Nine Months into the COVID-19 Pandemic: A Longitudinal Study Showing Mental Health and Movement Behaviours Are Impaired in UK Students
Abstract
1. Introduction
2. Materials and Methods
3. Results
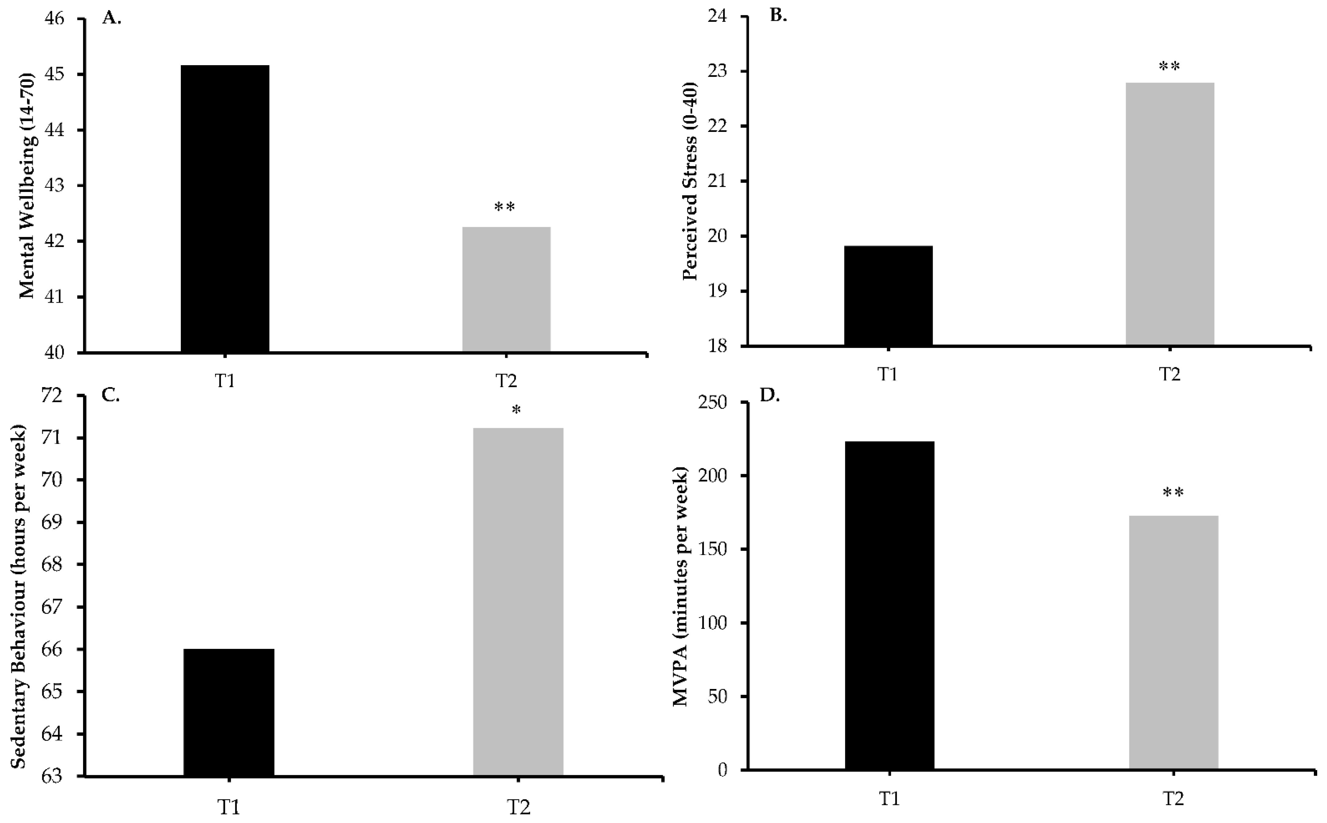
3.1. Changes in Mental Wellbeing, Stress, Sedentary Behaviour and MVPA
3.2. Factors Associated with Changes in Mental Wellbeing
4. Discussion
5. Conclusions
Supplementary Materials
Author Contributions
Funding
Institutional Review Board Statement
Informed Consent Statement
Data Availability Statement
Conflicts of Interest
References
- Copeland, W.E.; McGinnis, E.; Bai, Y.; Adams, Z.; Nardone, H.; Devadanam, V.; Rettew, J.; Hudziak, J.J. Impact of COVID-19 Pandemic on College Student Mental Health and Wellness. J. Am. Acad. Child Adolesc. Psychiatry 2021, 60, 134–141. [Google Scholar] [CrossRef]
- Elmer, T.; Mepham, K.; Stadtfeld, C. Students under lockdown: Comparisons of students’ social networks and mental health before and during the COVID-19 crisis in Switzerland. PLoS ONE 2020, 15, e0236337. [Google Scholar] [CrossRef] [PubMed]
- Gallego-Gómez, J.I.; Campillo-Cano, M.; Carrión-Martínez, A.; Balanza, S.; Rodríguez-González-Moro, M.T.; Simonelli-Muñoz, A.J.; Rivera-Caravaca, J.M. The COVID-19 Pandemic and Its Impact on Homebound Nursing Students. Int. J. Environ. Res. Public Health 2020, 17, 7383. [Google Scholar] [CrossRef]
- Li, Y.; Zhao, J.; Ma, Z.; McReynolds, L.S.; Lin, D.; Chen, Z.; Wang, T.; Wang, D.; Zhang, Y.; Zhang, J.; et al. Mental Health among College Students during the COVID-19 Pandemic in China: A 2-Wave Longitudinal Survey. J. Affect. Disord. 2021, 281, 597–604. [Google Scholar] [CrossRef]
- Li, H.Y.; Cao, H.; Leung, D.Y.P.; Mak, Y.W. The Psychological Impacts of a COVID-19 Outbreak on College Students in China: A Longitudinal Study. Int. J. Environ. Res. Public Health 2020, 17, 3933. [Google Scholar] [CrossRef]
- Saraswathi, I.; Saikarthik, J.; Kumar, K.S.; Srinivasan, K.M.; Ardhanaari, M.; Gunapriya, R. Impact of COVID-19 outbreak on the mental health status of undergraduate medical students in a COVID-19 treating medical college: A prospective longitudinal study. PeerJ 2020, 8, e10164. [Google Scholar] [CrossRef] [PubMed]
- Savage, M.J.; James, R.; Magistro, D.; Donaldson, J.; Healy, L.C.; Nevill, M.; Hennis, P.J. Mental health and movement behaviour during the COVID-19 pandemic in UK university students: Prospective cohort study. Ment. Health Phys. Act. 2020, 19, 100357. [Google Scholar] [CrossRef]
- Rhodes, R.E.; Janssen, I.; Bredin, S.S.; Warburton, D.E.; Bauman, A. Physical activity: Health impact, prevalence, correlates and interventions. Psychol. Health 2017, 32, 942–975. [Google Scholar] [CrossRef]
