The Effect of a Coordinative Training in Young Swimmers’ Performance
Abstract
:1. Introduction
2. Materials and Methods
2.1. Participants
2.2. Training Sessions
2.3. In-Water Coordinative Training Sessions
2.4. Test Procedures
2.5. Apparatus
2.6. Biomechanical Variables
2.7. Upper-Limbs Coordination Analysis
2.8. Statistical Analysis
3. Results
3.1. The Effect of Training on Coordinative Variables
3.2. The Effect of Training on Performance Variables
4. Discussion
4.1. The Effect of Training on Coordinative Variables
4.2. The Effect of Training on Performance Variables
5. Conclusions
Author Contributions
Funding
Institutional Review Board Statement
Informed Consent Statement
Data Availability Statement
Acknowledgments
Conflicts of Interest
References
- Cappellini, G.; Ivanenko, Y.P.; Poppele, R.E.; Lacquaniti, F. Motor patterns in human walking and running. J. Neurophysiol. 2006, 95, 3426–3437. [Google Scholar] [CrossRef] [Green Version]
- Newell, K. Constraints on the development of coordination. In Motor Development in Children: Aspects of Coordination and Control; Springer: Berlin/Heidelberg, Germany, 1986. [Google Scholar]
- Davids, K.; Button, C.; Bennett, S. Dynamics of Skill Acquisition: A Constraints-Led Approach; Human Kinetics: Champaign, IL, USA, 2008; ISBN 0736036865. [Google Scholar]
- Glazier, P.S.; Davids, K. Constraints on the complete optimization of human motion. Sports Med. 2009, 39, 15–28. [Google Scholar] [CrossRef]
- Fernandes, A.; Mezencio, B.; Soares, S.; Carvalho, D.; Silva, A.; Vilas-Boas, J.P.; Fernandes, R.J. Intra- and inter-cycle velocity variations in sprint front crawl swimming. Sports Biomec. 2022. [Google Scholar] [CrossRef]
- Davids, K.; Araújo, D.; Hristovski, R.; Passos, P.; Chow, J.Y. Ecological dynamics and motor learning design in sport. In Skill Acquisition in Sport: Research Theory and Practice; Routledge: New York, NY, USA, 2012; pp. 112–130. [Google Scholar]
- Glazier, P.S. Towards a grand unified theory of sports performance. Hum. Mov. Sci. 2017, 56, 139–156. [Google Scholar] [CrossRef]
- Sanders, R.H.; Button, C.; McCabe, C.B. Variability of upper body kinematics in a highly constrained task–sprint swimming. Eur. J. Sport Sci. 2020, 20, 624–632. [Google Scholar] [CrossRef]
- Alberty, M.; Sidney, M.; Pelayo, P.; Toussaint, H.M. Stroking characteristics during time to exhaustion tests. Med. Sci. Sports Exerc. 2009, 41, 637–644. [Google Scholar] [CrossRef]
- Silva, A.F.; Figueiredo, P.; Morais, S.T.; Vilas-Boas, J.P.; Fernandes, R.J.; Seifert, L. Task constraints and coordination flexibility in young swimmers. Motor Control 2019, 23, 1–18. [Google Scholar] [CrossRef]
