Understanding the Pathways from Prenatal and Post-Birth PM2.5 Exposure to Infant Death: An Observational Analysis Using US Vital Records (2011–2013)
Abstract
:1. Introduction
2. Materials and Methods
2.1. Data Sources
2.2. Outcome Definition
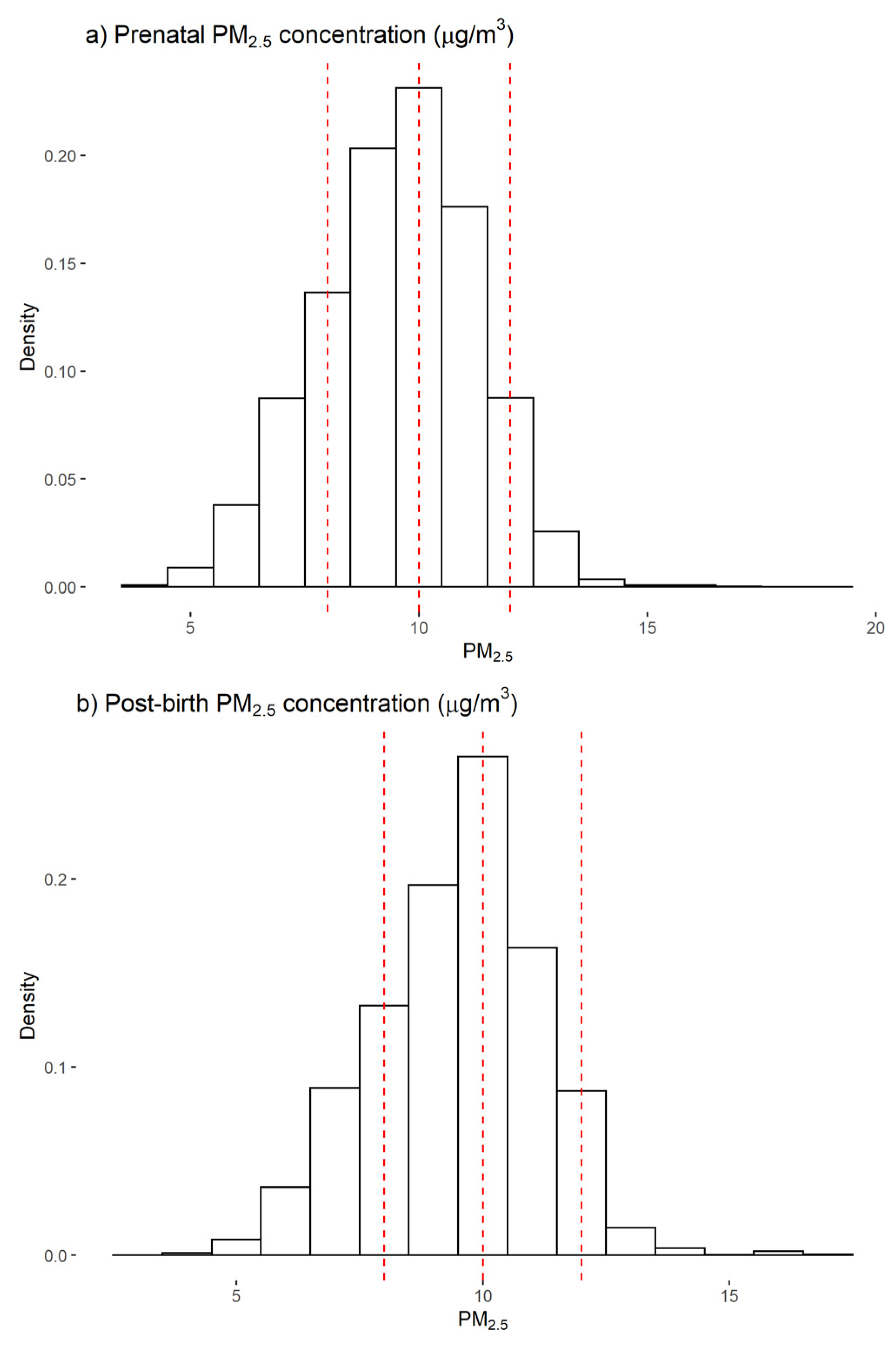
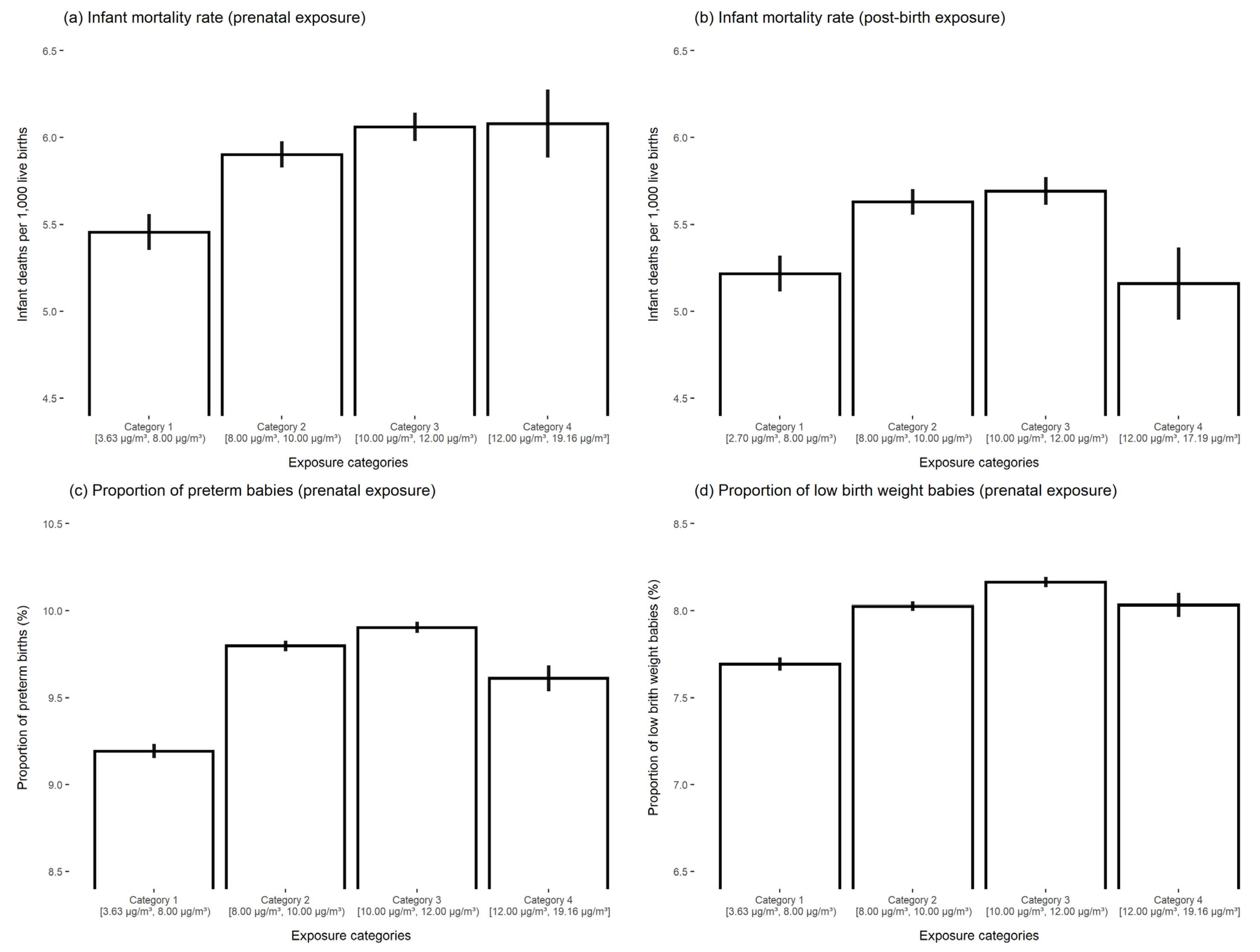
2.3. Exposure Definition
2.4. Mediator Definition
2.5. Constructing the Analytic Dataset
2.6. Structural Equation Model
2.7. Statistical Analysis
2.8. Robustness Checks
2.9. Software
2.10. Ethical Statement
3. Results
4. Discussion
5. Conclusions
Author Contributions
Funding
Institutional Review Board Statement
Informed Consent Statement
Data Availability Statement
Acknowledgments
Conflicts of Interest
Appendix A
| Covariate Definition and Categories | Source of Data |
|---|---|
| Individual-level variables | |
| Mother’s age (19 years or under; 20–24 years; 25–29 years; 30–34 years; 35–39 years; 40–44 years; 45 years and older) | NCHS linked birth-infant death records |
| Mother’s race (non-Hispanic white; non-Hispanic black; non-Hispanic other; Hispanic) | |
| Mother’s marital status (Married; Unmarried) | |
| Mother’s education (Without a high school degree, With a high school degree only, Any tertiary degree) | |
| Mother smoked before pregnancy (Yes; No) | |
| Mother smoked during pregnancy (Yes; No) | |
| Parity (First birth, Second birth, Three of more births) | |
| Multiple birth (Singleton; Multiple) | |
| Child’s sex (Female; Male) | |
| Delivery payment source (Medicaid; Private insurance; Self-pay; Other) | |
| Father’s age (19 years or under; 20–24 years; 25–29 years; 30–34 years; 35–39 years; 40–44 years; 45 years and older) | |
| Father’s education (Without a high school degree; With a high school degree only; Any tertiary degree) | |
| Father’s race (non-Hispanic white; non-Hispanic black; non-Hispanic other; Hispanic) Conception month and year | |
| County-of-residence-level variables | |
| Average temperature during pregnancy (°F) | NOAA |
| Average precipitation during pregnancy (in) | |
| Annual racial composition of county (Proportion non-Hispanic white; proportion non-Hispanic black; proportion non-Hispanic other; proportion Hispanic) | US Census Bureau |
| Annual population | |
| Annual poverty rate | |
| Annual median household income | |
| Monthly unemployment rate | Bureau of Labor Statistics |
| Number of physicians | CMS |

| Months Alive | Frequency | Proportion |
|---|---|---|
| 1 | 40,304 | 68.4% |
| 2 | 4833 | 8.2% |
| 3 | 3509 | 6.0% |
| 4 | 2586 | 4.4% |
| 5 | 1966 | 3.3% |
| 6 | 1525 | 2.6% |
| 7 | 1158 | 2.0% |
| 8 | 850 | 1.4% |
| 9 | 691 | 1.2% |
| 10 | 555 | 0.9% |
| 11 | 483 | 0.8% |
| 12 | 453 | 0.8% |
| Total | 58,913 |

| Number of Missing Observations | Total Number of Observations | Proportion Missing | |
|---|---|---|---|
| Father’s education | 1,533,908 | 10,017,357 | 15.31 |
| Father’s race | 1,404,016 | 10,017,357 | 14.02 |
| Father’s age | 1,287,549 | 10,017,357 | 12.85 |
| Mother smoked cigarettes during pregnancy | 608,210 | 10,017,357 | 6.07 |
| Mother smoked cigarettes pre-pregnancy | 606,380 | 10,017,357 | 6.05 |
| Payment source for delivery | 144,634 | 10,017,357 | 1.44 |
| Post-birth PM2.5 exposure | 130,515 | 10,017,357 | 1.3 |
| Mother’s education | 120,953 | 10,017,357 | 1.21 |
| Parity | 113,745 | 10,017,357 | 1.14 |
| Mother’s race | 71,191 | 10,017,357 | 0.71 |
| Birth weight | 30 | 10,017,357 | ~0 |
| Prenatal PM2.5 exposure | 0 | 10,017,357 | 0 |
| Preconception PM2.5 concentration | 0 | 10,017,357 | 0 |
| Gestational length | 0 | 10,017,357 | 0 |
| Infant death | 0 | 10,017,357 | 0 |
| Mother is married | 0 | 10,017,357 | 0 |
| Mother’s age | 0 | 10,017,357 | 0 |
| Singleton delivery | 0 | 10,017,357 | 0 |
| Child born female | 0 | 10,017,357 | 0 |
| Average temperature during pregnancy | 0 | 10,017,357 | 0 |
| Average precipitation during pregnancy | 0 | 10,017,357 | 0 |
| Average unemployment during pregnancy | 0 | 10,017,357 | 0 |
| Proportion of Non-Hispanic whites in county | 0 | 10,017,357 | 0 |
| Proportion of Non-Hispanic blacks in county | 0 | 10,017,357 | 0 |
| Proportion of Hispanics | 0 | 10,017,357 | 0 |
| Proportion of Non-Hispanic other races | 0 | 10,017,357 | 0 |
| Average poverty rate | 0 | 10,017,357 | 0 |
| Median household income | 0 | 10,017,357 | 0 |
| Physicians per 1000 individuals | 0 | 10,017,357 | 0 |
| Mean (SD) | ||||
|---|---|---|---|---|
| Prenatal PM2.5 concentration | ||||
| Category 1 | Category 2 | Category 3 | Category 4 | |
| [3.63 μg/m3, 8.00 μg/m3) | [8.00 μg/m3, 10.00 μg/m3) | [10.00 μg/m3, 12.00 μg/m3) | [12.00 μg/m3, 19.16 μg/m3) | |
| Individual-level variables | ||||
| Preconception PM2.5 concentration (μg/m3) | 7.46 (1.19) | 9.43 (1.15) | 10.84 (1.15) | 11.75 (1.39) |
| Mother’s age | ||||
| ≤19 years | 7.54 (26.4) | 7.72 (26.69) | 8.01 (27.14) | 8.47 (27.84) |
| 20–24 years | 23.95 (42.68) | 23.36 (42.31) | 22.79 (41.95) | 22.47 (41.74) |
