Abstract
This study aimed to analyse the impact of an 8-week core strength training (CST) programme in youth karate practitioners on core endurance, agility, flexibility, sprinting, jumping, and kick performance. This study followed a randomized parallel design. Twenty-nine participants (age: 12.86 ± 0.81 years old; height: 152.55 ± 10.37 cm; weight: 42.93 ± 8.85 kg) were allocated to a CST programme (n = 16) performed thrice weekly or to a control group (n = 13) only performing the sport-specific (karate) training. Participants were assessed three times (baseline, mid and post-intervention) for the following tests: (i) flexor endurance test (FET); (ii) back extensor test (BET); (iii) lateral musculature test (LMT); (iv) flexibility; (v) chance of direction (COD); (vi) countermovement jump (CMJ); (vii) back muscle strength (BMS); (viii) horizontal jump (LJ); (ix) sprint test; and (x) karate kick test (KKT). Between-group analysis revealed significant advantages for the CST group on the FET (p < 0.001), BET (p < 0.001), LMT (p < 0.001), 20 m sprint (p = 0.021) and KKT for right (p < 0.006) and left (p < 0.020) legs. No significant differences were found between groups in the remaining physical fitness variables (p > 0.05). The within-group changes revealed significant improvements in the CST group at flexibility (p = 0.002), COD (p < 0.001), CMJ (p < 0.001), BMS (p < 0.002), 20 m sprint (p = 0.033), and KKT (p < 0.001). In addition, within-group changes in the control group were also significant in flexibility (p = 0.024) and right kick (p < 0.042). We conclude that the CST programme improves core endurance and karate kick performance; however, it is not effective enough for other physical performance parameters in KR practitioners.
1. Introduction
Karate (KR) is a martial art which consists of fast repetitions and specific defensive sequences. This sport, which also means “empty hands”, is known as a martial art that is applied without using any kind of weapon to the opponent [1,2]. This martial art, which is performed in two ways called kumite and kata, is a combination of dynamic and coordinated moves that require the practitioner to give multiple reactions quickly, to attack simultaneously, and to have highly functional activity and advanced biological adaptation [3,4]. Researchers have reported that KR is a martial art in which motor and functional skills such as muscle strength, flexibility, speed, agility, balance, reaction time, coordination should be at a high level [5,6,7]. In terms of physiology, KR practitioners should have a high level of cardiorespiratory endurance, muscular endurance and anaerobic capacity. KR is a martial art that does not mainly depend on only one performance parameter. It requires many physical and physiological parameters in combination for success, as in all martial arts [8,9]. In general, researchers define successful KR practitioners as individuals with a high fitness level [10].
KR includes moves such as kicking, throwing, and jumping; thus, it requires absolute muscle strength and power to achieve a high level of performance and to meet the increasing strength demand [2]. Performing maximal muscle strength and power in the best way occurs through successful stability and balance in all martial arts [11,12]. Accordingly, some training methods need to provide stimulation for the development of the components of fitness and to create a situation to develop body balance and stability in all sports branches [2]. In recent years, the development and significance of KR have encouraged researchers to investigate the effects of various training protocols on this martial art [13,14,15]. Strength and conditioning specialists, coaches, and scientists working on training have developed a large number of methods to understand the effects of these on KR performance and to reach success by trying different and advanced training protocols.
Studies conducted have clearly emphasized that core strength is vitally important in KR practitioners since they require good karateka balance and stability during punch and kick moves [16,17]. The core has been defined as a muscular corset with abdominals anteriorly, erector spinae and gluteals posteriorly, and the diaphragm as a roof. Additionally, core stabilization has been defined as the stabilization of the body centre against dynamic movements of the limbs and the absorption of pressure on the core of the body [18,19]. Core strength training (CST) aims to make a balanced distribution of strength to the body, creating strength balance. Furthermore, it provides neuromuscular control in the muscle system in a balanced way [20]. With these aspects, CST has become important in increasing physical fitness and athletic performance [21]. Since related studies have considered core areas as the centre of the kinetic chain in exercise and sport activities, they have stated that strength, balance and movement control of this area may maximize lower and upper extremity functions [21,22]. There are also studies in the literature which show that CST protocols positively affect certain performance components such as flexibility, agility and respiratory function [23,24,25]. It is thought that core strength may have a positive affect not only on sport-specific skills of KR, but also on some other performance components such as speed, agility, flexibility, and endurance. A study investigating the 10-week-long effects of CST in karate practitioners has shown that it improves balance, reaction time, strength and some karate-specific techniques [26]. In addition, studies conducted on different sports branches have clearly shown that CST has a positive effect on performance components, and it even decreases predisposition to injury [27,28,29,30,31,32].
There are a limited number of studies in the literature investigating the effects of CST on performance components and core stabilization in karate practitioners. When evaluated in this respect, the present study is the first to investigate the effects of 8-week CST on agility, speed, strength, anaerobic strength, flexibility and the number of kicks together in young karate practitioners. In addition, our present study is valuable in terms of examining the chronic effects of core strength training on these performance parameters, which are important for karate players. Our study hypothesizes that CST will improve the components of all these performance components.
