Digital Economy, Agricultural Technological Progress, and Agricultural Carbon Intensity: Evidence from China
Abstract
:1. Introduction
2. Theoretical Analysis and Research Assumptions
2.1. Digital Economy and Agricultural Carbon Intensity
2.2. The Impact of the Digital Economy on Agricultural Carbon Intensity Has Spatial Spillover Effects
3. Research Design
3.1. Calculation of Agricultural Carbon Emissions and Agricultural Carbon Intensity
3.1.1. Calculation of Agricultural Carbon Emissions
3.1.2. Calculation of Agricultural Carbon Intensity
3.2. Benchmark Regression Model
3.2.1. Basic Model
3.2.2. Mediation Effect Model
3.3. Spatial Autocorrelation Calculation of Agricultural Carbon Intensity
3.3.1. Global Moran’s I
3.3.2. Local Moran’s I
3.4. Spatial Durbin Model
3.5. Variable Selection and Data Sources
3.5.1. Core Explanatory Variable
3.5.2. Mediating Variable
3.5.3. Control Variables
3.5.4. Data Sources
4. Empirical Results and Analysis
4.1. Status Quo Analysis of Agricultural Carbon Intensity, Digital Economy and Agricultural Technology Progress
4.2. Benchmark Regression and Mediation Effect Results Analysis
4.3. Spatial Autocorrelation Results of Agricultural Carbon Intensity
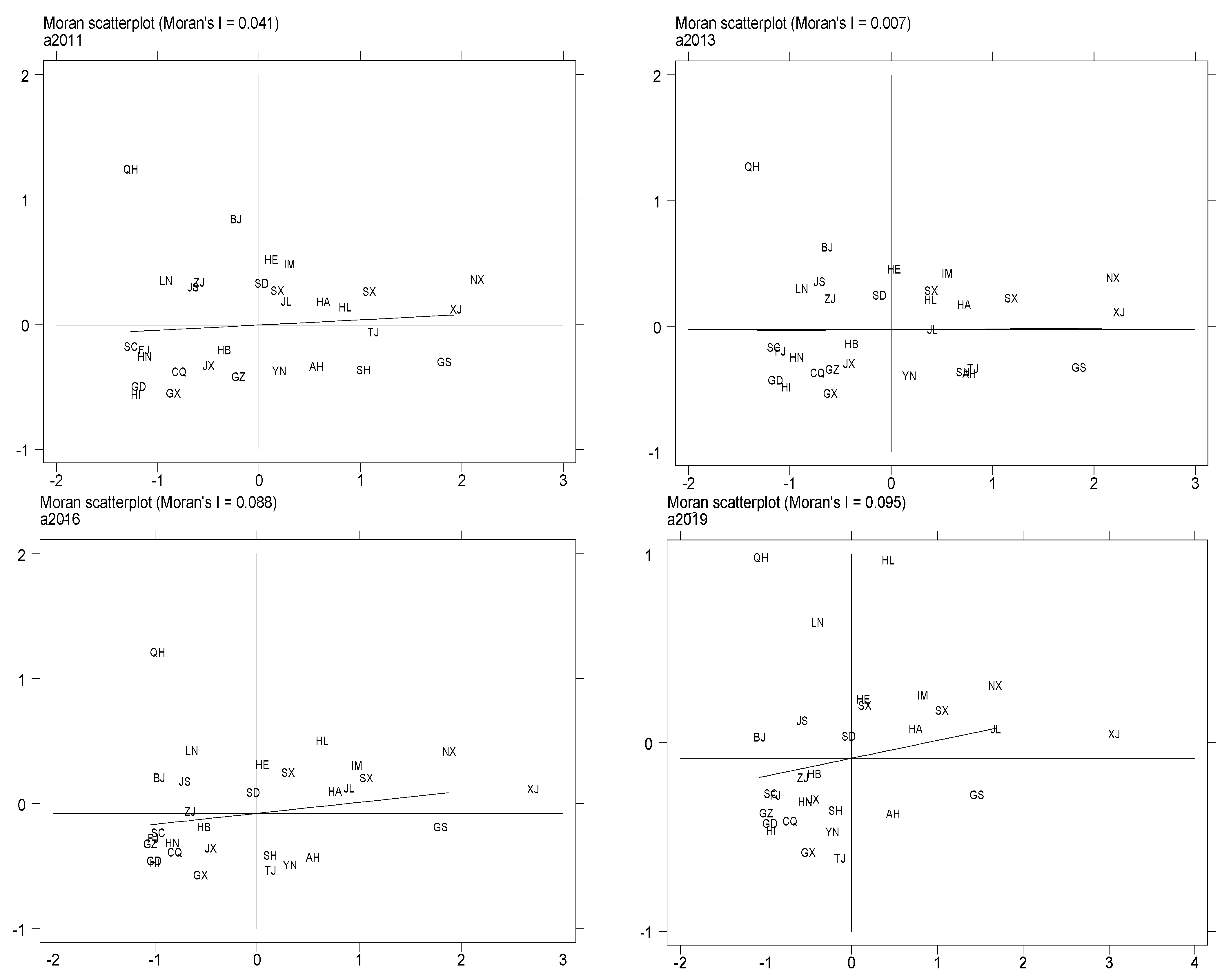
4.3.1. Global Moran’s I Analysis
4.3.2. Local Moran’s I Analysis
4.4. Analysis of Spatial Spillover Effects
4.4.1. Choice of Spatial Model
4.4.2. Analysis of SDM Regression Results
4.4.3. Analysis of Direct and Indirect Effects
5. Conclusions
- (1)
- China’s agricultural carbon intensity fluctuated and decreased from 2011 to 2019, and there has been agricultural carbon emission reduction. However, due to the large scale of production, the current agricultural carbon intensity is still very high. The digital economy has grown steadily year by year. The progress of agricultural technology is also on the rise, but the characteristic of “high energy consumption and high emissions” still exists, and the inhibitory effect on agricultural carbon intensity needs to be improved.
- (2)
- The improvement of China’s digital economy will significantly reduce the carbon intensity of agriculture, and the advancement of agricultural technology has played an intermediary role in this impact.
- (3)