| 25–29 years | 29.29 (45.51) | 28.78 (45.28) | 28.33 (45.06) | 27.61 (44.7) |
| 30–34 years | 24.82 (43.2) | 25.62 (43.65) | 25.95 (43.83) | 25.89 (43.8) |
| 35–39 years | 11.54 (31.95) | 11.7 (32.14) | 11.98 (32.48) | 12.42 (32.98) |
| 40–44 years | 2.68 (16.14) | 2.64 (16.04) | 2.74 (16.32) | 2.93 (16.87) |
| ≥45 years | 0.18 (4.27) | 0.19 (4.31) | 0.2 (4.42) | 0.21 (4.6) |
| Mother’s race | ||||
| Non-Hispanic white | 57.33 (49.46) | 58.74 (49.23) | 52.16 (49.95) | 44.66 (49.71) |
| Non-Hispanic black | 9.8 (29.73) | 13.95 (34.65) | 16.86 (37.44) | 18.43 (38.77) |
| Non-Hispanic other | 6.4 (24.48) | 6.67 (24.94) | 6.93 (25.4) | 7.42 (26.21) |
| Hispanic | 26.47 (44.12) | 20.64 (40.47) | 24.04 (42.73) | 29.49 (45.6) |
| Mother’s education | ||||
| No high school | 15.94 (36.6) | 16.07 (36.73) | 17.68 (38.15) | 19.31 (39.47) |
| High school/some college | 49.08 (49.99) | 46.22 (49.86) | 45.53 (49.8) | 44.96 (49.75) |
| College or more | 34.98 (47.69) | 37.71 (48.47) | 36.79 (48.22) | 35.73 (47.92) |
| Mother is married | 59.98 (48.99) | 60.95 (48.79) | 58.37 (49.3) | 55.66 (49.68) |
| Mother smoked cigarettes pre-pregnancy | 11.22 (31.56) | 12.44 (33) | 11.52 (31.92) | 9.62 (29.49) |
| Parity | ||||
| First child | 32.25 (46.75) | 33.01 (47.02) | 33.17 (47.08) | 34.01 (47.37) |
| Second child | 28.28 (45.03) | 28.64 (45.21) | 28.38 (45.08) | 27.89 (44.85) |
| Third or more child | 39.47 (48.88) | 38.35 (48.62) | 38.45 (48.65) | 38.1 (48.56) |
| Payment source for delivery | ||||
| Medicaid | 44.39 (49.68) | 41.88 (49.34) | 43.13 (49.53) | 47.92 (49.96) |
| Private insurance | 44.7 (49.72) | 49.02 (49.99) | 48.12 (49.96) | 44.39 (49.68) |
| Self-pay | 5.17 (22.14) | 4.01 (19.63) | 4.16 (19.97) | 3.28 (17.81) |
| Other | 5.74 (23.25) | 5.09 (21.98) | 4.59 (20.93) | 4.41 (20.54) |
| Child born female | 48.74 (49.98) | 48.85 (49.99) | 48.83 (49.99) | 48.88 (49.99) |
| Singleton delivery | 96.78 (17.66) | 96.5 (18.38) | 96.5 (18.38) | 96.64 (18.02) |
| Father’s age | ||||
| ≤19 years | 2.96 (16.95) | 2.95 (16.92) | 3.15 (17.48) | 3.43 (18.19) |
| 20–24 years | 15.82 (36.49) | 15.36 (36.06) | 14.98 (35.69) | 14.96 (35.67) |
| 25–29 years | 26.45 (44.11) | 25.69 (43.69) | 25.04 (43.32) | 24.51 (43.02) |
| 30–34 years | 27.55 (44.68) | 28.56 (45.17) | 28.74 (45.26) | 28.31 (45.05) |
| 35–39 years | 16.41 (37.04) | 16.98 (37.55) | 17.27 (37.8) | 17.54 (38.03) |
| 40–44 years | 7.23 (25.9) | 7.16 (25.79) | 7.4 (26.18) | 7.65 (26.59) |
| ≥45 years | 3.57 (18.56) | 3.3 (17.86) | 3.41 (18.14) | 3.6 (18.62) |
| Father’s race | ||||
| Non-Hispanic white | 57.48 (49.44) | 59.3 (49.13) | 53.23 (49.9) | 46.43 (49.87) |
| Non-Hispanic black | 9.45 (29.26) | 12.64 (33.23) | 14.42 (35.13) | 14.83 (35.54) |
| Non-Hispanic other | 6.87 (25.29) | 7.39 (26.17) | 7.72 (26.69) | 8.04 (27.2) |
| Hispanic | 26.2 (43.97) | 20.67 (40.49) | 24.63 (43.08) | 30.7 (46.13) |
| Father’s education | ||||
| No high school | 15.45 (36.14) | 15.2 (35.91) | 16.7 (37.3) | 18.37 (38.73) |
| High school/some college | 51.55 (49.98) | 48.73 (49.98) | 47.25 (49.92) | 46.06 (49.84) |
| College or more | 33.01 (47.02) | 36.07 (48.02) | 36.06 (48.02) | 35.57 (47.87) |
| County-level variables | ||||
| Average temperature during pregnancy | 58.25 (12.4) | 58 (8.86) | 58.37 (8.79) | 55.82 (6.52) |
| Average precipitation during pregnancy | 3.12 (1.97) | 3.24 (1.47) | 2.89 (1.32) | 2.67 (1.46) |
| Average unemployment during pregnancy | 8.41 (2.58) | 8.01 (2.4) | 8.8 (2.3) | 10.37 (2.53) |
| County racial composition | ||||
| Non-Hispanic white | 64.46 (22.13) | 64.9 (20.92) | 59 (22.59) | 52.06 (21.82) |
| Non-Hispanic black | 7.33 (8.52) | 12.07 (13.08) | 14.69 (12.96) | 16.21 (13.56) |
| Non-Hispanic other | 5.07 (7.49) | 5.46 (6.4) | 5.89 (5.08) | 6.51 (4.82) |
| Hispanic | 21.21 (19.51) | 15.66 (17.43) | 18.65 (17.45) | 23.52 (20.36) |
| Average poverty rate | 15.97 (4.98) | 15.76 (6.03) | 16.26 (5.07) | 17.86 (4.91) |
| Median household income | 50,023.7 (11434.19) | 53,576.41 (15402.29) | 52,584.86 (11941.65) | 49,845.36 (8493.12) |
| Physicians per 1000 individuals | 0.36 (1.15) | 0.35 (0.93) | 0.33 (0.54) | 0.39 (0.44) |
| Mean (SD) | ||||
|---|---|---|---|---|
| Post-birth PM2.5 concentration | ||||
| Category 1 | Category 2 | Category 3 | Category 4 | |
| [2.70 μg/m3, 8.00 μg/m3) | [8.00 μg/m3, 10.00 μg/m3) | [10.00 μg/m3, 12.00 μg/m3) | [12.00 μg/m3, 17.19 μg/m3) | |
| Individual-level variables | ||||
| Preconception PM2.5 concentration (μg/m3) | 7.4 (1.14) | 9.38 (1.1) | 10.95 (1.16) | 11.82 (1.3) |
| Mother’s age | ||||
| ≤19 years | 7.78 (26.78) | 7.89 (26.95) | 7.83 (26.86) | 7.8 (26.82) |
| 20–24 years | 24.39 (42.94) | 23.55 (42.43) | 22.49 (41.75) | 21.43 (41.03) |
| 25–29 years | 29.38 (45.55) | 28.88 (45.32) | 28.33 (45.06) | 26.49 (44.13) |
| 30–34 years | 24.46 (42.98) | 25.39 (43.52) | 26.3 (44.03) | 26.48 (44.12) |
| 35–39 years | 11.23 (31.57) | 11.52 (31.93) | 12.11 (32.62) | 14.02 (34.72) |