2. Materials and Methods
2.1. Study Design
This study was designed as a randomized parallel controlled trial. Before the trial was initiated, the participants were randomly assigned to one of the two groups as control (n = 16) and experimental (n = 16) using a computer-generated simple randomization procedure [33]. Participants in the control group were included in the sport-specific (karate) programme (SSp), while those in the experimental group were included in the CST programme in addition to the SSp. The regular karate practice occurred for approximately 45–60 min 5 times per week, for 8 weeks.
The SSp included kicking, punching, striking, and blocking moves in both stationary and variable positions. The CST included 9 exercises: (1) push up, (2) abdominal crunch, (3) vertical leg crunch, (4) jack knife, (5) supine knee drop side-to-side, (6) reverse crunch, (7) superman, (8) cat–camel stretch, and (9) plank jack (Table 1). Participants completed a 10 min warm-up including several practice trials before testing. The CST was performed for approximately 30–35 min three times per week for 8 weeks [34]. Both testing sessions took place between 2–3 p.m.
Table 1.
Training programme design.
All participants were tested 3 times as (a) before CST, (b) 4 weeks after CST and (c) 8 weeks after CST, and they visited the laboratory (total visit 6) twice for each test period (Table 2). In these visits, flexibility, agility, countermovement jump, back muscle strength, horizontal jump, sprint (10 m and 20 m), kick and core endurance (flexion, extension and lateral) performances including physical fitness parameters were recorded. Participants were allowed at least two familiarization trials to feel comfortable with the tests and to perform them correctly. They were also requested to continue their normal diet, to consume a light meal at least 2 h before each trial, and to not perform any intense physical activity in the previous 24 h before the test. All measurement trials were conducted by the same researchers at the same time of day (±1 h).
Table 2.
Phases of the training programs.
2.2. Setting
The study was carried out on a team affiliated with the Turkish Karate Federation between April–June 2021. None of the athletes participated in national or international competitions during the study process. The CST intervention lasted for 8 weeks, on Tuesdays, Thursdays, and Saturdays during the weeks with laboratory visits, and on Monday, Wednesday, and Friday during the other weeks.
2.3. Participants
A total of 32 karate practitioners, 17 female and 15 male, from the same club, participated in the study; however, participants (male) corresponding to three controls (19%) were excluded for personal reasons, and the study was continued with a total of 29 participants in Table 3. The criteria for inclusion was to have 4 years of training experience in karate with regular training sessions 4–5 times per week, and no orthopaedic or cardiorespiratory contraindications, or any restrictions. The athletes’ mean ± SD age, height, weight were: 12.86 ± 0.81 years, 152.55 ± 10.37 cm, and 42.93 ± 8.85 kg, respectively. All athletes and families were fully informed about the possible problems related with the experimental procedures. The study was approved by the Clinical Research Ethics Committee at the University of Ondokuz Mayıs (approval number: 2022000043) and was conducted according to the Declaration of Helsinki [35]. All parents provided written informed consent.
Table 3.
Participant characteristics.
2.4. Procedures
2.4.1. Context of Data Collection
Each of the assessments occurred 1 day after the last training sessions. The assessment process started at 1 p.m. On day 1 of the assessments, the following tests were made: anthropometric measures (first visit only), flexibility, countermovement jump, horizontal jump and core endurances (flexion, extension and lateral). On day 2, the following tests were made: pro-agility, back muscle strength, sprints and kick test. The data collection process of the athletes is shown in Scheme 1. A rest period of 5 min was provided between tests. Participants dressed in the same shorts, t-shirts, and sneakers (~0.3 kg) in the assessments.
Scheme 1.
Performance measurement tests applied to athletes.
2.4.2. Anthropometric Measures
A calibrated electronic scale (SECA, Hamburg, Germany) was used to assess body mass (with sports clothes without shoes) and height (anatomical position) (SECA, Hamburg, Germany). Measurements were recorded to precision of 0.01 kg and 0.1 cm, respectively.
2.4.3. V-Sit—Flexor Endurance Test
The flexor endurance test (FET) included the adaptation of a sit-up position with the back resting against a jig angled at 55° flexion, the hips and knees at 90° flexion, and the arms folded across the chest. The test was started when the jig was pulled from the back and ended when a neutral spine posture could no longer be maintained. The feet were fixed throughout the test [34]. Each participant performed a total of 2 trials, one of which was a familiarization trial, with a 60–90 s rest period. Test time was recorded in seconds using a stopwatch. This test was applied to evaluate the core endurance of the subjects.
2.4.4. Biering–Sorensen—Back Extensor Test
The Biering–Sorensen extension test (BET) included stabilization of the pelvis, hips and knees by extending the upper part of the body to the tip of a bank (examination plinth). While the body position was kept as long as possible, the hands were kept crossed on the chest and on opposite shoulders. The test was ended when the flat position could not be maintained. The legs were kept as straight as possible during the test [34,36]. Each participant performed a total of 2 trials, one of which was a familiarization trial, with a 60–90 s rest period. Test time was recorded in seconds using a stopwatch. This test was applied to evaluate the core endurance of the subjects.
