Abstract
Health policies rely on physical activity (PA) and sedentary behavior data collected through PA questionnaires (PAQs). Validity of international PAQs varies among countries. Therefore, it is important to know the validity of the national versions of the PAQs to properly evaluate the results. We conducted a validation study of the Slovenian versions of the International PAQ Short Form (IPAQ-SF), the Global PAQ (GPAQ), and the PAQ used in the European Health Interview Survey (EHIS-PAQ) on 306 healthy adults. The most valid and reliable constructs in all tested were sedentary behavior and vigorous PA (VPA), however the criterion validity of these constructs was low (Spearman’s ρ 0.38–0.45 for sedentary behavior and 0.34–0.42 for VPA). Moderate to vigorous PA (MVPA) had low validity (0.26–0.29) despite being used as a standard measure of PA behavior. Participants over-reported MVPA for −9 to 64 min and underreported the sedentary behavior for more than two hours. The test-retest study found high reliability for sedentary behavior (0.69–0.81) and low to moderate reliability for PA behavior (0.42–0.76). The Slovenian versions of the observed PAQs are a useful tool for national PA surveillance, but for qualitative assessment of individual health-related PA behavior they should be combined with accelerometer-based devices.
1. Introduction
Regular physical activity and sedentariness are independent risk factors for several health conditions: cardiovascular disease and adiposity [1], all-cause mortality [2], type 2 diabetes [3], and some cancers [4]. They are also associated with metabolic [5], mental [6], and cognitive health [7]. Therefore, monitoring of physical activity and sedentary behavior is important both for individuals to assess their daily movement patterns and for society to evaluate the effectiveness of policies to combat non-communicable diseases. Consequently, the assessment of physical activity is rapidly evolving. As technology evolves, device-based measurement (e.g., accelerometers, wristbands, smart watches) is emerging. Such measurement is more valid and reliable compared to the use of physical activity questionnaires (PAQs) as a subjective method [8], but also more time-consuming and expensive [9]. As suggested by Pettee-Gabriel and colleagues (2012), methodological issues must be considered when selecting an appropriate method to assess physical activity [10]. Study, population, instrument, and activity characteristics influence the choice of measurement instruments. For this reason, PAQs are still widely used [11] and will remain so as they are the most suitable tool for epidemiological studies [12]. The measurement characteristics of different PAQs have already been tested in several nations and cultures [13] and their low to moderate validity and moderate to high reliability are well known [9,14].
PAQs have been a mainstay of measurement in most non-communicable diseases surveillance systems and epidemiological studies; however, their use is not unified. For example, a recent study of national surveillance systems for physical activity, sedentary behavior, and sport participation in the European Union [15] found that the International Physical Activity Questionnaire (IPAQ), with its long and short forms (IPAQ-LF and IPAQ-SF; [16]), prevails in the European Union (EU). Globally, the Global Physical Activity Questionnaire (GPAQ) is used in more than 120 countries worldwide and is used in surveys conducted by the World Health Organization (WHO) [17,18]. Still, wide variety of other PAQs is used in the EU. For example, the EU Eurobarometer uses the adapted IPAQ-SF [19], the European Health Interview Survey (EHIS) uses its own PAQ [20], Nordic countries use the Nordic Physical Activity Questionnaire [21], and many member states have their own national questionnaires [15].
Interestingly, previous findings have shown that the validity of the most commonly used international PAQs varies between different countries or regions. For example, in a study of 12 countries, Craig and colleagues (2003) found differences in the reliability and validity of IPAQ-SF and IPAQ-LF [22]. Concurrent validity showed low to high correlations ranging from Spearman’s ρ = 0.43 (Portugal) to 0.88 (The Netherlands) for physical activity and from Spearman’s ρ = 0.69 (United States) to 0.96 (Finland) for sitting. Additionally, differences in the test-retest reliability of IPAQ-SF were found between urban participants from the United States (Spearman’s ρ = 0.89) and South Africa (Spearman’s ρ = 0.69) and between rural participants from South Africa (Spearman’s ρ = 0.32) [22]. More importantly, differences in the criterion validity of IPAQ-SF were found between European countries. For moderate to vigorous physical activity (MVPA), values vary from Spearman’s ρ = 0.13 in United Kingdom [23] to Pearson’s ρ = 0.47 in Spain [24]. Similar variability was observed for concurrent validity of vigorous physical activity (VPA) measured with GPAQ. In European countries, values ranged from Spearman’s ρ = 0.51 in Austria [25] to Spearman’s ρ = 0.86 in France [26]. Results for criterion validity of VPA measured with the GPAQ were not scattered, yet they were low to moderate; Spearman’s ρ = 0.31 in Germany [27] to Spearman’s ρ = 0.64 in a multinational study in Belgium, Spain, and the United Kingdom [28]. Interestingly, only one reliability and validity study of EHIS-PAQ has been published to date [20], although all member states regularly use national versions of this questionnaire as part of the EHIS [29]. Detailed overview of reliability and validity results from European countries can be found elsewhere [14,30].
As European and national health policies and programs are based on the physical activity and sedentary behavior data collected using the described PAQs, the use of validated measures is necessary. Many of the EU countries have not tested the reliability and validity of their national versions of the widely used international PAQs [14,30] and Slovenia is among them. Therefore, within the European Physical Activity and Sports Monitoring System (EUPASMOS) project, we prepared a study on the reliability and validity of Slovenian versions of EHIS-PAQ, IPAQ-SF, and GPAQ, aiming to fill this gap in Slovenia.
2. Materials and Methods
2.1. Study Design and Participants
We recruited participants for the study using a snowballing method. Through 7th and 9th graders from nine Slovenian primary schools from rural and urban areas in central Slovenia, we contacted their parents, grandparents, and adult siblings. Only healthy participants whose health was not affected by physical activity were included. Participants self-assessed their health status. If participants reported any health problems that could affect their daily physical activity (e.g., injuries or a chronic health problems), a kinesiology professional assessed their health status and decided if they could participate in the study. Permission for conducting the study was obtained from the Faculty of Sport in Ljubljana in accordance with the Declaration of Helsinki (No: 6:2020-274). The data of the present study were obtained as part of the European project EUPASMOS No. 590662-EPP-1-2017-1-PT-SPO-SCP.