| 40–44 years | 2.59 (15.89) | 2.6 (15.91) | 2.75 (16.34) | 3.5 (18.37) |
| ≥45 years | 0.18 (4.18) | 0.18 (4.2) | 0.2 (4.48) | 0.27 (5.21) |
| Mother’s race | ||||
| Non-Hispanic white | 57.47 (49.44) | 59.92 (49.01) | 52.31 (49.95) | 30.43 (46.01) |
| Non-Hispanic black | 10.32 (30.43) | 14.09 (34.79) | 17.29 (37.82) | 10.91 (31.18) |
| Non-Hispanic other | 5.75 (23.28) | 6.65 (24.92) | 6.87 (25.3) | 10.8 (31.04) |
| Hispanic | 26.46 (44.11) | 19.33 (39.49) | 23.52 (42.41) | 47.86 (49.95) |
| Mother’s education | ||||
| No high school | 16.06 (36.71) | 16.2 (36.84) | 17.26 (37.79) | 21.85 (41.32) |
| High school/some college | 49.39 (50) | 46.15 (49.85) | 45.28 (49.78) | 45.52 (49.8) |
| College or more | 34.55 (47.55) | 37.65 (48.45) | 37.46 (48.4) | 32.63 (46.89) |
| Mother is married | 59.21 (49.14) | 61.2 (48.73) | 58.52 (49.27) | 55.08 (49.74) |
| Mother smoked cigarettes pre-pregnancy | 11.47 (31.86) | 12.98 (33.61) | 11.42 (31.8) | 4.14 (19.91) |
| Mother smoked cigarettes during pregnancy | 9.06 (28.7) | 9.99 (29.98) | 8.64 (28.09) | 3.07 (17.24) |
| Parity | ||||
| First child | 32.29 (46.76) | 33.1 (47.06) | 33.26 (47.11) | 33.46 (47.19) |
| Second child | 28.23 (45.01) | 28.64 (45.21) | 28.38 (45.08) | 28.12 (44.96) |
| Third or more child | 39.48 (48.88) | 38.26 (48.6) | 38.37 (48.63) | 38.41 (48.64) |
| Payment source for delivery | ||||
| Medicaid | 44.82 (49.73) | 42.06 (49.37) | 42.27 (49.4) | 52.07 (49.96) |
| Private insurance | 43.72 (49.6) | 49.04 (49.99) | 48.91 (49.99) | 41.23 (49.23) |
| Self-pay | 5.5 (22.8) | 3.84 (19.21) | 4.14 (19.91) | 3.57 (18.56) |
| Other | 5.96 (23.67) | 5.07 (21.93) | 4.68 (21.12) | 3.13 (17.41) |
| Child born female | 48.79 (49.99) | 48.84 (49.99) | 48.87 (49.99) | 48.76 (49.98) |
| Singleton delivery | 96.88 (17.39) | 96.59 (18.14) | 96.55 (18.26) | 96.86 (17.43) |
| Father’s age | ||||
| ≤19 years | 3.05 (17.2) | 2.98 (17) | 3.08 (17.29) | 3.51 (18.4) |
| 20–24 years | 16.12 (36.77) | 15.5 (36.19) | 14.69 (35.4) | 14.85 (35.56) |
| 25–29 years | 26.68 (44.23) | 25.88 (43.8) | 24.88 (43.23) | 23.38 (42.32) |
| 30–34 years | 27.37 (44.58) | 28.48 (45.13) | 29.03 (45.39) | 27.37 (44.59) |
| 35–39 years | 16.15 (36.79) | 16.82 (37.41) | 17.47 (37.98) | 18.28 (38.65) |
| 40–44 years | 7.09 (25.66) | 7.1 (25.68) | 7.44 (26.24) | 8.43 (27.78) |
| ≥45 years | 3.55 (18.51) | 3.23 (17.69) | 3.4 (18.13) | 4.18 (20) |
| Father’s race | ||||
| Non-Hispanic white | 57.75 (49.4) | 60.47 (48.89) | 53.57 (49.87) | 31.59 (46.49) |
| Non-Hispanic black | 9.86 (29.81) | 12.67 (33.26) | 14.75 (35.46) | 9.39 (29.16) |
| Non-Hispanic other | 6.27 (24.24) | 7.44 (26.24) | 7.6 (26.49) | 10.97 (31.25) |
| Hispanic | 26.12 (43.93) | 19.42 (39.56) | 24.08 (42.76) | 48.05 (49.96) |
| Father’s education | ||||
| No high school | 15.36 (36.05) | 15.24 (35.94) | 16.22 (36.86) | 22.69 (41.88) |
| High school/some college | 52.04 (49.96) | 48.64 (49.98) | 46.98 (49.91) | 46.25 (49.86) |
| College or more | 32.61 (46.88) | 36.13 (48.04) | 36.8 (48.23) | 31.06 (46.27) |
| County-level variables | ||||
| Average temperature during pregnancy | 58.67 (12.81) | 57.64 (9.08) | 58.09 (8.25) | 57.56 (6.51) |
| Average precipitation during pregnancy | 3.1 (1.92) | 3.26 (1.44) | 2.97 (1.37) | 1.81 (1.29) |
| Average unemployment during pregnancy | 8.45 (2.57) | 8.06 (2.42) | 8.76 (2.2) | 11.13 (2.78) |
| County racial composition | ||||
| Non-Hispanic white | 64.64 (22.69) | 65.9 (20.65) | 59.16 (21.91) | 38.94 (15.62) |
| Non-Hispanic black | 7.57 (8.41) | 12.32 (13.56) | 15.03 (13.03) | 10.21 (8.06) |
| Non-Hispanic other | 4.49 (6.8) | 5.37 (6.54) | 5.87 (5.06) | 10.04 (5.04) |
| Hispanic | 21.46 (20.41) | 14.47 (16.69) | 18.16 (16.68) | 39.04 (16.16) |
| Average poverty rate | 16.08 (5.03) | 15.72 (6.05) | 16.14 (4.95) | 19.23 (4.49) |
| Median household income | 48923.01 (10438.92) | 53399.45 (15823.55) | 52909.86 (11474.82) | 51726.89 (8044.06) |
| Physicians per 1000 individuals | 0.37 (1.18) | 0.35 (0.96) | 0.33 (0.46) | 0.32 (0.25) |
| Percentage Point Change | 95% Confidence Interval | |
|---|---|---|
| Panel A: Direct association between prenatal PM2.5 exposure and preterm birth | ||
| First trimester | ||
| Ref: <8 μg/m3 | ||
| [8.00–10.00 μg/m3) | 0.15 | [0.03, 0.26] |
| [10.00–12.00 μg/m3) | 0.08 | [−0.11, 0.27] |
| [12.00–19.16 μg/m3] | −0.08 | [−0.33, 0.18] |
| Second trimester | ||
| Ref: <8 μg/m3 | ||
| [8.00–10.00 μg/m3) | 0.37 | [0.25, 0.49] |
| [10.00–12.00 μg/m3) | 0.62 | [0.48, 0.77] |
| [12.00–19.16 μg/m3] | 0.74 | [0.56, 0.92] |
| Third trimester | ||
| Ref: <8 μg/m3 | ||
| [8.00–10.00 μg/m3) | 0.38 | [0.26, 0.49] |
| [10.00–12.00 μg/m3) | 0.71 | [0.55, 0.87] |
| [12.00–19.16 μg/m3] | 1.02 | [0.82, 1.21] |
| Panel B: Direct association between prenatal PM2.5 exposure and low birth weight | ||
| First trimester | ||
| Ref: <8 μg/m3 | ||
| [8.00–10.00 μg/m3) | 0.07 | [0.01, 0.12] |
| [10.00–12.00 μg/m3) | 0.08 | [0, 0.15] |
| [12.00–19.16 μg/m3] | 0 | [−0.09, 0.08] |
| Second trimester | ||