2.4.5. Side Bridge—Lateral Musculature Test
The side bridge test (LMT) included participants supporting themselves in a sidelying position with one elbow and feet while lifting their hips from the floor to create a smooth line down their body length (top foot was placed in front of bottom). Knees were on the extensions in line with the feet. The uninvolved arm was held across the chest with the hand placed on the opposite shoulder. The test was ended when the sidelying position was disrupted or when the hip fell down. This test was performed on both the right and left sides [34]. Each participant performed a total of 2 trials, one of which was a familiarization trial, with a 60–90 s rest period. Test time was recorded in seconds using a stopwatch. This test was applied to evaluate the core endurance of the subjects.
2.4.6. Flexibility
Flexibility measurements were performed by using Baseline Sit and Reach Trunk Flexibility Box (Baseline Evaluation Instruments, New York, NY, USA). The participants were asked to rest their feet on the box in the long sitting position with their trunks flexed to 90°. They placed both hands on the trunk flexion meter and flexed forward slowly. The measurement was made twice (2 min of rest between trials), and the best score was recorded in centimetres.
2.4.7. Pro-Agility Test (Chance of Direction)
Pro-agility (COD) test started in front of an electronic timing gate between two lines placed with equal distance to an area of 10 yard (9.14 m) long. The participants turned and ran to the side they chose (4.57 m) and touched the line with their hands (i). After this, they turned 180° and ran for 9.14 m to the opposite side (the other line) and touched the line with their hands (ii). Finally, they turned 180° again, and they ran to the starting line and finished the test running (4.57 m) (iii) [37]. Photocells were adjusted according to the hip alignment of the participants. The participant started 0.3 m before the first pair of photocells. The participants started at split or foot parallel position. Participants performed 2 trials. They were asked to always use the same foot for the braking phase. The fastest time of trials was considered for analysis with the name COD time(s). This test was applied to evaluate the agility of the subjects.
2.4.8. Countermovement Jump Test
Countermovement jump (CMJ) test was performed with a Jump Meter (Vertical Jump Meter T.K.K. 5406, Takei Co., Niigata, Japan) [38] which recorded jump height. The participants performed all their jumps by placing their hands on their hips and by using the squatting depth they chose (knee flexion ≤ 90°). Each participant performed the jump twice (2 min of rest between trials), and the best score was recorded. The measured obtained for further data treatment was the CMJ height in centimetres (cm). This test was applied to determine the anaerobic power of the subjects.
2.4.9. Back Muscle Strength
Back muscle strength (BMS) was determined from the maximal isometric strength of the trunk muscles in a standing position with 30° lumbar flexion via a digital back muscle strength meter (T.K.K. 5402, Takei Co., Niigata, Japan) [39]. Each participant performed two trials involving explosive power, and the best score was recorded. The measure obtained for data treatment was BMS, measured in kilograms.
2.4.10. Horizontal Jump
Standing long jump (LJ) was used to predict horizontal jump performance. Participants stood behind a line marked on the floor with their feet slightly parted. They were asked to jump forward as much as possible by bending their knees and swaying their arms forward. In all trials, they were asked to have parallel feet at the moment of jumping and landing. The jumping line and the closest landing touch point (the back of heels) was recorded as the jumping distance. Each participant performed two trials (2 min of rest between trials), and the best score was recorded. The measure obtained for further data treatment was LJ, measured in meters. This test was applied to determine the anaerobic power of the subjects.
2.4.11. Sprint Test
Linear sprint times of the participants were determined by using photocell gates (Newtest 2000) placed at distances of 10 and 20 m. The photocell gates were positioned 10 and 20 m from a predetermined starting point. The participants were told to run as fast as possible for 20 m distance starting from the standing point. Photocell heights were adjusted according to the participant’s hip height. The participant started 0.7 m before the first pair of photocells. The tests started in a split position of the foot always with the same preferred leg. Participants performed 2 trials. Each participant made two trials with 3 min of passive resting, and their best result was recorded in seconds. This test was performed to determine the speed and acceleration of the subjects.
2.4.12. Kick Performance Test
The kick performance test (KKT) of the participants was evaluated using the Mawashi Geri kick technique. The roundhouse kick to the opponent’s head (Mawashi-Geri) is the most commonly used kicking technique in karate [40]. The roundhouse kick is circular and attacks the opponent from the side. The kick was executed with the rear leg and was recorded at one height from knee to hip [41]. Participants were in combat position and aimed to touch a specific area of a previously marked plate. Before starting the trials, the starting position, the distance, and the height of the kicking plate were adjusted according to the anthropometric characteristics of each participant. All participants were instructed to kick the most optimally designated area repeatedly for 15 s. The kick performance included the total number of kicks scored at the end of the test. Performance was recorded for both feet as repetitions (rep).
2.5. Statistical Procedures
The normality of the data was tested with the Shapiro–Wilk test. It was determined that all values showed normal distribution. A mixed ANOVA (factor*time) was used to control the within-group and intra-group analysis for the performance tests values. Group time interaction values were reported as p value and partial eta squared. Within-group variations at the pre-, middle, and post-interventions were tested by repeated measures ANOVA test. Differences between groups were tested using the independent t test. Magnitude of differences was tested using the standardized effect size of Cohen [1]. The magnitude of differences was interpreted using the following thresholds [1]: [0.0;0.2], trivial; [0.2;0.5], small; [0.5;0.8], medium; >0.8, large. All analyses were performed via R version R 4.1.2. In this study, the sample size was tested with g power analysis at the beginning of the study. G power was determined with α at 0.05 and 1-β error probability is 0.85 for the 26 participants. We performed an a priori estimation of power and sample size through the G-Power software (version 3.1.9.6) programme written by Kiel University, made in Germany.
