The Relationship between Mindfulness and Job Burnout of Chinese Preschool Teachers: The Mediating Effects of Emotional Intelligence and Coping Style
Abstract
:1. Introduction
1.1. Mindfulness and Job Burnout
1.2. Emotional Intelligence as a Mediator
1.3. Coping Style as a Mediator
1.4. Chain Mediator of Emotional Intelligence and Coping Style
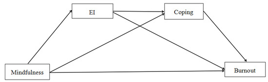
1.5. The Present Study
2. Materials and Methods
2.1. Participants
2.2. Measures
2.2.1. Mindful Attention Awareness
2.2.2. Emotional Intelligence
2.2.3. Teacher’s Coping Style
2.2.4. Teacher’s Burnout
2.2.5. Control Variables
2.3. Procedure
2.4. Analytic Strategy
3. Results
3.1. Preliminary Analyses
3.2. Measurement Model
3.3. Direct Effects among Variables
3.4. Mediation Analyses
4. Discussion
4.1. Relations between Mindfulness and Burnout
4.2. The Independent Mediating Role of Emotional Intelligence and Coping Style
4.3. The Chain Mediating Effect of Emotional Intelligence and Coping Style
4.4. Implications and Limitations
5. Conclusions
Author Contributions
Funding
Institutional Review Board Statement
Informed Consent Statement
Data Availability Statement
Conflicts of Interest
References
- Melnick, E.R.; Powsner, S.M.; Shanafelt, T.D. In reply—Defining physician burnout, and differentiating between burnout and depression. Mayo Clin. Proc. 2017, 92, 1456–1458. [Google Scholar] [CrossRef] [PubMed] [Green Version]
- Maslach, C.; Jackson, S.E. The measurement of experienced burnout. J. Organ. Behav. 1981, 2, 99–113. [Google Scholar] [CrossRef]
- Li, S.; Li, Y.; Lv, H.; Jiang, R.; Zhao, P.; Zheng, X.; Mao, F. The prevalence and correlates of burnout among Chinese preschool teachers. BMC Public Health. 2020, 20, 160. [Google Scholar] [CrossRef] [PubMed] [Green Version]
- Hakanen, J.J.; Schaufeli, W.B.; Ahola, K. The Job Demands-Resources model: A three-year cross-lagged study of burnout, depression, commitment, and work engagement. Work Stress 2008, 22, 224–241. [Google Scholar] [CrossRef]
- Kohashi, S. Relationships between stress, burnout, and job turnover intention among elementary and junior high school teachers. J. Jpn. Acad. Health Sci. 2013, 15, 240–259. [Google Scholar]
- Chennoufi, L.; Ellouze, F.; Cherif, W.; Mersni, M.; M’rad, M.F. Stress and burnout among Tunisian teachers. L’Encephale 2012, 38, 480–487. [Google Scholar] [CrossRef]
- Gluschkoff, K.; Elovainio, M.; Kinnunen, U.; Mullola, S.; Hintsanen, M.; Keltikangas-Järvinen, L.; Hintsa, T. Work stress, poor recovery and burnout in teachers. Occup. Med. 2016, 66, 564–570. [Google Scholar] [CrossRef] [Green Version]
- Wang, Y.; Ramos, A.; Wu, H.; Liu, L.; Yang, X.; Wang, J.; Wang, L. Relationship between occupational stress and burnout among Chinese teachers: A cross-sectional survey in Liaoning, China. Int. Arch. Occup. Environ. Health 2015, 88, 589–597. [Google Scholar] [CrossRef]
- Rey, L.; Extremera, N.; Pena, M. Emotional competence relating to perceived stress and burnout in Spanish teachers: A mediator model. PeerJ 2016, 4, e2087. [Google Scholar] [CrossRef] [Green Version]
- Kim, L.E.; Jörg, V.; Klassen, R.M. A meta-analysis of the effects of teacher personality on teacher effectiveness and burnout. Educ. Psychol. Rev. 2019, 31, 163–195. [Google Scholar] [CrossRef]
