Lane-Level Regional Risk Prediction of Mainline at Freeway Diverge Area
Abstract
:1. Introduction
2. Methodology
2.1. Lane Identification Based on the LS-SVM Algorithm
2.2. Extraction of SSMs
2.3. Selection of Related Variables Based on MI
2.4. Regional Risk Prediction Modeling Based on Catastrophe Theory
3. Data Collection and Processing
3.1. Roadside Observation Experiment
3.2. Data Processing
3.2.1. Raw Data Processing
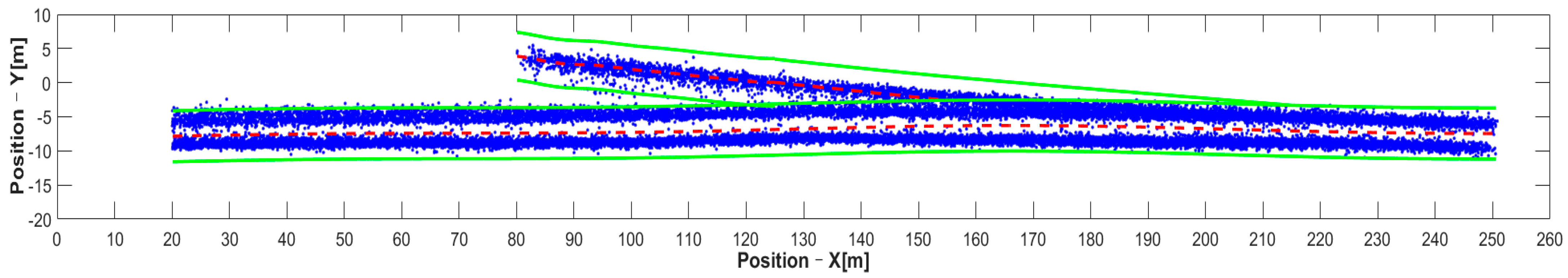
3.2.2. Lane Identification in the Research Area
3.3. Dataset Construction
3.3.1. Indicator Calculation and Conflict Event Extraction
3.3.2. Sample Construction of Lane-Level Area
- (1)
- Taking the conflict events extracted from each lane area as labels, the regional feature variables corresponding to the labels were extracted to complete the construction of positive samples.
- (2)
- On the continuous time series, the time range covered by the positive samples in each region was excluded, and the construction of the negative samples was completed. At the same time, by checking the samples, the samples with missing features and abnormal eigenvalues were eliminated.
- (3)
- According to the method, 153 positive samples representing conflicts and 2019 negative samples representing normal traffic were established for the area.
4. Results and Discussion
4.1. Information Gain of Feature Variables
4.2. Impact Analysis of Important Variables on Regional Risk
4.3. Regional Risk Prediction Modeling
5. Conclusions
Author Contributions
Funding
Institutional Review Board Statement
Informed Consent Statement
Data Availability Statement
Conflicts of Interest
References
- Qu, X.; Yang, Y.; Liu, Z.; Jin, S.; Weng, J. Potential Crash Risks of Expressway On-ramps and Off-ramps: A Case Study in Beijing, China. Saf. Sci. 2014, 70, 58–62. [Google Scholar] [CrossRef] [Green Version]
- Zhao, J.; Deng, W. Traffic Accidents on Expressways: New Threat to China. Traffic Inj. Prev. 2012, 13, 230–238. [Google Scholar] [CrossRef] [PubMed]
- Kurzhanskiy, A.A.; Varaiya, P. Active Traffic Management on Road Networks: A Macroscopic Approach. Philos. Trans. Math. Phys. Eng. Sci. 2010, 368, 4607–4626. [Google Scholar] [CrossRef]
- Peng, Y.; Li, C.; Wang, K.; Gao, Z.; Yu, R. Examining Imbalanced Classification Algorithms in Predicting Real-Time Traffic Crash Risk. Accid. Anal. Prev. 2020, 144, 105610. [Google Scholar] [CrossRef] [PubMed]
- Sun, J.; Sun, J. Real-time Crash Prediction on Urban Expressways: Identification of Key Variables and A Hybrid Support Vector Machine Model. IET Intell. Transp. Syst. 2016, 10, 331–337. [Google Scholar] [CrossRef]
- Li, P.; Abdel-Aty, M.; Yuan, J. Real-time Crash Risk Prediction on Arterials Based on LSTM-CNN. Accid. Anal. Prev. 2019, 135, 105371. [Google Scholar] [CrossRef]
- Wang, L.; Shi, Q.; Abdel-Aty, M. Predicting Crashes on Expressway Ramps with Real-Time Traffic and Weather Data. Transp. Res. Rec. 2015, 2514, 32–38. [Google Scholar] [CrossRef]
- Ma, Y.; Meng, H.; Chen, S.; Zhao, J.; Li, S.; Xiang, Q. Predicting Traffic Conflicts for Expressway Diverging Areas Using Vehicle Trajectory Data. J. Transp. Eng. Part A Syst. 2020, 146, 04020003. [Google Scholar] [CrossRef]