A total of 399 adults were enrolled in the initial sample (40.6% male, mean age = 41.16, SD = 14.35, mean BMI = 25.23, SD = 4.37), but due to incomplete data 93 participants were excluded from the analysis (invalid questionnaire data or invalid accelerometer data). We detected no bias between included and excluded participants; there were no differences in age, BMI, and accelerometer measured MVPA. Finally, 306 healthy participants older than 18 years were included in our study (39.2% male, mean age = 40.57, SD = 14.35, mean BMI = 24.84, SD = 4.39). Among them, 181 participants were part of the test-retest study (39.2% male, mean age = 36.30, SD = 13.88, mean BMI = 24.33, SD = 4.08). A post hoc power analysis was then performed and revealed that with our sample size correlation coefficient of 0.3 could be detected at p < 0.01, one tailed at a power of 0.99.
During the first visit, reliability study participants completed the Slovenian versions of all three PAQs in randomized order. We provided a quiet and comfortable environment in a computer room, where participants had ample time to complete the online versions of all three PAQs. It took participants approximately 15 min to complete all PAQs. Accelerometers were then given to all participants, and they were familiarized with their use. Participants were instructed to wear the accelerometers all the time for the next seven consecutive days, except while doing different water activities (e.g., swimming, showering, going to the sauna). After 7 days, all participants came back for the second visit. They returned the accelerometers and continued with the anthropometric measurements (height, weight). At the end, all participants completed all three PAQs in randomized order.
2.2. Subjective Measures of Physical Activity
Three international PAQs most commonly used in the EU were used to assess physical activity: IPAQ-SF, GPAQ, and EHIS-PAQ [14].
IPAQ-SF contains 7 items assessing physical activity and sitting time in the last 7 days. Participants are assessing frequency and duration of their walking, MPA, VPA and duration of sitting on a regular day. In the 12-country reliability and validity study of IPAQ, they found a moderate to high reliability of the questionnaire (Spearman’s ρ = 0.66–0.87 for total physical activity and Spearman’s ρ = 0.50–0.95 for sitting) [22]. Criterion validity was tested against CSA motion detector MTI and was very low to low for physical activity (Spearman’s ρ = 0.02–0.47) and sitting (Spearman’s ρ = 0.12–0.46).
The GPAQ contains 16 items assessing physical activity in a typical week in three domains: work, transport, and recreation. Participants assess the intensity of physical activity, frequency, and duration. One item is used to assess the amount of time spent sitting on a typical day. Nine country reliability and validity study showed moderate to high reliability results (Spearman’s ρ = 0.67–0.73 for physical activity and Spearman’s ρ = 0.68 to 0.73 for sedentary) [17]. Criterion validity measured against CSA motion detector MTI was very low to low (Spearman’s ρ = −0.03–0.23 for MPA, Spearman’s ρ = 0.23–0.26 for VPA and Spearman’s ρ = −0.02–0.4 for sedentary).
EHIS-PAQ questions are also based on a typical week with 10 items. Participants assess three domains of physical activity (work, transport, and health enhancing), two dimensions of physical activity (frequency and duration), and duration of time spent sitting on a typical day. With EHIS-PAQ, total MVPA is not calculated; instead, moderate to vigorous aerobic recreational activity item is used as a measure of MVPA recommended by WHO. One reliability and validity study of EHIS-PAQ was published to date and showed moderate to high test-retest reliability for physical activity items (ICC = 0.51–0.73) and very low to low criterion validity against ActiGraph GT3X (ICC = 0.06–0.44) [20].
We used the forward-backward method to translate the PAQs recommended by WHO [31]. Two independent translators interpreted the PAQs from English into Slovenian and two other translators back into English. We compared the two English versions and decided on the best translation. The translations were very similar, and we decided on the best version for each of the questionnaires.
2.3. Accelerometer Measured Physical Activity
A tri-axial accelerometer (RM42, UKK Terveyspalvelut Oy, Tampere, Finland) was worn on the right hip during waking hours and on the non-dominant wrist during bedtime. Acceleration data were collected within a range of ±16 G at a sampling rate of 100 Hz and stored on a hard disc for further analysis. The analysis of physical activity was based on the mean amplitude deviation (MAD) in six-second epochs [32]. MAD has been found a valid indicator of incident oxygen consumption during locomotion [33]. For each epoch, the MAD values were converted to METs (3.5 mL/kg/min of oxygen consumption). The epoch-wise MET values were further smoothed by calculating an exponential moving average for each epoch time point [34]. The smoothed data were analyzed in 6-s epochs and the physical activity cut points were set as follows: 3.0 METs ≤ MPA < 6.0 METs and VPA ≥ 6.0 METs.
Sedentary behavior (sitting and lying) and standing were identified for the epochs in which the predicted MET value was less than 1.5. The orientation of the accelerometer with respect to the gravity vector was taken as reference, and the angle for posture (APE) estimation was determined from the orientation of the accelerometer with respect to the reference vector [35]. Posture was classified as standing if the angle for posture was less than 11.6°, sitting if the angle for posture was between 11.6° and 72.0°, and lying if the angle for posture was greater than 72.0°. The six-second epoch-wise values representing posture were also smoothed by a one-minute exponential moving average.
A valid day was defined as having at least 600 min of monitor wear. Participants had to wear accelerometer at least 4 valid wear days, one of which had to be weekend day, to be included in the study.
2.4. Anthropometry
Height (to the nearest 0.1 cm) and weight (to the nearest 0.1 kg) were measured while participants were without shoes and in light clothing using the Seca 799 electronic scale (Seca Deutschland, Hamburg, Germany). We calculated body mass index (BMI) from height and weight and categorized participants into four categories based on WHO [36]: underweight (BMI < 18.5), healthy weight (18.5 < BMI < 24.9), overweight (25 < BMI < 29.9), and obese (BMI > 30).
2.5. Statistical Analysis
Statistical analysis was performed using IBM SPSS 27 software (Armonk, NY: IBM Corp) and Microsoft Excel. The normality of the data was tested using the Kolmogorov-Smirnov test. Since the data were not normally distributed, we used Spearman’s rank correlations to test the reliability and validity of the questionnaires. To interpret reliability and validity, we used the following criteria: ≤0.29 very low, 0.30–0.49 low, 0.50–0.69 moderate, 0.70–0.89 high, and greater than 0.90 very high validity [37]. We created a Bland-Altman plot to determine the agreement between the accelerometer and each of the PAQs.
