Chen, C.; Huang, Q. Research progress and prospect of the interrelationship between ecosystem services and human well-being in the context of coupled human and natural system. Prog. Geogr. 2021, 40, 1060–1072. [Google Scholar] [CrossRef]
  28. Cheng, X.; Tao, Y.; Ou, W. Research Progress on the Relationship between Ecosystem Service and Human Well-being. J. Ecol. Rural Environ. 2021, 37, 885–893. [Google Scholar]
  29. Chen, Y.; Tan, Y.; Qiu, X.; Song, X.; Zhou, Z.; Wan, R. Spatial transfer of ecosystem services in urban agglomeration of Yangtze River Delta under the relationship of supply and demand. J. Huaqiao Univ. 2022, 1, 1–9. [Google Scholar]
  30. Chen, Y.; Chen, Z.; Li, F.; Huang, Q. Study on Balance between Supply and Demand of Ecological Space in the Yangtze River Delta in Combination with Spatial Statistical Features. Areal Res. Dev. 2022, 41, 13–19. [Google Scholar]
  31. Li, C.; Zhao, J. Study on supply and demand pattern and influencing factors of ecosystem services in urban agglomeration of Yangtze River Delta. Ecol. Econ. 2022, 1, 1–20. [Google Scholar]
  32. Capriolo, A.; Boschetto, R.G.; Mascolo, R.A.; Balbi, S.; Villa, F. Biophysical and economic assessment of four ecosystem services for natural capital accounting in Italy. Ecosyst. Serv. 2020, 46, 101207. [Google Scholar] [CrossRef]
  33. Serna-Chavez, H.M.; Schulp, C.J.E.; van Bodegom, P.M.; Bouten, W.; Verburg, P.H.; Davidson, M.D. A quantitative framework for assessing spatial flows of ecosystem services. Ecol. Indic. 2014, 39, 24–33. [Google Scholar] [CrossRef] [Green Version]
  34. Nedkov, S.; Burkhard, B. Flood regulating ecosystem services—Mapping supply and demand, in the Etropole municipality, Bulgaria. Ecol. Indic. 2012, 21, 67–79. [Google Scholar] [CrossRef]
  35. Stürck, J.; Poortinga, A.; Verburg, P.H. Mapping ecosystem services: The supply and demand of flood regulation services in Europe. Ecol. Indic. 2014, 38, 198–211. [Google Scholar] [CrossRef]
  36. Dong, X.; Zhaojun, W.; Yuan, L.; Mengxue, L.; Hejie, W. Assessment of Ecosystem Services Supply and Demand (Mis)matches for Urban Ecological Management: A Case Study in the Zhengzhou–Kaifeng–Luoyang Cities. Remote Sens. 2022, 14, 1703. [Google Scholar]
  37. Li, J. Identification of ecosystem services supply and demand and driving factors in Taihu Lake Basin. Environ. Sci. Pollut. Res. 2022, 29, 29735–29745. [Google Scholar] [CrossRef]
  38. Palomo, I.; Martín-López, B.; Potschin, M.; Haines-Young, R.; Montes, C. National Parks, buffer zones and surrounding lands: Mapping ecosystem service flows. Ecosyst. Serv. 2013, 4, 104–116. [Google Scholar] [CrossRef]
  39. Xiao, P.; Zhou, Y.; Li, M.; Xu, J. Spatiotemporal patterns of habitat quality and its topographic gradient effects of Hubei Province based on the InVEST model. Environ. Dev. Sustain. 2022. [Google Scholar] [CrossRef]
  40. Babbar, D.; Areendran, G.; Sahana, M.; Sarma, K.; Raj, K.; Sivadas, A. Assessment and prediction of carbon sequestration using Markov chain and InVEST model in Sariska Tiger Reserve, India. J. Clean. Prod. 2021, 278, 123333. [Google Scholar] [CrossRef]
  41. Jiang, J.; Wu, W. Spatio-temporal evolution of habitat quality in Guangdong-Hong Kong-Macao Greater Bay Area based on regional GDP and population spatial distribution. Acta Ecol. Sin. 2021, 41, 1747–1757. [Google Scholar]