- Parsa, A.B.; Taghipour, H.; Derrible, S.; Mohammadian, A.K. Real-Time Accident Detection: Coping with Imbalanced Data. Accid. Anal. Prev. 2019, 129, 202–210. [Google Scholar] [CrossRef]
- Park, H.; Oh, C.; Moon, J. Real-Time Estimation of Lane Change Risks Based on the Analysis of Individual Vehicle Interactions. Transp. Res. Rec. 2018, 2672, 39–50. [Google Scholar] [CrossRef]
- Xu, C.; Liu, P.; Wang, W.; Li, Z. Evaluation of the Impacts of Traffic States on Crash Risks on Freeways. Accid. Anal. Prev. 2012, 47, 162–171. [Google Scholar] [CrossRef] [PubMed]
- Shew, C.; Pande, A.; Nuworsoo, C. Transferability and Robustness of Real-time Freeway Crash Risk Assessment. J. Saf. Res. 2013, 46, 83–90. [Google Scholar] [CrossRef] [PubMed] [Green Version]
- Shi, Q.; Abdel-Aty, M.; Yu, R. Multi-level Bayesian Safety Analysis with Unprocessed Automatic Vehicle Identification Data for An Urban Expressway. Accid. Anal. Prev. 2016, 88, 68–76. [Google Scholar] [CrossRef]
- Basso, F.; Basso, L.J.; Bravo, F.; Pezoa, R. Real-time Crash Prediction in An Urban Expressway Using Disaggregated Data. Transp. Res. Part C Emerg. Technol. 2018, 86, 202–219. [Google Scholar] [CrossRef]
- Basso, F.; Basso, J.; Pezoa, R. The Importance of Flow Composition in Real-time Crash Prediction. Accid. Anal. Prev. 2020, 137, 105436. [Google Scholar] [CrossRef] [PubMed]
- Yuan, J.; Abdel-Aty, M.; Wang, L.; Lee, J.; Yu, R.; Wang, X. Utilizing Bluetooth and Adaptive Signal Control Data for Real-time Safety Analysis on Urban Arterials. Transp. Res. Part C Emerg. Technol. 2018, 97, 114–127. [Google Scholar] [CrossRef] [Green Version]
- You, J.; Wang, J.; Tang, T.; Fang, S. Support Vector Machines Approach for Predicting Real-Time Rear-End Crash Risk on Freeways. J. Tongji Univ. 2017, 45, 355–361. (In Chinese) [Google Scholar]
- Lyu, N.; Peng, L.; Wu, C.; Wen, J. Real-Time Crash-Risk Prediction Model That Distinguishes Collision Types. China J. Highw. Transp. 2022, 35, 93–108. (In Chinese) [Google Scholar]
- You, J.; Wang, J.; Guo, J. Real-Time Crash Prediction on Freeways Using Data Mining and Emerging Techniques. J. Mod. Transp. 2017, 25, 116–123. [Google Scholar] [CrossRef] [Green Version]
- Yuan, J.; Abdel-Aty, M. Approach-level Real-time Crash Risk Analysis for Signalized Intersections. Accid. Anal. Prev. 2018, 119, 274–289. [Google Scholar] [CrossRef] [Green Version]
- Xu, C.; Wang, W.; Liu, P.; Guo, R.; Li, Z. Using the Bayesian Updating Approach to Improve the Spatial and Temporal Transferability of Real-time Crash Risk Prediction Models. Transp. Res. Part C Emerg. Technol. 2014, 38, 167–176. [Google Scholar] [CrossRef]
- Sun, J.; Sun, J.; Chen, P. Use of Support Vector Machine Models for Real-Time Prediction of Crash Risk on Urban Expressways. Transp. Res. Rec. 2018, 2432, 91–98. [Google Scholar] [CrossRef]
- Oh, C.; Oh, J.S.; Ritchie, S.G. Real-Time Estimation of Freeway Accident Likelihood. In Proceedings of the 80th Annual Meeting of the Transportation Research Board, Washington, DC, USA, 7–11 January 2001. [Google Scholar]
- Theofilatos, A. Utilizing Real-time Traffic and Weather Data to Explore Crash Frequency on Urban Motorways: A Cusp Catastrophe Approach. Transp. Res. Procedia 2019, 41, 471–479. [Google Scholar] [CrossRef]