3. Results
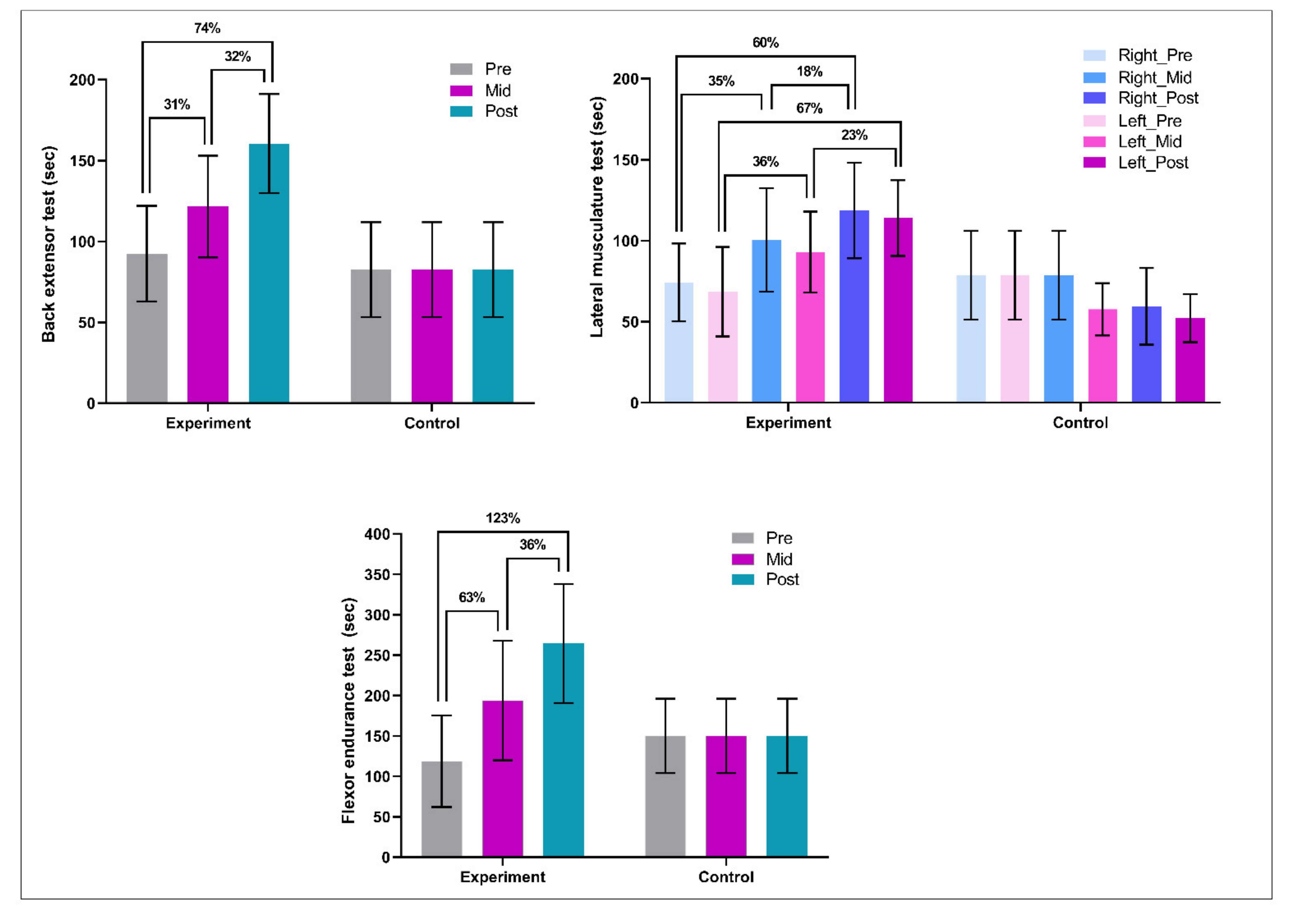
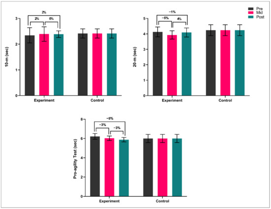
Descriptive statistics of pre- and post-test values, within-group and between-group analyses can be found in Table 1. Significant interactions were found between groups and time (pre-post) in the mixed ANOVA conducted for FET (p = ≤0.001; ≤ 0.340), BET (p = ≤0.001; ≤ 0.256), right LMT (p = ≤0.001; ≤ 0.340), left LMT (p = ≤0.001; ≤ 0.239), and Right kick (p = 0.001; ≤ 0.156). No significant interactions between groups and time (pre-post) were found in mixed ANOVA for the case of flexibility (p = 0.289; ≤ 0.030), Pro-agility (p = 0.355; ≤ 0.025), CMJ (p = 0.501; ≤ 0.017), back strength (p = 0.245; ≤ 0.034), long jump (p = 0.975; ≤ 0.007), 10 m time (p = 0.270; ≤ 0.032), 20 m time (p = 0.391; ≤ 0.023), left kick (p = 0.032; ≤ 0.082). Table 4 presents descriptive statistics within and between groups.
