Effect of a Simulated Heat Wave on Physiological Strain and Labour Productivity
Abstract
1. Introduction
2. Materials and Methods
2.1. Participants
2.2. Procedures
2.3. Data Analysis
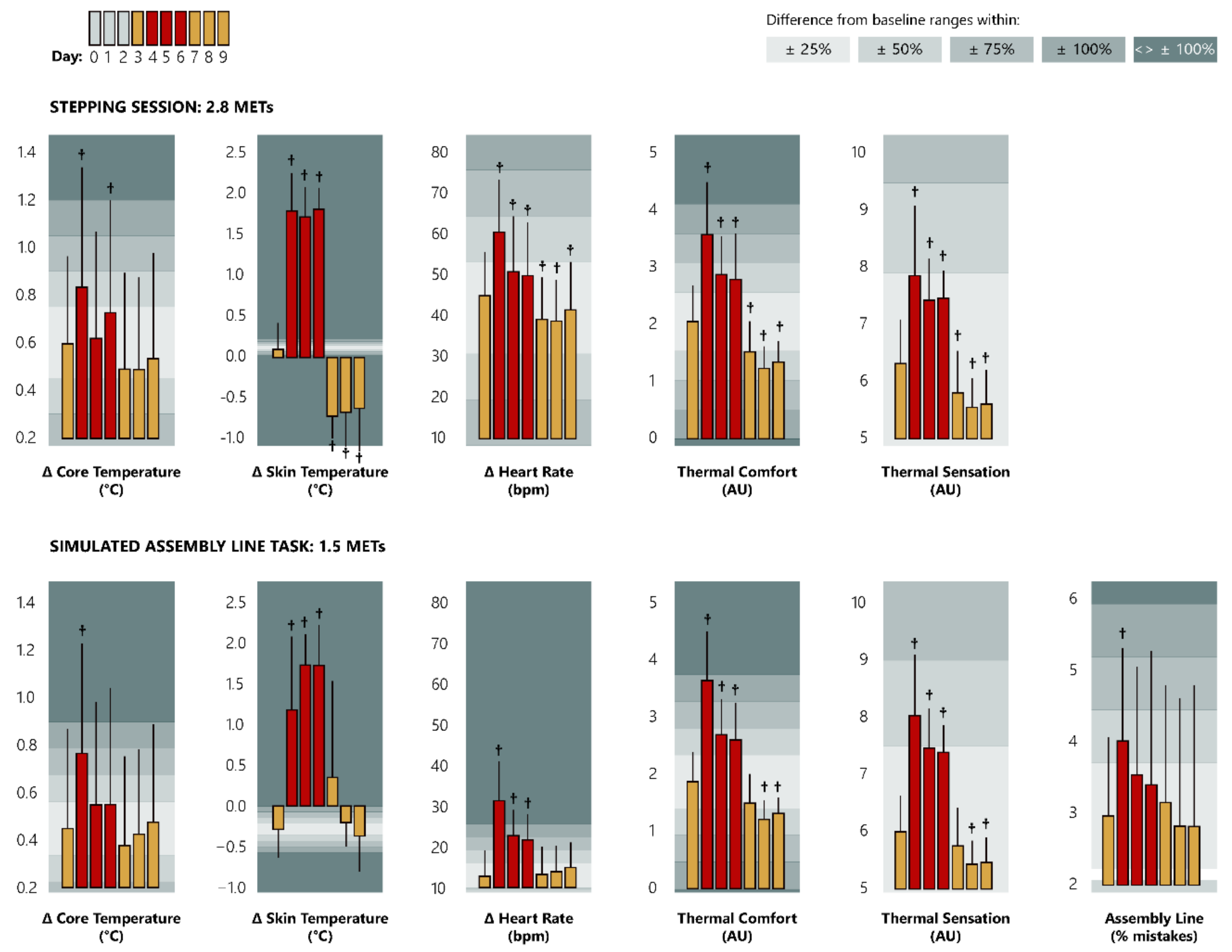
3. Results
3.1. General Findings
3.2. Effect of Heat-Wave on Simulated Assembly Line Task
3.3. Effect of Heat-Wave on Physical Activity
4. Discussion
5. Conclusions
Author Contributions
Funding
Institutional Review Board Statement
Informed Consent Statement
Conflicts of Interest
Appendix A

Appendix B


Appendix C
| Baseline | Heat-Wave | Post Heat-Wave | |||||||
|---|---|---|---|---|---|---|---|---|---|
| Session | Variable | 1–3 | 1 | 2 | 3 | 1 | 2 | 3 | |
| SALT | Tcore | Mean (°C) | 37.2 | 37.5 | 37.3 | 37.3 | 37.1 | 37.2 | 37.2 |
| SD (°C) | 0.2 | 0.3 | 0.3 | 0.3 | 0.2 | 0.2 | 0.3 | ||
| Min (°C) | 36.9 | 37.0 | 36.8 | 36.8 | 36.8 | 36.8 | 36.6 | ||
| Max (°C) | 37.6 | 38.1 | 37.7 | 37.9 | 37.7 | 37.6 | 37.7 | ||
| Tsk | Mean (°C) | 33.8 | 35.3 | 35.9 | 35.9 | 34.5 | 33.9 | 33.8 | |
| SD (°C) | 0.6 | 1.0 | 0.4 | 0.5 | 1.2 | 0.4 | 0.4 | ||
| Min (°C) | 32.2 | 33.6 | 35.0 | 34.4 | 32.7 | 33.0 | 32.9 | ||
| Max (°C) | 34.5 | 36.7 | 36.4 | 36.3 | 36.1 | 34.4 | 34.4 | ||
| HR | Mean (bpm) | 72.3 | 91.9 | 82.7 | 82.3 | 73.1 | 73.9 | 75.8 | |
| SD (bpm) | 11.3 | 14.5 | 11.2 | 11.0 | 10.4 | 11.1 | 10.4 | ||
| Min (bpm) | 58.2 | 73.2 | 67.4 | 70.1 | 61.8 | 60.4 | 66.5 | ||
| Max (bpm) | 95.4 | 127.1 | 108.2 | 102.5 | 97.8 | 102.3 | 102.3 | ||
| STEP | Tcore | Mean (°C) | 37.3 | 37.5 | 37.4 | 37.5 | 37.2 | 37.2 | 37.3 |
| SD (°C) | 0.2 | 0.4 | 0.3 | 0.3 | 0.3 | 0.3 | 0.4 | ||
| Min (°C) | 37.0 | 36.9 | 36.7 | 37.0 | 36.5 | 36.7 | 36.2 | ||
| Max (°C) | 37.7 | 38.3 | 37.9 | 38.0 | 37.7 | 37.8 | 37.8 | ||
| Tsk | Mean (°C) | 34.2 | 35.9 | 35.8 | 35.9 | 33.4 | 33.4 | 33.5 | |
| SD (°C) | 0.3 | 0.4 | 0.2 | 0.4 | 0.4 | 0.3 | 0.4 | ||
| Min (°C) | 33.3 | 35.3 | 35.3 | 35.1 | 32.4 | 32.6 | 32.5 | ||
| Max (°C) | 34.5 | 36.4 | 36.2 | 36.3 | 34.1 | 33.8 | 34.3 | ||
| HR | Mean (bpm) | 104.6 | 119.8 | 110.5 | 110.0 | 98.6 | 99.2 | 102.2 | |
| SD (bpm) | 14.6 | 17.4 | 17.1 | 16.8 | 13.4 | 13.4 | 13.8 | ||
| Min (bpm) | 92.5 | 99.4 | 96.3 | 94.0 | 84.5 | 88.9 | 86.9 | ||
| Max (bpm) | 139.7 | 159.0 | 155.8 | 148.5 | 129.2 | 134.0 | 135.4 | ||
References
- World Health Organisation. World Health Assembly resolution WHA60.26, “Workers’ Health: Global Plan of Action”; World Health Organisation: Geneva, Switzerland, 2007. [Google Scholar]
- Flouris, A.D.; Ioannou, L.G.; Dinas, P.C.; Mantzios, K.; Gkiata, P.; Gkikas, G.; Vliora, M.; Amorim, T.; Tsoutsoubi, L.; Kapnia, A.; et al. Assessment of Occupational Heat Strain and Mitigation Strategies in Qatar—Summary of Key Findings; International Labour Organization: Geneva, Switzerland, 2019. [Google Scholar]