- Seifert, L.; Chollet, D. Modelling arm coordination in front crawl. In Biomchanics and Medicine in Swimming XI.; Kjendlie, P., Stallman, R., Cabri, J., Eds.; Nordbergtrykk: Oslo, Norway, 2010; pp. 117–118. [Google Scholar]
- Chollet, D.; Chalies, S.; Chatard, J. A new index of coordination for the crawl: Description and usefulness. Int. J. Sports Med. 2000, 21, 54–59. [Google Scholar] [CrossRef] [Green Version]
- Seifert, L.; Schnitzler, C.; Bideault, G.; Alberty, M.; Chollet, D.; Toussaint, H.M. Relationships between coordination, active drag and propelling efficiency in crawl. Hum. Mov. Sci. 2015, 39, 55–64. [Google Scholar] [CrossRef]
- Zacca, R.; Toubekis, A.; Freitas, L.; Silva, A.F.; Azevedo, R.; Vilas-Boas, J.P.; Pyne, D.; Castro, F.; Fernandes, R.J. Effects of detraining in age-group swimmers performance, energetics and kinematics. J. Sports Sci. 2019, 37, 1490–1498. [Google Scholar] [CrossRef]
- Gourgoulis, V.; Aggeloussis, N.; Kasimatis, P.; Vezos, N.; Antoniou, P.; Mavromatis, G. The influence of hand paddles on the arm coordination in female front crawl swimmers. J. Strength Cond. Res. 2009, 23, 735–740. [Google Scholar] [CrossRef] [PubMed] [Green Version]
- Telles, T.; Barbosa, A.C.; Campos, M.H.; Júnior, O.A. Effect of hand paddles and parachute on the index of coordination of competitive crawl-strokers. J. Sports Sci. 2011, 29, 431–438. [Google Scholar] [CrossRef] [PubMed]
- Hue, O.; Benavente, H.; Chollet, D. The effect of wet suit use by triathletes: An analysis of the different phases of arm movement. J. Sports Sci. 2003, 21, 1025–1030. [Google Scholar] [CrossRef] [PubMed]
- Lerda, R.; Cardelli, C. Breathing and propelling in crawl as a function of skill and swim velocity. Int. J. Sports Med. 2003, 24, 75–80. [Google Scholar] [CrossRef] [PubMed]
- Lerda, R.; Cardelli, C.; Chollet, D. Analysis of the interactions between breathing and arm actions in the front crawl. J. Hum. Mov. Stud. 2001, 40, 129–144. [Google Scholar]
- Lemaître, F.; Seifert, L.; Polin, D.; Juge, J.; Tourny-Chollet, C.; Chollet, D. Apnea training effects on swimming coordination. J. Strength Cond. Res. 2009, 23, 1909–1914. [Google Scholar] [CrossRef]
- Pelayo, P.; Alberty, M.; Sidney, M.; Potdevin, F.; Dekerle, J. Aerobic potential, stroke parameters, and coordination in swimming front-crawl performance. Int. J. Sports Physiol. Perform. 2007, 2, 347–359. [Google Scholar] [CrossRef]
- Potdevin, F.; Bril, B.; Sidney, M.; Pelayo, P. Stroke frequency and arm coordination in front crawl swimming. Int. J. Sports Med. 2005, 27, 193–198. [Google Scholar] [CrossRef] [Green Version]
- Figueiredo, P.; Morais, P.; Vilas-Boas, J.P.; Fernandes, R.J. Changes in arm coordination and stroke parameters on transition through the lactate threshold. Eur. J. Appl. Physiol. 2013, 113, 1957–1964. [Google Scholar] [CrossRef]