| Ref: <8 μg/m3 | ||
| [8.00–10.00 μg/m3) | 0.11 | [0.06, 0.17] |
| [10.00–12.00 μg/m3) | 0.15 | [0.08, 0.23] |
| [12.00–19.16 μg/m3] | 0.23 | [0.14, 0.31] |
| Third trimester | ||
| Ref: <8 μg/m3 | ||
| [8.00–10.00 μg/m3) | 0.13 | [0.07, 0.18] |
| [10.00–12.00 μg/m3) | 0.22 | [0.15, 0.29] |
| [12.00–19.16 μg/m3] | 0.35 | [0.26, 0.43] |
| Panel C: Direct association between preterm birth and low birth weight | ||
| Preterm birth | 49.67 | [49.29, 50.05] |
| Panel D: Direct association of prenatal and post-birth PM2.5 exposure with infant death | ||
| Prenatal exposure | ||
| First trimester | ||
| Ref: <8 μg/m3 | ||
| [8.00–10.00 μg/m3) | 0.03 | [0.01, 0.05] |
| [10.00–12.00 μg/m3) | 0.04 | [0.02, 0.07] |
| [12.00–19.16 μg/m3] | 0.04 | [0.01, 0.07] |
| Second trimester | ||
| Ref: <8 μg/m3 | ||
| [8.00–10.00 μg/m3) | 0.04 | [0.02, 0.06] |
| [10.00–12.00 μg/m3) | 0.04 | [0.02, 0.07] |
| [12.00–19.16 μg/m3] | 0.08 | [0.05, 0.11] |
| Third trimester | ||
| Ref: <8 μg/m3 | ||
| [8.00–10.00 μg/m3) | 0.03 | [0.01, 0.05] |
| [10.00–12.00 μg/m3) | 0.07 | [0.05, 0.09] |
| [12.00–19.16 μg/m3] | 0.1 | [0.07, 0.13] |
| Post-birth exposure | ||
| Ref: <8 μg/m3 | ||
| [8.00–10.00 μg/m3) | 0.03 | [0.02, 0.05] |
| [10.00–12.00 μg/m3) | 0.05 | [0.03, 0.07] |
| [12.00–17.19 μg/m3] | 0.05 | [0.02, 0.08] |
| Panel E: Direct association of preterm birth and low birth weight with infant death | ||
| Preterm birth | 2 | [1.93, 2.07] |
| Low birth weight | 3.64 | [3.55, 3.73] |
| Number of observations | 10,017,357 | |
| Average SRMR | 0 | |
| Percentage Point Change | 95% Confidence Interval | |
|---|---|---|
| Panel A: Direct association between prenatal PM2.5 exposure and preterm birth | ||
| First trimester | ||
| Ref: <8 μg/m3 | ||
| [8.00–10.00 μg/m3) | 0.15 | [0.03, 0.26] |
| [10.00–12.00 μg/m3) | 0.08 | [−0.11, 0.27] |
| [12.00–19.16 μg/m3] | −0.08 | [−0.33, 0.18] |
| Second trimester | ||
| Ref: <8 μg/m3 | ||
| [8.00–10.00 μg/m3) | 0.37 | [0.25, 0.49] |
| [10.00–12.00 μg/m3) | 0.62 | [0.48, 0.77] |
| [12.00–19.16 μg/m3] | 0.74 | [0.56, 0.92] |
| Third trimester | ||
| Ref: <8 μg/m3 | ||
| [8.00–10.00 μg/m3) | 0.38 | [0.26, 0.49] |
| [10.00–12.00 μg/m3) | 0.71 | [0.55, 0.87] |
| [12.00–19.16 μg/m3] | 1.02 | [0.82, 1.21] |
| Panel B: Direct association between prenatal PM2.5 exposure and low birth weight | ||
| First trimester | ||
| Ref: <8 μg/m3 | ||
| [8.00–10.00 μg/m3) | 0.07 | [0.01, 0.12] |
| [10.00–12.00 μg/m3) | 0.08 | [0, 0.15] |
| [12.00–19.16 μg/m3] | 0 | [−0.09, 0.08] |
| Second trimester | ||
| Ref: <8 μg/m3 | ||
| [8.00–10.00 μg/m3) | 0.11 | [0.06, 0.17] |
| [10.00–12.00 μg/m3) | 0.15 | [0.08, 0.23] |
| [12.00–19.16 μg/m3] | 0.23 | [0.14, 0.31] |
| Third trimester | ||
| Ref: <8 μg/m3 | ||
| [8.00–10.00 μg/m3) | 0.13 | [0.07, 0.18] |
| [10.00–12.00 μg/m3) | 0.22 | [0.15, 0.29] |
| [12.00–19.16 μg/m3] | 0.35 | [0.26, 0.43] |
| Panel C: Direct association between preterm birth and low birth weight | ||
| Preterm birth | 49.67 | [49.29, 50.05] |
| Panel D: Direct association of prenatal and post-birth PM2.5 exposure with infant death | ||
| Prenatal exposure | ||
| First trimester | ||
| Ref: <8 μg/m3 | ||
| [8.00–10.00 μg/m3) | 0.01 | [−0.01, 0.03] |
| [10.00–12.00 μg/m3) | 0.02 | [−0.01, 0.05] |
| [12.00–19.16 μg/m3] | 0.03 | [0, 0.07] |
| Second trimester | ||
| Ref: <8 μg/m3 | ||
| [8.00–10.00 μg/m3) | 0.04 | [0.02, 0.05] |
| [10.00–12.00 μg/m3) | 0.04 | [0.01, 0.06] |
| [12.00–19.16 μg/m3] | 0.07 | [0.04, 0.09] |
| Third trimester | ||
| Ref: <8 μg/m3 | ||
| [8.00–10.00 μg/m3) | 0.03 | [0.01, 0.05] |
| [10.00–12.00 μg/m3) | 0.07 | [0.05, 0.09] |
| [12.00–19.16 μg/m3] | 0.1 | [0.07, 0.13] |
| Post-birth exposure | ||
| Ref: <8 μg/m3 | ||
| [8.00–10.00 μg/m3) | 0.03 | [0.01, 0.05] |
| [10.00–12.00 μg/m3) | 0.02 | [0, 0.05] |
| [12.00–17.19 μg/m3] | 0 | [−0.03, 0.03] |
| Panel E: Direct association of preterm birth and low birth weight with infant death | ||
| Preterm birth | 2 | [1.93, 2.07] |
| Low birth weight | 3.64 | [3.55, 3.73] |
| Number of observations | 10,017,357 | |
| Average SRMR | 0 | |
| Direct Association | Indirect Association | Total Association | Proportion Mediated (%) | ||||
|---|---|---|---|---|---|---|---|
| Percentage Point Change | 95% Confidence Interval | Percentage Point Change | 95% Confidence Interval | Percentage Point Change | 95% Confidence Interval | ||
| Panel A: Direct and indirect associations of the prenatal PM2.5 exposure | |||||||
| First trimester | |||||||
| Ref: <8 μg/m3 | |||||||
| [8.00–10.00 μg/m3) | 0.03 | [0.01, 0.05] | 0.01 | [0, 0.02] | 0.04 | [0.02, 0.07] | 25% |
| [10.00–12.00 μg/m3) | 0.04 | [0.02, 0.07] | 0.01 | [0, 0.01] | 0.05 | [0.02, 0.08] | 20% |
| [12.00–19.16 μg/m3] | 0.04 | [0.01, 0.07] | 0 | [−0.02, 0.01] | 0.04 | [0, 0.07] | 0% |
| Second trimester | |||||||
| Ref: <8 μg/m3 | |||||||
| [8.00–10.00 μg/m3) | 0.04 | [0.02, 0.06] | 0.02 | [−0.01, 0.05] | 0.06 | [0.04, 0.08] | 33% |