- Schuch, F.B.; Vancampfort, D.; Firth, J.; Rosenbaum, S.; Ward, P.B.; Silva, E.S.; Hallgren, M.; De Leon, A.P.; Dunn, A.L.; Deslandes, A.C.; et al. Physical Activity and Incident Depression: A Meta-Analysis of Prospective Cohort Studies. Am. J. Psychiatry 2018, 175, 631–648. [Google Scholar] [CrossRef]
- Barkley, J.E.; Lepp, A.; Glickman, E.; Farnell, G.; Beiting, J.; Wiet, R.; Dowdell, B. The Acute Effects of the COVID-19 Pandemic on Physical Activity and Sedentary Behavior in University Students and Employees. Int. J. Exerc. Sci. 2020, 13, 1326–1339. [Google Scholar] [PubMed]
- Coughenour, C.; Gakh, M.; Pharr, J.R.; Bungum, T.; Jalene, S. Changes in Depression and Physical Activity among College Students on a Diverse Campus After a COVID-19 Stay-at-Home Order. J. Community Health 2020, 1–9. [Google Scholar] [CrossRef]
- Gallè, F.; Sabella, E.A.; Ferracuti, S.; De Giglio, O.; Caggiano, G.; Protano, C.; Valeriani, F.; Parisi, E.A.; Valerio, G.; Liguori, G.; et al. Sedentary Behaviors and Physical Activity of Italian Undergraduate Students during Lockdown at the Time of CoViD-19 Pandemic. Int. J. Environ. Res. Public Health 2020, 17, 6171. [Google Scholar] [CrossRef]
- Gallo, L.A.; Gallo, T.F.; Young, S.L.; Moritz, K.M.; Akison, L.K. The Impact of Isolation Measures Due to COVID-19 on Energy Intake and Physical Activity Levels in Australian University Students. Nutrients 2020, 12, 1865. [Google Scholar] [CrossRef] [PubMed]
- Luciano, F.; Cenacchi, V.; Vegro, V.; Pavei, G. COVID-19 lockdown: Physical activity, sedentary behaviour and sleep in Italian medicine students. Eur. J. Sport Sci. 2020, 1–22. [Google Scholar] [CrossRef]
- Srivastav, A.K.; Sharma, N.; Samuel, A.J. Impact of Coronavirus disease-19 (COVID-19) lockdown on physical activity and energy expenditure among physiotherapy professionals and students using web-based open E-survey sent through WhatsApp, Facebook and Instagram messengers. Clin. Epidemiol. Glob. Health 2021, 9, 78–84. [Google Scholar] [CrossRef]
- Lin, J.; Guo, T.; Becker, B.; Yu, Q.; Chen, S.T.; Brendon, S.; Hossain, M.M.; Cunha, P.M.; Soares, F.C.; Veronese, N.; et al. Depression is Associated with Moderate-Intensity Physical Activity Among College Students During the COVID-19 Pandemic: Differs by Activity Level, Gender and Gender Role. Psychol. Res. Behav. Manag. 2020, 13, 1123–1134. [Google Scholar] [CrossRef]
- Maher, J.P.; Hevel, D.J.; Reifsteck, E.J.; Drollette, E.S. Physical activity is positively associated with college students’ positive affect regardless of stressful life events during the COVID-19 pandemic. Psychol. Sport Exerc. 2021, 52, 101826. [Google Scholar] [CrossRef] [PubMed]
