Next Article in Journal
Occurrence of Antibiotic-Resistant Staphylococcus spp. in Orange Orchards in Thailand
Previous Article in Journal
Farmer Mental Health Interventions: A Systematic Review
 
 
Font Type:
Arial Georgia Verdana
Font Size:
Aa Aa Aa
Line Spacing:
Column Width:
Background:
Article

Habitat Segregation Patterns of Container Breeding Mosquitos: The Role of Urban Heat Islands, Vegetation Cover, and Income Disparity in Cemeteries of New Orleans

by
Rebeca de Jesús Crespo
* and
Rachel Elba Rogers
Department of Environmental Sciences, Louisiana State University, Baton Rouge, LA 70803, USA
*
Author to whom correspondence should be addressed.
Int. J. Environ. Res. Public Health 2022, 19(1), 245; https://doi.org/10.3390/ijerph19010245
Submission received: 25 September 2021 / Revised: 28 November 2021 / Accepted: 23 December 2021 / Published: 26 December 2021

Abstract

:
Aedes aegypti and Aedes albopictus are important pathogen-carrying vectors that broadly exhibit similar habitat suitability, but that differ at fine spatial scales in terms of competitive advantage and tolerance to urban driven environmental parameters. This study evaluated how spatial and temporal patterns drive the assemblages of these competing species in cemeteries of New Orleans, LA, applying indicators of climatic variability, vegetation, and heat that may drive habitat selection at multiple scales. We found that Ae. aegypti was well predicted by urban heat islands (UHI) at the cemetery scale and by canopy cover directly above the cemetery vase. As predicted, UHI positively correlate to Ae. aegypti, but contrary to predictions, Ae. aegypti, was more often found under the canopy of trees in high heat cemeteries. Ae. albopictus was most often found in low heat cemeteries, but this relationship was not statistically significant, and their overall abundances in the city were lower than Ae. aegypti. Culex quinquefasciatus, another important disease vector, was also an abundant mosquito species during the sampling year, but we found that it was temporally segregated from Aedes species, showing a negative association to the climatic variables of maximum and minimum temperature, and these factors positively correlated to its more direct competitor Ae. albopictus. These findings help us understand the mechanism by which these three important vectors segregate both spatially and temporally across the city. Our study found that UHI at the cemetery scale was highly predictive of Ae. aegypti and strongly correlated to income level, with low-income cemeteries having higher UHI levels. Therefore, the effect of excessive heat, and the proliferation of the highly competent mosquito vector, Ae. aegypti, may represent an unequal disease burden for low-income neighborhoods of New Orleans that should be explored further. Our study highlights the importance of considering socioeconomic aspects as indirectly shaping spatial segregation dynamics of urban mosquito species.

1. Introduction

The container-breeding mosquitos, Aedes aegypti and Aedes albopictus, are important pathogen-carrying vectors that thrive in urban environments. Although these mosquitos may share habitat suitability broadly, at fine spatial scales they have different levels of tolerance to urban driven environmental changes and differing competitive advantages [1,2]. Aedes albopictus is thought to be a superior competitor due to its ability to better exploit food resources, such as leaf litter within container habitats at the larval stage [1,2,3]. This competitive advantage has been linked to a displacement of Ae. aegypti, from urban areas across the United States, where Ae. albopictus has been introduced [2]. Aedes aegypti’s competitive inferiority may be alleviated by its higher ability to tolerate heat and egg desiccation [1,2], which may be especially common within cities due to urban heat island (UHI) effects. This interplay between competitive ability to exploit resources and the ability to disperse across urban-heat island patches may allow for the coexistence of these two species in certain places, rather than complete competitive exclusion [2,4].
The ability of container mosquitoes to segregate spatially across a city’s landscape is also influenced by the actual availability of container habitats where mosquito larvae can develop. Container mosquitos often exploit human made items such as automobile tires, flowerpots, and other discarded water holding vessels. Container habitat availability is in turn influenced by a variety of socioeconomic factors. In the USA, studies have shown that container mosquitos and their habitats increase proportionally with abandoned properties, urban disinvestment, and waste mismanagement, all of which are factors that disproportionally affect low-income neighborhoods [5,6,7,8]. This highlights the importance of considering heterogeneity in the social dimension of the urban landscape when evaluating mosquito vector community assemblages.
An underlying factor jointly associated with socioeconomic disparities and urban heat islands is that of urban vegetation cover. Within a city, vegetation provides a cooling effect by means of shading and evapotranspiration, and this effect has been shown consistently to mitigate UHI [9]. However, the distribution of vegetation can be affected by factors such as “the luxury effect”, wherein higher income neighborhoods may be better able to afford green space management, historical urban legacies, which may vary by context, and education level, which links to knowledge and perceptions about ecosystem services [10]. Important ecosystem services provided by urban vegetation, such as shading, air purification, and improved neighborhood aesthetics, have been linked to health factors such as higher physical activity, lower cardiovascular disease, and improved mental health [11,12]. However, few studies have linked vegetation cover to ecosystem services that affect the dynamics of mosquito-borne diseases [13].
In the context of the coexistence of Ae. albopictus and Ae. aegypti, vegetation driven differences in habitat selection due to food sources or microhabitat qualities may be relevant for human health. Aedes albopictus, which is often associated with more vegetated and cooler habitats [2] and which is better able to exploit leaf litter as a food source [1,2,3], is also a less effective vector for one of the most prevalent mosquito borne disease, dengue fever. This is due partly to its lower infectivity rates to certain dengue virus serotypes [14], and partly due to its higher frequency of feeding on non-human hosts [15]. Therefore, vegetation cover in a city could be thought of as providing an indirect ecosystem service that limits the presence of the most competent mosquito vector, Ae. aegypti. Conversely, UHI, and climate change may have the opposite effect.
In this study, we evaluate linkages between temporal abiotic factors (rainfall, temperature), landscape level factors (UHI, vegetation cover, and income disparities), and microhabitat level factors (canopy cover) to the abundance patterns of Ae. aegypti and Ae. albopictus larvae in cemeteries of New Orleans, Louisiana. Our study approach used a multi-scale habitat evaluation (see graphical abstract), where abiotic drivers are contextualized with aspects of importance to spatial segregation at the cemetery scale, the container scale and temporally. We hypothesize that the two species coincide temporally in relation to rainfall and temperature suggesting overlap in their abiotic requirements in New Orleans. We hypothesize that Ae. albopictus’ sensitivity to heat limits its presence in un-vegetated heat islands within the city. At the micro-scale (cemetery vases), where larval competition is likely to occur, we hypothesize that canopy cover from trees would favor Ae. albopictus and exclude Ae. aegypti, due to the latter’s competitive inferiority in exploiting resources, particularly leaf litter.