  42. Wu, L.; Sun, C.; Fan, F. Estimating the Characteristic Spatiotemporal Variation in Habitat Quality Using the InVEST Model—A Case Study from Guangdong–Hong Kong–Macao Greater Bay Area. Remote Sens. 2021, 13, 1008. [Google Scholar] [CrossRef]
  43. Bagstad, K.J.; Reed, J.M.; Semmens, D.J.; Sherrouse, B.C.; Troy, A. Linking biophysical models and public preferences for ecosystem service assessments: A case study for the Southern Rocky Mountains. Reg. Environ. Change 2016, 16, 2005–2018. [Google Scholar] [CrossRef]
  44. Willcock, S.; Martínez-López, J.; Hooftman, D.A.P.; Bagstad, K.J.; Balbi, S.; Marzo, A.; Prato, C.; Sciandrello, S.; Signorello, G.; Voigt, B.; et al. Machine learning for ecosystem services. Ecosyst. Serv. 2018, 33, 165–174. [Google Scholar] [CrossRef]
  45. Wang, J.; Zhai, T.; Lin, Y.; Kong, X.; He, T. Spatial imbalance and changes in supply and demand of ecosystem services in China. Sci. Total Environ. 2019, 657, 781–791. [Google Scholar] [CrossRef]
  46. Tian, P.; Li, J.; Cao, L.; Pu, R.; Gong, H.; Zhang, H.; Chen, H.; Yang, X. Assessing Matching Characteristics and Spatial Differences between Supply and Demand of Ecosystem Services: A Case Study in Hangzhou, China. Land 2021, 10, 582. [Google Scholar] [CrossRef]
  47. Liu, J.; Jing, W.; Dai, J.; Zhai, T.; Li, Z. The relationship between supply and demand of ecosystem services and its spatio-temporal variation in the Yellow River Basin. J. Nat. Resour. 2021, 36, 148–161. [Google Scholar] [CrossRef]
  48. Peng, J.; Yang, M.; Xie, P.; Liu, Y. Zoning for the construction of green space ecological networks in Guangdong Province based on the supply and demand of ecosystem services. Acta Ecol. Sin. 2017, 37, 4562–4572. [Google Scholar]
  49. Zhang, P.; Zhu, X.; He, Q.; Ouyang, X. Analysis on the spatial-temporal differentiation and supply-demand balance pattern of ecosystem services in the Yangtze River Economic Zone. Ecol. Sci. 2020, 39, 155–166. [Google Scholar]
  50. Shou, F.; Li, Z.; Huang, L.; Huang, S.; Yan, L. Spatial differentiation and ecological patterns of urban agglomeration based on evaluations of supply and demand of ecosystem services: A case study on the Yangtze River Delta. Acta Ecol. Sin. 2020, 40, 2813–2826. [Google Scholar]
  51. Rong, Y.; Yan, Y.; Zhao, C.; Zhu, J.; Zheng, T.; Wang, C.; Lu, H.; Zhang, W. Multi-scale characteristics of landsenses ecology and its application based on supply and demand of ecosystem services. Acta Ecol. Sin. 2020, 40, 8034–8043. [Google Scholar]
  52. Hu, Q.; Chen, S. Optimizing the ecological networks based on the supply and demand of ecosystem services in Xiamen-Zhangzhou-Quanzhou region. J. Nat. Resour. 2021, 36, 342–355. [Google Scholar] [CrossRef]
  53. Meng, Q.; Zhang, L.; Wei, H.; Cai, E.; Dong, X. Spatio-temporal evolution of the supply and demand risk of ecosystem services in the Yihe River Basin based on LUCC. Acta Ecol. Sin. 2022, 42, 2033–2049. [Google Scholar]
  54. Wang, M.; Bai, Z.; Dong, X. Land Consolidation Zoning in Shaanxi Province based on the Supply and Demand of Ecosystem Services. China Land Sci. 2018, 32, 73–80. [Google Scholar] [CrossRef] [Green Version]
  55. Xiao, P.; Zhao, C.; Zhou, Y.; Feng, H.; Li, X.; Jiang, J. Study on Land Consolidation Zoning in Hubei Province Based on the Coupling of Neural Network and Cluster Analysis. Land 2021, 10, 756. [Google Scholar] [CrossRef]
  56. Zhou, Z.; Liu, D. Zoning of the ecosystem service functions under multiple land consolidation scenarios. Trans. Chin. Soc. Agric. Eng. 2021, 37, 262–270. [Google Scholar]
