Source Apportionment and Geographic Distribution of Heavy Metals and as in Soils and Vegetables Using Kriging Interpolation and Positive Matrix Factorization Analysis
Abstract
:1. Introduction
2. Materials and Methods
2.1. Study Area
2.2. Data Acquisition
2.2.1. Soil and Vegetable Sample Collection
2.2.2. Collection of Irrigation Water and Organic Fertilizer
2.2.3. Analytical Method
2.3. Evaluation of HMs Pollution in Soil
2.4. Ecological Risk Assessment of HMs in Soil
2.5. Bioconcentration Factor
2.6. Positive Matrix Factorization Model
2.7. Statistical and Geostatistical Analysis
3. Results
3.1. Accumulation of HMs in Soil
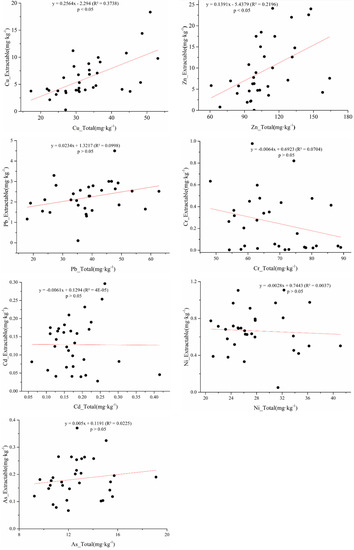
3.2. Bioavailability of HMs in Soil
3.3. Spatial Distribution of Soil Metals
3.4. Accumulation of HMs in Vegetables
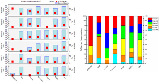
3.5. Source Identification of Metals in Soils
4. Conclusions
Author Contributions
Funding
Institutional Review Board Statement
Informed Consent Statement
Data Availability Statement
Conflicts of Interest
References
- Yang, Q.; Li, Z.; Lu, X.; Duan, Q.; Huang, L.; Bi, J. A review of soil heavy metal pollution from industrial and agricultural regions in China: Pollution and risk assessment. Sci. Total Environ. 2018, 642, 690–700. [Google Scholar] [CrossRef]
- Shi, T.; Ma, J.; Wu, X.; Ju, T.; Lin, X.; Zhang, Y.; Li, X.; Gong, Y.; Hou, H.; Zhao, L.; et al. Inventories of heavy metal inputs and outputs to and from agricultural soils: A review. Ecotoxicol. Environ. Saf. 2018, 164, 118–124. [Google Scholar] [CrossRef]
- Krishna, A.K.; Mohan, K.R. Distribution, correlation, ecological and health risk assessment of heavy metal contamination in surface soils around an industrial area, Hyderabad, India. Environ. Earth Sci. 2016, 75, 411–427. [Google Scholar] [CrossRef]
- Li, J.; Chen, H.; Teng, Y.; Dong, Q. Contamination characteristics and source apportionment of soil heavy metals in Lalin River basin. Trans. Chin. Soc. Agric. Eng. 2016, 32, 226–233. [Google Scholar]
- Sun, L.; Carey, M.; Yang, L.; Chen, L.; Li, S.; Zhao, F.; Zhu, Y.; Meharg, C.; Meharg, A.A. Source identification of trace elements in peri-urban soils in Eastern China. Expo. Health 2019, 11, 195–207. [Google Scholar] [CrossRef]
- Lu, A.; Wang, J.; Qin, X.; Wang, K.; Han, P.; Zhang, S. Multivariate and geostatistical analyses of the spatial distribution and origin of heavy metals in the agricultural soils in Shunyi, Beijing, China. Sci. Total Environ. 2012, 425, 66–74. [Google Scholar] [CrossRef] [PubMed]
- Huang, Y.; Li, T.; Wu, C.; He, Z.; Japenga, J.; Deng, M.; Yang, X. An integrated approach to assess heavy metal source apportionment in peri-urban agricultural soils. J. Hazard. Mater. 2015, 299, 540–549. [Google Scholar] [CrossRef] [PubMed]
- Chen, H.; Teng, Y.; Lu, S.; Wang, Y.; Wang, J. Contamination features and health risk of soil heavy metals in China. Sci. Total Environ. 2015, 512–513, 143–153. [Google Scholar] [CrossRef] [PubMed]