Table 4.
Descriptive statistics (mean and standard deviation), within- and between-group analysis.
Figure 1 presents the within- and between-group variations FET, BET and TFT tests. Figure 2 presents the within- and between-group variations for CMJ and LJ tests. Figure 3 presents the within- and between-group variation for 10 m sprint time, 20 m sprint time and pro-agility tests. Figure 4 presents the within- and between-group variations for BMS tests. Figure 5 presents the within- and between-group variations for KKT tests.
Figure 1.
Descriptive statistics, within-group variations of means of FET, BET and LMT parameters.
Figure 2.
Descriptive statistics, within-group variations of means of flexibility, CMJ and LJ parameters.
Figure 3.
Descriptive statistics, within-group variations of means of 10 m, 20 m sprint time and pro-agility test (COD).
Figure 4.
Descriptive statistics, within-group variations of means of back muscle strength (BMS).
Figure 5.
Descriptive statistics, within-group variations of means of karate kick test (KKT).
4. Discussion
The CST group had significant benefits after intervention in the FET, BET and LMT, 20 m sprint and KKT in comparison to those not exposed to CST. However, results revealed no significant differences between experimental and control group on the flexibility, COD, CMJ and LJ, BMS, and 10 m sprinting. The within-experimental group changes after training intervention revealed significant improvements in flexibility, COD, CMJ, BMS, 20 m sprint and KKT, while control groups had significantly decreased performance in FET, BET, LMT, BMS and KKT for the right side.
CST is commonly defined as the ability to generate and maintain force, while core stability can be considered as the ability to actively or passively stabilize the lumbopelvic region to maintain appropriate trunk and hip posture and static and dynamic balance [42]. Thus, core stability can be linked to the ability to maintain core control while applying core strength [32]. Although a belief that isolated or dedicated CST can be more effective for improving both core strength and core stability, it seems that such a hypothesis is not confirmed regarding the muscle activity while performing exercises [3]. In a brief review, it was disclosed that multijoint free weight exercises imply greater lumbar multifidus electromyographical activity than core exercises, while the transverse abdominis are similarly activated by CST and free weights [43]. Moreover, adaptations resulting from targeted core stability seem to provide marginal benefits for athlete performance, considering a systematic review performed about the topic [27].
Such a synthesis supports the evidence obtained in the current research. Those who experienced the CST programme did not significantly benefit when compared to those not following the training programme regarding the main physical performance variables (e.g., flexibility, COD, CMJ, BMS, LJ and 10 m sprint). Considering that the core stabilizes and allows for energy transfer from the lower limb to the remaining body due to lower limb attachment at the hip joint, it would be expected to observe benefits for activities such as running, jumping or back squat [44,45]. However, in our research, none of the jumping (either vertical or horizontal), back squat, short sprint, and COD were significantly improved by CST in comparison to the control group. Apparently, this can be associated with the trainability of the participants. It seems that untrained populations can benefit from CST; however, those with experience in training may not significantly benefit from hip flexor strength training [43]. Possibly, body exercises focused on the core may not be impactful enough for providing a significant stimulus for adaptation. Thus, possibly, CST may not be as useful as expected for meaningful impact and complex movements such as running, jumping or produce force.
Although there was an absence of meaningful benefits of CST in most athletic performance outcomes, a significant beneficial impact on the FET, BET, LMT and KKT was observed in comparison to the control group. Those not participating in the CST significantly dropped in performance for FET, BET, LMT and KKT. Since in most typical sport activities the core acts as a stabilizer of the spine and pelvis rather than producing gross movements of the trunk and hip [46,47], it was anticipated that a dedicated CST may meaningfully impact core endurance testing. As an example, the internal obliques seem to be highly recruited in core stability exercises rather than with free weights, which [46] can offer a view in which CST may provide some interesting effects for core endurance tests. Moreover, since karate kicks involve some level of peak force to create an inertial mass in the core for limb muscles to pry against to initiate limb motion [48], it seems that core-centred training can provide additional benefits for karate kicks.
Naturally, we have only focused on physical fitness outcomes in karate. However, CST may have an impact on other factors. A previous study revealed a decrease in risk factors such as for the anterior cruciate ligament (ACL) while performing jumping movements after performing CST [49]. Moreover, the absence of improvements can be caused by the type of sport itself. As an example, in swimming, CST produced significant improvements in endurance, swim record, stability and anaerobic peak power [50]. The same evidence of advantage in different physical fitness measures was found in handball [51].
The current research has some limitations. The specific karate training was not monitored, which does not allow for how the control and experimental groups trained besides for the core intervention. This may justify some of the results of the study. Moreover, the level of intensity of the exercises is one of the flaws that is found in most studies conducted on CST, since it is hard to individualize the stimulus. Future studies should consider analysing the effects of different intensity levels while applying core training and should consider all the exercises performed in specific karate training, aiming to analyse the impact of that on the final outcomes.
Despite the limitations, this study presents some evidence that CST in karate can enhance improvements in core endurance and kick movements, although not significantly impact the remaining physical qualities. Possibly, the core strength and stabilization training should be performed combined with other strength exercises (as free weight), aiming to maximize the effects of both.