  57. Chen, Y.; Wang, X.; Zhen, N.; Zhang, G.; Guo, Y.; Li, Z.; Ren, H. Practice of ecological protection and restoration of mountain-river-forest-farmland-lake-grassland based on connotation of ecosystem service theory:taking the pilot project of South-Taihang Area in Henan Province as an example. J. Environ. Eng. Technol. 2021, 11, 701–710. [Google Scholar]
  58. Jing, Y.; Chen, L.; Sun, R. A theoretical research framework for ecological security pattern construction based on ecosystem services supply and demand. Acta Ecol. Sin. 2018, 38, 4121–4131. [Google Scholar]
  59. Zhang, D.; Qu, L.; Zhang, J. Ecological security pattern construction method based on the perspective of ecological supply and demand: A case study of Yangtze River Delta. Acta Ecol. Sin. 2019, 39, 7525–7537. [Google Scholar]
  60. Guan, Q.; Hao, J.; Xu, Y.; Ren, G.; Kang, L. Zoning of agroecological management based on the relationship between supply and demand of ecosystem services. Resour. Sci. 2019, 41, 1359–1373. [Google Scholar]
  61. Rong, Y.; Yan, Y.; Wang, C.; Zhang, W.; Zhu, J.; Lu, H.; Zheng, T. Construction and optimization of ecological network in Xiong’an New Area based on the supply and demand of ecosystem services. Acta Ecol. Sin. 2020, 40, 7197–7206. [Google Scholar]
  62. Xie, Y.; Zhang, S.; Lin, B.; Zhao, Y.; Hu, B. Spatial zoning for land ecological consolidation in Guangxi based on the ecosystem services supply and demand. J. Nat. Resour. 2020, 35, 217–229. [Google Scholar]
  63. Han, Z.; Liu, C.; Yan, X.; Li, X.; Wang, X. Coupling coordination and matches in ecosystem services supply-demand for ecological zoning management:A case study of Dalian. Acta Ecol. Sin. 2021, 41, 9064–9075. [Google Scholar]
  64. Cao, J.; Wang, L.; Cao, W. Research on Ecological Zoning Based on the Differential Pattern of Ecosystem Service Supply and Demand—Taking Nanjing Metropolitan Area as an Example. Resour. Dev. Mark. 2022, 1, 1–12. [Google Scholar]
  65. Pablo, H.; Timon, M. Mapping supply of and demand for ecosystem services to assess environmental justice in New York City. Ecol. Appl. Publ. Ecol. Soc. Am. 2021, 31, 101081. [Google Scholar]
  66. Yang, M.; Zhao, X.; Wu, P.; Hu, P.; Gao, X. Quantification and spatially explicit driving forces of the incoordination between ecosystem service supply and social demand at a regional scale. Ecol. Indic. 2022, 137, 108764. [Google Scholar] [CrossRef]
  67. Zhao, Y.; Wang, N.; Luo, Y.; He, H.; Wu, L.; Wang, H.; Wang, Q.; Wu, J. Quantification of ecosystem services supply-demand and the impact of demographic change on cultural services in Shenzhen, China. J. Environ. Manag. 2022, 304, 114280. [Google Scholar] [CrossRef]
  68. Jiang, M.; Jiang, C.; Huang, W.; Chen, W.; Gong, Q.; Yang, J.; Zhao, Y.; Zhuang, C.; Wang, J.; Yang, Z. Quantifying the supply-demand balance of ecosystem services and identifying its spatial determinants: A case study of ecosystem restoration hotspot in Southwest China. Ecol. Eng. 2022, 174, 106472. [Google Scholar] [CrossRef]
  69. Zou, Y.; Mao, D. Simulation of Freshwater Ecosystem Service Flows under Land-Use Change: A Case Study of Lianshui River Basin, China. Sustainability 2022, 14, 3270. [Google Scholar] [CrossRef]