- Sun, J.; Wang, Y.; Wan; Huang, Z. Mindfulness and special education teachers’ burnout: The serial multiple mediation effects of self-acceptance and perceived stress. Soc. Behav. Personal. Int. J. 2019, 47, e8656. [Google Scholar] [CrossRef]
- Bishop, S.R.; Lau, M.; Shapiro, S.; Carlson, L.; Anderson, N.D.; Carmody, J.; Devins, G. Mindfulness: A proposed operational definition. Clin. Psychol. Sci. Pract. 2004, 11, 230–241. [Google Scholar] [CrossRef]
- Bergomi, C.; Tschacher, W.; Kupper, Z. The assessment of mindfulness with self-report measures: Existing scales and open issues. Mindfulness 2013, 4, 191–202. [Google Scholar] [CrossRef] [Green Version]
- Nevill, R.E.; Havercamp, S.M. Effects of mindfulness, coping styles and resilience on job retention and burnout in caregivers supporting aggressive adults with developmental disabilities. J. Intellect. Disabil. Res. 2019, 63, 441–453. [Google Scholar] [CrossRef]
- Salvarani, V.; Rampoldi, G.; Ardenghi, S.; Bani, M.; Blasi, P.; Ausili, D.; Strepparava, M.G. Protecting emergency room nurses from burnout: The role of dispositional mindfulness, emotion regulation and empathy. J. Nurs. Manag. 2019, 27, 765–774. [Google Scholar] [CrossRef]
- Gustafsson, H.; Skoog, T.; Davis, P.; Kenttä, G.; Haberl, P. Mindfulness and its relationship with perceived stress, affect, and burnout in elite junior athletes. J. Clin. Sport Psychol. 2015, 9, 263–281. [Google Scholar] [CrossRef]
- Jennings, P.A.; Brown, J.L.; Frank, J.L.; Doyle, S.; Oh, Y.; Davis, R.; Greenberg, M.T. Impacts of the CARE for Teachers program on teachers’ social and emotional competence and classroom interactions. J. Educ. Psychol. 2017, 109, 1010–1028. [Google Scholar] [CrossRef]
- Flook, L.; Goldberg, S.B.; Pinger, L.; Bonus, K.; Davidson, R.J. Mindfulness for teachers: A pilot study to assess effects on stress, burnout, and teaching efficacy. Mind Brain Educ. 2013, 7, 182–195. [Google Scholar] [CrossRef] [Green Version]
- Chambers, R.; Gullone, E.; Allen, N.B. Mindful emotion regulation: An integrative review. Clin. Psychol. Rev. 2009, 29, 560–572. [Google Scholar] [CrossRef]
- Salovey, P.; Mayer, J.D. Emotional intelligence. Imagin. Cogn. Personal. 1990, 9, 185–211. [Google Scholar] [CrossRef]
- Mayer, J.D.; Salovey, P.; Caruso, D.R. Emotional intelligence: New ability or eclectic traits? Am. Psychol. 2008, 63, 503–517. [Google Scholar] [CrossRef] [PubMed]
- Mayer, J.D.; Salovey, P. Emotional development and emotional intelligence. In What Is Emotional Intelligence? Salovey, P., Sluyter, D., Eds.; Basic Books: New York, NY, USA, 1997; pp. 3–31. [Google Scholar]
- Koole, S.L. The psychology of emotion regulation: An integrative review. Cogn. Emot. 2009, 23, 4–41. [Google Scholar] [CrossRef]
- Charoensukmongkol, P. Benefits of mindfulness meditation on emotional intelligence, general self-efficacy, and perceived stress: Evidence from Thailand. J. Spiritual. Ment. Health 2014, 16, 171–192. [Google Scholar] [CrossRef]
- Samaei, S.E.; Khosravi, Y.; Heravizadeh, O.; Ahangar, H.G.; Pourshariati, F.; Amrollahi, M. The effect of emotional intelligence and job stress on burnout: A structural equation model among hospital nurses. Int. J. Occup. Hyg. 2017, 9, 52–59. [Google Scholar]