- Nybo, L.; Kjellstrom, T.; Bogataj, L.K.; Flouris, A.D. Global heating: Attention is not enough; we need acute and appropriate actions. Temperature 2017, 4, 199–201. [Google Scholar] [CrossRef] [PubMed]
- Perkins, S.; Alexander, L.; Nairn, J. Increasing frequency, intensity and duration of observed global heatwaves and warm spells. Geophys. Res. Lett. 2012, 39. [Google Scholar] [CrossRef]
- Morris, N.B.; Jay, O.; Flouris, A.D.; Casanueva, A.; Gao, C.; Foster, J.; Havenith, G.; Nybo, L. Sustainable solutions to mitigate occupational heat strain—An umbrella review of physiological effects and global health perspectives. Environ. Health 2020, 19, 1–24. [Google Scholar] [CrossRef] [PubMed]
- Flouris, A.D.; Dinas, P.C.; Ioannou, L.G.; Nybo, L.; Havenith, G.; Kenny, G.P.; Kjellstrom, T. Workers’ health and productivity under occupational heat strain: A systematic review and meta-analysis. Lancet Planet. Health 2018, 2, e521–e531. [Google Scholar] [CrossRef]
- Ioannou, L.G.; Tsoutsoubi, L.; Samoutis, G.; Bogataj, L.K.; Kenny, G.P.; Nybo, L.; Kjellstrom, T.; Flouris, A.D. Time-motion analysis as a novel approach for evaluating the impact of environmental heat exposure on labor loss in agriculture workers. Temperature 2017, 4, 330–340. [Google Scholar] [CrossRef]
- International Labour Organization. Working on a Warmer Planet: The Impact of Heat Stress on Labour Productivity and Decent Work; International Labour Organization: Geneva, Switzerland, 2019. [Google Scholar]
- Faul, F.; Erdfelder, E.; Lang, A.G.; Buchner, A. G*Power 3: A flexible statistical power analysis program for the social, behavioral, and biomedical sciences. Behav. Res. Methods 2007, 39, 175–191. [Google Scholar] [CrossRef]
- Masters, G.M. Renewable and Efficient Electric Power Systems; John Wiley & Sons: Hoboken, NJ, USA, 2013. [Google Scholar]
- Liljegren, J.C.; Carhart, R.A.; Lawday, P.; Tschopp, S.; Sharp, R. Modeling the Wet Bulb Globe Temperature Using Standard Meteorological Measurements. J. Occup. Environ. Hyg. 2008, 5, 645–655. [Google Scholar] [CrossRef]
- Ciuha, U.; Pogačar, T.; Bogataj, L.K.; Gliha, M.; Nybo, L.; Flouris, A.D.; Mekjavic, I.B. Interaction between Indoor Occupational Heat Stress and Environmental Temperature Elevations during Heat Waves. Weather Clim. Soc. 2019, 11, 755–762. [Google Scholar] [CrossRef]
- Vandentorren, S.; Suzan, F.; Medina, S.; Pascal, M.; Maulpoix, A.; Cohen, J.-C.; Ledrans, M. Mortality in 13 French cities during the August 2003 heat wave. Am. J. Public Health 2004, 94, 1518–1520. [Google Scholar] [CrossRef]
- Ramanathan, N.L. A New Weighting System for Mean Surface Temperature of the Human Body. J Appl. Physiol. 1964, 19, 531–533. [Google Scholar] [CrossRef]