- The improvement of China’s digital economy can significantly reduce the carbon intensity of agriculture in adjacent regions through spatial spillover effects.
6. Recommendations
- (1)
- Based on the fact that the digital economy can effectively reduce the carbon intensity of agriculture, the government should increase investment in the internet industry and accelerate the implementation of 5G, artificial intelligence, and other internet technologies. The government should also accelerate the integration of digital economy and agriculture to build a data platform for agricultural production and promote the development of rural digital economy. At the same time, it is necessary to further develop digital inclusive finance, use the advantages of digital service channels, big data, cloud computing, and other technological methods to meet farmers’ financial needs, stimulate farmers’ innovation and entrepreneurship, and achieve high-quality agricultural development.
- (2)
- The inhibitory effect of the digital economy on agricultural carbon intensity has a positive spatial spillover effect. The governments of neighboring provinces should break down administrative barriers, coordinate and cooperate with each other on internet infrastructure construction, agricultural technology innovation and application, and fully release the spatial contribution capacity of the digital economy to agricultural carbon reduction.
- (3)
- The digital economy reduces the carbon intensity of agriculture by improving technological progress. Therefore, it is necessary to further increase investment in technological research and development in the agricultural field in the future, and focus on agricultural technologies with the characteristics of “improving productivity and controlling pollution,” thereby improving the carbon emission reduction capacity of agricultural technological progress. Second, an important premise for this mechanism to work is that farmers know how to use information technology and agricultural production technology. Therefore, the government should also improve farmers’ production skills and information equipment use skills through training. This will increase farmers’ human capital and create conditions for promoting and applying information technology and agricultural production technology in rural areas.