- Schnitzler, C.; Brazier, T.; Button, C.; Seifert, L.; Chollet, D. Effect of velocity and added resistance on selected coordination and force parameters in front crawl. J. Strength Cond. Res. 2011, 25, 2681–2690. [Google Scholar] [CrossRef]
- Seifert, L.; Chollet, D. Modelling spatial–temporal and coordinative parameters in swimming. J. Sci. Med. Sport 2009, 12, 495–499. [Google Scholar] [CrossRef] [PubMed]
- Dun, S.; Fleisig, G.S.; Loftice, J.; Kingsley, D.; Andrews, J.R. The relationship between age and baseball pitching kinematics in professional baseball pitchers. J. Biomech. 2007, 40, 265–270. [Google Scholar] [CrossRef] [PubMed]
- Hirtz, P.; Starosta, W. Sensitive and critical periods of motor co-ordination development and its relation to motor learning. J. Hum. Kinet. 2002, 7, 19–28. [Google Scholar]
- Silva, A.; Figueiredo, P.; Soares, S.; Seifert, L.; Vilas-Boas, J.P.; Fernandes, R.J. Front crawl technical characterization of 11- to 13-year-old swimmers. Pediatr. Exerc. Sci. 2012, 24, 409–419. [Google Scholar] [CrossRef]
- Silva, A.F. Front crawl sprint performance: A cluster analysis of biomechanics, energetics, coordinative, and anthropometric determinants in young swimmers. Motor Control 2016, 20, 209–221. [Google Scholar]
- Silva, A.F.; Seifert, L.; Sousa, M.; Willig, R.; Alves, F.; Vilas-Boas, J.P.; Fernandes, R.F.; Figueiredo, P. A multi-analysis of performance in 13- to 15-year- old swimmers: A pilot study. In Proceedings of the Biomechanics and Medicine in Swimming XII, Canberra, Australia, 28 April–2 May 2014; pp. 242–248. [Google Scholar]
- Silva, A.F.; Figueiredo, P.; Ribeiro, J.; Alves, F.; Vilas-Boas, J.P.; Seifert, L.; Fernandes, R.J. Integrated analysis of young swimmers’ sprint performance. Motor Control 2019, 23, 354–364. [Google Scholar] [CrossRef]
- Kelso, J.A. Phase transitions and critical behavior in human bimanual coordination. Am. J. Physiol. Integr. Comp. Physiol. 1984, 246, R1000–R1004. [Google Scholar] [CrossRef]
- Tanner, J.M.; Whitehouse, R.M. Atlas of children’s growth. Normal Variation and Disorders; Academic Press: New York, NY, USA, 1982. [Google Scholar]
- Navarro, N.V.; Arsenio, O. Natación II: La Natación y su Entrenamiento: Técnica, Planificación del Entrenamiento, Análisis y Desarrollo de los Principios Pedagógicos; Gymnos: Los Angeles, CA, USA, 1999; ISBN 8480132086. [Google Scholar]
- Hamill, J.; Haddad, J.M.; Mc Dermott, W. Issues in quantifying variability from a dynamical systems perspective. J. Appl. Biomech. 2000, 16, 407–418. [Google Scholar] [CrossRef] [Green Version]
- Lamb, P.F.; Stöckl, M. On the use of continuous relative phase: Review of current approaches and outline for a new standard. Clin. Biomech. 2014, 29, 484–493. [Google Scholar] [CrossRef]