5. Conclusions
The current parallel study design revealed that CST in karate provided centred benefits on core endurance and kicking movements, while not significantly impacting other physical qualities compared to those not experiencing such type of training. CST should be considered as an element to be introduced in a combined strength training routine using different methods which may benefit athletic performance of karate athletes. As for scientific evidence and for practical implication, it is possible to suggest that CST in karate athletes is not significantly advantageous for improving most physical fitness outcomes. Thus, it can be only used as a compliment.
Author Contributions
Conceptualization, M.K., S.K., A.K.Y., E.K., Ö.B., Z.A., F.M.C. and A.F.S.; methodology, M.K., S.K., A.K.Y., E.K., Ö.B., Z.A., F.M.C. and A.F.S.; formal analysis, Z.A.; data curation, S.K.; writing—original draft preparation, M.K., S.K., A.K.Y., E.K., Ö.B., Z.A., F.M.C. and A.F.S.; writing—review and editing, M.K., S.K., A.K.Y., E.K., Ö.B., Z.A., F.M.C. and A.F.S. All authors have read and agreed to the published version of the manuscript.
Funding
This work is funded by Fundação para a Ciência e Tecnologia/Ministério da Ciência, Tecnologia e Ensino Superior through national funds, and when applicable, co-funded from EU funds under the project UIDB/50008/2020.
Institutional Review Board Statement
The study was conducted according to the guidelines of the Declaration of Helsinki and approved by the Clinical Research Ethics Committee at the University of Ondokuz Mayıs (ethical approval code number: 2022000043).
Informed Consent Statement
Informed consent was obtained from all subjects and their parents involved in the study.
Data Availability Statement
The datasets used and/or analysed during the current study are available from the corresponding author upon reasonable request.
Acknowledgments
The authors thank all the athletes who participated in the study.
Conflicts of Interest
The authors declare no conflict of interest.
References
- Ziaee, V.; Shobbar, M.; Lotfian, S.; Ahmadinejad, M. Sport injuries of karate during training: An epidemiologic study in Iran. Asian J. Sports Med. 2015, 6, e26832. [Google Scholar] [CrossRef] [PubMed]
- Pal, S.; Yadav, J.; Kalra, S.; Sindhu, B. Different Training Approaches in Karate-A Review. Lond. J. Res. Hum. Soc. Sci. 2020, 20, 33–44. [Google Scholar]
- Johnston, R.J.; Watsford, M.L.; Kelly, S.J.; Pine, M.J.; Spurrs, R.W. Validity and interunit reliability of 10 Hz and 15 Hz GPS units for assessing athlete movement demands. J. Strength Cond. Res. 2014, 28, 1649–1655. [Google Scholar] [CrossRef] [PubMed]
- Imamura, H.; Yoshimura, Y.; Uchida, K.; Nishimura, S.; Nakazawa, A.T. Maximal oxygen uptake, body composition and strength of highly competitive and novice karate practitioners. Appl. Hum. Sci. 1998, 17, 215–218. [Google Scholar] [CrossRef][Green Version]
- Filingeri, D.; Bianco, A.; Zangla, D.; Paoli, A.; Antonio, P. Is karate effective in imporoving postural kontrol? Arch. Budo Sci. Martial Arts 2012, 8, 191–194. [Google Scholar]
- Pal, S. Preventive Methods for Karate Injuries-A Review. J. Clin. Diagn. Res. 2020, 14, 9–12. [Google Scholar] [CrossRef]
- Güler, M.; Gülmez, İ.; Yilmaz, S.; Ramazanoğlu, N. The Evaluation of balance performance for elite male karate athletes after fatigue. Int. J. Sport Exerc. Train. Sci. 2017, 3, 161–168. [Google Scholar] [CrossRef]
- Vanhees, L.; Lefevre, J.; Philippaerts, R.; Martens, M.; Huygens, W.; Troosters, T.; Beunen, G. How to assess physical activity? How to assess physical fitness? Eur. J. Prev. Cardiol. 2005, 12, 102–114. [Google Scholar] [CrossRef]
- Beekley, M.D.; Abe, T.; Kondo, M.; Midorikawa, T.; Yamauchi, T. Comparison of normalized maximum aerobic capacity and body composition of sumo wrestlers to athletes in combat and other sports. J. Sports Sci. Med. 2006, 5, 13. [Google Scholar]
- Baker, J.S.; Bell, W. Energy expenditure during simulated karate competition. J. Hum. Mov. Stud. 1990, 19, 69–74. [Google Scholar]
- Zago, M.; Mapelli, A.; Shirai, Y.F.; Ciprandi, D.; Lovecchio, N.; Galvani, C.; Sforza, C. Dynamic balance in elite karateka. J. Electromyogr. Kinesiol. 2015, 25, 894–900. [Google Scholar] [CrossRef] [PubMed]
- Sahlin, K.; Ren, J.M. Relationship of contraction capacity to metabolic changes during recovery from a fatiguing contraction. J. Appl. Physiol. 1989, 67, 648–654. [Google Scholar] [CrossRef] [PubMed]