7. Deficiencies and Prospects
Author Contributions
Funding
Institutional Review Board Statement
Informed Consent Statement
Data Availability Statement
Conflicts of Interest
Appendix A
| Province | ||||||||
|---|---|---|---|---|---|---|---|---|
| Shanghai (SH) | Jiangsu (JS) | Zhejiang (ZJ) | Anhui (AH) | Fujian (FJ) | Jiangxi (JX) | Shandong (SD) | Taiwan (TW) | Beijing (BJ) |
| Tianjin (TJ) | Shanxi (SX) | Hebei (HE) | Inner Mongoria (IM) | Henan (HA) | Hubei (HB) | Hunan (HN) | Guangdong (GD) | Hainan (HI) |
| Guangxi (GX) | Hong Kong (HK) | Macao (MO) | Chongqing (CQ) | Sichuan (SC) | Guizhou (GZ) | Yunnan (YN) | Tibet (XZ) | Shaanxi (SN) |
| Gansu (GS) | Qinghai (QH) | Ningxia (NX) | Xinjiang (XJ) | Heilongjiang (HL) | Jilin (JL) | Liaoning (LN) | ||
| Areas | Province | |||
|---|---|---|---|---|
| Main grain producing areas | Liaoning | Inner Mongoria | Henan | Heilongjiang |
| Hebei | Jiangxi | Hubei | ||
| Shandong | Hunan | Jiangsu | ||
| Jilin | Sichuan | Anhui | ||
| Main grain sales areas | Beijing | Zhejiang | Hainan | Guangdong |
| Tianjin | Fujian | Shanghai | ||
| Grain production and sales balance areas | Hainan | Shaanxi | Xinjiang | Ningxia |
| Chongqing | Gansu | Shanxi | ||
| Yunnan | Qinghai | Guizhou | ||
References
- Mi, Z.; Meng, J.; Guan, D.; Shan, Y.; Song, M.; Wei, Y.M.; Liu, Z.; Hubacek, K. Chinese CO2 emission flows have reversed since the global financial crisis. Nat. Commun. 2017, 8, 1712. [Google Scholar] [CrossRef]
- Xu, B.; Lin, B.Q. Factors affecting CO2 emissions in China’s agriculture sector: Evidence from geographically weighted regression model. Energy Policy 2017, 104, 404–414. [Google Scholar] [CrossRef]
- Quéré, C.L.; Andrew, R.M.; Friedlingstein, P.; Sitch, S.; Hauck, J.; Pongratz, J.; Pickers, P.A.; Korsbakken, J.I.; Peters, G.P.; Canadell, J.G.; et al. Global Carbon Budget 2018. Earth Syst. Sci. Data 2018, 10, 2141–2194. [Google Scholar] [CrossRef] [Green Version]
- Shan, Y.; Guan, D.; Zheng, H.; Ou, J.; Li, Y.; Meng, J.; Mi, Z.; Liu, Z.; Zhang, Q. China CO2 emission accounts 1997–2015. Sci. Data 2018, 5, 170201. [Google Scholar] [CrossRef] [PubMed] [Green Version]
- Zheng, X.; Lu, Y.; Yuan, J.; Baninla, Y.; Zhang, S.; Stenseth, N.C.; Hessen, D.O.; Tian, H.; Obersteiner, M.; Chen, D. Drivers of change in China’s energy-related CO2 emissions. Proc. Natl. Acad. Sci. USA 2020, 117, 29–36. [Google Scholar] [CrossRef] [PubMed] [Green Version]
- Jiang, Z.J.; Lin, B.Q. China’s energy demand and its characteristics in the industrialization and urbanization process. Energy Policy 2012, 49, 608–615. [Google Scholar] [CrossRef]
- Xu, B.; Lin, B.Q. How industrialization and urbanization process impacts on CO2 emissions in China: Evidence from nonparametric additive regression models. Energy Econ. 2015, 48, 188–202. [Google Scholar] [CrossRef]
- Cui, Y.; Khan, S.U.; Deng, Y.; Zhao, M.; Hou, M. Environmental improvement value of agricultural carbon reduction and its spatiotemporal dynamic evolution: Evidence from China. Sci. Total Environ. 2021, 754, 142170. [Google Scholar] [CrossRef]
- Dong, H.M.; Li, Y.; Tao, X.P.; Peng, X.P.; Li, N.; Zhu, Z.P. China greenhouse gas emissions from agricultural activities and its mitigation strategy. Trans. Chin. Soc. Agric. Eng. 2008, 24, 269–273. [Google Scholar]
- Xiong, C.; Yang, D.; Xia, F.; Huo, J. Changes in agricultural carbon emissions and factors that influence agricultural carbon emissions based on different stages in Xinjiang, China. Sci. Rep. 2016, 6, 36912. [Google Scholar] [CrossRef] [Green Version]