  70. Xu, Z.; Peng, J.; Dong, J.; Liu, Y.; Liu, Q.; Lyu, D.; Qiao, R.; Zhang, Z. Spatial correlation between the changes of ecosystem service supply and demand: An ecological zoning approach. Landsc. Urban Plan 2022, 217, 104258. [Google Scholar] [CrossRef]
  71. Chen, W.; Chi, G. Spatial mismatch of ecosystem service demands and supplies in China, 2000−2020. Environ. Monit. Assess. 2022, 194, 1–18. [Google Scholar] [CrossRef]
  72. Zhai, T.; Jing, W.; Jin, Z.; Qi, Y. Change and correlation analysis of the supply-demand pattern of ecosystem services in the Yangtze River Economic Belt. Acta Ecol. Sin. 2019, 39, 5414–5424. [Google Scholar]
  73. The State Council Guiding Opinions of the State Council on Relying on the Golden Waterway to Promote the Development of the Yangtze River Economic Belt. Available online: http://www.gov.cn/zhengce/content/2014−09/25/content_9092.htm (accessed on 6 September 2021).
  74. Deng, C.; Long, Z.X.; Xie, B.; Wan, Y.; Song, X. Spatial and temporal changes of land ecosystem service value in Dongting Lake area in 1995−2015. Geogr. Res. 2019, 38, 844–855. [Google Scholar]
  75. Zhang, X.; Wang, X.; Cheng, C.; Liu, S.; Zhou, C. Ecosystem service flows in Karst area of China based on the relationship between supply and demand. Acta Ecol. Sin. 2021, 41, 3368–3380. [Google Scholar]
  76. Xie, G.; Zhang, C.; Zhang, L.; Chen, W.; Li, S. Improvement of the Evaluation Method for Ecosystem Service Value Based on Per Unit Area. J. Nat. Resour. 2015, 30, 1243–1254. [Google Scholar]
  77. Huang, Y.; Liang, Z.; Wang, Y.; Wang, Y.; Wang, B.; Gu, J.; Li, Y. Study on the applicability of ecological service value equivalent method—A case study of small watershed in typical karst area of Guangxi. Soil Water Conserv. China 2020, 1, 43–47. [Google Scholar]
  78. Yang, M.; Wang, S.; Zhou, Y.; Wang, L. A Method of Urbanization Level Estimation Using DMSP/OLS Imagery. Remote Sens. Inf. 2011, 26, 100–106. [Google Scholar]
  79. Jia, Y.; Qin, K. GDP forecast analysis of Guangxi coastal area based on DMSP/OLS night light data. Cities Towns Constr. Guangxi 2021, 1, 8–12. [Google Scholar]
  80. Liu, D.; Feng, Z.; Yang, Y. Ecological Balance between Supply and Demand in China Using Ecological Footprint Method. J. Nat. Resour. 2012, 27, 614–624. [Google Scholar]
  81. Ou, W.; Wang, H.; Tao, Y. A land cover-based assessment of ecosystem services supply and demand dynamics in the Yangtze River Delta region. Acta Ecol. Sin. 2018, 38, 6337–6347. [Google Scholar]
  82. Moutinho, V.; Madaleno, M.; Robaina, M. The economic and environmental efficiency assessment in EU cross-country: Evidence from DEA and quantile regression approach. Ecol. Indic. 2017, 78, 85–97. [Google Scholar] [CrossRef]
  83. Gu, K.; Yang, Q.; Cheng, F.; Chu, J.; Chen, X. Spatial Differentiation of Anhui Province Based on the Relationship Between Supply and Demand of Ecosystem Services. J. Ecol. Rural Environ. 2018, 34, 577–583. [Google Scholar]
  84. Burkhard, B.; Kroll, F.; Nedkov, S.; Müller, F. Mapping ecosystem service supply, demand and budgets. Ecol. Indic. 2012, 21, 17–29. [Google Scholar] [CrossRef]
  85. Sun, R.; Jin, X.; Han, B.; Liang, X.; Zhang, X.; Zhou, Y. Does scale matter? Analysis and measurement of ecosystem service supply and demand status based on ecological unit. Environ. Impact Asses. Rev. 2022, 95, 106785. [Google Scholar] [CrossRef]
  86. Gonzalez-Garcia, A.; Palomo, I.; Gonzalez, J.A.; García-Díez, V.; García-Llorente, M.; Montes, C. Biodiversity and ecosystem services mapping: Can it reconcile urban and protected area planning? Sci. Total Environ. 2022, 803, 150048. [Google Scholar] [CrossRef]