| [10.00–12.00 μg/m3) | 0.04 | [0.02, 0.07] | 0.03 | [−0.02, 0.08] | 0.07 | [0.05, 0.1] | 43% |
| [12.00–19.16 μg/m3] | 0.08 | [0.05, 0.11] | 0.04 | [−0.03, 0.1] | 0.11 | [0.08, 0.15] | 36% |
| Third trimester | |||||||
| Ref: <8 μg/m3 | |||||||
| [8.00–10.00 μg/m3) | 0.03 | [0.01, 0.05] | 0.02 | [−0.01, 0.05] | 0.05 | [0.03, 0.07] | 40% |
| [10.00–12.00 μg/m3) | 0.07 | [0.05, 0.09] | 0.04 | [−0.03, 0.1] | 0.1 | [0.08, 0.13] | 40% |
| [12.00–19.16 μg/m3] | 0.1 | [0.07, 0.13] | 0.05 | [−0.04, 0.14] | 0.15 | [0.11, 0.18] | 33% |
| Panel B: Direct and indirect associations of the postnatal PM2.5 exposure | |||||||
| Ref: <8 μg/m3 | |||||||
| [8.00–10.00 μg/m3) | 0.03 | [0.02, 0.05] | - | - | 0.03 | [0.02, 0.05] | - |
| [10.00–12.00 μg/m3) | 0.05 | [0.03, 0.07] | - | - | 0.05 | [0.03, 0.07] | - |
| [12.00–19.16 μg/m3] | 0.05 | [0.02, 0.08] | - | - | 0.05 | [0.02, 0.08] | - |
| Direct Association | Indirect Association | Total Association | Proportion Mediated (%) | ||||
|---|---|---|---|---|---|---|---|
| Percentage Point Change | 95% Confidence Interval | Percentage Point Change | 95% Confidence Interval | Percentage Point Change | 95% Confidence Interval | ||
| Panel A: Direct and indirect associations of the prenatal PM2.5 exposure | |||||||
| First trimester | |||||||
| Ref: <8 μg/m3 | |||||||
| [8.00–10.00 μg/m3) | 0.01 | [−0.01, 0.03] | 0.01 | [0, 0.02] | 0.02 | [0, 0.04] | 50% |
| [10.00–12.00 μg/m3) | 0.02 | [−0.01, 0.05] | 0.01 | [0, 0.01] | 0.03 | [−0.01, 0.06] | 33% |
| [12.00–19.16 μg/m3] | 0.03 | [0, 0.07] | 0 | [−0.02, 0.01] | 0.03 | [−0.01, 0.07] | 0% |
| Second trimester | |||||||
| Ref: <8 μg/m3 | |||||||
| [8.00–10.00 μg/m3) | 0.04 | [0.02, 0.05] | 0.02 | [−0.01, 0.05] | 0.05 | [0.03, 0.07] | 40% |
| [10.00–12.00 μg/m3) | 0.04 | [0.01, 0.06] | 0.03 | [−0.02, 0.08] | 0.07 | [0.04, 0.09] | 43% |
| [12.00–19.16 μg/m3] | 0.07 | [0.04, 0.09] | 0.04 | [−0.03, 0.1] | 0.1 | [0.07, 0.13] | 40% |
| Third trimester | |||||||
| Ref: <8 μg/m3 | |||||||
| [8.00–10.00 μg/m3) | 0.03 | [0.01, 0.05] | 0.02 | [−0.01, 0.05] | 0.05 | [0.03, 0.07] | 40% |
| [10.00–12.00 μg/m3) | 0.07 | [0.05, 0.09] | 0.04 | [−0.03, 0.1] | 0.1 | [0.08, 0.13] | 40% |
| [12.00–19.16 μg/m3] | 0.1 | [0.07, 0.13] | 0.05 | [−0.04, 0.14] | 0.15 | [0.11, 0.18] | 33% |
| Panel B: Direct and indirect associations of the postnatal PM2.5 exposure | |||||||
| Ref: <8 μg/m3 | |||||||
| [8.00–10.00 μg/m3) | 0.03 | [0.01, 0.05] | - | - | 0.03 | [0.01, 0.05] | - |
| [10.00–12.00 μg/m3) | 0.02 | [0, 0.05] | - | - | 0.02 | [0, 0.05] | - |
| [12.00–19.16 μg/m3] | 0 | [−0.03, 0.03] | - | - | 0 | [−0.03, 0.03] | - |
References
- Adair-Rohani, H.; Brennan, L.J.; Marle-Noël, B.D.; Buka, I.; Forastiere, F.; Goldizen, F.; Gorman, J.; Gumy, S.; Ha, E.; Hong, Y.C.; et al. Air Pollution and Child Health: Prescribing Clean Air; World Health Organization: Geneva, Switzerland, 2018. [Google Scholar]
- Glinianaia, S.V.; Rankin, J.; Bell, R.; Pless-mulloli, T.; Howel, D. Children’ s Health Review Does Particulate Air Pollution Contribute to Infant Death ? A Systematic Review. Environ. Health Perspect. 2004, 112, 1365–1370. [Google Scholar] [CrossRef] [PubMed] [Green Version]
- Currie, J.; Neidell, M. Air pollution and infant health: What can we learn from california’s recent experience? Q. J. Econ. 2005, 120, 1003–1030. [Google Scholar]
- Son, J.; Lee, H.J.; Koutrakis, P.; Bell, M.L. Pregnancy and Lifetime Exposure to Fine Particulate Matter and Infant Mortality in Massachusetts, 2001–2007. Am. J. Epidemiol. 2017, 186, 1268–1276. [Google Scholar] [CrossRef]
- Son, J.; Bell, M.L.; Lee, J. Survival Analysis of Long-Term Exposure to Different Sizes of Airborne Particulate Matter and Risk of Infant Mortality Using a Birth Cohort in Seoul, Korea. Environ. Health Perspect. 2011, 119, 725–730. [Google Scholar] [CrossRef] [Green Version]
- Jung, E.M.; Kim, K.N.; Park, H.; Shin, H.H.; Kim, H.S.; Cho, S.J.; Kim, S.T.; Ha, E.H. Association between prenatal exposure to PM2.5 and the increased risk of specified infant mortality in South Korea|Elsevier Enhanced Reader. Environ. Int. 2020, 144, 105997. [Google Scholar] [CrossRef]
- Ritz, B.; Wilhelm, M.; Zhao, Y. Air Pollution and Infant Death in Southern California, 1989–2000. Pediatrics 2006, 118, 493–502. [Google Scholar] [CrossRef] [PubMed] [Green Version]
- Chay, K.Y.; Greenstone, M. The impact of air pollution on infant mortality: Evidence from geographic variation in pollution shocks induced by a recession. Q. J. Econ. 2003, 118, 1121–1167. [Google Scholar] [CrossRef]
- Bekkar, B.; Pacheco, S.; Basu, R.; Denicola, N. Association of Air Pollution and Heat Exposure with Preterm Birth, Low Birth Weight, and Stillbirth in the US A Systematic Review. JAMA Netw. Open 2020, 3, 1–13. [Google Scholar] [CrossRef]
- Centers for Disease Control and Prevention. Infant Mortality|Maternal and Infant Health|Reproductive Health|CDC. 2020. Available online: https://www.cdc.gov/reproductivehealth/maternalinfanthealth/infantmortality.htm (accessed on 22 February 2021).