- Lu, Y.; Jenkins, A.; Ferrier, R.C.; Bailey, M.; Gordon, I.J.; Song, S.; Huang, J.; Jia, S.; Zhang, F.; Liu, X.; et al. Addressing China’s grand challenge of achieving food security while ensuring environmental sustainability. Sci. Adv. 2015, 1, e1400039. [Google Scholar] [CrossRef] [Green Version]
- Bukht, R.; Heeks, R. Defining, Conceptualising and Measuring the Digital Economy. Dev. Inform. Work. Pap. 2017, 68. [Google Scholar] [CrossRef] [Green Version]
- Zhao, T.; Zhang, Z.; Liang, S.K. Digital Economy, Entrepreneurship, and High-Quality Economic Development: Empirical Evidence from Urban China. Manag. World 2020, 36, 65–76. (In Chinese) [Google Scholar]
- Li, X.Y.; Liu, J.; Ni, P.J. The Impact of the Digital Economy on CO2 Emissions: A Theoretical and Empirical Analysis. Sustainability 2021, 13, 7267. [Google Scholar] [CrossRef]
- Zhang, W.; Zhao, S.; Wan, X.; Yao, Y. Study on the effect of digital economy on high-quality economic development in China. PLoS ONE 2021, 16, e0257365. [Google Scholar] [CrossRef] [PubMed]
- Wang, J.L.; Wang, W.L.; Ran, Q.Y.; Irfan, M.; Ren, S.Y.; Yang, X.D.; Wu, H.T.; Ahmad, M. Analysis of the mechanism of the impact of internet development on green economic growth: Evidence from 269 prefecture cities in China. Environ. Sci. Pollut. Res. 2022, 29, 9990–10004. [Google Scholar] [CrossRef]
- Usman, A.; Ozturk, I.; Hassan, A.; Zafar, S.M.; Ullah, S. The effect of ICT on energy consumption and economic growth in South Asian economies: An empirical analysis. Telemat. Inform. 2021, 58, 101537. [Google Scholar] [CrossRef]
- Kaila, H.K.; Tarp, F. Can the Internet improve agricultural production? Evidence from Viet Nam. Agric. Econ. 2019, 50, 675–691. [Google Scholar] [CrossRef] [Green Version]
- Park, C.-Y.; Mercado, R.V. Financial inclusion, poverty, and income inequality. Singap. Econ. Rev. 2017, 63, 185–206. [Google Scholar] [CrossRef]
- Fabregas, R.; Kremer, M.; Schilbach, F. Realizing the potential of digital development: The case of agricultural advice. Science 2019, 366, eaay3038. [Google Scholar] [CrossRef] [Green Version]
- Zhang, L.; Pang, J.; Chen, X.; Lu, Z. Carbon emissions, energy consumption and economic growth: Evidence from the agricultural sector of China’s main grain-producing areas. Sci. Total Environ. 2019, 665, 1017–1025. [Google Scholar] [CrossRef] [PubMed]
- Tian, Y.; Zhang, J.B.; He, Y.Y. Research on Spatial-Temporal Characteristics and Driving Factor of Agricultural Carbon Emissions in China. J. Integr. Agric. 2014, 13, 1393–1403. [Google Scholar] [CrossRef] [Green Version]
- Sun, F.H. Cross-Sectoral Coordination Mechanism of Green GDP Accounting: Theoretical Framework and Promoting Path. J. Henan Univ. (Soc. Sci.) 2018, 58, 67–75. (In Chinese) [Google Scholar]
- Gao, Y.; Zhao, D.Y.; Yu, L.L.; Yang, H.R. Influence of a new agricultural technology extension mode on farmers’ technology adoption behavior in China. J. Rural. Stud. 2020, 76, 173–183. [Google Scholar] [CrossRef]
- Cheng, Q.W.; Xu, A.X.; Chen, Q. The Realization Path of Agricultural Carbon Emission Reduction under the Background of “Double Carbon” Target: Verification Based on Digital Financial Inclusion. J. Southwest Minzu Univ. (Humanit. Soc. Sci.) 2022, 43, 115–126. (In Chinese) [Google Scholar]
- Liu, Y.Y.; Ji, D.; Zhang, L.; An, J.J.; Sun, W.Y. Rural Financial Development Impacts on Agricultural Technology Innovation: Evidence from China. Int. J. Environ. Res. Public Health 2021, 18, 1110. [Google Scholar] [CrossRef]