2. Materials and Methods

2.1. Study Site

We focused our study on the city of New Orleans, Louisiana, located in southeastern USA. (Figure 1). The city is home to 390,144 residents, and has a population density of 5255 people per km2 [16]. Median income in 2019 was estimated to be USD 41,604 [16]. Average precipitation is 1590 mm annually, and temperature averages range from 11.9 °C in the winter to 28.5 °C in the summer. New Orleans is one of the few locations in the USA, where Ae. aegypti, and Ae. albopictus are known to currently coexist [2].
Within New Orleans, we focused our study in cemeteries across the city. Cemeteries are ideal locations for the study of these species. They provide ample containers as larval rearing sites, as well as shelter and food sources for adults, both in terms of sugar sources from ornamental plants, and blood sources from cemetery visitors [17]. For research, they are ideal locations to study as they provide easier access to larvae samples, compared to sampling in private residences [17], and unlike discarded container habitats (e.g., trash and waste) they are often distributed equally across neighborhoods of different socioeconomic characteristics. Because vegetation was an important factor of interest, we first selected five cemeteries that had a mixture of trees and open spaces for comparison. In addition, we sampled two cemeteries that had been reported to have populations of Ae. aegypti, on previous studies [18]. The seven cemeteries selected were in the planning districts of Lakeview (Metairie and Holt cemeteries, New Orleans, LA, USA), Uptown (Carrolton cemetery, New Orleans, LA, USA), Central City (Lafayette no. 1 and Lafayette no. 2 cemeteries, New Orleans, LA, USA) and St. Roch (St. Roch and St. Vincent de Paul cemeteries, New Orleans, LA, USA). These cemeteries span a gradient of income levels above and below the median income for New Orleans (Table 1). Sampling was limited to areas of the cemetery within nearest to residential neighborhoods (~150 m) to ensure feeding sources for adult female mosquitos within their flight range.

2.2. Mosquito Larvae Collection

Sampling took place monthly between January 2020 and December 2020, with the exception of March 2020 due to COVID 19 stay at home orders. Two people inspected cemetery vases until larvae positive vases were found, both under the canopy of tree and under open space. If no larvae sample was found after 30 min. of searching a cemetery, the search concluded. Because of the size of the cemetery, this timeframe was considered sufficient to cover the entire cemetery by two people. The largest cemetery, Metairie, was sampled in the area closest to a residential neighborhood, and divided into three sections, all of which were inspected for a maximum of 30 min. On each sampling occasion, a maximum of six samples were collected in this larger cemetery, whereas a maximum of two samples (one open, one closed) were collected on other cemeteries. Water in the container, including larvae was mixed and collected entirely for analysis in the laboratory. Samples were stored in a cooler until larvae identification. Larvae were counted and identified to species using morphological keys [19]. During each sampling event, the sampled vase was emptied of contents and returned to its place. Therefore, some vases may have been sampled in more than one occasion. However, we considered each sample independent because contents were entirely removed between sampling events.
During the months of May to December 2020, a container survey was conducted on each sampling event, where all water-filled containers found with and without larvae during the 30-min search were counted and classified as larvae positive or larvae negative. This effort was meant to capture the number of vases inspected during our search period and the actual availability of larvae habitat (i.e., water-filled vases) on each of the cemeteries. We calculated a container index value or the percentage (%) of water holding containers with larvae [20] for these sampling months (Table 1). While our larvae sampling was destructive, we only limited our collection to one open and one closed canopy vase. Therefore, even if we found more than one larvae positive container, we did not collect more than two samples per cemetery per occasion to limit our interference with larvae habitat in subsequent sampling events.

2.3. Temporal Abiotic Factors

We characterized temperature and rainfall variability through the sampling year using Daymet: Daily Surface Weather Data, which provides data on a 1-km grid for North America [21]. Based on the sampling date for each month, we estimated rainfall and temperature in 1–4-week time lags. Climatic variables were estimated for each sampling date and for each cemetery, individually.

2.4. Cemetery Scale Habitat Characterization

We delimited a 200 m buffer around each cemetery using ArcGIS (ver. 10.8) to demark the flight range (~200 m) of Aedes species [22]. Within this buffer, we characterized UHI, vegetation cover, and median income. We used the UHI layer developed by the Trust for Public Lands [23]. This layer consists of a 30 m grid for cities in the U.S., depicting a heat severity index, ranging in values from 1 to 5, with 1 being slightly above the mean for the city and 5 being a significantly above the mean for the city [23]. The index was developed following the Jenks Natural Breaks classification method [24], and derived from Landsat 8 imagery band 10 (ground level thermal sensor) from summers 2018 and 2019. For vegetation cover, we used the USDA Forest Service percent tree canopy cover layer, a 30 m raster layer, calculated using a random forest regression algorithm and based on the National Agriculture Imagery Program (NAIP) aerial photographs [25,26]. Median income was determined using the American Community Survey 2017—5-year summary files [27] datasets.

2.5. Container Scale Habitat Characterization

For each larvae positive container sampled, we documented water temperature with a handheld thermometer, and estimated canopy cover with a spherical convex densitometer (Forestry Suppliers, Inc. Jackson, MS, USA). All vases consisted of approximately the same water volume (1 L or less), containers larger than this volume were rare, and were not considered, in order to standardize for this variable.

2.6. Statistical Analysis

The influence of temporal abiotic factors (temperature and rainfall variables with time lags) on larvae abundance per species were examined using quasipoisson regressions to account for over dispersion. Prior to the analyses, all variables were mean centered and scaled, except for the larvae response variables, which were treated as counts.
The relative importance of factors at the cemetery scale and the container scale was examined using a generalized linear mixed effects model (GLMM), using a negative binomial distribution to account for over dispersion. For the container scale characterization, samples were classified in terms of canopy cover above the container as either open (<60% canopy cover) or closed (>60% canopy cover), and transformed into a dummy variable (1: closed, 0: open).
The evaluated variables at the cemetery scale (200 m buffer), heat index, vegetation index and income, were converted into categories of high and low (1: high, 0: low) following the gradient illustrated in Figure 2 and Table 1. These three variables were highly correlated to each other, according to Pearson correlation coefficients of 0.90+ (Appendix A) and thus were examined separately. For the GLMMs, we added the variable cemetery as a random effects factor, to control for the influence of sampling on the same site on repeated occasions. The response variable for all models consisted on counts for each of the species.
All analyses were performed in R version 3.6.1 [28]. Quasipoisson regressions were conducted using the stats package in R. For the GLMM we used package lme4 [29]. We tested for overdispersion using package blmeco [30]. Some of our graphs were developed using the package ggplot2 [31].

3. Results

3.1. General Trends

We found a total of 87 larvae positive containers across all sampled cemeteries, 52 under an open canopy, and 35 under a closed canopy (Table 2). From these vases, we collected a total of 1611 mosquito larvae. The most abundant species was Cx. quinquefasciatus (n = 748), followed by Ae. aegypti (n = 559), and lastly Ae. albopictus (n = 304). We found more Cx. quinquefasciatus in open canopy (n = 535) than in closed canopy vases (n = 213). We found more Ae. aegypti in closed canopy (n = 319) than in open canopy vases (n = 240). Ae. albopictus were found in similar numbers in both open (n = 157) and closed canopy vases (n = 147). Water temperature was on average slightly lower for open (23.4 °C), versus closed canopy vases (24.4 °C), but maximum and minimum temperature ranges were wider for open canopy vases (max = 34.2 °C, min = 7.8 °C) versus closed canopy vases (max = 29.9 °C, min = 11.8 °C). The container index was highest in St. Vincent de Paul (0.41), followed by Lafayette 2 (0.34), Carrolton (0.08), Lafayette 1 (0.04), and lastly Metairie (0.04) (Table 1). Two cemeteries (St. Roch, Holt) could not be accessed in certain months, and therefore we did not include their data for the container index calculations. Coexistence among the species of interest was detected in 8 out of 87 vases samples (~9%) (Appendix B). The vases that had coexistence were located in Carrolton, Holt, Metairie, and St. Vincent de Paul cemeteries. For these vases, we observed a trend for a greater proportion of Ae. albopictus larvae in closed canopies, while the opposite was true for Ae. aegypti. This trend was not statistically tested, as there were so few of cases (four open canopy vases, four closed canopy vases). Coexistence in vases occurred only during peak mosquito season (May–October), and most often detected in the St. Vincent de Paul cemetery.