3. Results
There were some differences in BMI: more overweight and obese individuals were among males (56.3%) than among females (33.7%) (Table 1), most of whom were in the normal BMI category (64.3%). There were also statistically significant gender differences in MPA, VPA, and MVPA measured with accelerometer UKK RM42 and in self-reported VPA (IPAQ-SF and GPAQ).
Table 1.
Descriptive statistics of the sample.
The metadata on the PAQs showed that participants spent from two to almost four minutes to complete each of the PAQs. On average it took participants 2 min and 24 s for IPAQ-SF, 3 min and 21 s for the GPAQ, and 2 min and 58 s for the EHIS-PAQ.
Reliability was tested using the test-retest method (Table 2). All results were statistically significant (p ≤ 0.001) and showed “low to high” correlations between measurements. With the exception of IPAQ-SF MPA, GPAQ work VPA, and leisure MPA, all correlations were higher than 0.5 and were therefore considered “moderate” [37]. IPAQ-SF and GPAQ had the highest correlations for sedentary behavior (Spearman’s ρ = 0.808 and 0.814, respectively). For EHIS-PAQ, we found the highest test-retest correlations for cycling (Spearman’s ρ = 0.809). For each PAQ, we assessed internal consistency with the Cronbach’s alpha coefficient twice, with and without the sedentary behavior question. The IPAQ showed a “rather reliable” correlation with the sedentary behavior question (Cronbach’s α = 0.297) and a “reliable” without it (Cronbach’s α = 0.685). Similar results were found for the GPAQ: “rather reliable” with the sedentary behavior question (Cronbach’s α = 0.235) and “reliable” without it (Cronbach’s α = 0.669). We found no large differences in EHIS-PAQ, when we excluded the sedentary behavior question. Internal consistency was “rather reliable” with the sedentary behavior question (Cronbach’s α = 0.304) and stayed “rather reliable” without it (Cronbach’s α = 0.310).
Table 2.
Test-retest reliability of IPAQ-SF, GPAQ, and EHIS-PAQ.
The results of the concurrent validity are presented in Table 3. Most of the correlations between the PAQs were very low to low, with some exceptions. For example, sedentary behavior was highly and statistically significantly correlated (Spearman’s ρ = 0.777, 0.772, and 0.857). VPA was moderately correlated (Spearman’s ρ = 0.634), as was MVPA (Spearman’s ρ = 0.597) between IPAQ-SF and GPAQ. There were more relevant and “low to moderate” correlations between GPAQ and IPAQ-SF (e.g., MPA, VPA). In contrast, EHIS-PAQ had no “moderate” correlations with either of the other two PAQs for physical activity, except for the walking item, which correlated with IPAQ-SF walk. “Close to moderate” correlations were found for transport related physical activity (GPAQ transport/EHIS-PAQ walk Spearman’s ρ = 0.497, IPAQ-SF walk/EHIS-PAQ walk = 0.558).
Table 3.
Concurrent validity of IPAQ-SF, GPAQ, and EHIS-PAQ.
The criterion validity correlations between the PAQs and the UKK RM42 accelerometer are presented in Table 4. We found “low to moderate” and significant correlations for VPA and sedentary behavior. For GPAQ, leisure-time VPA correlated Spearman’s ρ = 0.534 with UKK RM42 while VPA = 0.415. IPAQ-SF VPA had Spearman’s ρ = 0.342 with VPA measured by UKK RM42, while EHIS-PAQ showed no statistically significant correlations for moderato to vigorous recreational activity. For sedentary behavior, IPAQ-SF Spearman’s ρ was 0.454 while for GPAQ was 0.4 and EHIS-PAQ was 0.376.
Table 4.
Criterion validity of IPAQ-SF, GPAQ, and EHIS-PAQ against accelerometer UKK RM42.
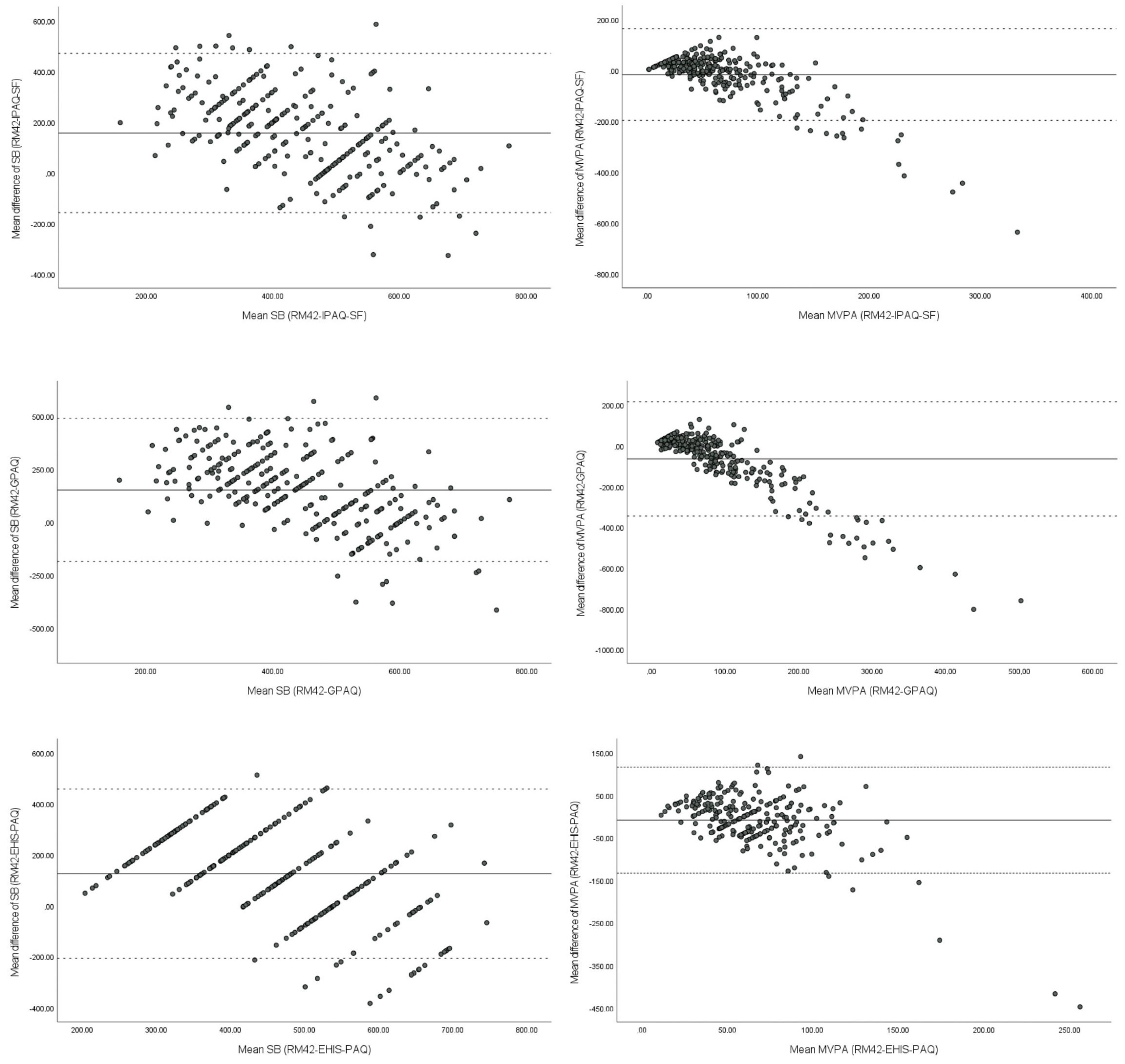
With Bland-Altman plot (Figure 1), we present the differences between data on MVPA and sedentary behavior collected with the UKK RM42 accelerometer and PAQs. One-sample T-tests revealed significant differences between the accelerometers and all three questionnaires for sedentary behavior and MVPA for IPAQ-SF and GPAQ (GPAQ: p < 0.000, IPAQ-SF MVPA: p < 0.002). Participants underestimated their sedentary behavior on all three PAQs. For sedentary behavior, average difference was lowest for EHIS-PAQ at 125 ± 169 min, while participants underestimated their sitting time by about 2.5 h with IPAQ-SF and GPAQ (IPAQ-SF = 157 ± 160 min; GPAQ = 151 ± 172 min). On the other hand, participants overestimated their MVPA with IPAQ-SF and GPAQ; the average difference for the IPAQ-SF was 17 ± 92 min, followed by GPAQ with 64 ± 143 min). With EHIS-PAQ, participants on average underestimated their moderate to vigorous recreational activity , but the difference was close to zero (−9 ± 64 min on average).
