Ischemic Preconditioning Improves Handgrip Strength and Functional Capacity in Active Elderly Women
Abstract
1. Introduction
2. Materials and Methods
2.1. Experimental Design
2.2. Sample and Ethical Procedures
2.3. Procedures
2.3.1. Anthropometric Measurements
2.3.2. Handgrip Isometric Strength Test and Functional Test Procedures
2.3.3. Ischemic Preconditioning Protocol (IPC)
2.4. Statistical Analysis
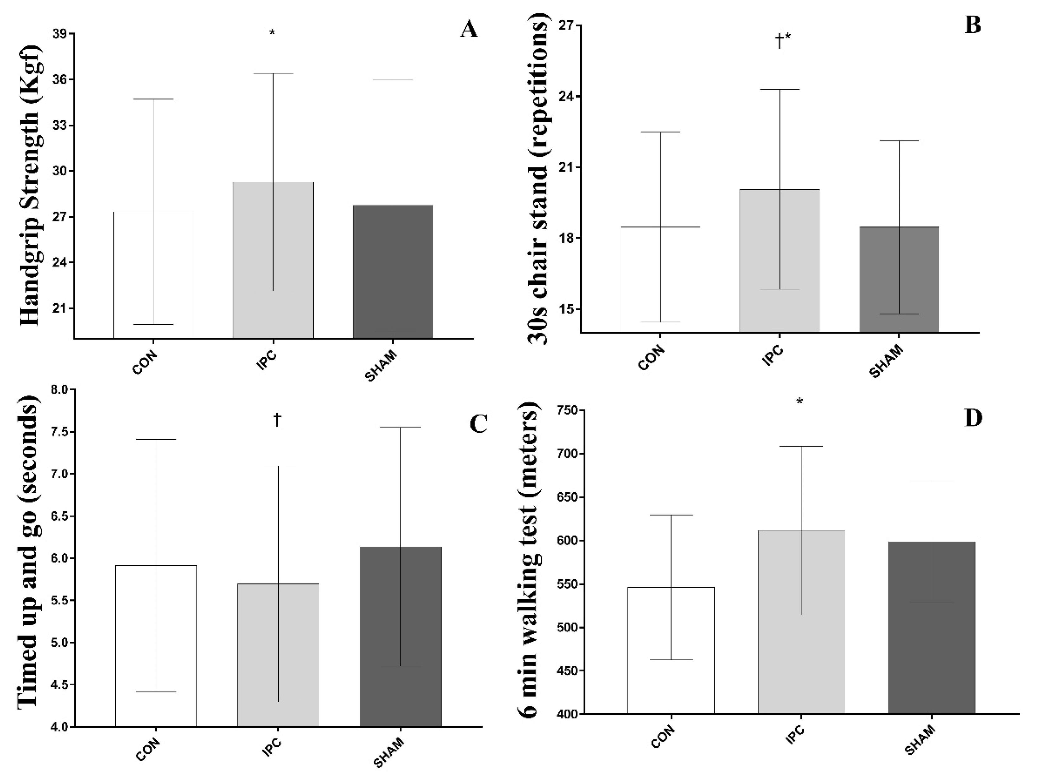
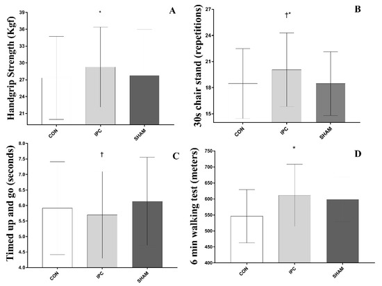
3. Results
4. Discussion
5. Conclusions
Author Contributions
Funding
Institutional Review Board Statement
Informed Consent Statement
Data Availability Statement
Acknowledgments
Conflicts of Interest
References
- Ben-Shlomo, Y.; Cooper, R.; Kuh, D. The last two decades of life course epidemiology, and its relevance for research on ageing. Int. J. Epidemiol. 2016, 45, 973–988. [Google Scholar] [CrossRef] [PubMed]
- Fragala, M.S.; Cadore, E.L.; Dorgo, S.; Izquierdo, M.; Kraemer, W.J.; Peterson, M.D.; Ryan, E.D. Resistance Training for Older Adults: Position Statement From the National Strength and Conditioning Association. J. Strength Cond. Res. 2019, 33, 2019–2052. [Google Scholar] [CrossRef] [PubMed]
- Shafiee, G.; Keshtkar, A.; Soltani, A.; Ahadi, Z.; Larijani, B.; Heshmat, R. Prevalence of sarcopenia in the world: A systematic review and meta- analysis of general population studies. J. Diabetes Metab. Disord. 2017, 16, 21. [Google Scholar] [CrossRef] [PubMed]
- Manini, T.M.; Clark, B.C. Dynapenia and Aging: An Update. J. Gerontol. Ser. A 2011, 67, 28–40. [Google Scholar] [CrossRef]
- Hughes, L.; Paton, B.; Rosenblatt, B.; Gissane, C.; Patterson, S.D. Blood flow restriction training in clinical musculoskeletal rehabilitation: A systematic review and meta-analysis. Br. J. Sports Med. 2017, 51, 1003–1011. [Google Scholar] [CrossRef]
- Centner, C.; Wiegel, P.; Gollhofer, A.; König, D. Effects of Blood Flow Restriction Training on Muscular Strength and Hypertrophy in Older Individuals: A Systematic Review and Meta-Analysis. Sports Med. 2019, 49, 95–108. [Google Scholar] [CrossRef]
- Baker, B.S.; Stannard, M.S.; Duren, D.L.; Cook, J.L.; Stannard, J.P. Does Blood Flow Restriction Therapy in Patients Older Than Age 50 Result in Muscle Hypertrophy, Increased Strength, or Greater Physical Function? A Systematic Review. Clin. Orthop. Relat. Res. 2020, 478, 593–606. [Google Scholar] [CrossRef]
- Clarkson, M.J.; Conway, L.; Warmington, S.A. Blood flow restriction walking and physical function in older adults: A randomized control trial. J. Sci. Med. Sport 2017, 20, 1041–1046. [Google Scholar] [CrossRef]