3.2. Temporal Abiotic Factors

Overall, temperature ranged from a minimum of 7.59 °C in December, to a maximum of 33.53 °C in August. Accumulated rainfall on a 4-week lag ranged from a minimum of 40 mm in October to a maximum of 345 mm in August. Detailed rainfall and temperature estimates for each sampling occasion are included in Appendix C, and a subset of these values are illustrated on Figure 3.
No significant relationships were found between Ae. aegypti and the climatic factors (Table 3). Aedes albopictus varied proportionally with maximum temperature with a 4-week time lag (Pr(>|t|) = 0.046), and to minimum temperature with 2–4-week time lags, (Pr(>|t|)<0.05, Table 3). No relationship was found between Ae. albopictus and rainfall moving averages. For Cx. quinquefasciatus a significant negative relationship was found with maximum temperature with 4-week time lag (Pr(>|t|) = 0.029). This species showed a negative relationship between minimum temperatures with 2–4 week time lags (Pr(>|t|< 0.05, Table 3). A negative relationship was found between Cx. quinquefasciatus and rainfall at the 1-week lag (Pr(>|t|) = 0.022) and the 4-week lag (Pr(>|t|) = 0.040).
Because Cx. quinquefasciatus numbers declined during the peak mosquito season, starting in May, and were reduced to zero by August (Figure 3), we considered this species to be temporally segregated from the other two species in the locations under study. Therefore, we excluded this species from subsequent analyses, as these focus on evaluating the spatial segregation patterns between species coinciding temporally in the sampled locations.

3.3. Cemetery Scale vs. Container Scale Factors

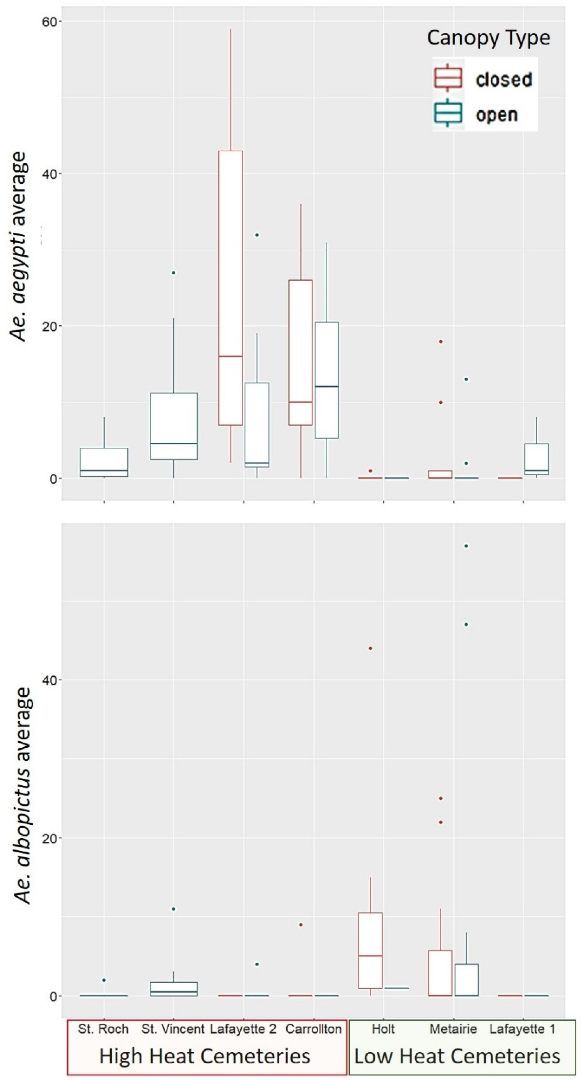
For Ae. aegypti, there was a significant effect of both the container canopy cover and heat index at the cemetery scale (Figure 4, Table 4). Ae. aegypti counts were positively associated to UHI (Pr(>|z| = 0.001, Table 4), and positively associated to canopy cover (Pr(>|z| = 0.0007, Table 4). Therefore, Ae. aegypti was most closely associated to vases within high heat cemeteries, and with closed canopy cover (Figure 4, Table 4). No other significant association was found between Ae. aegypti and the other cemetery scale variables measured.
While Ae. albopictus was more frequently collected in low heat cemeteries (Figure 4), there was no statistically significant relationship between UHI and this species (Table 4). There was no clear trend between canopy cover and Ae. albopictus, and no statistically significant relationship between the other cemetery scale variables (vegetation index, median income) and the species.
Random effects were examined using 97.5% confidence intervals. Confidence interval values did not overlap zero on any of the models tested, including cemetery and canopy scale for both species. The confidence intervals for random effects on the statistically significant models are as follows: Ae. aegypti/heat index (0.3346–1.5716); Ae. aegypti/canopy cover (0.9408–4.0412).