- Xiang, M.Q.; Tan, X.M.; Sun, J.; Yang, H.Y.; Zhao, X.P.; Liu, L.; Hou, X.H.; Hu, M. Relationship of physical activity with anxiety and depression symptoms in Chinese college students during the COVID-19 outbreak. Front. Psychol. 2020, 11, 582436. [Google Scholar] [CrossRef]
- Zhang, Y.; Zhang, H.; Ma, X.; Di, Q. Mental Health Problems during the COVID-19 Pandemics and the Mitigation Effects of Exercise: A Longitudinal Study of College Students in China. Int. J. Environ. Res. Public Health 2020, 17, 3722. [Google Scholar] [CrossRef]
- Pierce, M.; Hope, H.; Ford, T.; Hatch, S.; Hotopf, M.; John, A.; Kontopantelis, E.; Webb, R.; Wessely, S.; McMannus, S.; et al. Mental health before and during the COVID-19 pandemic: A longitudinal probability sample survey of the UK population. Lancet Psychiatry 2020, 7, 883–892. [Google Scholar] [CrossRef]
- Fancourt, D.; Steptoe, A.; Bu, F. Trajectories of anxiety and depressive symptoms during enforced isolation due to COVID-19 in England: A longitudinal observational study. Lancet Psychiatry 2021, 8, 141–149. [Google Scholar] [CrossRef]
- Surtees, P.G.; Wainwright, N.W.; Pharoah, P.D. Psychosocial factors and sex differences in high academic attainment at Cambridge University. Oxf. Rev. Educ. 2002, 28, 21–38. [Google Scholar] [CrossRef]
- Coleman, K.J.; Ngor, E.; Reynolds, K.; Quinn, V.P.; Koebnick, C.; Young, D.R.; Sternfeld, B.; Sallis, R.E. Initial validation of an exercise “vital sign” in electronic medical records. Med. Sci. Sports Exerc. 2012, 44, 2071–2076. [Google Scholar] [CrossRef] [PubMed]
- Armstrong, T.; Bull, F. Development of the World Health Organization Global Physical Activity Questionnaire (GPAQ). J. Public Health 2006, 14, 66–70. [Google Scholar] [CrossRef]
- Cohen, S.; Kamarck, T.; Mermelstein, R. A global measure of perceived stress. J. Health Soc. Behav. 1983, 24, 385–396. [Google Scholar] [CrossRef]
- Denovan, A.; Dagnall, N.; Dhingra, K.; Grogan, S. Evaluating the perceived stress scale among UK university students: Implications for stress measurement and management. Stud. High. Educ. 2019, 44, 120–133. [Google Scholar] [CrossRef]
- Tennant, R.; Hiller, L.; Fishwick, R.; Platt, S.; Joseph, S.; Weich, S.; Parkinson, J.; Secker, J.; Stewart-Brown, S. The Warwick-Edinburgh Mental Well-being Scale (WEMWBS): Development and UK validation. Health Qual. Life Outcomes 2007, 5, 63. [Google Scholar] [CrossRef] [PubMed]
- Cohen, J. A power primer. Psychol. Bull. 1992, 112, 155. [Google Scholar] [CrossRef] [PubMed]
- Brooks, S.K.; Webster, R.K.; Smith, L.E.; Woodland, L.; Wessely, S.; Greenberg, N.; Rubin, G.J. The psychological impact of quarantine and how to reduce it: Rapid review of the evidence. Lancet 2020, 395, 912–920. [Google Scholar] [CrossRef]