Figure 1.
Bland-Altman plots for the PAQs and UKK RM42 accelerometer according to sedentary behavior and MVPA (min/day) with 95% limit of agreement.
According to the WHO guidelines on physical activity and sedentary behavior, 92.5% of participants achieved the recommended amount of MVPA. The figures were lower for the PAQs; 89.5% of participants were considered sufficiently active for IPAQ-SF, 87.3% for GPAQ and 48% for EHIS-PAQ.
4. Discussion
This study examined the reliability and validity of the Slovenian versions of EHIS-PAQ, IPAQ-SF, and GPAQ. The main finding of the study is that the most valid and reliable constructs in all tested PAQs were sedentary behavior and VPA, but the criterion validity of these constructs was low (Spearman’s ρ = 0.38–0.45 for sedentary behavior and 0.34–0.42 for VPA). The second important finding is that participants over-reported MVPA for 17 to 64 min and underreported the sedentary behavior for more than two hours with selected PAQs. Third, the GPAQ generally showed the highest criterion validity among observed PAQs, especially for VPA (Spearman’s ρ = 0.415).
The test-retest reliability results of all three PAQs were adequate (low to high correlations); the alpha coefficient also showed good internal consistency of IPAQ-SF and GPAQ and moderate internal consistency of EHIS-PAQ. Concurrent validity was high and significant for the sedentary behavior items between all three PAQs; comparable results were obtained in a recent meta-analysis for IPAQ-SF and GPAQ [30]. Compared to the UKK RM42 accelerometer physical activity data, PAQs showed lower performance. As expected, one of the most valid constructs in all selected PAQs was sedentary behavior. However, the associations in our study were low (0.38–0.45), while other studies found moderate to high correlations [30]. Nevertheless, the correlation coefficients for sedentary behavior in our study were still higher than in the two previous research that used the same device. In the Hungarian study, the Spearman’s ρ for IPAQ-SF sedentary time was 0.255 compared to the UKK RM42 accelerometer (p < 0.001) [38] and in the French study, the for GPAQ Spearman’s ρ was 0.26 (p < 0.005) [39]. Notably, results of all constructs in our study were higher compared to the two previous studies from France and Hungary: sedentary—Slovenia 531, Hungary 510, and France 481 min/week; MPA—Slovenia = 405, Hungary 366, and France 359 min/week; VPA—Slovenia 42, Hungary 22, and France 5 min/week.
The most valid constructs in all tested PAQs were sedentary behavior and VPA, which is consistent with other findings [22,26,27]. Related to this, we found higher correlations between VPA items compared to MPA items, which was also found in previous studies [23,26]. A possible explanation for these results may be sought in the constructs. The MPA and VPA constructs are based on descriptions of different physical activity intensities, and it is possible that the VPA descriptions are more accurate and easier to understand. Descriptions of bodily sensations during physical activity are highly subjective and every individual has their own scale of what is an increased heartbeat and when breathing becomes heavy. It is a challenge to create more objective descriptions of the body’s physiological responses. We believe that the descriptions used in the PAQs are appropriate, yet the subjectivity of these descriptions should be considered when using the PAQs and interpreting the data. We assume that individuals with better physical fitness will be better able to assess their MVPA, since their physiological response to physical activity is similar to physical activity intensity categorization, based on MET values.