- Ye, S.; Zeng, G.; Wu, H.; Zhang, C.; Dai, J.; Liang, J.; Yu, J.; Ren, X.; Yi, H.; Cheng, M.; et al. Biological technologies for the remediation of co-contaminated soil. Crit. Rev. Biotechnol. 2017, 37, 1062–1076. [Google Scholar] [CrossRef] [PubMed]
- Dong, B.; Zhang, R.; Gan, Y.; Cai, L.; Freidenreich, A.; Wang, K.P.; Guo, T.W.; Wang, H.B. Multiple methods for the identification of heavy metal sources in cropland soils from a resource-based region. Sci. Total Environ. 2019, 651, 3127–3138. [Google Scholar] [CrossRef] [PubMed]
- Cai, L.; Xu, Z.; Ren, M.; Guo, Q.; Hu, X.; Hu, G.; Wan, H.; Peng, P. Source identification of eight hazardous heavy metals in agricultural soils of Huizhou, Guangdong Province, China. Ecotoxicol. Environ. Saf. 2012, 78, 2–8. [Google Scholar] [CrossRef]
- Sun, X.; Wang, H.; Guo, Z.; Lu, P.; Song, F.; Liu, L.; Liu, J.; Rose, N.L.; Wang, F. Positive matrix factorization on source apportionment for typical pollutants in different environmental media: A review. Environ. Sci.-Processes Impacts 2020, 22, 239–255. [Google Scholar] [CrossRef] [PubMed]
- Hu, Y.; Cheng, H. Application of stochastic models in identification and apportionment of heavy metal pollution sources in the surface soils of a large-scale region. Environ. Sci. Technol. 2013, 47, 3752–3760. [Google Scholar] [CrossRef]
- Hu, Y.; Cheng, H. A method for apportionment of natural and anthropogenic contributions to heavy metal loadings in the surface soils across large-scale regions. Environ. Pollut. 2016, 214, 400–409. [Google Scholar] [CrossRef] [PubMed]
- Xue, J.; Zhi, Y.; Yang, L.; Shi, J.; Zeng, L.; Wu, L. Positive matrix factorization as source apportionment of soil lead and cadmium around a battery plant (Changxing County, China). Environ. Sci. Pollut. Res. 2014, 21, 7698–7707. [Google Scholar] [CrossRef]
- Zhao, R.; Guan, Q.; Luo, H.; Lin, J.; Yang, L.; Wang, F.; Pan, N.; Yang, Y. Fuzzy synthetic evaluation and health risk assessment quantification of heavy metals in Zhangye agricultural soil from the perspective of sources. Sci. Total Environ. 2019, 697, 134126. [Google Scholar] [CrossRef] [PubMed]
- Guan, Q.; Wang, F.; Xu, C.; Pan, N.; Lin, J.; Zhao, R.; Yang, Y.; Luo, H. Source apportionment of heavy metals in agricultural soil based on PMF: A case study in Hexi Corridor, northwest China. Chemosphere 2018, 193, 189–197. [Google Scholar] [CrossRef]
- Liu, J.; Liu, Y.; Liu, Y.; Liu, Z.; Zhang, A. Quantitative contributions of the major sources of heavy metals in soils to ecosystem and human health risks: A case study of Yulin, China. Ecotoxicol. Environ. Saf. 2018, 164, 261–269. [Google Scholar] [CrossRef] [PubMed]
- Zhang, X.; Wei, S.; Sun, Q.; Wadood, S.A.; Guo, B. Source identification and spatial distribution of arsenic and heavy metals in agricultural soil around Hunan industrial estate by positive matrix factorization model, principle components analysis and geo statistical analysis. Ecotoxicol. Environ. Saf. 2018, 159, 354–362. [Google Scholar] [CrossRef]
- Zhang, H.; Yin, A.; Yang, X.; Fan, M.; Shao, S.; Wu, J.; Wu, P.; Zhang, M.; Gao, C. Use of machine-learning and receptor models for prediction and source apportionment of heavy metals in coastal reclaimed soils. Ecol. Indic. 2021, 122, 107233. [Google Scholar] [CrossRef]