- Przybylski, P.; Janiak, A.; Szewczyk, P.; Wieliński, D.; Domaszewska, K. Morphological and Motor Fitness Determinants of Shotokan Karate Performance. Int. J. Environ. Res. 2021, 18, 4423. [Google Scholar] [CrossRef] [PubMed]
- Molinaro, L.; Taborri, J.; Montecchiani, M.; Rossi, S. Assessing the effects of kata and kumite techniques on physical performance in elite karatekas. Sensors 2020, 20, 3186. [Google Scholar] [CrossRef]
- Ravier, G.; Dugué, B.; Grappe, F.; Rouillon, J.D. Impressive anaerobic adaptations in elite karate athletes due to few intensive intermittent sessions added to regular karate training. Scand. J. Med. Sci. Sports 2009, 19, 687–694. [Google Scholar] [CrossRef] [PubMed]
- Kordi, R.; Maffulli, N.; Wroble, R.R.; Wallace, W.A. Combat Sports Medicine; Springer Science & Business Media: Berlin/Heidelberg, Germany, 2009. [Google Scholar]
- Nagla, E. Effect of swiss ball exercises on some physical and physiological variables and their relationship with kata performance level. J. Phys. Educ. Sport 2011, 11, 56–64. [Google Scholar]
- Akuthota, V.; Ferreiro, A.; Moore, T.; Fredericson, M. Core stability exercise principles. Curr. Sports Med. Rep. 2008, 7, 39–44. [Google Scholar] [CrossRef]
- Ezechieli, M.; Siebert, C.H.; Ettinger, M.; Kieffer, O.; Weiβkopf, M.; Miltner, O. Muscle strength of the lumbar spine in differentsports. Technol. Health Care 2013, 21, 379–386. [Google Scholar] [CrossRef]
- Nadler, S.F.; Malanga, G.A.; Bartoli, L.A.; Feinberg, J.H.; Prybicien, M.; Deprince, M. Hip muscle imbalance and low back pain in athletes: Influence of core strengthening. Med. Sci. Sports Exerc. 2002, 34, 9–16. [Google Scholar] [CrossRef]
- Sever, O.; Zorba, E. Comparison of static and dynamic core exercises’ effects on speed and agility performance in soccer players. Isokinet. Exerc. Sci. 2018, 26, 29–36. [Google Scholar] [CrossRef]
- Anderson, K.; Behm, D.G. The impact of instability resistance training on balance and stability. Sport Med. 2005, 35, 43–53. [Google Scholar] [CrossRef] [PubMed]
- Herrington, L.; Davies, R. The influence of Pilates training on the ability to contract the transversus abdominis muscle in asymptomatic individuals. J. Bodyw. Mov. Ther. 2005, 9, 52–57. [Google Scholar] [CrossRef]
- Bostanci, Ö.; Kabadayi, M.; Yilmaz, A.K.; Mayda, M.H.; Yilmaz, Ç.; Erail, S.; Karaduman, E. Influence of Eight Week Core Strength Training on Respiratory Muscle Strength in Young Soccer Players. Int. J. Appl. Exerc. Physiol. 2020, 9, 221–226. [Google Scholar]
- Akınoğlu, B.; Kocahan, T. Stabilization training versus equilibrium training in karate athletes with deafness. J. Exerc. Rehabil. 2019, 15, 576. [Google Scholar] [CrossRef]
- Kamal, O. Effects of core strength training on karate spinning wheel kick and certain physical variables for young female. Sci. Mov. Health 2015, 25, 504–509. [Google Scholar]
- Reed, C.A.; Ford, K.R.; Myer, G.D.; Hewett, T.E. The effects of isolated and integrated “core stability” training on athletic performance measures: A systematic review. Sport Med. 2012, 42, 697–706. [Google Scholar] [CrossRef]
- Nesser, T.W.; Huxel, K.C.; Tincher, J.L.; Okada, T. The relationship between core stability and performance in division I footballplayers. J. Strength Cond. Res. 2008, 22, 1750–1754. [Google Scholar] [CrossRef]
- Cissik, J.M. The Role of Core Training in Athletic Performance, Injury Prevention, and Injury Treatment. Strength Cond. J. 2011, 33, 10–15. [Google Scholar] [CrossRef]
- Leetun, D.T.; Ireland, M.L.; Willson, J.D.; Ballantyne, B.T.; Davis, I.M. Core stability measures as risk factors for lower extremity injury in athletes. Med. Sci. Sports Exerc. 2004, 36, 926–934. [Google Scholar] [CrossRef]
- Willson, J.D.; Dougherty, C.P.; Ireland, M.L.; Davis, I.M. Core stability and its relationship to lower extremity function and injury. J. Am. Acad. Orthop. Surg. 2005, 13, 316–325. [Google Scholar] [CrossRef]
- Zazulak, B.T.; Hewett, T.E.; Reeves, N.P.; Goldberg, B.; Cholewicki, J. Deficits in neuromuscular control of the trunk predict knee injury risk a prospective biomechanical-epidemiologic study. Am. J. Sports Med. 2007, 35, 1123–1130. [Google Scholar] [CrossRef] [PubMed]
- Kim, J.; Shin, W. How to do random allocation (randomization). Clin. Orthop. Surg. 2014, 6, 103–109. [Google Scholar] [CrossRef] [PubMed]