- Ferraz, R.B.; Gualano, B.; Rodrigues, R.; Kurimori, C.O.; Fuller, R.; Lima, F.R.; De Sá-Pinto, A.L.; Roschel, H. Benefits of Resistance Training with Blood Flow Restriction in Knee Osteoarthritis. Med. Sci. Sports Exerc. 2018, 50, 897–905. [Google Scholar] [CrossRef]
- Takarada, Y.; Takazawa, H.; Ishii, N. Applications of vascular occlusion diminish disuse atrophy of knee extensor muscles. Med. Sci. Sports Exerc. 2000, 32, 2035–2039. [Google Scholar] [CrossRef]
- Arriel, R.A.; Rodrigues, J.F.; De Souza, H.L.R.; Meireles, A.; Leitão, L.F.M.; Crisafulli, A.; Marocolo, M. Ischemia–Reperfusion Intervention: From Enhancements in Exercise Performance to Accelerated Performance Recovery—A Systematic Review and Meta-Analysis. Int. J. Environ. Res. Public Health 2020, 17, 8161. [Google Scholar] [CrossRef] [PubMed]
- Incognito, A.V.; Burr, J.F.; Millar, P.J. The Effects of Ischemic Preconditioning on Human Exercise Performance. Sports Med. 2016, 46, 531–544. [Google Scholar] [CrossRef] [PubMed]
- Paradis-Deschênes, P.; Joanisse, D.R.; Billaut, F. Ischemic preconditioning increases muscle perfusion, oxygen uptake, and force in strength-trained athletes. Appl. Physiol. Nutr. Metab. 2016, 41, 938–944. [Google Scholar] [CrossRef] [PubMed]
- da Silva Novaes, J.; da Silva Telles, L.G.; Monteiro, E.R.; da Silva Araujo, G.; Vingren, J.L.; Silva Panza, P.; Reis, V.M.; Laterza, M.C.; Vianna, J.M. Ischemic Preconditioning Improves Resistance Training Session Performance. J. Strength Cond. Res. 2021, 35, 2993–2998. [Google Scholar] [CrossRef] [PubMed]
- Caru, M.; Levesque, A.; Lalonde, F.; Curnier, D. An overview of ischemic preconditioning in exercise performance: A systematic review. J. Sport Health Sci. 2019, 8, 355–369. [Google Scholar] [CrossRef]
- Marocolo, M.; da Mota, G.R.; Pelegrini, V.; Appell Coriolano, H.J. Are the Beneficial Effects of Ischemic Preconditioning on Performance Partly a Placebo Effect? Int. J. Sports Med. 2015, 36, 822–825. [Google Scholar] [CrossRef]
- Crisafulli, A.; Tangianu, F.; Tocco, F.; Concu, A.; Mameli, O.; Mulliri, G.; Caria, M.A. Ischemic preconditioning of the muscle improves maximal exercise performance but not maximal oxygen uptake in humans. J. Appl. Physiol. 2011, 111, 530–536. [Google Scholar] [CrossRef]
- Bailey, T.G.; Birk, G.K.; Cable, N.T.; Atkinson, G.; Green, D.J.; Jones, H.; Thijssen, D.H.J. Remote ischemic preconditioning prevents reduction in brachial artery flow-mediated dilation after strenuous exercise. Am. J. Physiol. Circ. Physiol. 2012, 303, H533–H538. [Google Scholar] [CrossRef]