  87. Rumana, S.; Ahmed, S.S.; Shafiul, A.M. Diverse perceptions of supply and demand of cultural ecosystem services offered by urban green spaces in Dhaka, Bangladesh. J. Urban Ecol. 2022, 8, juac003. [Google Scholar]
  88. Azam, K.M.; Mohsen, S. Investigating tradeoffs between supply, use and demand of ecosystem services and their effective drivers for sustainable environmental management. J. Environ. Manag. 2021, 289, 112534. [Google Scholar]
  89. Wei, S.; Kexin, W.; Yong, D.; Haifeng, Y. The Trade-Offs between Supply and Demand Dynamics of Ecosystem Services in the Bay Areas of Metropolitan Regions: A Case Study in Quanzhou, China. Land 2021, 11, 22. [Google Scholar]
  90. Zhao, X.; Su, J.; Wang, J.; Jin, W.; Chen, E.; Zhang, J.; Xiang, M. A study on the relationship between supply-demand relationship of ecosystem services and impact factors in Gansu Province. China Environ. Sci. 2021, 1, 1–18. [Google Scholar]
  91. Xiang, H.; Zhang, J.; Mao, D.; Wang, Z.; Qiu, Z.; Yan, H. Identifying spatial similarities and mismatches between supply and demand of ecosystem services for sustainable Northeast China. Ecol. Indic. 2022, 134, 108501. [Google Scholar] [CrossRef]
  92. Cai, W.; Jiang, W.; Du, H.; Chen, R.; Cai, Y. Assessing Ecosystem Services Supply-Demand (Mis)Matches for Differential City Management in the Yangtze River Delta Urban Agglomeration. Int. J. Environ. Res. Public Health 2021, 18, 8130. [Google Scholar] [CrossRef]
  93. Luo, C.; Li, X. Assessment of Ecosystem Service Supply, Demand, and Balance of Urban Green Spaces in a Typical Mountainous City: A Case Study on Chongqing, China. Int. J. Environ. Res. Public Health 2021, 18, 11002. [Google Scholar] [CrossRef] [PubMed]
  94. Li, P.; Liu, C.; Liu, L.; Wang, W. Dynamic Analysis of Supply and Demand Coupling of Ecosystem Services in Loess Hilly Region: A Case Study of Lanzhou, China. Chin. Geogr. Sci. 2021, 31, 276–296. [Google Scholar] [CrossRef]
  95. Enrica, G.; Josep, P.; Ribas, P.A.; Josep, V. Follow the flow: Analysis of relationships between water ecosystem service supply units and beneficiaries. Appl. Geogr. 2021, 133, 102491. [Google Scholar]
  96. Zhai, T.; Zhang, D.; Zhao, C. How to optimize ecological compensation to alleviate environmental injustice in different cities in the Yellow River Basin? A case of integrating ecosystem service supply, demand and flow. Sustain. Cities Soc. 2021, 75, 103341. [Google Scholar] [CrossRef]
  97. Xin, R.; Hans, S.; Zeng, J.; Zhou, J.; Li, K.; Hu, J.; Liu, X.; Kong, J.; Wang, Q. Identifying key areas of imbalanced supply and demand of ecosystem services at the urban agglomeration scale: A case study of the Fujian Delta in China. Sci. Total Environ. 2021, 791, 148173. [Google Scholar] [CrossRef]
  98. Lei, S.; Ümüt, H.; Zulpiya, M.; Aishan, T.; Martin, W. Identifying Mismatches of Ecosystem Services Supply and Demand under semi-arid conditions: The Case of the Oasis City Urumqi, China. Integr. Environ. Assess. 2021, 17, 1293–1304. [Google Scholar]
  99. Yue, W.; Hou, L.; Xia, H.; Wei, J.; Lu, Y. Territorially ecological restoration zoning and optimization strategy in Guyuan City of Ningxia, China: Based on the balance of ecosystem service supply and demand. J. Appl. Ecol. 2022, 33, 149–158. [Google Scholar]
Figure 1. Location of the research area.