- Martinelli, N.; Olivieri, O.; Girelli, D. Air particulate matter and cardiovascular disease: A narrative review. Eur. J. Intern. Med. 2013, 24, 295–302. [Google Scholar] [CrossRef]
- Brook, R.D.; Rajagopalan, S.; Pope, C.A., III; Brook, J.R.; Bhatnagar, A.; Diez-Roux, A.V.; Holguin, F.; Hong, Y.; Luepker, R.V.; Mittleman, M.A.; et al. Particulate Matter Air Pollution and Cardiovascular Disease An Update to the Scientific Statement From the American Heart Association. Circulation 2010, 121, 2331–2378. [Google Scholar] [CrossRef] [Green Version]
- Kannan, S.; Misra, D.P.; Dvonch, J.T.; Krishnakumar, A. Exposures to Airborne Particulate Matter and Adverse Perinatal Outcomes: A Biologically Plausible Mechanistic Framework for Exploring Potential Effect Modification by Nutrition Responses to PM Exposures. Environ. Health Perspect. 2006, 1636, 1636–1642. [Google Scholar] [CrossRef] [PubMed]
- Yorifuji, T.; Kashima, S.; Doi, H. Total Environment Acute exposure to fine and coarse particulate matter and infant mortality in Tokyo, Japan (2002–2013). Sci. Total Environ. 2016, 551–552, 66–72. [Google Scholar] [CrossRef]
- Bharadwaj, P.; Zivin, J.G.; Mullins, J.T.; Neidell, M. Early-Life Exposure to the Great Smog of 1952 and the Development of Asthma. Am. J. Respir. Crit. Care Med. 2016, 194, 1475–1482. [Google Scholar] [CrossRef] [PubMed] [Green Version]
- Currie, J.; Neidell, M.; Schmieder, J. Air Pollution And Infant Health: Lessons from New Jersey. J. Health Econ. 2009, 28, 688–703. [Google Scholar] [CrossRef] [Green Version]
- Stieb, D.M.; Chen, L.; Eshoul, M.; Judek, S. Ambient air pollution, birth weight and preterm birth: A systematic review and meta-analysis. Environ. Res. 2012, 117, 100–111. [Google Scholar] [CrossRef] [PubMed]
- Hernan, M.A.; Hernandez-Diaz, S.; Robins, J.M. A Structural Approach to Selection Bias. Epidemiology 2004, 15, 615–625. [Google Scholar] [CrossRef] [Green Version]
- Percy, Z.; DeFranco, E.; Xu, F.; Hall, E.S.; Haynes, E.N.; Jones, D.; Muglia, L.J.; Chen, A. Trimester specific PM2.5 exposure and fetal growth in Ohio, 2007–2010. Environ. Res. 2019, 171, 111–118. [Google Scholar] [CrossRef]
- Jung, C.-R.; Chen, W.-T.; Tang, Y.-H.; Hwang, B.-F. Fine particulate matter exposure during pregnancy and infancy and incident asthma. J. Allergy Clin. Immunol. 2019, 143, 2254–2262.e5. [Google Scholar] [CrossRef]
- Ram, P.K.; Dutt, D.; Silk, B.J.; Doshi, S.; Rudra, C.B.; Abedin, J.; Goswami, D.; Fry, A.M.; Brooks, W.A.; Luby, S.P.; et al. Household Air Quality Risk Factors Associated with Childhood Pneumonia in Urban Dhaka, Bangladesh. Am. J. Trop. Med. Hyg. 2014, 90, 968–975. [Google Scholar] [CrossRef] [Green Version]
- Centers for Disease Control and Prevention. Daily County-Level PM2.5 Concentation 2001–2014. Available online: https://data.cdc.gov/Environmental-Health-Toxicology/Daily-County-Level-PM2-5-Concentrations-2001-2014/qjju-smys/data (accessed on 11 February 2020).
- Downscaler Model for Predicting Daily Air Pollution. Available online: https://www.epa.gov/air-research/downscaler-model-predicting-daily-air-pollution (accessed on 17 February 2021).
- CMAQ: The Community Multiscale Air Quality Modeling System. Available online: https://www.epa.gov/cmaq (accessed on 17 February 2021).
- Administration NO and A. Climate at a Glance. Available online: https://www.ncdc.noaa.gov/cag/county/mapping%0A (accessed on 25 June 2020).
- Bureau UC. Population Estimates. Available online: https://www2.census.gov/programs-surveys/popest/datasets/ (accessed on 30 June 2020).
- Bureau UC. Poverty: Data 2019. Available online: https://www.census.gov/topics/income-poverty/poverty.html (accessed on 17 February 2021).
- Statistics B of L. Local Area Unemployment Statistics 2019. Available online: https://www.bls.gov/lau/ (accessed on 17 February 2021).
- Services C for M & M. CMS Provider of Services Files. Available online: https://www.cms.gov/Research-Statistics-Data-and-Systems/Downloadable-Public-Use-Files/Provider-of-Services/POS2010 (accessed on 29 June 2020).
- Rich, D.Q.; Liu, K.; Zhang, J.; Thurston, S.W.; Stevens, T.P.; Pan, Y.; Kane, C.; Weinberger, B.; Ohman-Strickland, P.; Woodruff, T.J.; et al. Differences in Birth Weight Associated with the 2008 Beijing Olympics Air Pollution Reduction: Results from a Natural Experiment. Environ. Health Perspect. 2015, 123, 880–887. [Google Scholar] [CrossRef] [Green Version]
- Donahue, S.M.A.; Kleinman, K.P.; Gillman, M.W.; Oken, E. Trends in Birth Weight and Gestational Length Among Singleton Term Births in the United States. Obstet. Gynecol. 2010, 115, 357–364. [Google Scholar] [CrossRef]
- Kline, R. Principles and Practice of Structural Equation Modeling, 4th ed.; The Guilford Press: New York, NY, USA, 2016. [Google Scholar]
- Jeffrey, M. Wooldridge. In Advanced Panel Data Methods. Introductory Econometrics: A Modern Approach, 6th ed.; Cengage Learning: Boston, MA, USA, 2016; Chapter 14; pp. 434–460. [Google Scholar]
- Huber, P.J. The behavior of maximum likelihood estimates under nonstandard conditions. In Proceedings of the Fifth Berkeley Symposium on Mathematical Statistics and Probability, Berkeley, CA, USA, 18–21 June 1965; University of California Press: Berkeley, CA, USA, 1967; pp. 221–233. [Google Scholar]
- Rubin, D.B. Multiple Imputation for Non-Response in Surveys; John Wiley & Sons, Inc.: New York, NY, USA, 1987. [Google Scholar]
- Heft-Neal, S.; Burney, J.; Bendavid, E.; Burke, M. Robust relationship between air quality and infant mortality in Africa. Nature 2018, 559, 254–258. [Google Scholar] [CrossRef]
- World Health Organization. Ambient (Outdoor) Air Pollution. 2018. Available online: https://www.who.int/news-room/fact-sheets/detail/ambient-(outdoor)-air-quality-and-health (accessed on 30 November 2020).
- Agency USEP. National Ambient Air Quality Standards for Particulate Matter; Final Rule; United States Environmental Protection Agency: Washington, DC, USA, 2013; Volume 78.
- Stata Corp LP. Stata Statistical Software: Release 15 2017; Stata Press Publication: College Station, TX, USA, 2017. [Google Scholar]
- RStudio Team. RStudio: Integrative Development for R. RStudio; PBC: Boston, MA, USA, 2020; Available online: http://www.rstudio.com/ (accessed on 29 October 2021).