- Stephenson, J.; Swank, A.M. Core training: Designing a program for anyone. Strength Cond. J. 2004, 26, 34–37. [Google Scholar] [CrossRef]
- General Assembly of the World Medical Association. World Medical Association Declaration of Helsinki: Ethical principles for medical research involving human subjects. J. Am. Coll. Dent. 2014, 81, 14–18. [Google Scholar]
- McGill, S.; Belore, M.; Crosby, I.; Russell, C. Clinical tools to quantify torso flexion endurance: Normative data from student and firefighter populations. Occup. Erg. 2010, 9, 55–61. [Google Scholar] [CrossRef]
- Dupler, T.; Amonette, W.; Coleman, A.; Hoffman, J.; Wenzel, T. Arthroscopic and performance differences among high-school football players. J. Strength Cond. Res. 2010, 24, 1975–1982. [Google Scholar] [CrossRef]
- Kimura, N.; Maeshima, E.; Tomokane, S.; Ikeshima, A.; Maeda, M.; Takimoto, M.; Mishima, T. A Study of Changes of Physical Functions According to Changes in Cognitive Functions in Community-Dwelling Elderly People Who Participated in an Exercise Program. J. Sports Sci. Med. 2021, 20, 474. [Google Scholar] [CrossRef]
- Morales, J.; Ubasart, C.; Solana-Tramunt, M.; Villarrasa-Sapiña, I.; González, L.M.; Fukuda, D.; Franchini, E. Effects of rapid weight loss on balance and reaction time in elite judo athletes. Int. J. Sports Physiol. 2018, 13, 1371–1377. [Google Scholar] [CrossRef]
- Gavagan, C.J.; Sayers, M.G. A biomechanical analysis of the roundhouse kicking technique of expert practitioners: A comparison between the martial arts disciplines of Muay Thai, Karate, and Taekwondo. PLoS ONE 2017, 12, e0182645. [Google Scholar] [CrossRef]
- Szczęsna, A.; Błaszczyszyn, M.; Pawlyta, M. Optical motion capture dataset of selected techniques in beginner and advanced Kyokushin karate athletes. Sci. Data 2021, 8, 13. [Google Scholar] [CrossRef]
- Willardson, J.M. Core stability training: Applications to sports conditioning programs. J. Strength Cond. Res. 2007, 21, 979–985. [Google Scholar] [CrossRef] [PubMed]
- Martuscello, J.M.; Nuzzo, J.L.; Ashley, C.D.; Campbell, B.I.; Orriola, J.J.; Mayer, J.M. Systematic Review of Core Muscle Activity During Physical Fitness Exercises. J. Strength Cond. Res. 2013, 27, 1684–1698. [Google Scholar] [CrossRef] [PubMed]
- Deane, R.S.; Chow, J.W.; Tillman, M.D.; Fournier, K.A. Effects of hip flexor training on sprint, shuttle run, and vertical jump performance. J. Strength Cond. Res. 2005, 19, 615–621. [Google Scholar] [PubMed]
- McGill, S. Core training: Evidence translating to better performance and injury prevention. J. Strength Cond. Res. 2010, 32, 33–46. [Google Scholar] [CrossRef]
- Oliva-Lozano, J.M.; Muyor, J.M. Core muscle activity during physical fitness exercises: A systematic review. Int. J. Environ. Health Res. 2020, 17, 4306. [Google Scholar] [CrossRef]
- Sandrey, M.A.; Mitzel, J.G. Improvement in dynamic balance and core endurance after a 6-week core-stability-training program in high school track and field athletes. J. Sport Rehabil. 2013, 22, 264–271. [Google Scholar] [CrossRef]
- McGill, S.M.; Chaimberg, J.D.; Frost, D.M.; Fenwick, C.M. Evidence of a double peak in muscle activation to enhance strike speed and force: An example with elite mixed martial arts fighters. J. Strength Cond. Res. 2010, 24, 348–357. [Google Scholar] [CrossRef]
- Ferri-Caruana, A.M.; Prades Insa, B.; Serra Añó, P. Effects of pelvic and core strength training on biomechanical risk factors for anterior cruciate ligament injuries. J. Sports Med. Phys. Fit. 2020, 60, 1128–1138. [Google Scholar] [CrossRef]
- Ji, M.Y.; Yoon, J.H.; Song, K.J.; Oh, J.K. Effect of Dry-Land Core Training on Physical Fitness and Swimming Performance in Adolescent Elite Swimmers. Iran. J. Public Health 2021, 50, 540. [Google Scholar] [CrossRef]
- Ozmen, T.; Aydogmus, M.; Yana, M.; Simsek, A. Effect of core strength training on balance, vertical jump height and throwing velocity in adolescent male handball players. J. Sport Med. Phys. Med. 2020, 60, 693–699. [Google Scholar] [CrossRef]
Publisher’s Note: MDPI stays neutral with regard to jurisdictional claims in published maps and institutional affiliations. |
© 2022 by the authors. Licensee MDPI, Basel, Switzerland. This article is an open access article distributed under the terms and conditions of the Creative Commons Attribution (CC BY) license (https://creativecommons.org/licenses/by/4.0/).