- Barbosa, T.C.; Machado, A.C.; Braz, I.D.; Fernandes, I.A.; Vianna, L.C.; Nobrega, A.C.; Silva, B.M. Remote ischemic preconditioning delays fatigue development during handgrip exercise. Scan. J. Med. Sci. Sports. 2015, 25, 356–364. [Google Scholar] [CrossRef]
- Marocolo, M.; Willardson Jm Marocolo Ic Ribeiro Da Mota, G.; Simao, R.; Maior, A.S. Ischemic preconditioning and placebo intervention improves resistance exercise performance. J. Strength Cond. Res. 2016, 30, 1462–1469. [Google Scholar] [CrossRef]
- Telles, L.G.d.S.; Carelli, L.C.; Bráz, I.D.; Junqueira, C.; Monteiro, E.R.; Reis, V.M.; Vianna, J.M.; da Silva Novaes, J. Effects of Ischemic Preconditioning as a Warm-Up on Leg Press and Bench Press Performance. J. Hum. Kinet. 2020, 75, 267–277. [Google Scholar] [CrossRef] [PubMed]
- Paradis-Deschênes, P.; Joanisse, D.R.; Mauriège, P.; Billaut, F. Ischemic Preconditioning Enhances Aerobic Adaptations to Sprint-Interval Training in Athletes without Altering Systemic Hypoxic Signaling and Immune Function. Front. Sports Act. Living 2020, 2, 41. [Google Scholar] [CrossRef] [PubMed]
- Marocolo, I.C.; da Mota, G.R.; Londe, A.M.; Patterson, S.D.; Neto, O.B.; Marocolo, M. Acute ischemic preconditioning does not influence high-intensity intermittent exercise performance. PeerJ 2017, 5, e4118. [Google Scholar] [CrossRef] [PubMed][Green Version]
- Tanaka, D.; Suga, T.; Tanaka, T.; Kido, K.; Honjo, T.; Fujita, S.; Hamaoka, T.; Isaka, T. Ischemic Preconditioning Enhances Muscle Endurance during Sustained Isometric Exercise. Endoscopy 2016, 37, 614–618. [Google Scholar] [CrossRef]
- de Groot, P.C.; Thijssen, D.H.; Sanchez, M.; Ellenkamp, R.; Hopman, M.T. Ischemic preconditioning improves maximal performance in humans. Eur. J. Appl. Physiol. 2010, c108, 141–146. [Google Scholar] [CrossRef]
- Beck, T.W. The importance of a priori sample size estimation in strength and conditioning research. J. Strength Cond. Res. 2013, 27, 2323–2337. [Google Scholar] [CrossRef]
- Shephard, R.J. PAR-Q, Canadian Home Fitness Test and exercise screening alternatives. Sport Med. 1988, 5, 185–195. [Google Scholar] [CrossRef]
- American College of Sports Medicine. ACSM’s Guidelines for Exercise Testing and Prescription, 10th ed.; Wolters Kluwer Health: Philadelphia, PA, USA, 2018. [Google Scholar]
- Evangelista, A.L.; De Souza, E.O.; Moreira, D.C.B.; Alonso, A.C.; Teixeira, C.V.L.S.; Wadhi, T.; Rauch, J.; Bocalini, D.S.; Pereira, P.E.D.A.; Greve, J.M.D. Interset Stretching vs. Traditional Strength Training: Effects on Muscle Strength and Size in Untrained Individuals. J. Strength Cond. Res. 2019, 33, S159–S166. [Google Scholar] [CrossRef]
- Wagner, D.R.; Cain, D.L.; Clark, N.W. Validity and Reliability of A-Mode Ultrasound for Body Composition Assessment of NCAA Division I Athletes. PLoS ONE 2016, 11, e0153146. [Google Scholar] [CrossRef]