- Xiong, C.; Wang, G.; Xu, L. Spatial differentiation identification of influencing factors of agricultural carbon productivity at city level in Taihu lake basin, China. Sci. Total Environ. 2021, 800, 149610. [Google Scholar] [CrossRef]
- Liu, E.-K.; He, W.Q.; Yan, C.R. ‘White revolution’ to ‘white pollution’-agricultural plastic film mulch in China. Environ. Res. Lett. 2014, 9, 091001. [Google Scholar] [CrossRef] [Green Version]
- Wang, X.H. Sustainable development in Tibet requires control of agricultural nonpoint pollution. Environ. Sci. Technol. 2014, 48 16, 8944–8945. [Google Scholar] [CrossRef]
- Yilmaz, S.; Haynes, K.E.; Dinc, M. Geographic and Network Neighbors: Spillover Effects of Telecommunications Infrastructure. J. Reg. Sci. 2002, 42, 339–360. [Google Scholar] [CrossRef]
- Zhou, J.; Lan, H.L.; Zhao, C.; Zhou, J.P. Haze Pollution Levels, Spatial Spillover Influence, and Impacts of the Digital Economy: Empirical Evidence from China. Sustainability 2021, 13, 9076. [Google Scholar] [CrossRef]
- Wu, H.T.; Hao, Y.; Ren, S.Y.; Yang, X.D.; Xie, G. Does internet development improve green total factor energy efficiency? Evidence from China. Energy Policy 2021, 153, 112247. [Google Scholar] [CrossRef]
- Su, Y.; Li, Z.; Yang, C. Spatial Interaction Spillover Effects between Digital Financial Technology and Urban Ecological Efficiency in China: An Empirical Study Based on Spatial Simultaneous Equations. Int. J. Environ. Res. Public Health 2021, 18, 8535. [Google Scholar] [CrossRef]
- He, Y.Q.; Cheng, X.Y.; Wang, F.; Cheng, Y. Spatial correlation of China’s agricultural greenhouse gas emissions: A technology spillover perspective. Nat. Hazards 2020, 104, 2561–2590. [Google Scholar] [CrossRef]
- Zhou, S.J.; Jiang, Q.C. A Study on Spatial Effect of Regional Carbon Emission Intensity based on Dynamic SDM in China. J. Hunan Univ. (Soc. Sci.) 2020, 34, 40–48. (In Chinese) [Google Scholar]
- Huang, X.; Xu, X.; Wang, Q.; Zhang, L.; Gao, X.; Chen, L. Assessment of Agricultural Carbon Emissions and Their Spatiotemporal Changes in China, 1997–2016. Int. J. Environ. Res. Public Health 2019, 16, 3105. [Google Scholar] [CrossRef] [PubMed] [Green Version]
- Cui, Y.; Khan, S.U.; Deng, Y.; Zhao, M. Regional difference decomposition and its spatiotemporal dynamic evolution of Chinese agricultural carbon emission: Considering carbon sink effect. Environ. Sci. Pollut. Res. 2021, 28, 38909–38928. [Google Scholar] [CrossRef]
- Liu, M.C.; Yang, L. Spatial pattern of China’s agricultural carbon emission performance. Ecol. Indic. 2021, 133, 108345. [Google Scholar] [CrossRef]
- Luo, Y.S.; Long, X.L.; Wu, C.; Zhang, J.J. Decoupling CO2 emissions from economic growth in agricultural sector across 30 Chinese provinces from 1997 to 2014. J. Clean. Prod. 2017, 159, 220–228. [Google Scholar] [CrossRef]
- Zhou, B.; Zhang, C.X.; Song, H.Y.; Wang, Q.W. How does emission trading reduce China’s carbon intensity? An exploration using a decomposition and difference-in-differences approach. Sci. Total Environ. 2019, 676, 514–523. [Google Scholar] [CrossRef]
- Wang, N.; Zhu, Y.; Yang, T. The impact of transportation infrastructure and industrial agglomeration on energy efficiency: Evidence from China’s industrial sectors. J. Clean. Prod. 2020, 244, 118708. [Google Scholar] [CrossRef]
- Du, C.Z.; Guan, H.F. Digital Economy and Export Technical Sophistication of China’s Manufacturing Industry: TEst Based on Mediating Effect and Threshold Effect. South China J. Econ. 2021, 1–20. (In Chinese) [Google Scholar] [CrossRef]