Figure 1. Location of the research area.
Ijerph 19 07223 g001
Figure 2. Technical flowchart of our research.
Figure 2. Technical flowchart of our research.
Ijerph 19 07223 g002
Figure 3. Land use types of the Yangtze River Economic Belt (2000–2020).
Figure 3. Land use types of the Yangtze River Economic Belt (2000–2020).
Ijerph 19 07223 g003
Figure 4. The ecosystem service supply in the Yangtze River Economic Belt (2000–2020).
Figure 4. The ecosystem service supply in the Yangtze River Economic Belt (2000–2020).
Ijerph 19 07223 g004
Figure 5. Sub-item demand for ecosystem services in the Yangtze River Economic Belt (2000–2020).
Figure 5. Sub-item demand for ecosystem services in the Yangtze River Economic Belt (2000–2020).
Ijerph 19 07223 g005
Figure 6. Spatial distribution of the ecosystem services demand (2000–2020).
Figure 6. Spatial distribution of the ecosystem services demand (2000–2020).
Ijerph 19 07223 g006
Figure 7. Ecosystem services supply and demand balance.
Figure 7. Ecosystem services supply and demand balance.
Ijerph 19 07223 g007
Figure 8. Parameter changes of various land use proportions under different quantiles in the quantile regression model.
Figure 8. Parameter changes of various land use proportions under different quantiles in the quantile regression model.
Ijerph 19 07223 g008
Table 1. Ecological value coefficient of land use types.
Table 1. Ecological value coefficient of land use types.
Primary
Ecological
Service
Secondary
Ecological
Services
Cultivated
Land
WoodlandGrasslandWaterUnused
Land
Construction
Land
Regulation serviceGas regulation480.853365.95769.36000
Climate regulation855.912596.59856.53442.3800
Water conservation577.023077.44769.3619,618.6828.850
Waste disposal1577.191259.831259.8317,502.949.620
Support servicesSoil formation and protection1404.083750.631875.329.6219.230
Biodiversity conservation682.813135.141048.252394.63326.980
Supply serviceFood production961.796.17288.5196.179.620
Raw material96.172500.4248.089.6200
Cultural ServicesEntertainment9.621230.9838.474173.789.620
Table 2. Changes of land use types in the Yangtze River Economic Belt (2000–2020).
Table 2. Changes of land use types in the Yangtze River Economic Belt (2000–2020).
Land Use TypeCultivated
Land
WoodlandGrasslandWaterConstruction
Land
Unused
Land
Area
(km2)
2000 Year638,571938,340341,40657,87747,19721,814
2005 Year632,019939,466339,98459,48152,90021,585
2010 Year627,056939,880339,43159,92557,45321,787
2015 Year619,095937,085339,25361,01168,01521,846
2020 Year607,803940,496327,80763,60982,88421,766
Area
change
2000–2005 (km2)−65521126−142216045703−229
2000–2005 (%)−1.03%0.12%−0.42%2.77%12.08%−1.05%
2005–2010 (km2)−4963414−5534444553202
2005–2010 (%)−0.79%0.04%−0.16%0.75%8.61%1.33%
2010–2015 (km2)−7961−2795−178108610,56259
2010–2015 (%)−1.27%−0.30%−0.05%1.81%18.38%0.15%
2015–2020 (km2)−11,2923411−11,446259814,869−80
2015–2020 (%)−1.82%0.36%−3.37%4.26%21.86%−0.40%
2000–2020 (km2)−30,7682156−13,599573235,6873
2000–2020 (%)−4.82%0.23%−3.98%9.90%75.61%0.01%
Table 3. Changes in the ecosystem service supply in the Yangtze River Economic Belt (2000–2020).