- Diedrich, F.J.; Warren Jr, W.H. Why change gaits? Dynamics of the walk-run transition. J. Exp. Psychol. Hum. Percept. Perform. 1995, 21, 183. [Google Scholar] [CrossRef]
- Bardy, B.G.; Oullier, O.; Bootsma, R.J.; Stoffregen, T.A. Dynamics of human postural transitions. J. Exp. Psychol. Hum. Percept. Perform. 2002, 28, 499. [Google Scholar] [CrossRef] [PubMed]
- Seifert, L.; Delignieres, D.; Boulesteix, L.; Chollet, D. Effect of expertise on butterfly stroke coordination. J. Sports Sci. 2007, 25, 131–141. [Google Scholar] [CrossRef] [PubMed]
- Laird, N.M.; Ware, J.H. Random-effects models for longitudinal data. Biometrics 1982, 38, 963–974. [Google Scholar] [CrossRef] [PubMed]
- Barbosa, T.M.; Lima, F.; Portela, A.; Novais, D.; Machado, L.; Colaço, P.; Gonçalves, P.; Fernandes, R.J.; Vilas-Boas, J.P. Relationships between energy cost, swimming velocity and speed fluctuation in competitive swimming strokes. Rev. Port. Ciênc. Desporto 2006, 6, 192–194. [Google Scholar]
- Vilas-Boas, J.P.; Fernandes, R.J.; Barbosa, T.M. Intra-cycle velocity variations, swimming economy, performance and training in swimming. In The World Book of Swimming: From Science to Performance; Nova Science Publishers: Hauppauge, NY, USA, 2011; pp. 119–134. [Google Scholar]
- Seifert, L. Inter-limb coordination in swimming. In Biomechanics and Medicine in Swimming XI.; Kjendlie, P., Stallman, R., Cabri, J., Eds.; Nordbergtrykk: Oslo, Norway, 2010; pp. 35–38. [Google Scholar]
- Koga, D.; Gonjo, T.; Kawai, E.; Tsunokawa, T.; Sakai, S.; Sengoku, Y.; Homma, M.; Takagi, H. Effects of exceeding stroke frequency of maximal effort on hand kinematics and hand propulsive force in front crawl. Sports Biomech. 2020, 1–13. [Google Scholar] [CrossRef]
- Davids, K.; Araújo, D.; Vilar, L.; Renshaw, I.; Pinder, R. An ecological dynamics approach to skill acquisition: Implications for development of talent in sport. Talent. Dev. Excell. 2013, 5, 21–34. [Google Scholar]
- Newell, K.M. Change in motor learning: A coordination and control perspective. Motriz 2003, 9, 1–6. [Google Scholar]
- Hodges, N.J.; Hayes, S.; Horn, R.R.; Williams, A.M. Changes in coordination, control and outcome as a result of extended practice on a novel motor skill. Ergonomics 2005, 48, 1672–1685. [Google Scholar] [CrossRef]
- Dicks, M.; Button, C.; Davids, K. Examination of gaze behaviors under in situ and video simulation task constraints reveals differences in information pickup for perception and action. Atten. Percept. Psychophys. 2010, 72, 706–720. [Google Scholar] [CrossRef] [Green Version]