- Huang, Q.H.; Yu, Y.Z.; Zhang, S.L. Internet Development and Productivity Growth in Manufacturing Industry: Internal Mechanism and China Experiences. China Ind. Econ. 2019, 8, 5–23. (In Chinese) [Google Scholar]
- Guo, F.; Wang, J.Y.; Wang, F.; Cheng, Z.Y.; Kong, T.; Zhang, X. Measuring China’s Digital Financial Inclusion: Index Compilation and Spatial Characteristics. China Econ. Q. 2020, 19, 1401–1418. (In Chinese) [Google Scholar]
- Cheng, L.L.; Zhang, J.B.; He, K. The direct influence and indirect spillover effect of urbanization on agricultural carbon productivity base on the spatial durbin model. Chin. J. Agric. Resour. Reg. Plan. 2019, 40, 48–56. (In Chinese) [Google Scholar]
- Xiong, C.h.; Chen, S.; Xu, L.t. Driving factors analysis of agricultural carbon emissions based on extended STIRPAT model of Jiangsu Province, China. Growth Change 2020, 51, 1401–1416. [Google Scholar] [CrossRef]
- Yang, C.; Hu, P.Q.; Diao, B.D.; Cheng, J.H.; Cui, H.Y. Environmental performance evaluation of policies in main grain producing areas: From the perspective of agricultural carbon emissions. China Popul. Resour. Environ. 2021, 31, 35–44. (In Chinese) [Google Scholar]
- Lin, B.Q.; Xie, C.P. Reduction potential of CO2 emissions in China’s transport industry. Renew. Sustain. Energy Rev. 2014, 33, 689–700. [Google Scholar] [CrossRef]
- Yin, J.H.; Zheng, M.Z.; Chen, J. The effects of environmental regulation and technical progress on CO2 Kuznets curve: An evidence from China. Energy Policy 2015, 77, 97–108. [Google Scholar] [CrossRef]
- Lin, B.Q.; Chen, Y. Will land transport infrastructure affect the energy and carbon dioxide emissions performance of China’s manufacturing industry? Appl. Energy 2020, 260, 114266. [Google Scholar] [CrossRef]
- Liu, X.Y.; Bae, J.H. Urbanization and industrialization impact of CO2 emissions in China. J. Clean. Prod. 2018, 172, 178–186. [Google Scholar] [CrossRef]
- Liu, T.; Wang, B.; Li, J.L. Internet, Urbanization and Total factor Productivity of agricultural production. Rural. Econ. 2019, 129–136. (In Chinese) [Google Scholar]
- Jie, C. Transportation Infrastructure Construction, Environmental Pollution and Regional Economic Growth. East China Econ. Manag. 2020, 34, 72–79. (In Chinese) [Google Scholar]
- Zhang, W.; Li, G.X.; Uddin, M.K.; Guo, S.C. Environmental regulation, Foreign investment behavior, and carbon emissions for 30 provinces in China. J. Clean. Prod. 2020, 248, 119208. [Google Scholar] [CrossRef]
- Kang, S.Z.; Hao, X.M.; Du, T.S.; Tong, L.; Su, X.L.; Lu, H.N.; Li, X.L.; Huo, Z.L.; Li, S.E.; Ding, R.S. Improving agricultural water productivity to ensure food security in China under changing environment: From research to practice. Agric. Water Manag. 2017, 179, 5–17. [Google Scholar] [CrossRef]
- Zhang, Y.Q.; Tian, Y.; Wang, Y.; Wang, R.; Peng, Y.X. Rural Human Capital, Agricultural Technology Progress and Agricultural Carbon Emissions. Sci. Technol. Manag. Res. 2019, 39, 266–274. (In Chinese) [Google Scholar]
- Jiang, L.; Zhu, F.S. China’s Grain Production Status and Policy Suggestions in Major Grain Producing Areas. Issues Agric. Econ. 2015, 36, 17–24+110. (In Chinese) [Google Scholar]
- He, P.P.; Zhang, J.B.; He, K.; Cheng, Z.K. Why there is a low-carbon efficiency illusion in agricultural production: Evidence from Chinese provincial panel data in 1997–2016. J. Nat. Resour. 2020, 35, 2205–2217. (In Chinese) [Google Scholar] [CrossRef]
- Wang, J.; Li, H. The mystery of local fiscal expenditure and carbon emission growth in China. Environ. Sci. Pollut. Res. 2019, 26, 12335–12345. [Google Scholar] [CrossRef]