Criterion validity for physical activity was generally highest for the GPAQ, a little better than IPAQ-SF. In addition, the GPAQ also showed higher criterion validity results for the domain-specific physical activity (work, transport, and leisure). It is known that longer and more detailed PAQs tend to be more valid [22], as detailed and domain-specific questions help participants recall physical activity. It is easier to recall physical activity in segments rather than remembering the entire MPA or VPA. The GPAQ contains more questions (16 questions) compared to IPAQ-SF (7 questions) and these questions are also domain specific, which can help participants recalling their daily or weekly physical activity for each domain. With nine additional questions, it took participants less than one minute more to complete the online version of the GPAQ compared to IPAQ-SF. We found particularly high criterion validity for the GPAQ leisure VPA (Spearman’s ρ = 0.534, p < 0.001), which represented the highest results from Slovenian data. Accelerometer-measured VPA was also higher compared to other studies using the UKK RM42 accelerometer [38,39]. Slovenians are among the most physically active and sporty nations in the EU [40], which could be the reason for the higher VPA compared to Hungarians and French. The results suggest that, given the increasing sedentariness combined with changes in the work environment, more and more people are being active in their leisure time [41,42]. As our results show, work related physical activity was not statistically significantly correlated with accelerometer-measured physical activity, but leisure VPA and transport VPA were. As lifestyles and workplaces are changing, so do the physical demands of workplaces. Physically demanding jobs may include lifting heavy objects, which was not correctly measured by the accelerometer. In addition, participants may subjectively assess their work as physically demanding (perhaps compared to other, more sedentary jobs), but their physical activity may not be intense enough to fall within the MVPA range. Previous research has also shown that highly sedentary people can be very physically active [5,43], and for these, domain-specific questions can help to recall physical activity [44]. In EU countries, work related physical activity is no longer as common anymore since people are mostly doing sedentary work. Therefore, more domain-specific questions can also highlight the changes in physical activity and sedentary behavior and provide more contextual information.
Despite slightly higher correlations compared to previous studies using the same instruments, our results showed that participants overestimated their MVPA with IPAQ-SF and GPAQ, but not with EHIS-PAQ (moderate to vigorous recreational activity reported). It has been previously proven that participants tend to over-report physical activity when using PAQs [45]. The systematic review of this problem found an average MVPA overestimation of 106%, when using IPAQ-SF [45], while our result found an overestimation of 29% when using IPAQ-SF, with GPAQ overestimation was higher, but on the other hand participants underestimated their PA when using EHIS-PAQ. WHO recommends 150 min of MVPA per week for adults to achieve significant health benefits [46]. According to our study, 92.5% of participants achieved this amount of MVPA based on the UKK RM42, while 89.5% of participants were sufficiently active according to the IPAQ-SF self-assessment, 87.3% according to the GPAQ, and 48% according to EHIS-PAQ. These overall low discrepancies indicate that PAQs are an appropriate tool for national physical activity surveillance systems to determine the level of physical activity in the population. However, problems with validity and over=reporting should be considered when examining individual physical activity behavior. Several previous studies have already pointed out the problem of over-reporting [47,48] and validity [14,30]; therefore, the results of PAQs should not be used as a measure of individuals’ health-related physical activity without additional information from objective measures.
Our results show greater similarity between IPAQ-SF and the GPAQ, as the concurrent validity between the two is the highest and both have similar criterion validity. Although EHIS-PAQ was developed specifically for the EU and its member states to outdo the disadvantages of PAQs [49], its results in our study on the Slovenian population were not better (MVPA/sport participation = 0.063) and lower compared to the results of the criterion validity study results from Germany, which used ActiGraph GT3X (MVPA = 0.32). Nevertheless, we believe that the question about “moderate to vigorous aerobic recreational activity” and the specific question about muscle-strengthening activities are important for physical activity surveillance. Muscle-strengthening activities are included in the WHO physical activity recommendations [46] and are not included in the most popular and widely used PAQs. The “moderate to vigorous aerobic recreational activity” item highly correlated with leisure physical activity from the GPAQ, once again demonstrating the need for domain-specific questions in PAQs.
The results of our study show that problems with over-reporting of physical activity and under-reporting of sedentary behavior also exist in the Slovenian sample of adults. We conclude that domain-specific physical activity questions can help with recall of physical activity and improve the validity of PAQs. Therefore, we would recommend the use of the GPAQ in Slovenian population. However, measuring physical activity using accelerometers remains more valid and reliable. Additional questions about muscle-strengthening activities not captured by accelerometers could outperform the accelerometer and provide additional information about individuals’ physical activity.
5. Strengths and Limitations
This is the first study to compare the reliability and validity of three different national versions of popular international PAQs using an objective measure. Comparing different PAQs provides data on their measurement characteristics and is a great way to compare differences between specific characteristics. In addition, this is the second study to validate the national version of EHIS-PAQ, which is, however, used in the EU as the primary data source for physical activity. With this study, we also validated for the first time IPAQ-SF, GPAQ, and EHIS-PAQ on a Slovenian sample. The main limitation arises from the sample. Since the PAQs are based on the subjective assessment of individual effort when performing physical activity, they could be influenced by the physical fitness of the participants. Therefore, variability in participants’ physical fitness may influence differences between subjective and objective measures of physical activity. Secondly, age distribution of participants was not representative. Most of the participants were younger than 50 years old, and therefore results of this study cannot be applied to all adults in general. According to previous findings and due to the lack of older participants in our sample, the reliability and validity of the presented PAQs might be lower in participants over 50 years of age. It could also be that physical activity is over-reported, so results for older participants should be interpreted with caution. This limitation is also found in previous validation studies. Therefore, more emphasis should be placed on appropriate sampling to avoid error. In addition, specific characteristics of the sample could affect the validity results, considering that fitter participants could understand the descriptions of physical activity intensity more accurately. The third limitation is associated with the MAD algorithm for the analysis of accelerometer data, which is validated for bipedal activities. Therefore, the intensity of activities of other types, such as cycling, is likely to be underestimated. As a result, the volume of VPA might also be underestimated. However, MAD algorithm has demonstrated a high comparability for the ActiGraph counts [50] and has shown a very strong association with VO2 during ambulatory activities [33]; moreover, similar problems with the measurement of VPA have been highlighted in other studies that used other algorithms for accelerometer data [51,52].
6. Conclusions
The comparison of the three most frequently used PAQs in the EU has shown that their reliability and validity in the Slovenian sample is similar to previous studies, yet validity results are still low to moderate. The present work highlights the differences between the subjective methods used to assess physical activity, in the same sample. We found that more detailed and domain-specific questionnaires provide a more valid measurement, and thus the measurement of VPA is more valid. Our findings confirm that PAQs can be a valid tool for non-communicable diseases surveillance systems in epidemiological studies to determine the percentage of individuals who are sufficiently active according to the WHO guidelines.