Table 3. Changes in the ecosystem service supply in the Yangtze River Economic Belt (2000–2020).
Land Use TypeCultivated
Land
WoodlandGrasslandWaterConstruction
Land
Unused
Land
Total
ESV
(100 million yuan)
2000 Year4243.5319,717.482374.042560.9308.8128,904.79
2005 Year4199.9919,741.142364.152631.9008.7228,945.90
2010 Year4167.0119,749.842360.302651.5508.8828,937.58
2015 Year4114.1019,691.112359.072699.6008.8528,872.73
2020 Year4039.0619,762.782279.472814.5608.8428,904.72
ESV
Change
2000–2005−43.5423.66−9.8970.970−0.0941.11
2000–2005 (%)−1.03%0.12%−0.42%2.77%0−1.05%0.14%
2005–2010−32.988.70−3.8519.6500.16−8.32
2005–2010 (%)−0.79%0.04%−0.16%0.75%01.81%−0.03%
2010–2015−52.90−58.73−1.2448.050−0.02−64.84
2010–2015 (%)−1.27%−0.30%−0.05%1.81%0−0.26%−0.22%
2015–2020−75.0471.68−79.59114.960−0.0231.98
2015–2020 (%)−1.82%0.36%−3.37%4.26%0−0.18%0.11%
2000–2020−204.4645.30−94.56253.6300.03−0.07
2000–2020 (%)−4.82%0.23%−3.98%9.90%00.30%0.00%
Table 4. Changes in the supply of individual services in the ecosystem (2000–2020).
Table 4. Changes in the supply of individual services in the ecosystem (2000–2020).
Ecosystem Service FunctionGas RegulationClimate RegulationWater ConservationSoil Formation and ProtectionWaste DisposalBiodiversity ConservationFood ProductionRaw MaterialEntertainmentTotal
ESV
(100 million yuan)
20003728.133301.074654.925057.193632.643881.46808.632424.631416.1328,904.79
20053727.673297.884684.975049.563650.003882.79802.182426.761424.0928,945.90
20103726.263294.444691.685043.123649.783881.25797.342427.301426.4028,937.58
20153712.893280.694699.655021.143652.493869.47789.462419.551427.4028,872.73
20203710.133271.234745.794996.633670.033866.67775.882426.471441.8928,904.72
ESV
Change
2000–2005−0.45−3.1930.05−7.6317.371.33−6.452.137.9641.11
2000–2005 (%)−0.01%−0.10%0.65%−0.15%0.48%0.03%−0.80%0.09%0.56%0.14%
2005–2010−1.41−3.446.71−6.44−0.22−1.53−4.840.542.30−8.32
2005–2010 (%)−0.04%−0.10%0.14%−0.13%−0.01%−0.04%−0.60%0.02%0.16%−0.03%
2010–2015−13.38−13.757.97−21.992.70−11.79−7.87−7.751.01−64.84
2010–2015 (%)−0.36%−0.42%0.17%−0.44%0.07%−0.30%−0.99%−0.32%0.07%−0.22%
2015–2020−2.76−9.4646.14−24.5017.54−2.80−13.586.9214.4931.98
2015–2020 (%)−0.07%−0.29%0.98%−0.49%0.48%−0.07%−1.72%0.29%1.02%0.11%
2000–2020−18.00−29.8490.88−60.5637.39−14.79−32.751.8425.76−0.07
2000–2020 (%)0.00−0.010.02−0.010.010.00−0.040.000.020.00
Table 5. Quantile estimation results of various land use proportions.