- Honaker, J.; King, G.; Blackwell, M. Amelia II: A Program for Missing Data. J. Stat. Softw. 2011, 45, 1–47. [Google Scholar] [CrossRef]
- Di, Q.; Wang, Y.; Zanobetti, A.; Wang, Y.; Koutrakis, P.; Choirat, C.; Dominici, F.; Schwartz, J.D. Air Pollution and Mortality in the Medicare Population. N. Engl. J. Med. 2017, 376, 2513–2522. [Google Scholar] [CrossRef] [PubMed]
- Xiong, L.; Xu, Z.; Wang, H.; Liu, Z.; Xie, D.; Wang, A.; Kong, F. The association between ambient air pollution and birth defects in four cities in Hunan province, China, from 2014 to 2016. Medicine 2019, 98, e14253. [Google Scholar] [CrossRef] [PubMed]
- Vrijheid, M.; Martinez, D.; Manzanares, S.; Dadvand, P.; Schembari, A.; Rankin, J.; Nieuwenhuijsen, M. Review Ambient Air Pollution and Risk of Congenital Anomalies: A Systematic Review and Meta-analysis. Environ. Health Perspect. 2011, 598, 598–606. [Google Scholar] [CrossRef] [PubMed]
- VanderWeele, T.J. Mediation Analysis: A Practitioner’s Guide. Annu. Rev. Public Health 2016, 37, 17–32. [Google Scholar] [CrossRef] [PubMed] [Green Version]
- Bell, M.L.; Dominici, F.; Ebisu, K.; Zeger, S.L.; Samet, J.M. Spatial and Temporal Variation in PM 2.5 Chemical Composition in the United States for Health Effects Studies. Environ. Health Perspect. 2007, 115, 989–995. [Google Scholar] [CrossRef] [PubMed] [Green Version]
- Goyal, N.; Karra, M.; Canning, D. Early-life exposure to ambient fine particulate air pollution and infant mortality: Pooled evidence from 43 low- and middle-income countries. Int. J. Epidemiol. 2019, 48, 1125–1141. [Google Scholar] [CrossRef]
- Woodruff, T.J.; Darrow, L.A.; Parker, J.D. Air Pollution and Postneonatal Infant Mortality in the United States, 1999–2002. Environ. Health Perspect. 2008, 116, 110–115. [Google Scholar] [CrossRef] [Green Version]
- Klonoff-Cohen, H.; Lam, P.K.; Lewis, A. Outdoor carbon monoxide, nitrogen dioxide, and sudden infant death syndrome. Arch. Dis. Child. 2005, 90, 750–753. [Google Scholar] [CrossRef] [Green Version]
- Bell, M.L.; Kim, J.Y.; Dominici, F. Potential confounding of particulate matter on the short-term association between ozone and mortality in multisite time-series studies. Environ. Health Perspect. 2007, 115, 1591–1595. [Google Scholar] [CrossRef] [PubMed]
- Anderson, G.B.; Krall, J.R.; Peng, R.D.; Bell, M.L. Is the Relation Between Ozone and Mortality Confounded by Chemical Components of Particulate Matter? Analysis of 7 Components in 57 US Communities. Am. J. Epidemiol. 2012, 176, 726–732. [Google Scholar] [CrossRef] [Green Version]
- Ito, K.; De Leon, S.F.; Lippmann, M. Associations between ozone and daily mortality: Analysis and meta-analysis. Epidemiology 2005, 16, 446–457. [Google Scholar] [CrossRef] [PubMed]
- Thurston, G.D.; Ito, K. Epidemiological studies of acute ozone exposures and mortality. J. Expo. Anal. Environ. Epidemiol. 2001, 11, 286–294. [Google Scholar] [CrossRef] [Green Version]
- Faiz, A.S.; Rhoads, G.G.; Demissie, K.; Kruse, L.; Lin, Y.; Rich, D.Q. Ambient Air Pollution and the Risk of Stillbirth. Am. J. Epidemiol. 2012, 176, 308–316. [Google Scholar] [CrossRef] [PubMed]
- Bell, M.L.; Dominici, F.; Samet, J.M. A Meta-Analysis of Time-Series Studies of Ozone and Mortality With Comparison to the National Morbidity, Mortality, and Air Pollution Study. Epidemiology 2005, 16, 436–445. [Google Scholar] [CrossRef]
- Bell, M.L.; McDermott, A.; Zeger, S.L.; Samet, J.M.; Dominici, F. Ozone and Short-term Mortality in 95 US Urban Communities, 1987–2000. JAMA 2004, 292, 2372–2378. [Google Scholar] [CrossRef] [Green Version]
- Bell, M.; Belanger, K. Review of research on residential mobility during pregnancy: Consequences for assessment of prenatal environmental exposures. J. Expo. Sci. Environ. Epidemiol. 2012, 22, 429–438. [Google Scholar] [CrossRef] [Green Version]
- Saadeh, F.B.; Clark, M.A.; Rogers, M.L.; Linkletter, C.D.; Phipps, M.G.; Padbury, J.F.; Vivier, P.M. Pregnant and Moving: Understanding Residential Mobility during Pregnancy and in the First Year of Life using a Prospective Birth Cohort. Matern. Child Health J. 2013, 17, 330–343. [Google Scholar] [CrossRef]
- Pickett, A.R.; Bell, M.L. Assessment of Indoor Air Pollution in Homes with Infants. Int. J. Environ. Res. Public Health 2011, 8, 4502–4520. [Google Scholar] [CrossRef]
- US EPA O. Indoor Air Quality 2017. Available online: https://www.epa.gov/report-environment/indoor-air-quality (accessed on 23 November 2021).
- Kioumourtzoglou, M.A.; Raz, R.; Wilson, A.; Fluss, R.; Nirel, R.; Broday, D.M. Traffic-Related Air Pollution and Pregnancy Loss. Epidemiology 2019, 30, 4–10. [Google Scholar] [CrossRef] [PubMed]
- Zhang, Y.; Wang, J.; Chen, L.; Yang, H.; Zhang, B.; Wang, Q.; Hu, L.; Zhang, N.; Vedal, S.; Xue, F.; et al. Ambient PM(2.5) and clinically recognized early pregnancy loss: A case-control study with spatiotemporal exposure predictions. Environ. Int. 2019, 126, 422–429. [Google Scholar] [CrossRef] [PubMed]
- Raz, R.; Kioumourtzoglou, M.-A.; Weisskopf, M.G. Live-Birth Bias and Observed Associations Between Air Pollution and Autism. Am. J. Epidemiol. 2018, 187, 2292–2296. [Google Scholar] [CrossRef] [Green Version]
- Nobles, J.; Hamoudi, A. Detecting the Effects of Early-Life Exposures: Why Fecundity Matters. Popul. Res. Policy Rev. 2019, 38, 783–809. [Google Scholar] [CrossRef] [Green Version]
- Leung, M.; Kioumourtzoglou, M.A.; Raz, R.; Weisskopf, M.G. Bias due to Selection on Live Births in Studies of Environmental Exposures during Pregnancy: A Simulation Study. Environ. Health Perspect. 2021, 129, 047001. [Google Scholar] [CrossRef]



| Mean (SD) | |
|---|---|
| Overall | |
| Individual-level variables | |
| Preconception PM2.5 concentration (μg/m3) | 9.67 (1.76) |
| Mother’s age | |
| ≤19 years | 7.83 (26.86) |
| 20–24 years | 23.23 (42.23) |
| 25–29 years | 28.65 (45.21) |
| 30–34 years | 25.59 (43.64) |
| 35–39 years | 11.81 (32.27) |
| 40–44 years | 2.7 (16.21) |
| ≥45 years | 0.19 (4.36) |
| Mother’s race | |
| Non-Hispanic white | 55.33 (49.72) |
| Non-Hispanic black | 14.42 (35.13) |
| Non-Hispanic other | 6.75 (25.09) |
| Hispanic | 23.5 (42.4) |
| Mother’s education | |
| No high school | 16.8 (37.38) |
| High school/some college | 46.47 (49.87) |
| College or more | 36.74 (48.21) |
| Mother is married | 59.54 (49.08) |
| Mother smoked cigarettes pre-pregnancy | 11.71 (32.16) |
| Parity | |
| First child | 32.97 (47.01) |
| Second child | 28.44 (45.11) |
| Third or more child | 38.59 (48.68) |
| Payment source for delivery | |
| Medicaid | 43.16 (49.53) |
| Private insurance | 47.59 (49.94) |
| Self-pay | 4.25 (20.16) |
| Other | 5 (21.8) |
| Child born female | 48.82 (49.99) |
| Singleton delivery | 96.56 (18.22) |
| Father’s age | |
| ≤19 years | 3.05 (17.2) |
| 20–24 years | 15.3 (36) |
| 25–29 years | 25.55 (43.61) |