- Cao, W.; Fang, Z.; Hou, G.; Han, M.; Xu, X.; Dong, J.; Zheng, J. The psychological impact of the COVID-19 epidemic on college students in China. Psychiatry Res. 2020, 287, 112934. [Google Scholar] [CrossRef] [PubMed]
- Huang, J.; Nigatu, Y.T.; Smail-Crevier, R.; Zhang, X.; Wang, J. Interventions for common mental health problems among university and college students: A systematic review and meta-analysis of randomized controlled trials. J. Psychiatr. Res. 2018, 107, 1–10. [Google Scholar] [CrossRef]
- Deliens, T.; Deforche, B.; De Bourdeaudhuij, I.; Clarys, P. Determinants of physical activity and sedentary behaviour in university students: A qualitative study using focus group discussions. BMC Public Health 2015, 15, 201. [Google Scholar] [CrossRef] [PubMed]
- Bailey, A.P.; Hetrick, S.; Rosenbaum, S.; Purcell, R.; Parker, A.G. Treating depression with physical activity in adolescents and young adults: A systematic review and meta-analysis of randomised controlled trials. Psychol. Med. 2018, 48, 1068–1083. [Google Scholar] [CrossRef]
- Saunders, T.J.; Larouche, R.; Colley, R.C.; Tremblay, M.S. Acute sedentary behaviour and markers of cardiometabolic risk: A systematic review of intervention studies. J. Nutr. Metab. 2012, 2012, 712435. [Google Scholar] [CrossRef] [PubMed]
- Aceijas, C.; Waldhäusl, S.; Lambert, N.; Cassar, S.; Bello-Corassa, R. Determinants of health-related lifestyles among university students. Perspect. Public Health 2016, 137, 227–236. [Google Scholar] [CrossRef]
- Ibrahim, A.K.; Kelly, S.J.; Adams, C.E.; Glazebrook, C. A systematic review of studies of depression prevalence in university students. J. Psychiatr. Res. 2013, 47, 391–400. [Google Scholar] [CrossRef]
- Lascar, N.; Brown, J.; Pattison, H.; Barnett, A.H.; Bailey, C.J.; Bellary, S. Type 2 diabetes in adolescents and young adults. Lancet Diabetes Endocrinol. 2018, 6, 69–80. [Google Scholar] [CrossRef]
- Vadeboncoeur, C.; Foster, C.; Townsend, N. Freshman 15 in England: A longitudinal evaluation of first year university student’s weight change. BMC Obes. 2016, 3, 45. [Google Scholar] [CrossRef]
- Hammami, A.; Harrabi, B.; Mohr, M.; Krustrup, P. Physical activity and coronavirus disease 2019 (COVID-19): Specific recommendations for home-based physical training. Manag. Sport Leis. 2020, 1–6. [Google Scholar] [CrossRef]
- Kaushal, N.; Keith, N.; Aguiñaga, S.; Hagger, M.S. Social Cognition and Socioecological Predictors of Home-Based Physical Activity Intentions, Planning, and Habits during the COVID-19 Pandemic. Behav. Sci. 2020, 10, 133. [Google Scholar] [CrossRef]
- Linden, B.; Stuart, H. Post-Secondary Stress and Mental Well-Being: A Scoping Review of the Academic Literature. Can. J. Community Ment. Health 2020, 39, 1–32. [Google Scholar] [CrossRef]