4. Discussion

Our study found that Ae. aegypti is a more abundant species than Ae. albopictus in the area sampled within the city of New Orleans (Figure 1). Within the cemeteries sampled, Ae. aegypti was most closely associated to locations with a high heat index at the cemetery scale (UHI). While the results were not statistically significant for Ae. albopictus, its distribution pattern shows the opposite trend, as the species was most often found in low heat cemeteries. These results suggest a spatial segregation pattern driven by heat tolerance of Ae. aegypti, as proposed in our hypotheses. These findings also support previous studies that classify Ae. aegypti as the more urban species, and Ae. albopictus as more associated to vegetated suburban/rural areas in Florida, USA [2,32,33], as well as several tropical cities [2,32,34,35,36].
We observed in our study that heat was negatively correlated to vegetation cover, and negatively correlated to median income (Appendix A). This suggests a disparity in terms of vegetation cover and heat exposure between low and high-income neighborhoods in New Orleans. More studies are needed to test this trend as we only sampled seven locations across the city. However, these findings are not surprising, as previous studies have reported unequal exposure to heat in low-income neighborhoods consistently across many cities of the USA [37,38]. Higher UHI exposure has been consistently shown to be linked to mortality and morbidity in humans [11], while access to green spaces may promote a variety of physical and mental health benefits [12]. Therefore, it would be important to further evaluate these apparent disparities to heat exposure and vegetation cover across socioeconomic divides in New Orleans.
Our findings show that high heat in particular exacerbates exposure to Ae. aegypti, which, according to previous studies, is a more effective disease vector than Ae. albopictus [14,15]. If we layer this finding with that of other studies suggesting how urban disrepair and abandonment create habitat for mosquitos and disproportionally affect low-income neighborhoods [5,6,7,8], we can see how there are multiple complex pathways by which poverty can be potentially linked to higher mosquito borne disease risk in our cities. Future studies should determine the role of mosquito habitat segregation in driving differences in relative disease risk within a city, accounting for differences in abundance and vector competence of the mosquito species present. Because of the tight correlation, we found that with UHI and income level in this study, we were not able to disentangle temperature related drivers, to container habitat availability drivers. The interaction between container habitat availability and UHI could present interesting dynamics for mosquito dispersal and therefore could be the basis for future research.
Contrary to our prediction, canopy cover at the container scale was not predictive of the presence of Ae. albopictus. Moreover, contrary to our prediction, canopy cover was positively associated with Ae. aegypti, in the locations were this species resided, which were high heat cemeteries, with low vegetation cover at the cemetery scale. Although Ae. aegypti tolerates higher temperatures, it makes sense that it would prefer to be under shaded conditions in these high heat localities, to experience less desiccation risk, and less extreme heat. Due to the lack of significant association found between Ae. albopictus to vegetation cover at any scale, our study does not support the hypothesis of habitat selection by this species is driven by the presence of trees and its competitive superiority at exploiting leaf litter. In laboratory studies, Ae. albopictus shows a superior ability to exploit leaf litter [39,40], and a preference to lay eggs in water infused with leaf detritus over water only containers [41]. However, there is no evidence in the literature that under natural conditions the species would preferentially select this food source, as it may be able to use other food sources available such as grass clippings and animal carcasses, which may offer more nutrient availability [39,40], and are not contingent on the presence of vegetation, or direct canopy cover.
The fact that Ae. albopictus was lower in abundance than Ae. aegypti in the sampled locations (which were all highly urbanized), and that the species was most often found in low heat cemeteries, suggests that temperature may be an important determinant of this species presence/absence across different parts of the city of New Orleans. Forecasting models have used the optimal temperature ranges for Ae. aegypti (21.3–34.0 °C) and Ae. albopictus (19.9–29.4 °C) to predict a decline in Ae. albopictus in the tropics in response to projected temperature increases due climate change [42]. It is possible that similar to climate driven temperature shifts, microscale variation in temperature ranges due UHI may also lead to temperature limits across a city’s landscape, shaping the segregation patterns of these two competing species.
Previous studies support the role of heat at limiting habitat suitability for Ae. albopictus within cities. A study conducted across urban to rural gradient in Athens, GA found that adult abundance of the species increased with temperature until a threshold of about 30 °C, after which adult abundance declined [43]. A similar study in Athens GA found that temperature was higher and relative humidity lower in urban vs. rural/suburban areas of the city, and that these microclimate differences resulted in lower Ae. albopictus larvae survival in the urban sites [44]. In Sao Paulo, where both species coexist, temperature increases have favored a greater expansion of Ae. aegypti across the city, relative to Ae. albopictus [45]. Accordingly, dengue infections have been positively correlated to UHI in Sao Paulo [46], while modelling studies using thermal optima for disease transmission suggest a higher thermal optimum for transmission of dengue by Ae. aegypti (29.1 (28.4–29.8)) than Ae. albopictus (26.4 (25.4–27.6); [47]). Together, these studies support the role of microscale variation in temperature as shaping the species segregation patterns in urban landscapes, and point towards a potential link of these segregation patterns to arboviral infection risk, which should be explored further.
We found few instances of coexistence between the species at the container scale (~9% of samples, Appendix B). The most frequent location for coexistence was in St. Vincent de Paul cemetery, which was a high heat cemetery dominated by Ae. aegypti. This cemetery is located near multiple water bodies that may promote a temperature mitigation effect in its surroundings that was not assessed by this study. More studies are needed to determine the factors that allow Ae. albopictus to inhabit this locality in spite of the high heat, and the potential role of proximity to water bodies as a mediating factor. Other instances where coexistence was detected at the vase level, shared the commonality of being closed canopy vases, and having Ae. albopictus at a higher relative abundance (Appendix B). These localities may be the focus of future studies to better assess the factors at the container scale that allow for coexistence, such as nutrient availability, and source and sink habitats.
The most abundant species collected in this study was Cx. quinquefasciatus, which was segregated temporally from the two Aedes species in cemeteries. A previous study in Tampa, Florida found a similar pattern, where Cx. quinquefasciatus switched habitat preference from cemeteries in the non-peak season, into other developed areas in the peak season, when the two Aedes species became more dominant [48]. The authors of the study suggest that coexistence among these competitors is enabled by spatial and seasonal segregation, and we provide further support for this finding in our study. We know from previous studies [49,50] and mosquito adult sampling in the city during 2020 (de Jesus, unpublished data) that Cx. quinquefasciatus is still abundant during the peak mosquito season in New Orleans. Therefore, the observed trend potentially reflects habitat switching to avoid competition with Ae. albopictus, which has been shown to be competitively superior to Cx. quinquefasciatus and other similar species such as Culex coronator, by laboratory studies testing interspecific competition under various resource levels [51,52].
Our study had several limitations. First, our monthly sampling was limited to seven cemeteries and one year of data. Longer-term studies at a larger scale would be necessary to fully understand spatiotemporal patterns of the mosquito species under study. Second, the temporal patterns reported on this study may have been affected by our sampling technique, which consisted of destructively sampling cemetery vases. This sampling strategy may have had an interference with the community assemblages in subsequent sampling events. However, since we limited our sampling to two cemetery vases per sampling occasion, while more were vases detected with water and larvae during our sampling, we think that our sampling interference was minimal. However, future studies may use non-destructive sampling strategies, such as oviposition traps to confirm our findings. Lastly, our sampling was limited to mosquito larvae, and we did not limit our collection to fourth instar larvae. Therefore, our survey does not fully reflect the outcomes of container scale competition or adult mosquito emergence, and more studies are needed to fully characterize the adult mosquito community assemblages across the city.

5. Conclusions

Ae. aegypti, and Ae. albopictus larvae show a pattern of spatial segregation in cemeteries of New Orleans. Ae. aegypti resides in high heat, low vegetation cemeteries, while Ae. albopictus was more often found in cemeteries with a lower heat index. Canopy cover over the container habitat in this highly urban environment is not predictive of Ae. albopictus, but it is predictive for Ae. aegypti. Ae. aegypti prefers to be under a shaded canopy in the high heat cemeteries where it resides. The qualities at the cemetery scale that are predictive of the habitat segregation patterns observed on this study (e.g., UHI) may be associated with dispersal limitation of Ae. albopictus under extreme heat conditions, but this hypothesis requires further evaluation. Our study suggests that high heat and low vegetation cover is characteristic of low-income neighborhoods in New Orleans, possibly highlighting multiple pathways for public health disparities in the city, including greater exposure to Ae. aegypti, which should be explored further.

Author Contributions

Conceptualization, R.d.J.C.; methodology, R.d.J.C. and R.E.R.; formal analysis, R.d.J.C. and R.E.R.; investigation, R.E.R.; Resources: R.d.J.C.; data curation, R.E.R.; writing—original draft preparation, R.d.J.C. and R.E.R.; writing—review and editing, R.d.J.C.; visualization, R.d.J.C.; supervision, R.d.J.C.; project administration, R.d.J.C. and R.E.R.; funding acquisition, R.d.J.C. All authors have read and agreed to the published version of the manuscript.

Funding

This research was partly funded by the National Academy of Sciences, Gulf Research Program, Early Career Fellowship GR00005901.

Institutional Review Board Statement

Not applicable.

Informed Consent Statement

Not applicable.

Data Availability Statement

Data generated in this study are available upon request.

Acknowledgments

We would like to thank Emily Ford for facilitating access to cemeteries for sampling mosquito larvae, and Pete Aniello for providing access to the Urban Heat Island GIS layer used in this study. We acknowledge the field assistance of Zachary Taylor, Matthew Mount, and Hannah Orff. Donald Yee provided comments and suggestions to improve a previous version of this manuscript.

Conflicts of Interest

The authors declare no conflict of interest.