- Haddad, J.M.; van Emmerik, R.E.A.; Whittlesey, S.N.; Hamill, J. Adaptations in interlimb and intralimb coordination to asymmetrical loading in human walking. Gait Posture 2006, 23, 429–434. [Google Scholar] [CrossRef]
- Chen, H.-H.; Liu, C.; Yang, W.-W. Coordination pattern of baseball pitching among young pitchers of various ages and velocity levels. J. Sports Sci. 2016, 34, 1682–1690. [Google Scholar] [CrossRef]
- Boyer, K.A.; Freedman Silvernail, J.; Hamill, J. Age and sex influences on running mechanics and coordination variability. J. Sports Sci. 2017, 35, 2225–2231. [Google Scholar] [CrossRef]
- Denckla, M.B. Development of motor co-ordination in normal children. Dev. Med. Child Neurol. 1974, 16, 729–741. [Google Scholar] [CrossRef]
- MacDonald, S.W.S.; Nyberg, L.; Bäckman, L. Intra-individual variability in behavior: Links to brain structure, neurotransmission and neuronal activity. Trends Neurosci. 2006, 29, 474–480. [Google Scholar] [CrossRef]
- Millet, G.; Chollet, D.; Chalies, S.; Chatard, J. Coordination in front crawl in elite triathletes and elite swimmers. Int. J. Sports Med. 2002, 23, 99–104. [Google Scholar] [CrossRef]
- Seifert, L.; Komar, J.; Leprêtre, P.M.; Lemaitre, F.; Chavallard, F.; Alberty, M.; Houel, N.; Hausswirth, C.; Chollet, D.; Hellard, P. Swim specialty affects energy cost and motor organization. Int. J. Sports Med. 2010, 31, 624–630. [Google Scholar] [CrossRef]
- Pelayo, P.; Sidney, M.; Kherif, T.; Chollet, D.; Tourny, C. Stroking characteristics in freestyle swimming and relationships with anthropometric characteristics. J. Appl. Biomech. 1996, 12, 197–206. [Google Scholar] [CrossRef] [Green Version]
- Toussaint, H.M.; Beek, P.J. Biomechanics of competitive front crawl swimming. Sports Med. 1992, 13, 8–24. [Google Scholar] [CrossRef]
- Nikodelis, T.; Kollias, I.; Hatzitaki, V. Bilateral inter-arm coordination in freestyle swimming: Effect of skill level and swimming speed. J. Sports Sci. 2005, 23, 737–745. [Google Scholar] [CrossRef]
- Craig, A.B.; Pendergast, D.R. Relationships of stroke rate, distance per stroke, and velocity in competitive swimming. Med. Sci. Sports 1979, 11, 278–283. [Google Scholar] [CrossRef] [PubMed]
- Zamparo, P.; Pendergast, D.R.; Mollendorf, J.; Termin, A.; Minetti, A.E. An energy balance of front crawl. Eur. J. Appl. Physiol. 2005, 94, 134–144. [Google Scholar] [CrossRef] [PubMed]
- Toussaint, H.M. Performance determining factors in front crawl swimming. In Biomechanics and Medicine in Swimming: Swimming Science VI.; Maclaren, D., Reiley, T., Lees, A., Eds.; Taylor & Francis: Oxfordshire, UK, 1992; pp. 13–32. [Google Scholar]
- Barbosa, T.M.; Costa, M.; Marinho, D.A.; Coelho, J.; Moreira, M.; Silva, A.J. Modeling the links between young swimmers’ performance: Energetic and biomechanic profiles. Pediatr. Exerc. Sci. 2010, 22, 379–391. [Google Scholar] [CrossRef]