- Cronin, J.; Lawton, T.; Harris, N.; Kilding, A.; McMaster, D.T. A Brief Review of Handgrip Strength and Sport Performance. J. Strength Cond. Res. 2017, 31, 3187–3217. [Google Scholar] [CrossRef]
- Jones, C.J.; Rikli, R.E.; Beam, W.C. A 30-s chair-stand test as a measure of lower body strength in community-residing older adults. Res. Q. Exerc. Sport 1999, 70, 113–119. [Google Scholar] [CrossRef] [PubMed]
- Schaubert, K.L.; Bohannon, R.W. Reliability and validity of three strength measures obtained from community-dwelling elderly persons. J. Strength Cond. Res. 2005, 19, 717–720. [Google Scholar] [PubMed]
- ATS statement: Guidelines for the six-minute walk test. ATS Committee on Proficiency Standards for Clinical Pulmonary Function Laboratories. Am. J. Respir. Critic. Care Med. 2002, 166, 111–170. [CrossRef]
- Jean-St-Michel, E.; Manlhiot, C.; Li, J.; Tropak, M.; Michelsen, M.M.; Schmidt, M.R.; Mccrindle, B.W.; Wells, G.D.; Redington, A.N. Remote Preconditioning Improves Maximal Performance in Highly Trained Athletes. Med. Sci. Sports Exerc. 2011, 43, 1280–1286. [Google Scholar] [CrossRef] [PubMed]
- Alley, D.E.; Shardell, M.D.; Peters, K.W.; McLean, R.R.; Dam, T.-T.L.; Kenny, A.M.; Fragala, M.S.; Harris, T.B.; Kiel, D.; Guralnik, J.M.; et al. Grip Strength Cutpoints for the Identification of Clinically Relevant Weakness. J. Gerontol. Ser. A 2014, 69, 559–566. [Google Scholar] [CrossRef] [PubMed]
- McLean, R.R.; Shardell, M.D.; Alley, D.E.; Cawthon, P.M.; Fragala, M.S.; Harris, T.B.; Kenny, A.M.; Peters, K.W.; Ferrucci, L.; Guralnik, J.M.; et al. Criteria for clinically relevant weakness and low lean mass and their longitudinal association with incident mobility impairment and mortality: The foundation for National Institutes of Health (FNIH) sarcopenia project. J. Gerontol. Ser. A Biomed. Sci. Med. Sci. 2014, 69, 576–583. [Google Scholar] [CrossRef]
- Cruz-Jentoft, A.J.; Baeyens, J.P.; Bauer, J.M.; Boirie, Y.; Cederholm, T.; Landi, F.; Martin, F.C.; Michel, J.-P.; Rolland, Y.; Schneider, S.M.; et al. Sarcopenia: European consensus on definition and diagnosis: Report of the European Working Group on Sarcopenia in Older People. Age Ageing 2010, 39, 412–423. [Google Scholar] [CrossRef]
- Libonati, J.R.; Cox, M.; Incanno, N.; Melville, S.K.; Musante, F.C.; Glassberg, H.L.; Guazzi, M. Brief periods of occlusion and reperfusion increase skeletal muscle force output in humans. Cardiologia 1998, 43, 1355–1360. [Google Scholar]