- Schweiker, M.; Fuchs, X.; Becker, S.; Shukuya, M.; Dovjak, M.; Hawighorst, M.; Kolarik, J. Challenging the assumptions for thermal sensation scales. Build. Res. Inf. 2017, 45, 572–589. [Google Scholar] [CrossRef]
- American College of Sports, M.; Sawka, M.N.; Burke, L.M.; Eichner, E.R.; Maughan, R.J.; Montain, S.J.; Stachenfeld, N.S. American College of Sports Medicine position stand. Exercise and fluid replacement. Med. Sci. Sports Exerc. 2007, 39, 377–390. [Google Scholar]
- Jette, M.; Sidney, K.; Blümchen, G. Metabolic equivalents (METS) in exercise testing, exercise prescription, and evaluation of functional capacity. Clin. Cardiol. 1990, 13, 555–565. [Google Scholar] [CrossRef] [PubMed]
- Ainsworth, B.E.; Haskell, W.L.; Whitt, M.C.; Irwin, M.L.; Swartz, A.M.; Strath, S.J.; O Brien, W.L.; Bassett, D.R.; Schmitz, K.H.; Emplaincourt, P.O. Compendium of physical activities: An update of activity codes and MET intensities. Med. Sci. Sports Exerc. 2000, 32, S498–S504. [Google Scholar] [CrossRef] [PubMed]
- Schweitzer, P.K.; Muehlbach, M.J.; Walsh, J.K. Countermeasures for night work performance deficits: The effect of napping or caffeine on continuous performance at night. Work Stress 1992, 6, 355–365. [Google Scholar] [CrossRef]
- Ioannou, L.G.; Tsoutsoubi, L.; Mantzios, K.; Flouris, A.D. A free software to predict heat strain according to the ISO 7933:2018. Ind. Health 2019, 57, 711–720. [Google Scholar] [CrossRef] [PubMed]
- American Conference of Governmental Industrial Hygienists. TLVs and BEIs—Based on the Documentation of the Threshold Limit Values for Chemical Substances and Physical Agents & Biological Exposure Indices; ACGIH: Cincinnati, OH, USA, 2012. [Google Scholar]
- ISO. Ergonomics of the Thermal Environment—Analytical Determination and Interpretation of Heat Stress Using Calculation of the Predicted Heat Strain; ISO 7933; ISO: Geneve, Switzerland, 2004. [Google Scholar]
- Orlov, A.; Sillmann, J.; Aaheim, A.; Aunan, K.; de Bruin, K. Economic Losses of Heat-Induced Reductions in Outdoor Worker Productivity: A Case Study of Europe. Econ. Disasters Clim. Chang. 2019, 3, 191–211. [Google Scholar] [CrossRef]
- Hancock, P.A.; Vasmatzidis, I. Effects of heat stress on cognitive performance: The current state of knowledge. Int. J. Hyperth. 2003, 19, 355–372. [Google Scholar] [CrossRef]
- Gaoua, N.; Racinais, S.; Grantham, J.; El Massioui, F. Alterations in cognitive performance during passive hyperthermia are task dependent. Int. J. Hyperth. 2011, 27, 1–9. [Google Scholar] [CrossRef]
- Sawka, M.N.; Montain, S.J.; Latzka, W.A. Hydration effects on thermoregulation and performance in the heat. Comp. Biochem. Physiol. Part A Mol. Integr. Physiol. 2001, 128, 679–690. [Google Scholar] [CrossRef]