Appendix A

Table A1. Table showing pearson correlation coefficients among explanatory variables. Variable definition: msmr = moving sum rainfall, maxt = maximum temperature, mint = minimum temperature. Each variable was estimated at 28-day, 21-day, 14-day, and 7-day lags. Temperature is in degrees Celsius. Rainfall is in inches. VegInd = Vegetation Index, HeatInd = Heat Index.
Table A1. Table showing pearson correlation coefficients among explanatory variables. Variable definition: msmr = moving sum rainfall, maxt = maximum temperature, mint = minimum temperature. Each variable was estimated at 28-day, 21-day, 14-day, and 7-day lags. Temperature is in degrees Celsius. Rainfall is in inches. VegInd = Vegetation Index, HeatInd = Heat Index.
vasetempvasecanopymsmr7msmr14msmr21msmr28maxt7maxt14maxt21maxt28mint7mint14mint21mint28VegIndHeatIndIncome
vasetemp1.000.100.580.430.540.390.800.800.810.810.820.780.800.790.24−0.190.22
vasecanopy0.101.000.190.150.140.070.220.230.220.210.220.230.210.190.05−0.120.05
msmr70.580.191.000.860.910.880.520.560.580.590.580.580.600.620.000.03−0.02
msmr140.430.150.861.000.800.790.310.310.370.360.340.340.400.390.02−0.030.02
msmr210.540.140.910.801.000.960.510.510.500.500.500.470.500.500.06−0.010.02
msmr280.390.070.880.790.961.000.340.350.350.350.360.330.370.380.04−0.010.01
maxt70.800.220.520.310.510.341.000.980.960.940.960.910.910.880.050.08−0.03
maxt140.800.230.560.310.510.350.981.000.980.970.980.960.950.930.050.07−0.02
maxt210.810.220.580.370.500.350.960.981.001.000.980.980.990.970.050.05−0.01
maxt280.810.210.590.360.500.350.940.971.001.000.990.980.990.990.040.06−0.02
mint70.820.220.580.340.500.360.960.980.980.991.000.980.980.970.050.05−0.02
mint140.780.230.580.340.470.330.910.960.980.980.981.000.990.980.040.05−0.02
mint210.800.210.600.400.500.370.910.950.990.990.980.991.000.990.050.030.00
mint280.790.190.620.390.500.380.880.930.970.990.970.980.991.000.040.04−0.01
VegInd0.240.050.000.020.060.040.050.050.050.040.050.040.050.041.00−0.850.95
HeatInd−0.19−0.120.03−0.03−0.01−0.010.080.070.050.060.050.050.030.04−0.851.00−0.95
Income0.220.05−0.020.020.020.01−0.03−0.02−0.01−0.02−0.02−0.020.00−0.010.95−0.951.00

Appendix B

Table A2. Table showing individual samples in which coexistence among species within a container were detected, out of a total of 87 samples. Samples are labeled based on the cemetery where they were collected and characterized in terms of High (H) and Low (L) income, vegetation and heat index. Season in which coexistence was detected (Peak, Not-Peak) is listed, as well as counts for each of the species collected.
Table A2. Table showing individual samples in which coexistence among species within a container were detected, out of a total of 87 samples. Samples are labeled based on the cemetery where they were collected and characterized in terms of High (H) and Low (L) income, vegetation and heat index. Season in which coexistence was detected (Peak, Not-Peak) is listed, as well as counts for each of the species collected.
CemeteryVegetation IndexHeat IndexCanopy TypeSeasonAe. albopictusAe. aegyptiCx. quinquefasciatus
CarroltonHHclosedpeak970
HoltLLclosedpeak1510
MetaireHLclosedpeak1102
MetaireHLclosedpeak410
St. VincentLHopenpeak2210
St. VincentLHopenpeak340
St. VincentLHopenpeak120
St. VincentLHopenpeak1120

Appendix C

Table A3. Table listing meteorological estimates for each sampling date across the city. Data were derived from NASA DAYMET https://daymet.ornl.gov/ accessed on 14 September 2021. Variable definition: mint_ma = minimum temperature moving average, maxt_ma = maximum temperature moving average, msmr = moving sum of rainfall. Each variable was estimated at 28-day, 21-day, 14-day, and 7-day lags. Temperature is in degrees Celsius. Rainfall is in inches.
Table A3. Table listing meteorological estimates for each sampling date across the city. Data were derived from NASA DAYMET https://daymet.ornl.gov/ accessed on 14 September 2021. Variable definition: mint_ma = minimum temperature moving average, maxt_ma = maximum temperature moving average, msmr = moving sum of rainfall. Each variable was estimated at 28-day, 21-day, 14-day, and 7-day lags. Temperature is in degrees Celsius. Rainfall is in inches.
Datemint28mint21mint14mint7maxt28maxt21maxt14maxt7msmr28msmr21msmr14msmr7
24-Jan10.1610.211.467.819.9719.8320.0716.7490.672.0551.215.34
28-Feb10.5110.739.917.9420.0219.9618.7517.48174.5996.0277.641.37
28-Apr16.3516.815.7616.9326.7826.9826.6228.0989.4287.4681.087.81
30-May19.8220.8322.2722.6929.3229.4930.8130.84154.78136.950.2237.89
27-Jun23.1623.1922.9123.1531.6931.7332.2731.62293.85270.9492.4492.44
1-Aug25.0525.2825.1124.4732.7632.7831.8831.23345.35301.57206.13160.97
29-Aug24.4924.4724.3624.933.5333.3232.9832.12131.73118.4867.1554.39
26-Sep23.6923.122.7221.1830.429.5227.6725.27110.573.1159.3636.34
24-Oct18.4819.0519.5519.0428.8228.6828.9128.2640.1333.8523.4421.69
21-Nov14.7914.0215.7112.4524.4824.2824.9924.0272.0317.4110.840
19-Dec9.838.137.598.119.3417.5817.3615.94175.2485.2321.2719.63