- Wang, S.; Cai, L.; Wen, H.; Luo, J.; Wang, Q.; Liu, X. Spatial distribution and source apportionment of heavy metals in soil from a typical county-level city of Guangdong Province, China. Sci. Total Environ. 2019, 655, 92–101. [Google Scholar] [CrossRef] [PubMed]
- Lv, J.; Xia, Q.; Yan, T.; Zhang, M.; Wang, Z.; Zhu, L. Identifying the sources, spatial distributions, and pollution status of heavy metals in soils from the southern coast of Laizhou Bay, eastern China. Hum. Ecol. Risk Assess. 2019, 25, 1953–1967. [Google Scholar] [CrossRef]
- Lv, J.; Liu, Y. An integrated approach to identify quantitative sources and hazardous areas of heavy metals in soils. Sci. Total Environ. 2019, 646, 19–28. [Google Scholar] [CrossRef] [PubMed]
- Henry, R.C. Multivariate receptor modeling by N-dimensional edge detection. Chemom. Intell. Lab. Syst. 2003, 65, 179–189. [Google Scholar] [CrossRef]
- Jain, S.; Sharma, S.K.; Mandal, T.K.; Saxena, M. Source apportionment of PM10 in Delhi, India using PCA/APCS, UNMIX and PMF. Particuology 2018, 37, 107–118. [Google Scholar] [CrossRef]
- Deng, J.; Zhang, Y.; Qiu, Y.; Zhang, H.; Du, W.; Xu, L.; Hong, Y.; Chen, Y.; Chen, J. Source apportionment of PM2.5 at the Lin’an regional background site in China with three receptor models. Atmos. Res. 2018, 202, 23–32. [Google Scholar] [CrossRef]
- Lv, J. Multivariate receptor models and robust geostatistics to estimate source apportionment of heavy metals in soils. Environ. Pollut. 2019, 244, 72–83. [Google Scholar] [CrossRef] [PubMed]
- Huston, R.; Chan, Y.C.; Chapman, H.; Gardner, T.; Shaw, G. Source apportionment of heavy metals and ionic contaminants in rainwater tanks in a subtropical urban area in Australia. Water Res. 2012, 46, 1121–1132. [Google Scholar] [CrossRef] [PubMed]
- Feng, J.; Song, N.; Yu, Y.; Li, Y. Differential analysis of FA-NNC, PCA-MLR, and PMF methods applied in source apportionment of PAHs in street dust. Environ. Monit. Assess. 2020, 192, 727. [Google Scholar] [CrossRef]
- Jin, Z.; Lv, J.S. Integrated receptor models and multivariate geostatistical simulation for source apportionment of potentially toxic elements in soils. Catena 2020, 194, 104638. [Google Scholar] [CrossRef]
- Zhang, P.; Qin, C.; Hong, X.; Kang, G.; Qin, M.; Yang, D.; Pang, B.; Li, Y.; He, J.; Dick, R.P. Risk assessment and source analysis of soil heavy metal pollution from lower reaches of Yellow River irrigation in China. Sci. Total Environ. 2018, 633, 1136–1147. [Google Scholar] [CrossRef]
- Zhao, H.; Zhao, J.; Yin, C.; Li, X. Index models to evaluate the potential metal pollution contribution from washoff of road-deposited sediment. Water Res. 2014, 59, 71–79. [Google Scholar] [CrossRef]
- Fan, H.; Zhang, W. The area differentiation of the soil elements in Tianjin and its cause of formation. Urban Environ. Urban Ecol. 2002, 15, 13–14. [Google Scholar]
- Hakanson, L. An ecological risk index for aquatic pollution control. A sedimentological approach. Water Res. 1980, 14, 975–1001. [Google Scholar] [CrossRef]