- Wu, H.Y.; Sipiläinen, T.; He, Y.; Huang, H.J.; Luo, L.X.; Chen, W.K.; Meng, Y. Performance of cropland low-carbon use in China: Measurement, spatiotemporal characteristics, and driving factors. Sci. Total Environ. 2021, 800, 149552. [Google Scholar] [CrossRef]
- Elhorst, J.P. Specification and Estimation of Spatial Panel Data Models. Int. Reg. Sci. Rev. 2016, 26, 244–268. [Google Scholar] [CrossRef]
- Li, J.Y.; Li, S.S. Energy investment, economic growth and carbon emissions in Chin Empirical analysis based on spatial Durbin model. Energy Policy 2020, 140, 111425. [Google Scholar] [CrossRef]
- Luo, B.L. Service Scale Management: Vertical Division of Labor, Horizontal Division of Labor and Specialization of Connected Farmland. Chin. Rural. Econ. 2017, 11, 2–16. (In Chinese) [Google Scholar]



| Input Elements | Carbon Emission Coefficient | Reference Sources |
|---|---|---|
| Fertilizer | 0.8956 kg C/kg | [36] |
| Pesticide | 4.9341 kg C/kg | [36] |
| Agricultural film | 5.18 kg C/kg | College of Resources and Environmental Sciences, Nanjing Agricultural University |
| Irrigation | 266.48 kg C/hm2 | [22] |
| Ploughing | 16.47 kg C/hm2 | [34] |
| Machinery | 0.18 kg C/kW | [34] |
| Diesel oil | 0.5927 kg C/kg | [22,39] |
| Subsystem | Indicators | Definition | Unit of Measurement | Weights |
|---|---|---|---|---|
| Internet | Internet penetration rate | Number of internet users per 100 people | - | 0.220 |
| Internet-related employees | Proportion of employees in computer service and software industries in the unit employees | % | 0.176 | |
| Internet-related output | Total number of telecommunication services per capita | CNY | 0.151 | |
| The number of mobile internet users | Mobile phone users per 100 people | - | 0.226 | |
| Digital finance | The digital inclusive financial index | The digital inclusive financial index | - | 0.227 |
| Symbol | Variable | Definition | Unit of Measurement |
|---|---|---|---|
| Explained variable | |||
| ACI | Agricultural carbon intensity | Total agricultural carbon emissions/Value-added of primary industry | Ton/ten thousand Yuan |
| Explanatory variable | |||
| DIG | Digital economy | Digital economy index | - |
| Mediating variable | |||
| TE | Agricultural technological progress | Total number of invention patents and utility model patents in agriculture per year/Employees in the primary industry | items/10 thousand people |
| Control variable | |||
| UR | Urbanization rate | Urban population/Total population | % |
| ER | Environmental regulation | Environmental pollution control investment/GDP | % |
| STRU | Industrial structure | Value-added of non-agricultural industrial/GDP | % |
| RTI | Road traffic infrastructure | Road and rail mileage per unit area in each province | 10 thousand kilometers |
| AFFI | Agricultural disaster rate | Land affected area/Total sown area | % |
| AFE | Agricultural fiscal expenditure | Fiscal expenditure on agriculture, forestry and water affairs/Total expenditure on government fiscal final accounts | % |
| Variables | N | Mean | Std. Deviation | Min | Max |
|---|---|---|---|---|---|
| ACI | 270 | 0.223 | 0.084 | 0.101 | 0.508 |
| DIG | 270 | 0.296 | 0.161 | 0.020 | 0.815 |
| TE | 270 | 6.161 | 11.766 | 0.139 | 76.386 |
| UR | 270 | 57.636 | 12.178 | 35.000 | 89.600 |
| STRU | 270 | 90.255 | 5.132 | 73.800 | 99.700 |
| ER | 270 | 1.472 | 0. 796 | 0.300 | 4.841 |
| RTI | 270 | 14.942 | 7.865 | 1.208 | 33.709 |
| AFFI | 270 | 15.403 | 0.796 | 0.300 | 4.841 |
| AFE | 270 | 11.397 | 3.189 | 4.110 | 18.966 |