- Alberty, M.; Sidney, M.; Huot-Marchand, F.; Hespel, J.M.; Pelayo, P. Intracyclic velocity variations and arm coordination during exhaustive exercise in front crawl stroke. Int. J. Sports Med. 2005, 26, 471–475. [Google Scholar] [CrossRef]
- Fujishima, M.; Miyashita, M. Velocity degradation caused by its fluctuation in swimming and guidelines for improvement of average velocity. In Biomechanics and Medicine in Swimming VIII.; Keskinen, K., Komi, P.V., Hollander, A.P., Eds.; University of Jyväskylä: Jyvaskyla, Finland, 1999; pp. 41–45. [Google Scholar]
- Miller, D.I. Biomechanics of swimming. Exerc. Sport Sci. Rev. 1975, 3, 219–248. [Google Scholar] [CrossRef]
- Maglischo, E. Swimming Fastest; Human Kinetics: Champaign, IL, USA, 2003. [Google Scholar]
- Olbrecht, J. The Science of Winning; F&G Partner: Poprad, Slovakia, 2000. [Google Scholar]



| Control Group (n = 11) | Training Group (n = 8) | |
|---|---|---|
| Age (years) | 14.8 ± 0.9 | 14.8 ± 0.7 |
| Height (cm) | 166.6 ± 0.1 | 170.3 ± 0.1 |
| Arm span (cm) | 167.1 ± 0.2 | 173.0 ± 0.1 |
| Body mass (kg) | 58.3 ± 10.1 | 58.1 ± 10.2 |
| Swimming practice (years) | 5.5 ± 1.0 | 5.5 ± 0.9 |
| Slope (SE); Statistical Inference | |||
|---|---|---|---|
| CRP | Unadjusted model | Group | 12.78 (9.95); p = 0.21 |
| Time | 1.14 (2.99); p = 0.71 | ||
| Group * Time | −12.65 (4.61); p = 0.01 | ||
| Model 1 | Group | 13.33 (9.84); p = 0.19 | |
| Time | 0.54 (3.89); p = 0.89 | ||
| Group * Time | −12.74 (4.60); p = 0.01 | ||
| Sex | −6.94 (9.84); p = 0.49 | ||
| SD of CRP | Unadjusted model | Group | 19.96 (12.02); p = 0.11 |
| Time | 1.26 (4.58); p = 0.79 | ||
| Group * Time | −11.41 (7.06); p = 0.12 | ||
| Model 2 | Group | 20.23 (12.03); p = 0.11 | |
| Time | 0.47 (5.99); p = 0.94 | ||
| Group * Time | −11.52 (7.08); p = 0.12 | ||
| Sex | −3.44 (12.03); p = 0.78 | ||
| In-phase | Unadjusted model | Group | 0.88 (2.57); p = 0.28 |
| Time | 0.17 (0.96); p = 0.86 | ||
| Group * Time | 0.26 (1.48); p = 0.86 | ||
| Model 3 | Group | 0.73 (2.54); p = 0.78 | |
| Time | 1.14 (1.20); p = 0.36 | ||
| Group * Time | 0.40 (1.42); p = 0.78 | ||
| Sex | 1.90 (2.54); p = 0.46 | ||
| Anti-phase | Unadjusted model | Group | 3.31 (8.00); p = 0.82 |
| Time | 7.17 (4.28); p =0.34 | ||
| Group * Time | −4.57 (6.60); p = 0.61 | ||
| Model 4 | Group | 2.44 (7.67); p = 0.77 | |
| Time | 12.89 (5.22); p = 0.03 | ||
| Group * Time | −3.74 (6.16); p = 0.56 | ||
| Sex | 10.87 (7.67); p = 0.23 | ||
| Out-of-phase | Unadjusted model | Group | −3.51 (8.91); p = 0.70 |
| Time | −5.93 (4.43); p = 0.19 | ||
| Group * Time | 3.62 (6.83); p = 0.60 | ||
| Model 5 | Group | −2.44 (8.05); p = 0.76 | |
| Time | −12.99 (4.72); p = 0.01 | ||