Supplementary Materials
The following supporting information can be downloaded at: https://www.mdpi.com/article/10.3390/ijerph19010430/s1, File S1: SPSS file.
Author Contributions
Conceptualization, K.M. and G.J.; methodology, K.M. and V.S.; software, S.Đ. and H.V.-Y.; validation, K.M.; formal analysis, K.M., investigation, K.M., V.S. and S.Đ.; resources, G.J.; data curation, K.M., S.Đ. and H.V.-Y.; writing—original draft preparation, K.M.; writing—review and editing, K.M., G.J., H.V.-Y., V.S., P.R. and S.Đ.; visualization, K.M.; supervision, G.J.; project administration, G.J.; funding acquisition, P.R. All authors have read and agreed to the published version of the manuscript.
Funding
This research was co-funded by the Erasmus+ Programme of the European Union within the project EUPASMOS No. 590662-EPP-1-2017-1-PT-SPO-SCP, and Slovenian Research Agency within the Research programme Bio-psycho-social context of kinesiology No. P5-0142.
Institutional Review Board Statement
The study was conducted according to the guidelines of the Declaration of Helsinki and approved by the Ethics Committee of Faculty of Sport at University of Ljubljana, no. 10/2018 on 29 June 2018.
Informed Consent Statement
Informed consent was obtained from all subjects involved in the study.
Data Availability Statement
The data presented in this study are available in SPSS file in Supplementary Materials.
Acknowledgments
The authors would like to thank the UKK Institute for providing the accelerometers RM42 and for their help with the data handling.
Conflicts of Interest
Author Henri Vähä-Ypyä is employee of the UKK Institute which is the main owner of company UKK tervepalvelut that developed RM42 accelerometers.
Correction Statement
This article has been republished with a minor correction to the supplemental data. This change does not affect the scientific content of the article.
References
- Cristi-Montero, C.; Steell, L.; Petermann, F.; Garrido-Méndez, A.; Díaz-Martínez, X.; Salas-Bravo, C.; Ramirez-Campillo, R.; Alvarez, C.; Rodriguez, F.; Aguilar-Farias, N. Joint effect of physical activity and sedentary behaviour on cardiovascular risk factors in Chilean adults. J. Public Health 2018, 40, 485–492. [Google Scholar] [CrossRef] [PubMed]
- Ekelund, U.; Tarp, J.; Steene-Johannessen, J.; Hansen, B.H.; Jefferis, B.; Fagerland, M.W.; Whincup, P.; Diaz, K.M.; Hooker, S.P.; Chernofsky, A. Dose-response associations between accelerometry measured physical activity and sedentary time and all cause mortality: Systematic review and harmonised meta-analysis. BMJ 2019, 366, l4570. [Google Scholar] [CrossRef] [PubMed]
- Jeon, C.Y.; Lokken, R.P.; Hu, F.B.; Van Dam, R.M. Physical activity of moderate intensity and risk of type 2 diabetes: A systematic review. Diabetes Care 2007, 30, 744–752. [Google Scholar] [CrossRef] [PubMed]
- Patel, A.V.; Friedenreich, C.M.; Moore, S.C.; Hayes, S.C.; Silver, J.K.; Campbell, K.L.; Winters-Stone, K.; Gerber, L.H.; George, S.M.; Fulton, J.E. American College of Sports Medicine roundtable report on physical activity, sedentary behavior, and cancer prevention and control. Med. Sci. Sports Exerc. 2019, 51, 2391. [Google Scholar] [CrossRef]
- Healy, G.N.; Wijndaele, K.; Dunstan, D.W.; Shaw, J.E.; Salmon, J.; Zimmet, P.Z.; Owen, N. Objectively measured sedentary time, physical activity, and metabolic risk: The Australian Diabetes, Obesity and Lifestyle Study (AusDiab). Diabetes Care 2008, 31, 369–371. [Google Scholar] [CrossRef]
- Jonsdottir, I.H.; Rödjer, L.; Hadzibajramovic, E.; Börjesson, M.; Ahlborg, G., Jr. A prospective study of leisure-time physical activity and mental health in Swedish health care workers and social insurance officers. Prev. Med. 2010, 51, 373–377. [Google Scholar] [CrossRef]
- Loprinzi, P.D.; Kane, C.J. Exercise and cognitive function: A randomized controlled trial examining acute exercise and free-living physical activity and sedentary effects. In Mayo Clinic Proceedings; Elsevier: Amsterdam, The Netherlands, 2015; Volume 90, pp. 450–460. [Google Scholar]
- Westerterp, K.R. Assessment of physical activity: A critical appraisal. Eur. J. Appl. Physiol. 2009, 105, 823–828. [Google Scholar] [CrossRef]
- Van Poppel, M.N.M.; Chinapaw, M.J.M.; Mokkink, L.B.; Van Mechelen, W.; Terwee, C.B. Physical activity questionnaires for adults. Sports Med. 2010, 40, 565–600. [Google Scholar] [CrossRef]
- Pettee-Gabriel, K.K.; Morrow, J.R., Jr.; Woolsey, A.-L.T. Framework for physical activity as a complex and multidimensional behavior. J. Phys. Act. Health 2012, 9, 11–18. [Google Scholar] [CrossRef]
- Kohl III, H.; Murray, T.; Salvo, D. Foundations of Physical Activity and Public Health; Human Kinetics Publishers: Champaign, IL, USA, 2019; ISBN 1492589977. [Google Scholar]
- Warren, J.M.; Ekelund, U.; Besson, H.; Mezzani, A.; Geladas, N.; Vanhees, L. Assessment of physical activity—A review of methodologies with reference to epidemiological research: A report of the exercise physiology section of the European Association of Cardiovascular Prevention and Rehabilitation. Eur. J. Cardiovasc. Prev. Rehabil. 2010, 17, 127–139. [Google Scholar] [CrossRef]
- Bel-Serrat, S.; Huybrechts, I.; Thumann, B.F.; Hebestreit, A.; Abuja, P.M.; De Henauw, S.; Dubuisson, C.; Heuer, T.; Murrin, C.M.; Lazzeri, G. Inventory of surveillance systems assessing dietary, physical activity and sedentary behaviours in Europe: A DEDIPAC study. Eur. J. Public Health 2017, 27, 747–755. [Google Scholar] [CrossRef]
- Sember, V.; Meh, K.; Sorić, M.; Starc, G.; Rocha, P.; Jurak, G. Validity and Reliability of International Physical Activity Questionnaires for Adults across EU Countries: Systematic Review and Meta Analysis. Int. J. Environ. Res. Public Health 2020, 17, 7161. [Google Scholar] [CrossRef]
- Sorić, M.; Meh, K.; Rocha, P.; Wendel-Vos, W.; de Hollander, E.L.; Jurak, G. An inventory of national surveillance systems assessing physical activity, sedentary behaviour and sport participation of adults in European Union. BMC Public Health 2021, 21, 1–13. [Google Scholar] [CrossRef]
- IPAQ. Research Committee Guidelines for Data Processing and Analysis of the International Physical Activity Questionnaire (IPAQ)—Short and Long Forms. 2005. Available online: http://www.ipaq.ki.se/scoring.pdf (accessed on 20 May 2020).