- Yee, X.S.; Ng, Y.S.; Allen, J.C.; Latib, A.; Tay, E.L.; Abu Bakar, H.M.; Ho, C.Y.J.; Koh, W.C.C.; Kwek, H.H.T.; Tay, L. Performance on sit-to-stand tests in relation to measures of functional fitness and sarcopenia diagnosis in community-dwelling older adults. Eur. Rev. Aging Phys. Act. 2021, 18, 1–11. [Google Scholar] [CrossRef]
- Montgomery, G.; McPhee, J.; Pääsuke, M.; Sipilä, S.; Maier, A.B.; Hogrel, J.Y.; Degens, H. Determinants of Performance in the Timed Up-and-Go and Six-Minute Walk Tests in Young and Old Healthy Adults. J. Clin. Med. 2020, 9, 1561. [Google Scholar] [CrossRef]
- Eagles, D.; Perry, J.J.; Sirois, M.J.; Lang, E.; Daoust, R.; Lee, J.; Griffith, L.; Wilding, L.; Neveu, X.; Emond, M. Timed Up and Go predicts functional decline in older patients presenting to the emergency department following minor trauma. Age Ageing 2017, 46, 214–219. [Google Scholar] [CrossRef] [PubMed]
- Yazdanyar, D.A.; Aziz, M.M.; Enright, P.L.; Edmundowicz, D.; Boudreau, R.; Sutton-Tyrell, K.; Kuller, L.; Newman, A.B. Association between Six Minute Walk Test and All-Cause Mortality, Coronary Heart Disease-Specific Mortality, and Incident Coronary Heart Disease. J. Aging Health 2014, 26, 583–599. [Google Scholar] [CrossRef] [PubMed]
- Cruz, R.S.; de Aguiar, R.A.; Turnes, T.; Pereira, K.L.; Caputo, F. Effects of ischemic preconditioning on maximal constant-load cycling performance. J. Appl. Physiol. 1985, 119, 961–967. [Google Scholar] [CrossRef] [PubMed]
- de Souza, H.L.R.; Arriel, R.A.; Hohl, R.; da Mota, G.R.; Marocolo, M. Is Ischemic Preconditioning Intervention Occlusion-Dependent to Enhance Resistance Exercise Performance? J. Strength Cond. Res. 2021, 35, 2706–2712. [Google Scholar] [CrossRef]
- Salvador, A.F.; de Aguiar, R.A.; Lisbôa, F.D.; Pereira, K.L.; Cruz, R.S.; Caputo, F. Ischemic Preconditioning and Exercise Performance: A Systematic Review and Meta-Analysis. Int. J. Sports Physiol. Perform. 2016, 11, 4–14. [Google Scholar] [CrossRef]
- Lochner, A.; Marais, E.; Du Toit, E.; Moolman, J. Nitric oxide triggers classic ischemic preconditioning. Ann. N. Y. Acad. Sci. 2002, 962, 402–414. [Google Scholar] [CrossRef]
- Fukumura, D.; Gohongi, T.; Kadambi, A.; Izumi, Y.; Ang, J.; Yun, C.O.; Buerk, D.G.; Huang, P.L.; Jain, R.K. Predominant role of endothelial nitric oxide synthase in vascular endothelial growth factor-induced angiogenesis and vascular permeability. Proc. Natl. Acad. Sci. USA 2001, 98, 2604–2609. [Google Scholar] [CrossRef]
- Kimura, M.; Ueda, K.; Goto, C.; Jitsuiki, D.; Nishioka, K.; Umemura, T.; Noma, K.; Yoshizumi, M.; Chayama, K.; Higashi, Y. Repetition of Ischemic Preconditioning Augments Endothelium-Dependent Vasodilation in Humans. Arter. Thromb. Vasc. Biol. 2007, 27, 1403–1410. [Google Scholar] [CrossRef]