| Group * Time | 2.60 (5.58); p = 0.65 | ||
| Sex | −13.45 (8.05); p = 0.11 | ||
| IdC | Unadjusted model | Group | −0.26 (2.08); p = 0.90 |
| Time | 1.70 (1.10); p = 0.14 | ||
| Group * Time | −1.89 (−1.11); p = 0.28 | ||
| Model 6 | Group | −0.23 (2.09); p = 0.92 | |
| Time | 2.17 (1.43); p = 0.15 | ||
| Group * Time | −1.83 (1.69); p = 0.30 | ||
| Sex | −0.45 (2.09); p = 0.83 |
| Slope (SE); Statistical Inference | |||
|---|---|---|---|
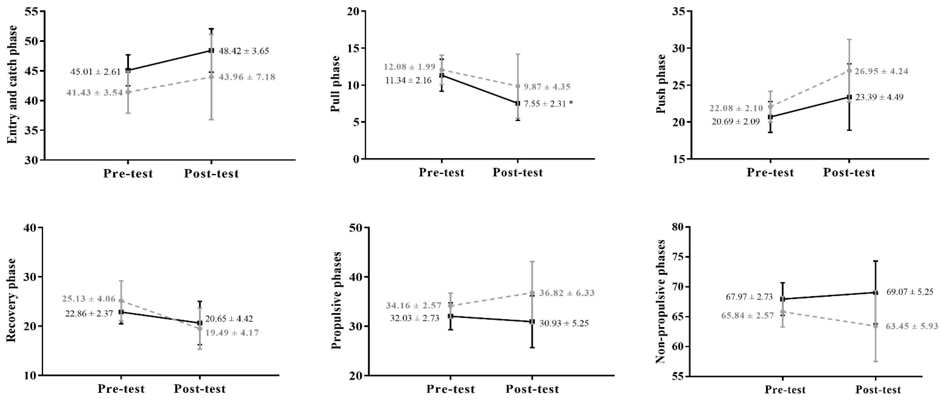
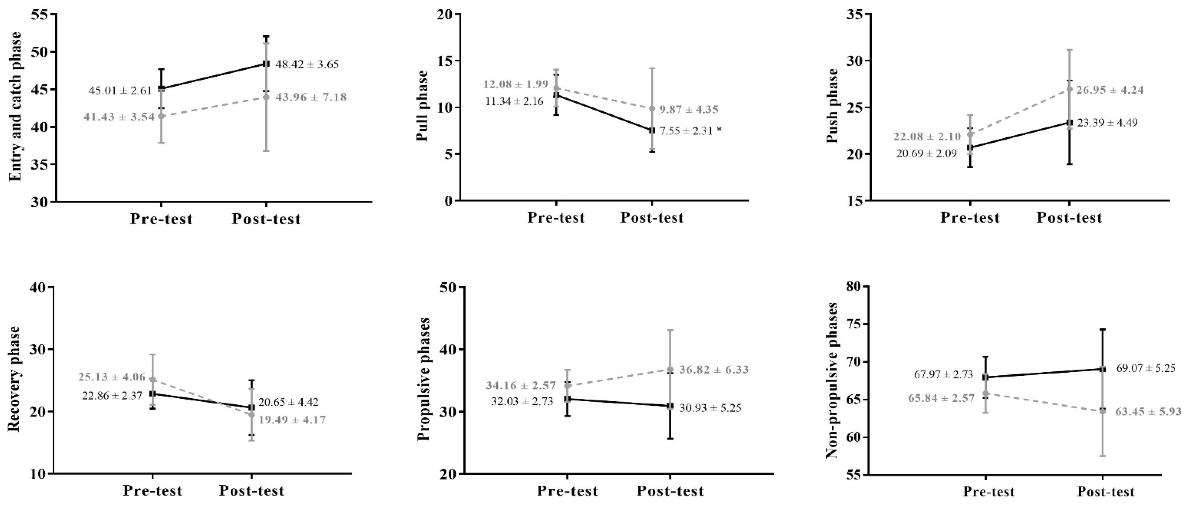
| Entry and catch | Unadjusted model | Group | 2.89 (4.48); p = 0.54 |
| Time | 2.53 (2.26); p = 0.28 | ||
| Group * Time | 0.79 (3.48); p = 0.83 | ||
| Model 7 | Group | 2.44 (4.31); p = 0.60 | |
| Time | 4.33 (2.89); p = 0.16 | ||
| Group * Time | 1.05 (3.41); p = 0.76 | ||
| Sex | 5.62 (4.31); p = 0.25 | ||
| Pull | Unadjusted model | Group | 0.84 (2.77); p = 0.77 |
| Time | −2.21 (1.38); p = 0.13 | ||
| Group * Time | −1.58 (2.13); p = 0.47 | ||
| Model 8 | Group | 1.04 (2.72); p = 0.71 | |
| Time | −3.13 (1.78); p = 0.10 | ||
| Group * Time | −1.72 (2.10); p = 0.43 | ||
| Sex | −2.50 (2.72); p = 0.39 | ||
| Push | Unadjusted model | Group | 0.78 (2.40); p = 0.76 |
| Time | 4.87 (1.32); p = 0.00 | ||
| Group * Time | −2.17 (2.04); p = 0.31 | ||
| Model 9 | Group | 0.93 (2.37); p = 0.72 | |
| Time | 4.45 (1.72); p = 0.03 | ||
| Group * Time | −2.24 (2.04); p = 0.30 | ||
| Sex | −1.82 (2.37); p = 0.49 | ||
| Recovery | Unadjusted model | Group | −5.70 (3.98); p = 0.18 |
| Time | −5.64 (1.81); p = 0.01 | ||
| Group * Time | 3.42 (2.78); p = 0.23 | ||
| Model 10 | Group | −5.61 (3.99); p = 0.18 | |
| Time | −5.95 (2.36); p = 0.02 | ||
| Group * Time | 3.38 (2.79); p = 0.24 | ||
| Sex | −1.10 (3.99); p = 0.79 | ||
| Propulsive Phases | Unadjusted model | Group | 1.63 (3.16); p = 0.64 |
| Time | 2.66 (1.78); p = 0.17 | ||
| Group * Time | −3.76 (2.75); p = 0.20 | ||
| Model 11 | Group | 1.97 (2.75); p = 0.48 | |
| Time | 1.31 (1.72); p = 0.45 | ||
| Group * Time | −3.95 (2.03); p = 0.06 | ||
| Sex | −4.33 (2.75); p = 0.13 | ||
| Non-propulsive phases | Unadjusted model | Group | −1.36 (3.18); p = 0.69 |
| Time | −2.38 (1.75); p = 0.20 | ||
| Group * Time | 3.48 (2.70); p = 0.22 | ||
| Model 12 | Group | −1.73 (3.01); p = 0.61 | |
| Time | −0.85 (2.23); p = 0.71 | ||
| Group * Time | 3.71 (2.63); p = 0.19 | ||
| Sex | 4.68 (3.01); p = 0.22 |
| Slope (SE); Statistical Inference | |||
|---|---|---|---|
| Speed | Unadjusted model | Group | −0.04 (0.07); p = 0.58 |
| Time | −0.02 (0.01); p = 0.04 | ||
| Group * Time | 0.05 (0.01); p = 0.00 | ||
| Model 13 | Group | −0.02 (0.03); p = 0.62 | |
| Time | −0.02 (0.01); p = 0.05 | ||
| Group * Time | 0.05 (0.01); p = 0.00 | ||