- Bao, X.; Xue, S.; Kong, F. Dispositional mindfulness and perceived stress: The role of emotional intelligence. Personal. Individ. Differ. 2015, 78, 48–52. [Google Scholar] [CrossRef]
- Jacobs, I.; Wollny, A.; Sim, C.W.; Horsch, A. Mindfulness facets, trait emotional intelligence, emotional distress, and multiple health behaviors: A serial two-mediator model. Scand. J. Psychol. 2016, 57, 207–214. [Google Scholar] [CrossRef] [PubMed]
- Cheng, X.; Ma, Y.; Li, J.; Cai, Y.; Li, L.; Zhang, J. Mindfulness and psychological distress in kindergarten teachers: The mediating role of emotional intelligence. Int. J. Environ. Res. Public Health 2020, 17, 8212. [Google Scholar] [CrossRef]
- Schutte, N.S.; Malouff, J.M. Emotional intelligence mediates the relationship between mindfulness and subjective well-being. Personal. Individ. Differ. 2011, 50, 1116–1119. [Google Scholar] [CrossRef]
- Sharma, A.; Gupta, P. Emotional intelligence, mindfulness and subjective well-being: A mediational analysis. Int. J. Indian Psychol. 2021, 9, 1100–1107. [Google Scholar] [CrossRef]
- Xie, C.; Li, X.; Zeng, Y.; Hu, X. Mindfulness, emotional intelligence and occupational burnout in intensive care nurses: A mediating effect model. J. Nurs. Manag. 2021, 29, 535–542. [Google Scholar] [CrossRef]
- Garland, E.; Gaylord, S.; Park, J. The role of mindfulness in positive reappraisal. Explore 2009, 5, 37–44. [Google Scholar] [CrossRef] [PubMed] [Green Version]
- Weinstein, N.; Brown, K.W.; Ryan, R.M. A multi-method examination of the effects of mindfulness on stress attribution, coping, and emotional well-being. J. Res. Personal. 2009, 43, 374–385. [Google Scholar] [CrossRef]
- Folkman, S.; Moskowitz, J.T. Coping: Pitfalls and promise. Annu. Rev. Psychol. 2004, 55, 745–774. [Google Scholar] [CrossRef] [PubMed]
- Connor Smith, J.K.; Flachsbart, C. Relations between personality and coping: A meta analysis. J. Personal. Soc. Psychol. 2007, 93, 1080–1107. [Google Scholar] [CrossRef] [Green Version]
- Xie, Y. The reliability and validity of the Simple Coping Style Scale. Chin. J. Clin. Psychol. 1998, 6, 114–115. [Google Scholar]
- Chen, C.; Du, X.; Su, S.; Yang, Y. The Relationship Between Special Needs Children’s Parents’ Mindfulness and Anxiety: The Mediating Effect of Coping Styles. Chin. J. Spec. Educ. 2016, 193, 70–75. [Google Scholar] [CrossRef]
- Sauvain-Sabé, M.; Congard, A.; Kop, J.L.; Weismann-Arcache, C.; Villieux, A. The mediating roles of affect and coping strategy in the relationship between trait mindfulness and burnout among French healthcare professionals. Can. J. Behav. Sci./Rev. Can. Des Sci. Du Comport 2022. [Google Scholar] [CrossRef]
- Carmona, C.; Buunk, A.P.; Peiró, J.M.; Rodríguez, I.; Bravo, M.J. Do social comparison and coping styles play a role in the development of burnout? Cross-sectional and longitudinal findings. J. Occup. Organ. Psychol. 2006, 79, 85–99. [Google Scholar] [CrossRef]
- Kriakous, S.A.; Elliott, K.A.; Owen, R. Coping, mindfulness, stress, and burnout among forensic health care professionals. J. Forensic Psychol. Res. Pract. 2019, 19, 128–146. [Google Scholar] [CrossRef]