- Xiao, R.; Wang, S.; Li, R.; Wang, J.; Zhang, Z. Soil heavy metal contamination and health risks associated with artisanal gold mining in Tongguan, Shaanxi, China. Ecotoxicol. Environ. Saf. 2017, 141, 17–24. [Google Scholar] [CrossRef] [PubMed]
- Paatero, P. Least squares formulation of robust non-negative factor analysis. Chemom. Intell. Lab. Syst. 1997, 37, 23–35. [Google Scholar] [CrossRef]
- Teng, Y.; Wu, J.; Lu, S.; Wang, Y.; Jiao, X.; Song, L. Soil and soil environmental quality monitoring in China: A review. Environ. Int. 2014, 69, 177–199. [Google Scholar] [CrossRef]
- Hang, X.; Wang, H.; Zhou, J.; Ma, C.; Du, C.; Chen, X. Risk assessment of potentially toxic element pollution in soils and rice (Oryza sativa) in a typical area of the Yangtze River Delta. Environ. Pollut. 2009, 157, 2542–2549. [Google Scholar] [CrossRef]
- Zeng, F.; Ali, S.; Zhang, H.; Ouyang, Y.; Qiu, B.; Wu, F.; Zhang, G. The influence of pH and organic matter content in paddy soil on heavy metal availability and their uptake by rice plants. Environ. Pollut. 2011, 159, 84–91. [Google Scholar] [CrossRef]
- Khan, M.A.; Khan, S.; Khan, A.; Alam, M. Soil contamination with cadmium, consequences and remediation using organic amendments. Sci. Total Environ. 2017, 601–602, 1591–1605. [Google Scholar] [CrossRef]
- Yaylalı-Abanuz, G. Heavy metal contamination of surface soil around Gebze industrial area, Turkey. Microchem. J. 2011, 99, 82–92. [Google Scholar] [CrossRef]
- Viard, B.; Pihan, F.; Promeyrat, S.; Pihan, J.C. Integrated assessment of heavy metal (Pb, Zn, Cd) highway pollution: Bioaccumulation in soil, Graminaceae and land snails. Chemosphere 2004, 55, 1349–1359. [Google Scholar] [CrossRef]
- Chen, X.; Xia, X.; Zhao, Y.; Zhang, P. Heavy metal concentrations in roadside soils and correlation with urban traffic in Beijing, China. J. Hazard. Mater. 2010, 181, 640–646. [Google Scholar] [CrossRef]
- Song, Z.; Zhao, Y.; Zhou, Q.; Liu, X.; Zhang, T. Applications of geostatistical analyses and stochastic models to identify sourcesof soil heavy metals in Wuqing district, Tianjin, China. Environ. Sci. 2016, 37, 2756–2762. [Google Scholar]
- Zhang, F.; Li, Y.; Yang, M.; Li, W. Content of heavy metals in animal feeds and manures from farms of different scales in Northeast China. Int. J. Environ. Res. Public Health 2012, 9, 2658–2668. [Google Scholar] [CrossRef] [PubMed] [Green Version]
- Belon, E.; Boisson, M.; Deportes, I.Z.; Eglin, T.K.; Feix, I.; Bispo, A.O.; Galsomies, L.; Leblond, S.; Guellier, C.R. An inventory of trace elements inputs to French agricultural soils. Sci. Total Environ. 2012, 439, 87–95. [Google Scholar] [CrossRef] [PubMed]
- Chen, H.; Tang, Z.; Wang, P.; Zhao, F. Geographical variations of cadmium and arsenic concentrations and arsenic speciation in Chinese rice. Environ. Pollut. 2018, 238, 525–533. [Google Scholar] [CrossRef] [PubMed]
- Zhou, H.; Yang, W.; Zhou, X.; Liu, L.; Gu, J.; Wang, W.; Zou, J.; Tian, T.; Peng, P.; Liao, B. Accumulation of heavy metals in vegetable species planted in contaminated soils and the health risk assessment. Int. J. Environ. Res. Public Health 2016, 13, 289. [Google Scholar] [CrossRef] [PubMed] [Green Version]