References

  1. Camara, D.C.P.; Codeço, C.T.; Juliano, S.A.; Lounibos, L.P.; Riback, T.I.S.; Pereira, G.R.; Honorio, N.A. Seasonal Differences in Density But Similar Competitive Impact of Aedes albopictus (Skuse) on Aedes aegypti (L.) in Rio de Janeiro, Brazil. PLoS ONE 2016, 11, e0157120. [Google Scholar] [CrossRef]
  2. Lounibos, L.P.; Juliano, S.A. Where vectors collide: The importance of mechanisms shaping the realized niche for modeling ranges of invasive Aedes mosquitoes. Biol. Invasions 2018, 20, 1913–1929. [Google Scholar] [CrossRef]
  3. Yee, D.A.; Kesavaraju, B.; Juliano, S.A. Interspecific Differences in Feeding Behavior and Survival Under Food-Limited Conditions for Larval Aedes albopictus and Aedes aegypti (Diptera: Culicidae). Ann. Entomol. Soc. Am. 2004, 97, 720–728. [Google Scholar] [CrossRef]
  4. Chesson, P. Mechanisms of Maintenance of Species Diversity. Annu. Rev. Ecol. Syst. 2000, 31, 343–366. [Google Scholar] [CrossRef] [Green Version]
  5. LaDeau, S.L.; Leisnham, P.T.; Biehler, D.; Bodner, D. Higher Mosquito Production in Low-Income Neighborhoods of Baltimore and Washington, DC: Understanding Ecological Drivers and Mosquito-Borne Disease Risk in Temperate Cities. Int. J. Environ. Res. Public Health 2013, 10, 1505–1526. [Google Scholar] [CrossRef] [Green Version]
  6. Becker, B.; Leisnham, P.T.; LaDeau, S.L. A Tale of Two City Blocks: Differences in Immature and Adult Mosquito Abundances between Socioeconomically Different Urban Blocks in Baltimore (Maryland, USA). Int. J. Environ. Res. Public Health 2014, 11, 3256–3270. [Google Scholar] [CrossRef] [Green Version]
  7. de Jesús Crespo, R.; Harrison, M.; Rogers, R.; Vaeth, R. Mosquito Vector Production across Socio-Economic Divides in Baton Rouge, Louisiana. Int. J. Environ. Res. Public Health 2021, 18, 1420. [Google Scholar] [CrossRef]
  8. Scavo, N.A.; Barrera, R.; Reyes-Torres, L.J.; Yee, D.A. Lower socioeconomic status neighborhoods in Puerto Rico have more diverse mosquito communities and higher Aedes aegypti abundance. J. Urban Ecol. 2021, 7, juab009. [Google Scholar] [CrossRef]
  9. Li, X.; Zhou, W. Optimizing urban greenspace spatial pattern to mitigate urban heat island effects: Extending understanding from local to the city scale. Urban For. Urban Green. 2019, 41, 255–263. [Google Scholar] [CrossRef]
  10. Clarke, L.W.; Jenerette, G.D.; Davila, A. The luxury of vegetation and the legacy of tree biodiversity in Los Angeles, CA. Landsc. Urban Plan. 2013, 116, 48–59. [Google Scholar] [CrossRef]
  11. de Jesús Crespo, R.; Fulford, R. Eco-Health linkages: Assessing the role of ecosystem goods and services on human health using causal criteria analysis. Int. J. Public Health 2017, 63, 81–92. [Google Scholar] [CrossRef]
  12. Shanahan, D.F.; Lin, B.B.; Bush, R.; Gaston, K.J.; Dean, J.H.; Barber, E.; Fuller, R.A. Toward Improved Public Health Outcomes From Urban Nature. Am. J. Public Health 2015, 105, 470–477. [Google Scholar] [CrossRef] [PubMed]
  13. de Jesús Crespo, R.; Lázaro, P.M.; Yee, S.H. Linking wetland ecosystem services to vector-borne disease: Dengue fever in the San Juan Bay estuary, Puerto Rico. Wetlands 2019, 39, 1281–1293. [Google Scholar] [CrossRef]
  14. Whitehorn, J.; Kien, D.T.H.; Nguyen, N.M.; Nguyen, H.L.; Kyrylos, P.P.; Carrington, L.B.; Tran, C.N.B.; Quyen, N.T.H.; Thi, L.V.; Le Thi, D.; et al. Comparative susceptibility of Aedes albopictus and Aedes aegypti to dengue virus infection after feeding on blood of viremic humans: Implications for public health. J. Infect. Dis. 2015, 212, 1182–1190. [Google Scholar] [CrossRef] [Green Version]
  15. Lambrechts, L.; Scott, T.W.; Gubler, D.J. Consequences of the Expanding Global Distribution of Aedes albopictus for Dengue Virus Transmission. PLoS Negl. Trop. Dis. 2010, 4, e646. [Google Scholar] [CrossRef] [PubMed]
  16. U.S. Census. Quick Facts. 2019. Available online: https://www.census.gov/quickfacts/fact/table/neworleanscitylouisiana/INC110219 (accessed on 15 September 2021).
  17. Vezzani, D. Review: Artifcial container-breeding mosquitoes and cemeteries: A perfect match. Trop. Med. Intern. Health. 2007, 12, 299–313. [Google Scholar] [CrossRef] [PubMed]
  18. Deerman, J. Ecological Stoichiometry: What Role Does It Play in the Competition and Spatial Distribution Patterns of Aedes albopictus and Aedes aegypti? 2018. Available online: https://aquila.usm.edu/masters_theses/589/ (accessed on 15 September 2021).
  19. Darsie, R.F., Jr.; Ward, R.A. Identification and Geographical Distribution of the Mosquitoes of North American, North of Mexico; University Press of Florida: Gainesville, FL, USA, 2005. [Google Scholar]
  20. Wang, J.-N.; Hou, J.; Zhong, J.-Y.; Cao, G.-P.; Yu, Z.-Y.; Wu, Y.-Y.; Li, T.-Q.; Liu, Q.-M.; Gong, Z.-Y. Relationships between traditional larval indices and meteorological factors with the adult density of Aedes albopictus captured by BG-mosquito trap. PLoS ONE 2020, 15, e0234555. [Google Scholar] [CrossRef] [PubMed]
  21. Thornton, P.E.; Shrestha, R.; Thornton, M.; Kao, S.C.; Wei, Y.; Wilson, B.E. Daymet: Daily Surface Weather Data on a 1-km Grid for North America, Version 4; ORNL DAAC: Oak Ridge, TN, USA, 2020. [Google Scholar] [CrossRef]
  22. Marini, F.; Caputo, B.; Pombi, M.; Tarsitani, G.; Della Torre, A. Study of Aedes albopictus dispersal in Rome, Italy, using sticky traps in mark–release–recapture experiments. Med. Vet. Entomol. 2010, 24, 361–368. [Google Scholar] [CrossRef]
  23. The Trust for Public Lands (TPL). Urban Heat Island Severity for U.S. Cities. 2021. Available online: https://www.arcgis.com/home/item.html?id=1b6cad6dd5854d2aa3d215a39a4d372d (accessed on 9 October 2021).
  24. ESRI. FAQ: What is the Jenks Optimization Method? 2016. Available online: https://support.esri.com/en/technical-article/000006743 (accessed on 9 October 2021).
  25. Coulston, J.W.; Moisen, G.G.; Wilson, B.T.; Finco, M.V.; Cohen, W.B.; Brewer, C.K. Modeling percent tree canopy cover: A pilot study. Photogramm. Eng. Remote Sens. 2012, 78, 715–727. [Google Scholar] [CrossRef] [Green Version]
  26. USDA Forest Service. NLCD 2016 Tree Canopy Cover (Coastal Alaska). Salt Lake City, UT, 2019. Available online: https://www.arcgis.com/home/item.html?id=32c888eac6bd41b5b17f51d9d8175969 (accessed on 9 October 2021).
  27. U.S. Census. 2017 American Community Survey (ACS) 5-Year Summary Data. Available online: https://www2.census.gov/programs-surveys/acs/summary_file/2017/data/ (accessed on 9 October 2021).
  28. R Core Team. R: A Language and Environment for Statistical Computing; R Foundation for Statistical Computing: Vienna, Austria, 2017; Available online: https://www.R-project.org/ (accessed on 9 October 2021).
  29. Bates, D.; Mächler, M.; Bolker, B.; Walker, S. Fitting Linear Mixed-Effects Models Using lme4. J. Stat. Softw. 2015, 67, 1–48. [Google Scholar] [CrossRef]
  30. Korner-Nievergelt, F.; Roth, T.; von Felten, S.; Guélat, J.; Almasi, B.; Korner-Nievergelt, P. Bayesian Data Analysis in Ecology Using Linear Models with R, BUGS, and Stan; Academic Press: Cambridge, MA, USA, 2015. [Google Scholar]
  31. Wickham, H. Elegant graphics for data analysis. Media 2009, 35, 10–1007. [Google Scholar]
  32. Braks, M.A.; Honório, N.A.; Lourenço-De-Oliveira, R.; Juliano, S.A.; Lounibos, L.P. Convergent habitat segregation of Aedes aegypti and Aedes albopictus (Diptera: Culicidae) in southeastern Brazil and Florida. J. Med. Entomol. 2003, 40, 785–794. [Google Scholar] [CrossRef] [PubMed] [Green Version]
  33. Lounibos, L.P.; Bargielowski, I.; Carrasquilla, M.C.; Nishimura, N. Coexistence of Aedes aegypti and Aedes albopictus (Diptera: Culicidae) in Peninsular Florida Two Decades After Competitive Displacements. J. Med. Entomol. 2016, 53, 1385–1390. [Google Scholar] [CrossRef] [PubMed]
  34. Ishak, H.; Miyagi, I.; Toma, T.; Kamimura, K. Breeding habitats of Aedes aegypti (L.) and Aedes albopictus (Skuse) in village of Barru, South Sulawesi, Indonesia. Southeast Asian J. Trop. Med. Public Health 1997, 28, 844–850. [Google Scholar]
  35. Tsuda, Y.; Suwonkerd, W.; Chawprom, S.; Prajakwong, S.; Takagi, M. Different spatial distribution of Aedes aegypti and Aedes albopictus along an urban-rural gradient and the relating environmental factors examined in three villages in northern Thailand. J. Am. Mosq. Control. Assoc. 2006, 22, 222–228. [Google Scholar] [CrossRef]
  36. Paupy, C.; Ollomo, B.; Kamgang, B.; Moutailler, S.; Rousset, D.; Demanou, M.; Hervé, J.P.; Leroy, E.; Simard, F. Comparative role of Aedes albopictus and Aedes aegypti in the emergence of dengue in Central Africa. Vector-Borne Zoonotic Dis. 2010, 10, 259–266. [Google Scholar] [CrossRef] [PubMed] [Green Version]
  37. Harlan, S.L.; Brazel, A.J.; Jenerette, G.D.; Jones, N.S.; Larsen, L.; Prashad, L.; Stefanov, W.L. In the shade of affluence: The inequitable distribution of the urban heat island. In Equity and the Environment; Emerald Group Publishing Limited: Bingley, UK, 2007. [Google Scholar]
  38. Hsu, A.; Sheriff, G.; Chakraborty, T.; Manya, D. Disproportionate exposure to urban heat island intensity across major US cities. Nat. Commun. 2021, 12, 2721. [Google Scholar] [CrossRef] [PubMed]
  39. Winters, A.E.; Yee, D.A. Variation in performance of two co-occurring mosquito species across diverse resource environments: Insights from nutrient and stable isotope analyses. Ecol. Entomol. 2012, 37, 56–64. [Google Scholar] [CrossRef]