- Frewen, P.A.; Dozois, D.J.; Neufeld, R.W.; Lane, R.D.; Densmore, M.; Stevens, T.K.; Lanius, R.A. Individual differences in trait mindfulness predict dorsomedial prefrontal and amygdala response during emotional imagery: An fMRI study. Personal. Individ. Differ. 2010, 49, 479–484. [Google Scholar] [CrossRef]
- Chan, D.W. Emotional intelligence, self-efficacy, and coping among Chinese prospective and in-service teachers in Hong Kong. Educ. Psychol. 2008, 28, 397–408. [Google Scholar] [CrossRef]
- Siddiqui, F.A.; Soomro, N.P. Emotional Intelligence, Occupational Stress, Problem Focused and Active Avoidance Coping Strategies of Female Teachers. Bahria J. Prof. Psychol. 2019, 18, 55–70. [Google Scholar]
- Fteiha, M.; Awwad, N. Emotional intelligence and its relationship with stress coping style. Health Psychol. Open 2020, 7, 2055102920970416. [Google Scholar] [CrossRef] [PubMed]
- Noorbakhsh, S.N.; Besharat, M.A.; Zarei, J. Emotional intelligence and coping styles with stress. Procedia-Soc. Behav. Sci. 2010, 5, 818–822. [Google Scholar] [CrossRef] [Green Version]
- Mackillop, J.; Anderson, E.J. Further psychometric validation of the mindful attention awareness scale (MAAS). J. Psychopathol. Behav. Assess. 2007, 29, 289–293. [Google Scholar] [CrossRef]
- Chen, S.; Cui, H.; Zhou, R.; Jia, Y. Revision of Mindful Attention Awareness Scale(MAAS). Chin. J. Clin. Psychol. 2012, 20, 148–151. [Google Scholar] [CrossRef]
- Brackett, M.A.; Rivers, S.E.; Shiffman, S.; Lerner, N.; Salovey, P. Relating emotional abilities to social functioning: A comparison of self-report and performance measures of emotional intelligence. J. Personal. Soc. Psychol. 2006, 91, 780–795. [Google Scholar] [CrossRef] [Green Version]
- Zeidner, M.; Endler, N.S. Hanbook of Coping; John Wiley & Songs, Inc.: Washington, DC, USA, 1996; pp. 107–131. [Google Scholar]
- Wang, G.; Liu, C.; Wu, X. The revision of Teacher Burnout Scale. Psychol. Dev. Educ. 2003, 3, 82–86. [Google Scholar] [CrossRef]
- Davis, S.K.; Humphrey, N. The influence of emotional intelligence (EI) on coping and mental health in adolescence: Divergent roles for trait and ability EI. J. Adolesc. 2012, 35, 1369–1379. [Google Scholar] [CrossRef] [Green Version]
- Hu, L.T.; Bentler, P.M. Cutoff criteria for fit indexes in covariance structure analysis: Conventional criteria versus new alternatives. Structural Equ. Model. Multidiscip. J. 1999, 6, 1–55. [Google Scholar] [CrossRef]
- Podsakoff, P.M.; MacKenzie, S.B.; Lee, J.Y.; Podsakoff, N.P. Common method biases in behavioral research: A critical review of the literature and recommended remedies. J. Appl. Psychol. 2003, 88, 879–903. [Google Scholar] [CrossRef]
- Jennings, P.A.; Frank, J.L.; Snowberg, K.E.; Coccia, M.A.; Greenberg, M.T. Improving classroom learning environments by Cultivating Awareness and Resilience in Education (CARE): Results of a randomized controlled trial. Sch. Psychol. Q. 2013, 28, 374–390. [Google Scholar] [CrossRef] [PubMed] [Green Version]
- Yang, S.; Meredith, P.; Khan, A. Is mindfulness associated with stress and burnout among mental health professionals in Singapore? Psychol. Health Med. 2017, 22, 673–679. [Google Scholar] [CrossRef] [PubMed]