- Zhao, H.; He, B.; Meng, J.; Zhou, Y.; Shi, B.; Wang, T. Accumulation characteristics and health risks of heavy metals in vegetables in typical urbanized areas. Chin. J. Eco-Agric. 2019, 27, 1892–1902. [Google Scholar]
- Chen, F.; Dong, Z.; Wang, C.; Wei, X.; Hu, Y.; Zhang, L. Heavy metal contamination of soils and crops near a zinc smelter. Environ. Sci. 2017, 38, 4360–4369. [Google Scholar]
- Liu, X.; Song, Q.; Tang, Y.; Li, W.; Xu, J.; Wang, F.; Brookes, P.C. Human health risk assessment of heavy metals in soil–vegetable system: A multi-medium analysis. Sci. Total Environ. 2013, 463–464, 530–540. [Google Scholar] [CrossRef] [PubMed]
- Zhou, D.; Hao, X.; Wang, Y.; Dong, Y.; Cang, L. Copper and Zn uptake by radish and pakchoi as affected by application of livestock and poultry manures. Chemosphere 2004, 59, 167–175. [Google Scholar] [CrossRef] [PubMed]
- Shahid, M.; Dumat, C.; Khalid, S.; Schreck, E.; Xiong, T.; Niazi, N.K. Foliar heavy metal uptake, toxicity and detoxification in plants: A comparison of foliar and root metal uptake. J. Hazard. Mater. 2017, 325, 36–58. [Google Scholar] [CrossRef] [PubMed] [Green Version]
- Rehman, M.; Rizwan, M.; Hussain, A.; Saqib, M.; Ali, S.; Sohail, M.I.; Shafiq, M.; Hafeez, F. Alleviation of cadmium (Cd) toxicity and minimizing its uptake in wheat (Triticum aestivum) by using organic carbon sources in Cd-spiked soil. Environ. Pollut. 2018, 241, 557–565. [Google Scholar] [CrossRef]
- Yi, K.; Fan, W.; Chen, J.; Jiang, S.; Huang, S.; Peng, L.; Zeng, Q.; Luo, S. Annual input and output fluxes of heavy metals to paddy fields in four types of contaminated areas in Hunan Province, China. Sci. Total Environ. 2018, 634, 67–76. [Google Scholar] [CrossRef]
- Shi, T.; Ma, J.; Wu, F.; Ju, T.; Gong, Y.; Zhang, Y.; Wu, X.; Hou, H.; Zhao, L.; Shi, H. Mass balance-based inventory of heavy metals inputs to and outputs from agricultural soils in Zhejiang Province, China. Sci. Total Environ. 2019, 649, 1269–1280. [Google Scholar] [CrossRef] [PubMed]
- Yokel, J.; Delistraty, D.A. Arsenic, lead, and other trace elements in soils contaminated with pesticide residues at the Hanford site (USA). Environ. Toxicol. 2003, 18, 104–114. [Google Scholar] [CrossRef]
- Qi, Y.; Donahoe, R.J. The environmental fate of arsenic in surface soil contaminated by historical herbicide application. Sci. Total Environ. 2008, 405, 246–254. [Google Scholar] [CrossRef]
- Yu, L.; Wang, P.; Yu, L.; Cui, L. Experimental study of pollution by heavy metals of plastic film in soil-soybean system. Bull. Soil Water Conserv. 2013, 33, 86–90. [Google Scholar]
- Esmaeili, A.; Moore, F.; Keshavarzi, B.; Jaafarzadeh, N.; Kermani, M. A geochemical survey of heavy metals in agricultural and background soils of the Isfahan industrial zone, Iran. Catena 2014, 121, 88–98. [Google Scholar] [CrossRef]
- Franco-Uría, A.; López-Mateo, C.; Roca, E.; Fernandez-Marcos, M.L. Source identification of heavy metals in pastureland by multivariate analysis in NW Spain. J. Hazard. Mater. 2009, 165, 1008–1015. [Google Scholar] [CrossRef] [PubMed]