- Robert, A.O.; Scott, A.M.; LeRoy, A.P.; Carl, V.G. Accuracy of Urine Specific Gravity and Osmolality as Indicators of Hydration Status. Int. J. Sport Nutr. Exerc. Metab. 2005, 15, 236–251. [Google Scholar]
- Piil, J.F.; Lundbye-Jensen, J.; Christiansen, L.; Ioannou, L.; Tsoutsoubi, L.; Dallas, C.N.; Mantzios, K.; Flouris, A.D.; Nybo, L. High prevalence of hypohydration in occupations with heat stress—Perspectives for performance in combined cognitive and motor tasks. PLoS ONE 2018, 13, e0205321. [Google Scholar] [CrossRef]
- Masento, N.A.; Golightly, M.; Field, D.T.; Butler, L.T.; van Reekum, C.M. Effects of hydration status on cognitive performance and mood. Br. J. Nutr. 2014, 111, 1841–1852. [Google Scholar] [CrossRef]
- Lipczynska, A.; Schiavon, S.; Graham, L.T. Thermal comfort and self-reported productivity in an office with ceiling fans in the tropics. Build. Environ. 2018, 135, 202–212. [Google Scholar] [CrossRef]
- Romanovsky, A.A. Skin temperature: Its role in thermoregulation. Acta Physiol. 2014, 210, 498–507. [Google Scholar] [CrossRef]
- Schlader, Z.J.; Stannard, S.R.; Mündel, T. Exercise and heat stress: Performance, fatigue and exhaustion—A hot topic. Br. J. Sports Med. 2011, 45, 3–5. [Google Scholar] [CrossRef] [PubMed]
- Périard, J.; Racinais, S.; Sawka, M.N. Adaptations and mechanisms of human heat acclimation: Applications for competitive athletes and sports. Scand. J. Med. Sci. Sports 2015, 25, 20–38. [Google Scholar] [CrossRef]
- Sotiridis, A.; Debevec, T.; McDonnell, A.C.; Ciuha, U.; Eiken, O.; Mekjavic, I.B. Exercise cardiorespiratory and thermoregulatory responses in normoxic, hypoxic, and hot environment following 10-day continuous hypoxic exposure. J. Appl. Physiol. 2018, 125, 1284–1295. [Google Scholar] [CrossRef] [PubMed]
- Ioannou, L.G.; Tsoutsoubi, L.; Nybo, L.; Tsianos, G.I.; Flouris, A.D. Habitual heat exposure and acclimatization associated with athletic performance in the multistage marathon des sables. J. Hum. Perform. Extrem. Environ. 2018, 14, 9. [Google Scholar] [CrossRef]
- Radakovic, S.S.; Maric, J.; Surbatovic, M.; Radjen, S.; Stefanova, E.; Stankovic, N.; Filipovic, N. Effects of Acclimation on Cognitive Performance in Soldiers during Exertional Heat Stress. Mil. Med. 2007, 172, 133–136. [Google Scholar] [CrossRef]
- Fox, R.H.; Goldsmith, R.; Kidd, D.J.; Lewis, H.E. Acclimatization to heat in man by controlled elevation of body temperature. J. Physiol. 1963, 166, 530–547. [Google Scholar] [CrossRef]
- Corbett, J.; Neal, R.A.; Lunt, H.C.; Tipton, M.J. Adaptation to Heat and Exercise Performance Under Cooler Conditions: A New Hot Topic. Sports Med. 2014, 44, 1323–1331. [Google Scholar] [CrossRef] [PubMed]