- Andreas, M.; Schmid, A.I.; Keilani, M.; Doberer, D.; Bartko, J.; Crevenna, R.; Moser, E.; Wolzt, M. Effect of ischemic preconditioning in skeletal muscle measured by functional magnetic resonance imaging and spectroscopy: A randomized crossover trial. J. Cardiovasc. Magn. Reson. 2011, 13, 32. [Google Scholar] [CrossRef]


| Age (years) | 68.1 ± 7.6 |
| Height (cm) | 156.6 ± 9.1 |
| Weight (kg) | 70.5 ± 13.5 |
| Body Fat% | 32.2 ± 6.9 |
| Muscle Thickness (mm)—(Biceps Bracchi) | 23.2 ± 5.1 |
| Muscle Thickness (mm)—(Rectus Femoris) | 17.9 ± 3.9 |
| Systolic Arterial Pressure (mmHg) | 117 ± 18.9 |
| Diastolic Arterial Pressure (mmHg) | 75.1 ± 9.4 |
| Heart Rate (bpm) | 80.1 ± 12.3 |
Publisher’s Note: MDPI stays neutral with regard to jurisdictional claims in published maps and institutional affiliations. |
© 2022 by the authors. Licensee MDPI, Basel, Switzerland. This article is an open access article distributed under the terms and conditions of the Creative Commons Attribution (CC BY) license (https://creativecommons.org/licenses/by/4.0/).
Share and Cite
Telles, L.G.d.S.; Billaut, F.; Cunha, G.; Ribeiro, A.d.S.; Monteiro, E.R.; Barreto, A.C.; Leitão, L.; Panza, P.; Vianna, J.M.; Novaes, J.d.S. Ischemic Preconditioning Improves Handgrip Strength and Functional Capacity in Active Elderly Women. Int. J. Environ. Res. Public Health 2022, 19, 6628. https://doi.org/10.3390/ijerph19116628
Telles LGdS, Billaut F, Cunha G, Ribeiro AdS, Monteiro ER, Barreto AC, Leitão L, Panza P, Vianna JM, Novaes JdS. Ischemic Preconditioning Improves Handgrip Strength and Functional Capacity in Active Elderly Women. International Journal of Environmental Research and Public Health. 2022; 19(11):6628. https://doi.org/10.3390/ijerph19116628
Chicago/Turabian StyleTelles, Luiz Guilherme da Silva, François Billaut, Gélio Cunha, Aline de Souza Ribeiro, Estêvão Rios Monteiro, Ana Cristina Barreto, Luís Leitão, Patrícia Panza, Jeferson Macedo Vianna, and Jefferson da Silva Novaes. 2022. "Ischemic Preconditioning Improves Handgrip Strength and Functional Capacity in Active Elderly Women" International Journal of Environmental Research and Public Health 19, no. 11: 6628. https://doi.org/10.3390/ijerph19116628
APA StyleTelles, L. G. d. S., Billaut, F., Cunha, G., Ribeiro, A. d. S., Monteiro, E. R., Barreto, A. C., Leitão, L., Panza, P., Vianna, J. M., & Novaes, J. d. S. (2022). Ischemic Preconditioning Improves Handgrip Strength and Functional Capacity in Active Elderly Women. International Journal of Environmental Research and Public Health, 19(11), 6628. https://doi.org/10.3390/ijerph19116628