- Li, Y.; Zhang, H.; Chen, X.; Tu, C.; Luo, Y.; Christie, P. Distribution of heavy metals in soils of the Yellow River Delta: Concentrations in different soil horizons and source identification. J. Soils Sediments 2014, 14, 1158–1168. [Google Scholar] [CrossRef]
- Vieira da Silva, F.B.; do Araújo Nascimento, C.W.; Araújo Paula, R.M.; da Vieira Silva, L.H.; da Silva, R.F. Assessing heavy metal sources in sugarcane Brazilian soils: An approach using multivariate analysis. Environ. Monit. Assess. 2016, 188, 457. [Google Scholar] [CrossRef]
- Hjortenkrans, D.; Bergbäck, B.; Häggerud, A. New metal emission patterns in road traffic environments. Environ. Monit. Assess. 2006, 117, 85–98. [Google Scholar] [CrossRef] [PubMed]
- Mielke, H.W.; Laidlaw, M.A.S.; Gonzales, C. Lead (Pb) legacy from vehicle traffic in eight California urbanized areas: Continuing influence of lead dust on children’s health. Sci. Total Environ. 2010, 408, 3965–3975. [Google Scholar] [CrossRef] [PubMed]
- Turer, D.; Maynard, J.B.; Sansalone, J.J. Heavy metal contamination in soils of urban highways comparison between runoff and soil concentrations at Cincinnati, Ohio. Water Air Soil Pollut. 2001, 132, 293–314. [Google Scholar] [CrossRef]
- Wei, F.; Zhang, Y.; Wei, W.; Yang, X. Chemical composition of dust from stainless steel smelting and existing forms of Cr and Ni. Chin. J. Process Eng. 2011, 11, 786–793. [Google Scholar]










| (a) Igeo | Risk Grade | (b) PLI | Risk Grade | Risk Grade | |
|---|---|---|---|---|---|
| Igeo < 1 | Uncontaminated to Medium polluted | PLI ≤ 1 | Low level of pollution | < 40 | Low potential risk |
| 1 < Igeo ≤ 2 | Medium polluted | 1 < PLI ≤ 2 | Moderate level of pollution | 80 | Moderate potential risk |
| 2 < Igeo ≤ 3 | Medium to heavily polluted | 2 < PLI ≤ 5 | High level of pollution | 160 | Considerable potential risk |
| 3 < Igeo ≤ 4 | Heavily polluted | PLI > 5 | Extremely high level of pollution | 320 | High potential risk |
| 4 < Igeo ≤ 5 | Heavily to extremely polluted | Serious | |||
| Igeo > 5 | Extremely polluted |
| Unit | Max | Min | Mean | Standard Deviation | Skewness | Kurtosis | CV (%) | Background Value a | Risk Screening Values b/Exceedance Rates (%) | ||
|---|---|---|---|---|---|---|---|---|---|---|---|
| 6.5 < pH ≤ 7.5 | pH > 7.5 | ||||||||||
| pH | 8.89 | 6.63 | 7.69 | 0.39 | −0.04 | 0.46 | 5.01 | / | |||
| SOM | g·kg−1 | 42.48 | 7.17 | 19.30 | 6.27 | 0.85 | 1.98 | 32.48 | / | ||
| Cd | mg·kg−1 | 2.83 | 0.06 | 0.23 | 0.31 | 7.03 | 56.15 | 136.15 | 0.09 | 0.3 (6.25%) | 0.6 (3.16%) |
| Pb | mg·kg−1 | 191.87 | 17.91 | 46.28 | 29.27 | 3.05 | 11.05 | 63.25 | 20.6 | 120 (0.0%) | 170 (3.16%) |
| As | mg·kg−1 | 25.73 | 1.08 | 13.36 | 3.26 | 0.79 | 3.93 | 24.39 | 8.39 | 30 (0.0%) | 25 (1.59%) |
| Cr | mg·kg−1 | 113.30 | 48.21 | 69.33 | 12.82 | 0.89 | 0.50 | 18.50 | 63.69 | 200 (0.0%) | 250 (0.0%) |
| Cu | mg·kg−1 | 233.30 | 17.26 | 35.76 | 23.80 | 6.44 | 51.45 | 66.55 | 19.88 | 100 (6.25%) | 100 (0.0%) |