| Sex | −0.25 (0.03); p = 0.00 | ||
| SF | Unadjusted model | Group | 1.30 (1.71); p = 0.46 |
| Time | −0.95 (0.61); p = 0.14 | ||
| Group * Time | −1.03 (0.95); p = 0.29 | ||
| Model 14 | Group | 1.44 (1.67); p = 0.40 | |
| Time | −1.48 (0.78); p = 0.07 | ||
| Group * Time | −1.11 (0.92); p = 0.25 | ||
| Sex | −1.70 (1.67); p = 0.32 | ||
| SL | Unadjusted model | Group | −0.12 (0.08); p = 0.18 |
| Time | 0.00 (0.02); p = 0.89 | ||
| Group * Time | 0.11 (0.03); p = 0.00 | ||
| Model 15 | Group | −0.10 (0.07); p = 0.16 | |
| Time | 0.02 (0.02); p = 0.36 | ||
| Group * Time | 0.12 (0.03); p = 0.00 | ||
| Sex | −0.22 (0.07); p = 0.00 | ||
| SI | Unadjusted model | Group | −0.28 (0.24); p = 0.26 |
| Time | −0.03 (0.03); p = 0.38 | ||
| Group * Time | 0.28 (0.05); p = 0.00 | ||
| Model 16 | Group | −0.21 (0.15); p = 0.17 | |
| Time | −0.00 (0.04); p = 0.95 | ||
| Group * Time | 0.28 (0.05); p = 0.00 | ||
| Sex | −0.80 (0.15); p = 0.00 | ||
| IVV | Unadjusted model | Group | 3.45 (3.13); p =0.28 |
| Time | −1.87 (1.23); p = 0.15 | ||
| Group * Time | −2.28 (1.90); p = 0.25 | ||
| Model 17 | Group | 3.41 (3.13); p = 0.29 | |
| Time | −2.38 (1.60); p = 0.15 | ||
| Group * Time | −2.35 (1.89); p = 0.23 | ||
| Sex | 0.57 (3.13); p = 0.86 |
Publisher’s Note: MDPI stays neutral with regard to jurisdictional claims in published maps and institutional affiliations. |
© 2022 by the authors. Licensee MDPI, Basel, Switzerland. This article is an open access article distributed under the terms and conditions of the Creative Commons Attribution (CC BY) license (https://creativecommons.org/licenses/by/4.0/).
Share and Cite
Silva, A.F.; Figueiredo, P.; Vilas-Boas, J.P.; Fernandes, R.J.; Seifert, L. The Effect of a Coordinative Training in Young Swimmers’ Performance. Int. J. Environ. Res. Public Health 2022, 19, 7020. https://doi.org/10.3390/ijerph19127020
Silva AF, Figueiredo P, Vilas-Boas JP, Fernandes RJ, Seifert L. The Effect of a Coordinative Training in Young Swimmers’ Performance. International Journal of Environmental Research and Public Health. 2022; 19(12):7020. https://doi.org/10.3390/ijerph19127020
Chicago/Turabian StyleSilva, Ana F., Pedro Figueiredo, João P. Vilas-Boas, Ricardo J. Fernandes, and Ludovic Seifert. 2022. "The Effect of a Coordinative Training in Young Swimmers’ Performance" International Journal of Environmental Research and Public Health 19, no. 12: 7020. https://doi.org/10.3390/ijerph19127020
APA StyleSilva, A. F., Figueiredo, P., Vilas-Boas, J. P., Fernandes, R. J., & Seifert, L. (2022). The Effect of a Coordinative Training in Young Swimmers’ Performance. International Journal of Environmental Research and Public Health, 19(12), 7020. https://doi.org/10.3390/ijerph19127020