- Ma, X.; Fan, B.; Chen, S.; Ma, X.; Lei, X. Evaluation and Analysis Model for Freeways Crash Risk Based on Real-Time Traffic Flow. J. South China Univ. Technol. 2021, 49, 19–25+34. (In Chinese) [Google Scholar]
- Qu, X.; Jin, S.; Weng, J. Analysis of the Relationship between Aggregated Traffic Volume and Traffic Conflicts on Expressways. Transp. A Transp. Sci. 2015, 11, 648–658. [Google Scholar] [CrossRef]
- So, J.J.; Lim, I.K.; Kweon, Y.J. Exploring Traffic Conflict-Based Surrogate Approach for Safety Assessment of Highway Facilities. Transp. Res. Rec. 2015, 2513, 56–62. [Google Scholar] [CrossRef]
- You, J.; Fang, S. A Real-hime Prediction Model for Rear-end Crash on Two-lane Freeway. J. Transp. Inf. Saf. 2016, 34, 1–7+22. (In Chinese) [Google Scholar]
- Castro-Garcia, R.; Agudelo, O.M.; Suykens, J.A.K. Impulse Response Constrained LS-SVM Modelling for MIMO Hammerstein System Identification. Int. J. Control 2019, 92, 908–925. [Google Scholar] [CrossRef]
- Ozbay, K.; Yang, H.; Bartin, B.; Mudigonda, S. Derivation and Validation of New Simulation-Based Surrogate Safety Measure. Transp. Res. Rec. 2008, 2083, 105–113. [Google Scholar] [CrossRef] [Green Version]
- Uno, N.; Lida, Y.; Itsubo, S. A Microscopic Analysis of Traffic Conflict Caused by Lane-changing Vehicle at Weaving Section. In Proceedings of the 13th Mini-Euro Conference Handling Uncertainty in Transportation Analysis of Traffic and Transportation Systems, Bari, Italy, 10 June 2002. [Google Scholar]
- Almqvist, S.; Hyden, C.; Risser, R. Use of Speed Limiters in Cars for Increased Safety and A Better Environment. Transp. Res. Rec. 1991, 34–39. Available online: https://onlinepubs.trb.org/Onlinepubs/trr/1991/1318/1318-005.pdf (accessed on 9 March 2022).
- Okamura, M.; Fukuda, A.; Morita, H.; Suzuki, H.; Nakazawa, M. Impact Evaluation of A Driving Support System on Traffic Flow by Microscopic Traffic Simulation. Adv. Transp. Stud. 2011, 99–112. Available online: https://onlinepubs.trb.org/onlinepubs/conferences/2011/RSS/2/Okamura,M.pdf (accessed on 19 January 2022).
- Zhao, J.; Sun, X. The Risk Coupling Effect on Highway Network Traffic Safety Status. Adv. Transp. Stud. 2015, 37, 31–40. [Google Scholar]
- AASHTO (American Association of State Highway Transportation Officials). A Policy on Geometric Design of Highways and Streets; AASHTO: Washington, DC, USA, 2011. [Google Scholar]
- Formosa, N.; Quddus, M.; Ison, S.; Abdel-Aty, M.; Yuan, J. Predicting Real-time Traffic Conflicts Using Deep Learning. Accid. Anal. Prev. 2020, 136, 105429. [Google Scholar] [CrossRef] [PubMed]
- Yang, K.; Yu, R.; Wang, X. Application of Aggregated Lane Traffic Data from Dual-loop Detector to Crash Risk Evaluation. J. Tongji Univ. 2016, 44, 1567–1572. (In Chinese) [Google Scholar]
- Wang, L.; Abdel-Aty, M.; Ma, W.; Hu, J.; Zhong, H. Quasi-vehicle-trajectory-based Real-time Safety Analysis for Expressways. Transp. Res. Part C Emerg. Technol. 2019, 103, 30–38. [Google Scholar] [CrossRef]
- You, J.; Fang, S.; Zhang, L.; Taplin, J.; Guo, J. Enhancing Freeway Safety through Intervening in Traffic Flow Dynamics Based on Variable Speed Limit Control. J. Adv. Transp. 2018, 3610541. [Google Scholar] [CrossRef]
- Shi, J.; Liu, M. Impacts of Differentiated Per-lane Speed Limit on Lane Changing Behaviour: A Driving Simulator-based Study. Transp. Res. Part F Traffic Psychol. Behav. 2019, 60, 93–104. [Google Scholar] [CrossRef]