- Bull, F.C.; Maslin, T.S.; Armstrong, T. Global physical activity questionnaire (GPAQ): Nine country reliability and validity study. J. Phys. Act. Health 2009, 6, 790–804. [Google Scholar] [CrossRef]
- Riley, L.; Guthold, R.; Cowan, M.; Savin, S.; Bhatti, L.; Armstrong, T.; Bonita, R. The World Health Organization STEPwise approach to noncommunicable disease risk-factor surveillance: Methods, challenges, and opportunities. Am. J. Public Health 2016, 106, 74–78. [Google Scholar] [CrossRef]
- Public Opinion Analysis Sector. Special Eurobarometer 183-6/Wave 58.2—European Opinion Research Group EEIG: Physical Activity; Directorate-General for Communication: Brussels, Belgium, 2003. [Google Scholar]
- Baumeister, S.E.; Ricci, C.; Kohler, S.; Fischer, B.; Töpfer, C.; Finger, J.D.; Leitzmann, M.F. Physical activity surveillance in the European Union: Reliability and validity of the European health interview survey-physical activity questionnaire (EHIS-PAQ). Int. J. Behav. Nutr. Phys. Act. 2016, 13, 61. [Google Scholar] [CrossRef]
- Knudsen, V.; Sørensen, M.; Matthiessen, J.; Fagt, S.; Groth, M. Dokumentationsrapport, Pilotundersøgelse 2010; Intern Rapport; DTU Fødevareinstitut, Det Nationale Forskningscenter for Velfærd: Lyngby, Denmark, 2010. [Google Scholar]
- Craig, C.L.; Marshall, A.L.; Sjöström, M.; Bauman, A.E.; Booth, M.L.; Ainsworth, B.E.; Pratt, M.; Ekelund, U.L.F.; Yngve, A.; Sallis, J.F. International physical activity questionnaire: 12-country reliability and validity. Med. Sci. Sports Exerc. 2003, 35, 1381–1395. [Google Scholar] [CrossRef]
- Taylor, N.J.; Crouter, S.E.; Lawton, R.J.; Conner, M.T.; Prestwich, A. Development and validation of the Online Self-reported Walking and Exercise Questionnaire (OSWEQ). J. Phys. Act. Health 2013, 10, 1091–1101. [Google Scholar] [CrossRef]
- Rodríguez-Muńoz, S.; Corella, C.; Abarca-Sos, A.; Zaragoza, J. Validation of three short physical activity questionnaires with accelerometers among university students in Spain. J. Sports Med. Phys. Fitness 2017, 57, 1660. [Google Scholar] [CrossRef]
- Novak, B.; Holler, P.; Jaunig, J.; Ruf, W.; van Poppel, M.N.M.; Sattler, M.C. Do we have to reduce the recall period? Validity of a daily physical activity questionnaire (PAQ24) in young active adults. BMC Public Health 2020, 20, 72. [Google Scholar] [CrossRef]
- Rivière, F.; Widad, F.Z.; Speyer, E.; Erpelding, M.-L.; Escalon, H.; Vuillemin, A. Reliability and validity of the French version of the global physical activity questionnaire. J. Sport Health Sci. 2018, 7, 339–345. [Google Scholar] [CrossRef]
- Rudolf, K.; Lammer, F.; Stassen, G.; Froböse, I.; Schaller, A. Show cards of the Global Physical Activity Questionnaire (GPAQ)–do they impact validity? A crossover study. BMC Public Health 2020, 20, 223. [Google Scholar] [CrossRef]
- Laeremans, M.; Dons, E.; Avila-Palencia, I.; Carrasco-Turigas, G.; Orjuela, J.P.; Anaya, E.; Brand, C.; Cole-Hunter, T.; de Nazelle, A.; Götschi, T. Physical activity and sedentary behaviour in daily life: A comparative analysis of the Global Physical Activity Questionnaire (GPAQ) and the SenseWear armband. PLoS ONE 2017, 12, e0177765. [Google Scholar] [CrossRef]
- Hintzpeter, B.; Finger, J.D.; Allen, J.; Kuhnert, R.; Seeling, S.; Thelen, J.; Lange, C. European Health Interview Survey (EHIS) 2–Background and study methodology. J. Health Monit. 2019, 4, 66–79. [Google Scholar] [CrossRef]
- Meh, K.; Jurak, G.; Sorić, M.; Rocha, P.; Sember, V. Validity and Reliability of IPAQ-SF and GPAQ for Assessing Sedentary Behaviour in Adults in the European Union: A Systematic Review and Meta-Analysis. Int. J. Environ. Res. Public Health 2021, 18, 4602. [Google Scholar] [CrossRef]
- World Health Organization. WHO STEPS Surveillance Manual: The WHO STEPwise Approach to Chronic Disease Risk Factor Surveillance; World Health Organization: Geneva, Switzerland, 2005. [Google Scholar]
- Aittasalo, M.; Vähä-Ypyä, H.; Vasankari, T.; Husu, P.; Jussila, A.-M.; Sievänen, H. Mean amplitude deviation calculated from raw acceleration data: A novel method for classifying the intensity of adolescents’ physical activity irrespective of accelerometer brand. BMC Sports Sci. Med. Rehabil. 2015, 7, 18. [Google Scholar] [CrossRef]
- Vähä-Ypyä, H.; Vasankari, T.; Husu, P.; Mänttäri, A.; Vuorimaa, T.; Suni, J.; Sievänen, H. Validation of cut-points for evaluating the intensity of physical activity with accelerometry-based mean amplitude deviation (MAD). PLoS ONE 2015, 10, e0134813. [Google Scholar] [CrossRef]
- Vähä-Ypyä, H.; Sievänen, H.; Husu, P.; Tokola, K.; Vasankari, T. Intensity Paradox—Low-Fit People Are Physically Most Active in Terms of Their Fitness. Sensors 2021, 21, 2063. [Google Scholar] [CrossRef]