Table 5. Quantile estimation results of various land use proportions.
Explanatory VariableOLSQuantile
0.10.30.50.70.9
Intercept1.494 ***0.298 ***0.866 ***1.264 ***1.879 ***3.420 ***
−0.159−0.099−0.13−0.148−0.196−0.321
Living landProportion of urban land−8.535 ***−7.392 ***−7.891 ***−8.316 ***−8.790 ***−10.060 ***
−0.224−0.139−0.184−0.208−0.277−0.452
Proportion of rural settlements−4.749 ***−4.947 ***−4.989 ***−4.793 ***−5.098 ***−6.382 ***
−0.559−0.347−0.457−0.518−0.69−1.127
Production landProportion of
other construction land
−12.105 ***−9.135 ***−10.140 ***−10.974 ***−11.703 ***−12.873 ***
−0.727−0.451−0.594−0.674−0.897−1.465
Paddy field proportion−1.827 ***−0.507 ***−1.027 ***−1.489 ***−2.133 ***−3.582 ***
−0.227−0.141−0.186−0.21−0.28−0.457
Dry land proportion−1.757 ***−0.622 ***−1.038 ***−1.322 ***−1.843 ***−3.369 ***
−0.226−0.14−0.185−0.21−0.279−0.456
Proportion of other forest land6.704 ***1.687 *2.623 **2.966 **7.334 ***5.326 *
−1.444−0.895−1.18−1.338−1.781−2.909
Ecological landNatural grassland proportion0.902 ***0.133−0.2140.2090.709 *0.626
−0.306−0.19−0.25−0.284−0.377−0.616
Canal proportion−0.694−0.207−0.93−0.865−0.934−3.152 **
−0.767−0.475−0.627−0.71−0.945−1.544
Lake proportion0.6890.21900.470.9660.308
−0.524−0.325−0.428−0.486−0.646−1.056
Proportion of forest land−0.3550.091−0.15−0.185−0.708 ***−1.926 ***
−0.221−0.137−0.181−0.205−0.273−0.445
*, **, and *** denote statistical significance at 10%, 5%, and 1%, respectively.
Publisher’s Note: MDPI stays neutral with regard to jurisdictional claims in published maps and institutional affiliations.

Share and Cite

MDPI and ACS Style

Zhao, C.; Xiao, P.; Qian, P.; Xu, J.; Yang, L.; Wu, Y. Spatiotemporal Differentiation and Balance Pattern of Ecosystem Service Supply and Demand in the Yangtze River Economic Belt. Int. J. Environ. Res. Public Health 2022, 19, 7223. https://doi.org/10.3390/ijerph19127223

AMA Style

Zhao C, Xiao P, Qian P, Xu J, Yang L, Wu Y. Spatiotemporal Differentiation and Balance Pattern of Ecosystem Service Supply and Demand in the Yangtze River Economic Belt. International Journal of Environmental Research and Public Health. 2022; 19(12):7223. https://doi.org/10.3390/ijerph19127223

Chicago/Turabian Style

Zhao, Chong, Pengnan Xiao, Peng Qian, Jie Xu, Lin Yang, and Yixiao Wu. 2022. "Spatiotemporal Differentiation and Balance Pattern of Ecosystem Service Supply and Demand in the Yangtze River Economic Belt" International Journal of Environmental Research and Public Health 19, no. 12: 7223. https://doi.org/10.3390/ijerph19127223

APA Style

Zhao, C., Xiao, P., Qian, P., Xu, J., Yang, L., & Wu, Y. (2022). Spatiotemporal Differentiation and Balance Pattern of Ecosystem Service Supply and Demand in the Yangtze River Economic Belt. International Journal of Environmental Research and Public Health, 19(12), 7223. https://doi.org/10.3390/ijerph19127223

Note that from the first issue of 2016, this journal uses article numbers instead of page numbers. See further details here.

Article Metrics

Back to TopTop