| 30–34 years | 28.41 (45.1) |
| 35–39 years | 17 (37.56) |
| 40–44 years | 7.29 (26) |
| ≥45 years | 3.41 (18.14) |
| Father’s race | |
| Non-Hispanic white | 56.08 (49.63) |
| Non-Hispanic black | 12.75 (33.36) |
| Non-Hispanic other | 7.44 (26.24) |
| Hispanic | 23.73 (42.54) |
| Father’s education | |
| No high school | 15.96 (36.62) |
| High school/some college | 48.62 (49.98) |
| College or more | 35.43 (47.83) |
| County-level variables | |
| Average temperature during pregnancy | 58.05 (9.54) |
| Average precipitation during pregnancy | 3.06 (1.54) |
| Average unemployment during pregnancy | 8.51 (2.48) |
| County racial composition | |
| Non-Hispanic white | 61.99 (22.11) |
| Non-Hispanic black | 12.3 (12.62) |
| Non-Hispanic other | 5.6 (6.14) |
| Hispanic | 18.26 (18.22) |
| Average poverty rate | 16.1 (5.47) |
| Median household income (USD) | 52,311.3 (13,252.36) |
| Physicians per 1000 individuals | 0.35 (0.85) |
| Percentage Point Change | 95% Confidence Interval | |
|---|---|---|
| Panel A: Direct association between prenatal PM2.5 exposure and preterm birth | ||
| First trimester | ||
| Ref: <8 μg/m3 | ||
| [8.00–10.00 μg/m3) | 0.15 | [0.03, 0.26] |
| [10.00–12.00 μg/m3) | 0.08 | [−0.11, 0.27] |
| [12.00–19.16 μg/m3] | −0.08 | [−0.33, 0.18] |
| Second trimester | ||
| Ref: <8 μg/m3 | ||
| [8.00–10.00 μg/m3) | 0.37 | [0.25, 0.49] |
| [10.00–12.00 μg/m3) | 0.62 | [0.48, 0.77] |
| [12.00–19.16 μg/m3] | 0.74 | [0.56, 0.92] |
| Third trimester | ||
| Ref: <8 μg/m3 | ||
| [8.00–10.00 μg/m3) | 0.38 | [0.26, 0.49] |
| [10.00–12.00 μg/m3) | 0.71 | [0.55, 0.87] |
| [12.00–19.16 μg/m3] | 1.02 | [0.82, 1.21] |
| Panel B: Direct association between prenatal PM2.5 exposure and low birth weight | ||
| First trimester | ||
| Ref: <8 μg/m3 | ||
| [8.00–10.00 μg/m3) | 0.07 | [0.01, 0.12] |
| [10.00–12.00 μg/m3) | 0.08 | [0, 0.15] |
| [12.00–19.16 μg/m3] | 0 | [−0.09, 0.08] |
| Second trimester | ||
| Ref: <8 μg/m3 | ||
| [8.00–10.00 μg/m3) | 0.11 | [0.06, 0.17] |
| [10.00–12.00 μg/m3) | 0.15 | [0.08, 0.23] |
| [12.00–19.16 μg/m3] | 0.23 | [0.14, 0.31] |
| Third trimester | ||
| Ref: <8 μg/m3 | ||
| [8.00–10.00 μg/m3) | 0.13 | [0.07, 0.18] |
| [10.00–12.00 μg/m3) | 0.22 | [0.15, 0.29] |
| [12.00–19.16 μg/m3] | 0.35 | [0.26, 0.43] |
| Panel C: Direct association between preterm birth and low birth weight | ||
| Preterm birth | 49.67 | [49.29, 50.05] |
| Panel D: Direct association of prenatal and post-birth PM2.5 exposure with infant death | ||
| Prenatal exposure | ||
| First trimester | ||
| Ref: <8 μg/m3 | ||
| [8.00–10.00 μg/m3) | 0.03 | [0.01, 0.05] |
| [10.00–12.00 μg/m3) | 0.04 | [0.01, 0.06] |
| [12.00–19.16 μg/m3] | 0.03 | [0, 0.06] |
| Second trimester | ||
| Ref: <8 μg/m3 | ||
| [8.00–10.00 μg/m3) | 0.04 | [0.02, 0.05] |
| [10.00–12.00 μg/m3) | 0.04 | [0.01, 0.06] |
| [12.00–19.16 μg/m3] | 0.07 | [0.04, 0.09] |
| Third trimester | ||
| Ref: <8 μg/m3 | ||
| [8.00–10.00 μg/m3) | 0.03 | [0.02, 0.05] |
| [10.00–12.00 μg/m3) | 0.07 | [0.05, 0.09] |
| [12.00–19.16 μg/m3] | 0.1 | [0.06, 0.13] |
| Post-birth exposure | ||
| Ref: <8 μg/m3 | ||
| [8.00–10.00 μg/m3) | 0.04 | [0.01, 0.07] |
| [10.00–12.00 μg/m3) | 0 | [−0.03, 0.04] |
| [12.00–17.19 μg/m3] | −0.01 | [−0.07, 0.05] |
| Panel E: Direct association of preterm birth and low birth weight with infant death | ||
| Preterm birth | 2 | [1.93, 2.07] |
| Low birth weight | 3.64 | [3.55, 3.73] |
| Number of observations | 10,017,357 | |
| Average SRMR | 0 | |
| Direct Association | Indirect Association | Total Association | Proportion Mediated (%) | ||||
|---|---|---|---|---|---|---|---|
| Percentage Point Change | 95% Confidence Interval | Percentage Point Change | 95% Confidence Interval | Percentage Point Change | 95% Confidence Interval | ||
| Panel A: Direct and indirect associations of the prenatal PM2.5 exposure | |||||||
| First trimester | |||||||
| Ref: <8 μg/m3 | |||||||
| [8.00–10.00 μg/m3) | 0.03 | [0.01, 0.05] | 0.01 | [0, 0.02] | 0.04 | [0.01, 0.06] | 25% |
| [10.00–12.00 μg/m3) | 0.04 | [0.01, 0.06] | 0.01 | [0, 0.01] | 0.04 | [0.01, 0.07] | 25% |
| [12.00–19.16 μg/m3] | 0.03 | [0, 0.06] | 0 | [−0.02, 0.01] | 0.03 | [−0.01, 0.07] | 0% |
| Second trimester | |||||||
| Ref: <8 μg/m3 | |||||||
| [8.00–10.00 μg/m3) | 0.04 | [0.02, 0.05] | 0.02 | [−0.01, 0.05] | 0.05 | [0.03, 0.07] | 40% |
| [10.00–12.00 μg/m3) | 0.04 | [0.01, 0.06] | 0.03 | [−0.02, 0.08] | 0.07 | [0.04, 0.09] | 43% |
| [12.00–19.16 μg/m3] | 0.07 | [0.04, 0.09] | 0.04 | [−0.03, 0.1] | 0.1 | [0.07, 0.13] | 40% |
| Third trimester | |||||||
| Ref: <8 μg/m3 | |||||||
| [8.00–10.00 μg/m3) | 0.03 | [0.02, 0.05] | 0.02 | [−0.01, 0.05] | 0.05 | [0.03, 0.07] | 40% |
| [10.00–12.00 μg/m3) | 0.07 | [0.05, 0.09] | 0.04 | [−0.03, 0.1] | 0.1 | [0.08, 0.13] | 40% |
| [12.00–19.16 μg/m3] | 0.1 | [0.06, 0.13] | 0.05 | [−0.04, 0.14] | 0.15 | [0.11, 0.18] | 33% |
| Panel B: Direct and indirect associations of the postnatal PM2.5 exposure | |||||||
| Ref: <8 μg/m3 | |||||||
| [8.00–10.00 μg/m3) | 0.04 | [0.01, 0.07] | - | - | 0.04 | [0.01, 0.07] | - |
| [10.00–12.00 μg/m3) | 0 | [−0.03, 0.04] | - | - | 0 | [−0.03, 0.04] | - |
| [12.00–19.16 μg/m3] | −0.01 | [−0.07, 0.05] | - | - | −0.01 | [−0.07, 0.05] | - |
Publisher’s Note: MDPI stays neutral with regard to jurisdictional claims in published maps and institutional affiliations. |
© 2021 by the authors. Licensee MDPI, Basel, Switzerland. This article is an open access article distributed under the terms and conditions of the Creative Commons Attribution (CC BY) license (https://creativecommons.org/licenses/by/4.0/).
Share and Cite
Khadka, A.; Canning, D. Understanding the Pathways from Prenatal and Post-Birth PM2.5 Exposure to Infant Death: An Observational Analysis Using US Vital Records (2011–2013). Int. J. Environ. Res. Public Health 2022, 19, 258. https://doi.org/10.3390/ijerph19010258
Khadka A, Canning D. Understanding the Pathways from Prenatal and Post-Birth PM2.5 Exposure to Infant Death: An Observational Analysis Using US Vital Records (2011–2013). International Journal of Environmental Research and Public Health. 2022; 19(1):258. https://doi.org/10.3390/ijerph19010258
Chicago/Turabian StyleKhadka, Aayush, and David Canning. 2022. "Understanding the Pathways from Prenatal and Post-Birth PM2.5 Exposure to Infant Death: An Observational Analysis Using US Vital Records (2011–2013)" International Journal of Environmental Research and Public Health 19, no. 1: 258. https://doi.org/10.3390/ijerph19010258
APA StyleKhadka, A., & Canning, D. (2022). Understanding the Pathways from Prenatal and Post-Birth PM2.5 Exposure to Infant Death: An Observational Analysis Using US Vital Records (2011–2013). International Journal of Environmental Research and Public Health, 19(1), 258. https://doi.org/10.3390/ijerph19010258