- Vähä-Ypyä, H.; Husu, P.; Suni, J.; Vasankari, T.; Sievänen, H. Reliable recognition of lying, sitting, and standing with a hip-worn accelerometer. Scand. J. Med. Sci. Sports 2018, 28, 1092–1102. [Google Scholar] [CrossRef]
- World Health Organization. Obesity: Preventing and Managing the Global Epidemic; World Health Organization: Geneva, Switzerland, 2000. [Google Scholar]
- Evans, J.D. Straightforward Statistics for the Behavioral Sciences; Thomson Brooks/Cole Publishing, Co.: Pacific Grove, CA, USA, 1996; ISBN 0534231004. [Google Scholar]
- Ács, P.; Veress, R.; Rocha, P.; Dóczi, T.; Raposa, B.L.; Baumann, P.; Ostojic, S.; Pérmusz, V.; Makai, A. Criterion validity and reliability of the International Physical Activity Questionnaire–Hungarian short form against the RM42 accelerometer. BMC Public Health 2021, 21, 381. [Google Scholar] [CrossRef]
- Charles, M.; Thivel, D.; Verney, J.; Isacco, L.; Husu, P.; Vähä-Ypyä, H.; Vasankari, T.; Tardieu, M.; Fillon, A.; Genin, P. Reliability and validity of the ONAPS physical activity questionnaire in assessing physical activity and sedentary behavior in French adults. Int. J. Environ. Res. Public Health 2021, 18, 5643. [Google Scholar] [CrossRef] [PubMed]
- European Commission. Special Eurobarometer 472 Report: Sport and Physical Activity; European Commission: Brussels, Belgium, 2018. [Google Scholar]
- Kirk, M.A.; Rhodes, R.E. Occupation Correlates of Adults’ Participation in Leisure-Time Physical Activity: A Systematic Review. Am. J. Prev. Med. 2011, 40, 476–485. [Google Scholar] [CrossRef] [PubMed]
- Petersen, C.B.; Thygesen, L.C.; Helge, J.W.; Grønbæk, M.; Tolstrup, J.S. Time trends in physical activity in leisure time in the Danish population from 1987 to 2005. Scand. J. Public Health 2010, 38, 121–128. [Google Scholar] [CrossRef] [PubMed]
- Owen, N.; Healy, G.N.; Matthews, C.E.; Dunstan, D.W. Too much sitting: The population-health science of sedentary behavior. Exerc. Sport Sci. Rev. 2010, 38, 105–113. [Google Scholar] [CrossRef]
- Owen, N.; Leslie, E.; Salmon, J.; Fotheringham, M.J. Environmental determinants of physical activity and sedentary behavior. Exerc. Sport Sci. Rev. 2000, 28, 153–158. [Google Scholar]
- Lee, P.H.; Macfarlane, D.J.; Lam, T.H.; Stewart, S.M. Validity of the international physical activity questionnaire short form (IPAQ-SF): A systematic review. Int. J. Behav. Nutr. Phys. Act. 2011, 8, 115. [Google Scholar] [CrossRef]
- World Health Organization. WHO Guidelines on Physical Activity and Sedentary Behaviour; World Health Organization: Geneva, Switzerland, 2020; ISBN 978-92-4-001512-8. [Google Scholar]
- Rzewnicki, R.; Auweele, Y.V.; De Bourdeaudhuij, I. Addressing overreporting on the International Physical Activity Questionnaire (IPAQ) telephone survey with a population sample. Public Health Nutr. 2003, 6, 299–305. [Google Scholar] [CrossRef]
- Van Holle, V.; De Bourdeaudhuij, I.; Deforche, B.; Van Cauwenberg, J.; Van Dyck, D. Assessment of physical activity in older Belgian adults: Validity and reliability of an adapted interview version of the long International Physical Activity Questionnaire (IPAQ-L). BMC Public Health 2015, 15, 433. [Google Scholar] [CrossRef]
- Finger, J.D.; Tafforeau, J.; Gisle, L.; Oja, L.; Ziese, T.; Thelen, J.; Mensink, G.B.M.; Lange, C. Development of the European health interview survey-physical activity questionnaire (EHIS-PAQ) to monitor physical activity in the European Union. Arch. Public Health 2015, 73, 59. [Google Scholar] [CrossRef]
- Clevenger, K.A.; Brønd, J.C.; Arvidsson, D.; Montoye, A.H.K.; Mackintosh, K.A.; McNarry, M.A.; Pfeiffer, K.A. Impact of ActiGraph Sampling Rate and Intermonitor Comparability on Measures of Physical Activity in Adults. J. Meas. Phys. Behav. 2021, 1, 287–297. [Google Scholar] [CrossRef]
- Hendelman, D.; Miller, K.; Baggett, C.; Debold, E.; Freedson, P. Validity of accelerometry for the assessment of moderate intensity physical activity in the field. Med. Sci. Sports Exerc. 2000, 32, S442–S449. [Google Scholar] [CrossRef]
- Welk, G.J.; Blair, S.N.; Wood, K.; Jones, S.; Thompson, R.W. A comparative evaluation of three accelerometry-based physical activity monitors. Med. Sci. Sports Exerc. 2000, 32, S489–S497. [Google Scholar] [CrossRef]
Publisher’s Note: MDPI stays neutral with regard to jurisdictional claims in published maps and institutional affiliations. |
© 2021 by the authors. Licensee MDPI, Basel, Switzerland. This article is an open access article distributed under the terms and conditions of the Creative Commons Attribution (CC BY) license (https://creativecommons.org/licenses/by/4.0/).