| Ni | mg·kg−1 | 47.19 | 19.89 | 29.49 | 6.82 | 1.10 | 0.33 | 23.14 | 26.69 | 100 (0.0%) | 190 (0.0%) |
| Zn | mg·kg−1 | 801.93 | 61.03 | 113.64 | 78.81 | 7.43 | 63.49 | 69.35 | 66.87 | 250 (6.25%) | 300 (0.0%) |
| Unit | Max | Min | Mean | SD | Variance | CV (%) | Standard | |
|---|---|---|---|---|---|---|---|---|
| Cd | mg·kg−1 | 0.59 | 0.04 | 0.19 | 0.11 | 0.01 | 0.55 | 3 |
| Pb | mg·kg−1 | 18.82 | 1.22 | 5.81 | 4.53 | 20.54 | 0.78 | 50 |
| As | mg·kg−1 | 80.63 | 3.75 | 24.77 | 18.76 | 352.05 | 0.76 | 15 |
| Cr | mg·kg−1 | 46.32 | 22.89 | 32.48 | 6.79 | 46.09 | 0.21 | 150 |
| Cu | mg·kg−1 | 616.02 | 9.63 | 132.69 | 167.70 | 28124.15 | 1.26 | / |
| Ni | mg·kg−1 | 16.60 | 2.88 | 10.58 | 4.32 | 18.68 | 0.41 | / |
| Zn | mg·kg−1 | 1220.61 | 117.25 | 425.84 | 320.11 | 102467.52 | 0.75 | / |
| Unit | Max | Min | Mean | SD | Variance | CV (%) | Standard | |
|---|---|---|---|---|---|---|---|---|
| Cd | μg·L−1 | 0.33 | 0.26 | 0.30 | 0.01 | 0.00 | 0.05 | 10.00 |
| Pb | μg·L−1 | 0.45 | 0.21 | 0.27 | 0.06 | 0.00 | 0.23 | 200.00 |
| As | μg·L−1 | 28.41 | 0.12 | 9.57 | 7.74 | 59.87 | 0.81 | 50.00 |
| Cr | μg·L−1 | 4.00 | 0.24 | 1.03 | 0.71 | 0.50 | 0.69 | 100.00 |
| Cu | μg·L−1 | 35.44 | 1.52 | 4.83 | 6.25 | 39.07 | 1.30 | 1000.00 |
| Ni | μg·L−1 | 6.30 | 1.71 | 3.17 | 1.11 | 1.23 | 0.35 | / |
| Zn | μg·L−1 | 16.77 | 3.32 | 6.46 | 2.66 | 7.09 | 0.41 | 2000.00 |
Publisher’s Note: MDPI stays neutral with regard to jurisdictional claims in published maps and institutional affiliations. |
© 2022 by the authors. Licensee MDPI, Basel, Switzerland. This article is an open access article distributed under the terms and conditions of the Creative Commons Attribution (CC BY) license (https://creativecommons.org/licenses/by/4.0/).
Share and Cite
Su, H.; Hu, Y.; Wang, L.; Yu, H.; Li, B.; Liu, J. Source Apportionment and Geographic Distribution of Heavy Metals and as in Soils and Vegetables Using Kriging Interpolation and Positive Matrix Factorization Analysis. Int. J. Environ. Res. Public Health 2022, 19, 485. https://doi.org/10.3390/ijerph19010485
Su H, Hu Y, Wang L, Yu H, Li B, Liu J. Source Apportionment and Geographic Distribution of Heavy Metals and as in Soils and Vegetables Using Kriging Interpolation and Positive Matrix Factorization Analysis. International Journal of Environmental Research and Public Health. 2022; 19(1):485. https://doi.org/10.3390/ijerph19010485
Chicago/Turabian StyleSu, Huiyue, Yueming Hu, Lu Wang, Huan Yu, Bo Li, and Jiangchuan Liu. 2022. "Source Apportionment and Geographic Distribution of Heavy Metals and as in Soils and Vegetables Using Kriging Interpolation and Positive Matrix Factorization Analysis" International Journal of Environmental Research and Public Health 19, no. 1: 485. https://doi.org/10.3390/ijerph19010485
APA StyleSu, H., Hu, Y., Wang, L., Yu, H., Li, B., & Liu, J. (2022). Source Apportionment and Geographic Distribution of Heavy Metals and as in Soils and Vegetables Using Kriging Interpolation and Positive Matrix Factorization Analysis. International Journal of Environmental Research and Public Health, 19(1), 485. https://doi.org/10.3390/ijerph19010485