- Piil, J.F.; Christiansen, L.; Morris, N.B.; Mikkelsen, C.J.; Ioannou, L.G.; Flouris, A.D.; Lundbye-Jensen, J.; Nybo, L. Direct exposure of the head to solar heat radiation impairs motor-cognitive performance. Sci. Rep. 2020, 10, 7812. [Google Scholar] [CrossRef] [PubMed]
- Flouris, A.D.; McGinn, R.; Poirier, M.P.; Louie, J.C.; Ioannou, L.G.; Tsoutsoubi, L.; Sigal, R.J.; Boulay, P.; Hardcastle, S.G.; Kenny, G.P. Screening criteria for increased susceptibility to heat stress during work or leisure in hot environments in healthy individuals aged 31–70 years. Temperature 2018, 5, 86–99. [Google Scholar] [CrossRef] [PubMed]
- Morris, N.B.; Levi, M.; Morabito, M.; Messeri, A.; Ioannou, L.G.; Flouris, A.D.; Samoutis, G.; Pogačar, T.; Bogataj, L.K.; Piil, J.F.; et al. Health vs. wealth: Employer, employee and policy-maker perspectives on occupational heat stress across multiple European industries. Temperature 2020, 1–18. [Google Scholar] [CrossRef]
- International Organization for Standardization. Clothing—Physiological Effects—Measurement of Thermal Insulation by Means of a Thermal Manikin; ISO 15831: 2004; ISO: Geneva, Switzerland, 2004. [Google Scholar]





Publisher’s Note: MDPI stays neutral with regard to jurisdictional claims in published maps and institutional affiliations. |
© 2021 by the authors. Licensee MDPI, Basel, Switzerland. This article is an open access article distributed under the terms and conditions of the Creative Commons Attribution (CC BY) license (http://creativecommons.org/licenses/by/4.0/).
Share and Cite
Ioannou, L.G.; Mantzios, K.; Tsoutsoubi, L.; Panagiotaki, Z.; Kapnia, A.K.; Ciuha, U.; Nybo, L.; Flouris, A.D.; Mekjavic, I.B. Effect of a Simulated Heat Wave on Physiological Strain and Labour Productivity. Int. J. Environ. Res. Public Health 2021, 18, 3011. https://doi.org/10.3390/ijerph18063011
Ioannou LG, Mantzios K, Tsoutsoubi L, Panagiotaki Z, Kapnia AK, Ciuha U, Nybo L, Flouris AD, Mekjavic IB. Effect of a Simulated Heat Wave on Physiological Strain and Labour Productivity. International Journal of Environmental Research and Public Health. 2021; 18(6):3011. https://doi.org/10.3390/ijerph18063011
Chicago/Turabian StyleIoannou, Leonidas G., Konstantinos Mantzios, Lydia Tsoutsoubi, Zoe Panagiotaki, Areti K. Kapnia, Ursa Ciuha, Lars Nybo, Andreas D. Flouris, and Igor B. Mekjavic. 2021. "Effect of a Simulated Heat Wave on Physiological Strain and Labour Productivity" International Journal of Environmental Research and Public Health 18, no. 6: 3011. https://doi.org/10.3390/ijerph18063011
APA StyleIoannou, L. G., Mantzios, K., Tsoutsoubi, L., Panagiotaki, Z., Kapnia, A. K., Ciuha, U., Nybo, L., Flouris, A. D., & Mekjavic, I. B. (2021). Effect of a Simulated Heat Wave on Physiological Strain and Labour Productivity. International Journal of Environmental Research and Public Health, 18(6), 3011. https://doi.org/10.3390/ijerph18063011