  40. Murrell, E.G.; Juliano, S.A. Detritus type alters the outcome of interspecific competition between Aedes aegypti and Aedes albopictus (Diptera: Culicidae). J. Med. Entomol. 2014, 45, 375–383. [Google Scholar] [CrossRef] [Green Version]
  41. Obenauer, P.J.; Allan, S.A.; Kaufman, P.E. Aedes albopictus (Diptera: Culicidae) oviposition response to organic infusions from common flora of suburban Florida. J. Vector Ecol. 2010, 35, 301–306. [Google Scholar] [CrossRef]
  42. Ryan, S.J.; Carlson, C.J.; Mordecai, E.A.; Johnson, L.R. Global expansion and redistribution of Aedes-borne virus transmission risk with climate change. PLoS Negl. Trop. Dis. 2019, 13, e0007213. [Google Scholar] [CrossRef] [PubMed] [Green Version]
  43. Evans, M.V.; Hintz, C.W.; Jones, L.; Shiau, J.; Solano, N.; Drake, J.M.; Murdock, C.C. Microclimate and Larval Habitat Density Predict Adult Aedes albopictus Abundance in Urban Areas. Am. J. Trop. Med. Hyg. 2019, 101, 362–370. [Google Scholar] [CrossRef] [Green Version]
  44. Murdock, C.C.; Evans, M.V.; McClanahan, T.D.; Miazgowicz, K.L.; Tesla, B. Fine-scale variation in microclimate across an urban landscape shapes variation in mosquito population dynamics and the potential of Aedes albopictus to transmit arboviral disease. PLoS Negl. Trop. Dis. 2017, 11, e0005640. [Google Scholar] [CrossRef] [PubMed] [Green Version]
  45. Da Fonseca, D.P.; Serpa, L.L.N.; Barbosa, G.L.; Pereira, M.; Holcman, M.M.; Voltolini, J.C.; Marques, G.R.A.M. Vectors of arboviruses in the state of São Paulo: 30 years of Aedes aegypti and Aedes albopictus. Rev. Saúde Pública 2019, 53, 84. [Google Scholar] [CrossRef] [PubMed]
  46. Araujo, R.V.; Albertini, M.R.; Costa-Da-Silva, A.L.; Suesdek, L.; Franceschi, N.C.S.; Bastos, N.M.; Katz, G.; Cardoso, V.A.; Castro, B.C.; Capurro, M.L.; et al. São Paulo urban heat islands have a higher incidence of dengue than other urban areas. Braz. J. Infect. Dis. 2015, 19, 146–155. [Google Scholar] [CrossRef] [PubMed] [Green Version]
  47. Mordecai, E.A.; Caldwell, J.M.; Grossman, M.K.; Lippi, C.A.; Johnson, L.R.; Neira, M.; Rohr, J.R.; Ryan, S.J.; Savage, V.; Shocket, M.S.; et al. Thermal biology of mosquito-borne disease. Ecol. Lett. 2019, 22, 1690–1708. [Google Scholar] [CrossRef] [PubMed] [Green Version]
  48. Leisnham, P.T.; LaDeau, S.L.; Juliano, S.A. Spatial and Temporal Habitat Segregation of Mosquitoes in Urban Florida. PLoS ONE 2014, 9, e91655. [Google Scholar] [CrossRef] [PubMed] [Green Version]
  49. Moise, I.K.; Riegel, C.; Muturi, E.J. Environmental and social-demographic predictors of the southern house mosquito Culex quinquefasciatus in New Orleans, Louisiana. Parasites Vectors 2018, 11, 249. [Google Scholar] [CrossRef] [PubMed] [Green Version]
  50. Sallam, M.F.; Michaels, S.R.; Riegel, C.; Pereira, R.M.; Zipperer, W.; Lockaby, B.G.; Koehler, P.G. Spatio-Temporal Distribution of Vector-Host Contact (VHC) Ratios and Ecological Niche Modeling of the West Nile Virus Mosquito Vector, Culex quinquefasciatus, in the City of New Orleans, LA, USA. Int. J. Environ. Res. Public Health 2017, 14, 892. [Google Scholar] [CrossRef]
  51. Allgood, D.W.; Yee, D.A. Influence of resource levels, organic compounds and laboratory colonization on interspecific competition between the Asian tiger mosquito Aedes albopictus (Stegomyia albopicta) and the southern house mosquito Culex quinquefasciatus. Med. Veter. Entomol. 2014, 28, 273–286. [Google Scholar] [CrossRef] [PubMed] [Green Version]
  52. Yee, D.A.; Skiff, J.F. Interspecific competition of a new invasive mosquito, Culex coronator, and two container mosquitoes, Aedes albopictus and Cx. quinquefasciatus, across different detritus environments. J. Med. Entomol. 2014, 51, 89–96. [Google Scholar] [CrossRef] [PubMed] [Green Version]
Figure 1. Study sites in the city of New Orleans, LA, located in the Southeastern USA. Topographic map source: Esri, Garmin, Intermap, increment P Corp., GEBCO, USGS, FAO, NPS, NRCAN, GeoBase, IGN, Kadaster NL, Ordnance Survey, Esri Japan, METI, Esri China (Hong Kong), OpenStreetMap contributors, and the GIS User Community.
Figure 1. Study sites in the city of New Orleans, LA, located in the Southeastern USA. Topographic map source: Esri, Garmin, Intermap, increment P Corp., GEBCO, USGS, FAO, NPS, NRCAN, GeoBase, IGN, Kadaster NL, Ordnance Survey, Esri Japan, METI, Esri China (Hong Kong), OpenStreetMap contributors, and the GIS User Community.
Ijerph 19 00245 g001
Figure 2. Cemeteries sampled depicted across a gradient of income level, heat index, and vegetation cover within a 200 m buffer around the sampled locations. Values represent the mean centered values for each of the variables.
Figure 2. Cemeteries sampled depicted across a gradient of income level, heat index, and vegetation cover within a 200 m buffer around the sampled locations. Values represent the mean centered values for each of the variables.
Ijerph 19 00245 g002
Figure 3. Temporal variability on temperature and rainfall through the sampling year (2020), and the relative abundances of the most abundant mosquito species. Climatic variables are represented in 4-week time lags, as this was the most closely related variable to the species of interest (Table 3).
Figure 3. Temporal variability on temperature and rainfall through the sampling year (2020), and the relative abundances of the most abundant mosquito species. Climatic variables are represented in 4-week time lags, as this was the most closely related variable to the species of interest (Table 3).
Ijerph 19 00245 g003
Figure 4. Relationship between mosquito abundance heat index (UHI) at the cemetery scale (high/low)), and canopy cover type at the container scale (closed/open). Other cemetery scale factors measured (vegetation index, median income) were not illustrated due to lack of significant relationship with the species collected with this study.
Figure 4. Relationship between mosquito abundance heat index (UHI) at the cemetery scale (high/low)), and canopy cover type at the container scale (closed/open). Other cemetery scale factors measured (vegetation index, median income) were not illustrated due to lack of significant relationship with the species collected with this study.
Ijerph 19 00245 g004
Table 1. Cemetery descriptive statistics (L) low classification, (H) high classification.
Table 1. Cemetery descriptive statistics (L) low classification, (H) high classification.
CemeteriesSampled Area (ha)Median IncomeVegetation IndexHeat IndexContainer Index (Avg. Se)
Lafayette 21.4810,0960.173.060.34 (0.11)
St. Roch2.4623,6540.333.46n/a
St. Vincent2.3128,4820.753.400.41 (0.14)
Holt2.6451,7650.692.67n/a
Carrollton3.7973,7502.453.090.08 (0.03)
Lafayette 12.21132,7504.322.530.04 (0.02)
Metairie5.10214,2054.051.420.04 (0.009)
Table 2. Summary statistics describing container traits and species found.
Table 2. Summary statistics describing container traits and species found.
Canopy Cover CategoryCemeteriesVase CountsSpecies TotalsCanopy CoverWater Temperature
Ae. albopictusAe. aegyptiCx. quinquefasciatusAvgSdAvgSdMaxMin
ClosedCarrollton59797083.8313.8624.323.8927.817.9
Holt77217793.438.8924.715.4529.112.9
Lafayette 12001499.610.5526.250.0726.326.2
Lafayette 290209079.119.0421.506.012811.8
Metairie1266305296.904.3726.113.9729.916.9
Overall3514731921389.9211.1224.404.9129.911.8
OpenCarrollton4055977.7115.4226.633.722921.1
Holt110039.420.0013.300.0013.313.3
Lafayette 1309800.000.0022.804.8326.717.4
Lafayette 2746200.000.0022.238.2029.310.6
Metairie21132153586.3314.3524.695.7131.414.3
St. Roch621500.000.0017.488.9731.77.8
St. Vincent de Paul10188400.000.0024.945.6434.217.2
Overall521572405353.9111.4423.396.6534.27.8
Grand Total87304559748
Table 3. Regression results evaluating the role of temporal abiotic factors on mosquito assemblages during 2020.
Table 3. Regression results evaluating the role of temporal abiotic factors on mosquito assemblages during 2020.
Week LagsAe. aegyptiAe. albopictusCx. quinquefasciatus
Est.S.E.t Pr(>|t|)Est.S.E.t Pr(>|t|)Est.S.E.t Pr(>|t|)
Maximum Temp.10.250.231.10.280.250.340.720.47−0.370.26−1.410.16
20.270.231.20.230.40.361.10.27−0.430.26−1.670.1
30.260.231.150.260.720.411.760.08−0.50.25−1.960.05
40.30.231.330.190.840.412.030.05−0.580.26−2.220.03
Minimum Temp.10.330.231.40.160.740.421.760.08−0.50.27−1.90.06
20.30.231.280.210.462.180.03−0.50.26−1.970.05
30.290.231.270.211.080.452.430.02−0.570.26−2.170.03
40.330.231.450.151.150.422.720.01−0.680.27−2.50.01
Moving Sum Rainfall10.190.181.040.30.370.251.450.15−1.310.56−2.330.02
200−0.20.840.0101.380.17−0.010.01−0.890.38
3000.90.37000.290.77−0.010−1.550.12
4000.980.33000.390.7−0.010−2.090.04
Table 4. Generalized linear mixed effects models for cemetery scale and container scale variables.
Table 4. Generalized linear mixed effects models for cemetery scale and container scale variables.
Cemetery Scale Container Scale
Heat IndexVegetation IndexMedian IncomeCanopy Cover
Ae. aegyptiEstimate 2.320.09−1.440.71
Std. Error0.611.120.980.21
Z Value3.810.08−1.483.4
Pr(>|z|) 0.0010.9360.1390.0007
Ae. albopictusEstimate −1.34−0.231.250.06
Std. Error1.051.281.090.23
Z Value−1.28−0.181.140.29
Pr(>|z|) 0.2010.8570.2530.77
Publisher’s Note: MDPI stays neutral with regard to jurisdictional claims in published maps and institutional affiliations.