| Category | Variable Name * |
|---|---|
| Regional Macro-Traffic Parameters | Flow mean/standard deviation/range |
| Speed mean/standard deviation/range | |
| Occupancy mean/standard deviation/range | |
| Acceleration mean/standard deviation/range | |
| Lane number | |
| Regional Micro-SSMs | THW mean/standard deviation/10% quantile/5% quantile |
| DHW mean/standard deviation/10% quantile/5% quantile | |
| SSMs mean/standard deviation/10% quantile/5% quantile | |
| Inter-Regional Parameter Differences | THW/DHW difference between lanes |
| SSMs difference between lanes | |
| Flow/speed/occupancy difference between lanes |
| Term | B | S.E. | Wald | Sig. | Exp(B) | 95% CI for Exp(B) | |
|---|---|---|---|---|---|---|---|
| Lower | Upper | ||||||
| Lane Number | 2.791 | 0.399 | 48.815 | 0.000 | 16.295 | 7.448 | 35.650 |
| 1/MTTC 10% Quantile | 0.019 | 0.010 | 4.079 | 0.043 | 1.019 | 1.001 | 1.039 |
| Speed Difference between Lanes | −0.026 | 0.013 | 4.008 | 0.045 | 0.974 | 0.949 | 0.999 |
| DHW 10% Quantile | −0.013 | 0.004 | 11.741 | 0.001 | 0.987 | 0.980 | 0.995 |
| THW 5% Quantile | 0.059 | 0.066 | 0.794 | 0.373 | 1.061 | 0.932 | 1.207 |
| Intercept | −2.826 | 0.459 | 37.856 | 0.000 | 0.059 | - | - |
| Prediction Results | True Labels | |||
|---|---|---|---|---|
| Risk Area (Outer Lane) | Risk Area (Inner Lane) | Normal Area | ||
| Prediction Labels | Risk Area (Outer Lane) | 35 | - | 81 |
| Risk Area (Inner Lane) | - | 4 | 0 | |
| Normal Area | 5 | 2 | 525 | |
| Model | Risk Area | Normal Area | Accuracy | ||
|---|---|---|---|---|---|
| TPR | FPR | TPR | FPR | ||
| Proposed Catastrophe Theory | 84.78% | 13.37% | 86.63% | 15.22% | 86.50% |
| NB | 67.39% | 21.12% | 78.88% | 32.61% | 78.07% |
| KNN | 73.91% | 18.15% | 81.85% | 26.09% | 81.29% |
| SVM | 86.96% | 25.41% | 74.59% | 13.04% | 75.46% |
| DT | 76.09% | 16.17% | 83.83% | 23.91% | 83.28% |
Publisher’s Note: MDPI stays neutral with regard to jurisdictional claims in published maps and institutional affiliations. |
© 2022 by the authors. Licensee MDPI, Basel, Switzerland. This article is an open access article distributed under the terms and conditions of the Creative Commons Attribution (CC BY) license (https://creativecommons.org/licenses/by/4.0/).
Share and Cite
Lyu, N.; Wen, J.; Hao, W. Lane-Level Regional Risk Prediction of Mainline at Freeway Diverge Area. Int. J. Environ. Res. Public Health 2022, 19, 5867. https://doi.org/10.3390/ijerph19105867
Lyu N, Wen J, Hao W. Lane-Level Regional Risk Prediction of Mainline at Freeway Diverge Area. International Journal of Environmental Research and Public Health. 2022; 19(10):5867. https://doi.org/10.3390/ijerph19105867
Chicago/Turabian StyleLyu, Nengchao, Jiaqiang Wen, and Wei Hao. 2022. "Lane-Level Regional Risk Prediction of Mainline at Freeway Diverge Area" International Journal of Environmental Research and Public Health 19, no. 10: 5867. https://doi.org/10.3390/ijerph19105867
APA StyleLyu, N., Wen, J., & Hao, W. (2022). Lane-Level Regional Risk Prediction of Mainline at Freeway Diverge Area. International Journal of Environmental Research and Public Health, 19(10), 5867. https://doi.org/10.3390/ijerph19105867