- Mesmer-Magnus, J.; Manapragada, A.; Viswesvaran, C.; Allen, J.W. Trait mindfulness at work: A meta-analysis of the personal and professional correlates of trait mindfulness. Hum. Perform. 2017, 32, 79–98. [Google Scholar] [CrossRef]
- Donald, J.N.; Atkins, P.W. Mindfulness and coping with stress: Do levels of perceived stress matter? Mindfulness 2016, 7, 1423–1436. [Google Scholar] [CrossRef]
- Wright, S.; Day, A.; Howells, K. Mindfulness and the treatment of anger problems. Aggress. Violent Behav. 2009, 14, 396–401. [Google Scholar] [CrossRef]


| M | SD | 1 | 2 | 3 | 4 | 5 | 6 | 7 | |
|---|---|---|---|---|---|---|---|---|---|
| 1. Gender | − | − | 1 | ||||||
| 2. Age | 33.60 | 8.45 | 0.10 | 1 | |||||
| 3. Mindfulness | 4.53 | 0.74 | −0.04 | −0.11 * | 1 | ||||
| 4. Emotional intelligence | 3.51 | 0.47 | 0.02 | 0.12 * | 0.46 *** | 1 | |||
| 5. Positive coping style | 2.18 | 0.45 | −0.01 | 0.12 * | 0.32 *** | 0.58 *** | 1 | ||
| 6. Negative coping style | 1.36 | 0.52 | −0.12 * | 0.01 | −0.19 ** | −0.02 | 0.15 ** | 1 | |
| 7. Burnout | 2.66 | 0.84 | 0.03 | −0.16 ** | −0.52 *** | −0.52 *** | −0.46 *** | 0.24 *** | 1 |
| Hypothesis Model | β | SE | 95% CI | |
|---|---|---|---|---|
| LL | UL | |||
| H1: Mindfulness—Burnout | −0.36 *** | 0.05 | −0.58 | −0.23 |
| H2: Mindfulness—EI—Burnout | −0.14 ** | 0.04 | −0.25 | −0.07 |
| H3a: Mindfulness—Positive Coping—Burnout | 0.01 | 0.01 | −0.02 | 0.03 |
| H3b: Mindfulness—Negative Coping—Burnout | −0.06 * | 0.02 | −0.11 | −0.03 |
| H4a: Mindfulness—EI—Positive Coping—Burnout | −0.09 * | 0.03 | −0.14 | −0.05 |
Publisher’s Note: MDPI stays neutral with regard to jurisdictional claims in published maps and institutional affiliations. |
© 2022 by the authors. Licensee MDPI, Basel, Switzerland. This article is an open access article distributed under the terms and conditions of the Creative Commons Attribution (CC BY) license (https://creativecommons.org/licenses/by/4.0/).
Share and Cite
Wang, Y.; Xiao, B.; Tao, Y.; Li, Y. The Relationship between Mindfulness and Job Burnout of Chinese Preschool Teachers: The Mediating Effects of Emotional Intelligence and Coping Style. Int. J. Environ. Res. Public Health 2022, 19, 7129. https://doi.org/10.3390/ijerph19127129
Wang Y, Xiao B, Tao Y, Li Y. The Relationship between Mindfulness and Job Burnout of Chinese Preschool Teachers: The Mediating Effects of Emotional Intelligence and Coping Style. International Journal of Environmental Research and Public Health. 2022; 19(12):7129. https://doi.org/10.3390/ijerph19127129
Chicago/Turabian StyleWang, Yingjie, Bowen Xiao, Ying Tao, and Yan Li. 2022. "The Relationship between Mindfulness and Job Burnout of Chinese Preschool Teachers: The Mediating Effects of Emotional Intelligence and Coping Style" International Journal of Environmental Research and Public Health 19, no. 12: 7129. https://doi.org/10.3390/ijerph19127129
APA StyleWang, Y., Xiao, B., Tao, Y., & Li, Y. (2022). The Relationship between Mindfulness and Job Burnout of Chinese Preschool Teachers: The Mediating Effects of Emotional Intelligence and Coping Style. International Journal of Environmental Research and Public Health, 19(12), 7129. https://doi.org/10.3390/ijerph19127129