Share and Cite

MDPI and ACS Style

de Jesús Crespo, R.; Rogers, R.E. Habitat Segregation Patterns of Container Breeding Mosquitos: The Role of Urban Heat Islands, Vegetation Cover, and Income Disparity in Cemeteries of New Orleans. Int. J. Environ. Res. Public Health 2022, 19, 245. https://doi.org/10.3390/ijerph19010245

AMA Style

de Jesús Crespo R, Rogers RE. Habitat Segregation Patterns of Container Breeding Mosquitos: The Role of Urban Heat Islands, Vegetation Cover, and Income Disparity in Cemeteries of New Orleans. International Journal of Environmental Research and Public Health. 2022; 19(1):245. https://doi.org/10.3390/ijerph19010245

Chicago/Turabian Style

de Jesús Crespo, Rebeca, and Rachel Elba Rogers. 2022. "Habitat Segregation Patterns of Container Breeding Mosquitos: The Role of Urban Heat Islands, Vegetation Cover, and Income Disparity in Cemeteries of New Orleans" International Journal of Environmental Research and Public Health 19, no. 1: 245. https://doi.org/10.3390/ijerph19010245

APA Style

de Jesús Crespo, R., & Rogers, R. E. (2022). Habitat Segregation Patterns of Container Breeding Mosquitos: The Role of Urban Heat Islands, Vegetation Cover, and Income Disparity in Cemeteries of New Orleans. International Journal of Environmental Research and Public Health, 19(1), 245. https://doi.org/10.3390/ijerph19010245

Note that from the first issue of 2016, this journal uses article numbers instead of page numbers. See further details here.

Article Metrics

Back to TopTop