| ACI | TE | ACI | ||
|---|---|---|---|---|
| (1) | (2) | (3) | (4) | |
| DIG | −0.243 *** | −0.250 *** | 43.495 *** | −0.134 ** |
| TE | −0.003 *** | |||
| LnUR | 0.061 | −77.244 *** | −0.146 *** | |
| LnER | 0.005 | 0.834 | 0.007 | |
| LnSTRI | 0.618 *** | 6.479 | 0.636 *** | |
| LnRTI | 0.001 | −24.389 *** | −0.064 ** | |
| LnAFFI | 0.003 ** | −0.437 ** | 0.002 ** | |
| LnAFE | 0.047 *** | −3.204 | 0.039 *** | |
| _cons | 0.257 *** | −2.885 *** | 339.734 *** | −1.975 ** |
| Year fixed | YES | YES | YES | YES |
| Province fixed | YES | YES | YES | YES |
| Observations | 270 | 270 | 270 | 270 |
| R2 | 0.153 | 0.304 | 0.584 | 0.445 |
| Year | Moran’s Index | Z-Statistics | p-Value | Year | Moran’s Index | Z-Statistics | p-Value |
|---|---|---|---|---|---|---|---|
| 2011 | 0.041 | 0.792 | 0.214 | 2016 | 0.088 | 1.299 | 0.097 |
| 2012 | 0.051 | 0.894 | 0.186 | 2017 | 0.092 | 1.340 | 0.090 |
| 2013 | 0.007 | 0.431 | 0.333 | 2018 | 0.086 | 1.281 | 0.100 |
| 2014 | 0.022 | 0.603 | 0.273 | 2019 | 0.095 | 1.402 | 0.080 |
| 2015 | 0.054 | 0.947 | 0.172 |
| Variable | W |
|---|---|
| Chi2-Statistic | |
| LM-LAG | 193.282 *** |
| Robust LM-LAG | 16.870 *** |
| LM-ERR | 179.655 *** |
| Robust LM-ERR | 3.242 * |
| Wald-SAR | 53.110 *** |
| Wald-SEM | 41.190 *** |
| LR-SAR | 47.870 *** |
| LR-SEM | 39.620 *** |
| Hausman | 12.390 * |
| Variable | SDM | Variable | SDM |
|---|---|---|---|
| DIG | −0.174 *** | W * LnUR | 0.117 |
| LnUR | 0.004 | W * LnER | 0.007 |
| LnER | 0.006 | W * LnSTUR | −1.167 *** |
| LnSTUR | 0.840 *** | W * LnRTI | 0.140 |
| LnRTI | −0.011 | W * LnAFFI | 0.004 ** |
| LnAFFI | 0.003 *** | W * LnAFE | 0.100 *** |
| LnAFE | 0.030 ** | ρ | 0.363 *** |
| W * DIG | −0.329 ** | Log-likelihood | 736.460 |
| Variable | Direct Effect | Indirect Effect | Total Effect |
|---|---|---|---|
| DIG | −0.200 *** | −0. 596 *** | −0.796 *** |
| LnUR | 0.011 | 0.188 | 0.199 |
| LnER | 0.007 | 0.015 | 0.022 |
| LnSTUR | 0.777 *** | −1.319 *** | −0.542 |
| LnRTI | −0.001 | 0.205 | 0.203 |
| LnAFFI | 0.003 *** | 0.008 *** | 0.011 *** |
| LnAFE | 0.037 *** | 0.168 *** | 0.205 *** |
Publisher’s Note: MDPI stays neutral with regard to jurisdictional claims in published maps and institutional affiliations. |
© 2022 by the authors. Licensee MDPI, Basel, Switzerland. This article is an open access article distributed under the terms and conditions of the Creative Commons Attribution (CC BY) license (https://creativecommons.org/licenses/by/4.0/).
Share and Cite
Zhong, R.; He, Q.; Qi, Y. Digital Economy, Agricultural Technological Progress, and Agricultural Carbon Intensity: Evidence from China. Int. J. Environ. Res. Public Health 2022, 19, 6488. https://doi.org/10.3390/ijerph19116488
Zhong R, He Q, Qi Y. Digital Economy, Agricultural Technological Progress, and Agricultural Carbon Intensity: Evidence from China. International Journal of Environmental Research and Public Health. 2022; 19(11):6488. https://doi.org/10.3390/ijerph19116488
Chicago/Turabian StyleZhong, Ruoxi, Qiang He, and Yanbin Qi. 2022. "Digital Economy, Agricultural Technological Progress, and Agricultural Carbon Intensity: Evidence from China" International Journal of Environmental Research and Public Health 19, no. 11: 6488. https://doi.org/10.3390/ijerph19116488
APA StyleZhong, R., He, Q., & Qi, Y. (2022). Digital Economy, Agricultural Technological Progress, and Agricultural Carbon Intensity: Evidence from China. International Journal of Environmental Research and Public Health, 19(11), 6488. https://doi.org/10.3390/ijerph19116488