- Hoare, E.; Milton, K.; Foster, C.; Allender, S. The associations between sedentary behaviour and mental health among adolescents: A systematic review. Int. J. Behav. Nutr. Phys. Act. 2016, 13, 108. [Google Scholar] [CrossRef]
- Majumdar, P.; Biswas, A.; Sahu, S. COVID-19 pandemic and lockdown: Cause of sleep disruption, depression, somatic pain, and increased screen exposure of office workers and students of India. Chrono-Int. 2020, 37, 1191–1200. [Google Scholar] [CrossRef]
- Macaskill, A. The mental health of university students in the United Kingdom. Br. J. Guid. Couns. 2013, 41, 426–441. [Google Scholar] [CrossRef]
- Proto, E.; Quintana-Domeque, C. COVID-19 and mental health deterioration by ethnicity and gender in the UK. PLoS ONE 2021, 16, e0244419. [Google Scholar] [CrossRef] [PubMed]
- Hamza, C.A.; Ewing, L.; Heath, N.L.; Goldstein, A.L. When social isolation is nothing new: A longitudinal study psychological distress during COVID-19 among university students with and without preexisting mental health concerns. Can. Psychol. Can. 2020. [Google Scholar] [CrossRef]
- James, P.; Weissman, J.; Wolf, J.; Mumford, K.G.; Contant, C.K.; Hwang, W.-T.; Taylor, L.; Glanz, K. Comparing GPS, Log, Survey, and Accelerometry to Measure Physical Activity. Am. J. Health Behav. 2016, 40, 123–131. [Google Scholar] [CrossRef]
- Loprinzi, P.D. Objectively measured light and moderate-to-vigorous physical activity is associated with lower depression levels among older US adults. Aging Ment. Health 2013, 17, 801–805. [Google Scholar] [CrossRef] [PubMed]
- Porter, S.R.; Whitcomb, M.E. Non-response in student surveys: The Role of Demographics, Engagement and Personality. Res. High. Educ. 2005, 46, 127–152. [Google Scholar] [CrossRef]
- Eysenbach, G. The Law of Attrition. J. Med. Internet Res. 2005, 7, e11. [Google Scholar] [CrossRef] [PubMed]
- Kelders, S.M.; Kok, R.N.; Ossebaard, H.C.; Van Gemert-Pijnen, J.E. Persuasive system design does matter: A systematic review of adherence to web-based interventions. J. Med. Internet Res. 2012, 14, e152. [Google Scholar] [CrossRef] [PubMed]
- Rübsamen, N.; Akmatov, M.K.; Castell, S.; Karch, A.; Mikolajczyk, R.T. Factors associated with attrition in a longitudinal online study: Results from the HaBIDS panel. BMC Med. Res. Methodol. 2017, 17, 132. [Google Scholar] [CrossRef] [PubMed]


| N (%) or Mean ± SD | |
|---|---|
| Age (y) | |
| 18 | 1 (0.4) |
| 19 | 40 (15.7) |
| 20 | 72 (28.2) |
| 21 | 65 (25.5) |
| 22–25 | 51 (20.0) |
| 26–35 | 20 (7.8) |
| 35+ | 6 (2.4) |
| Gender | |
| Male | 59 (23.1) |
| Female | 193 (75.7) |
| Neither of the above/other | 2 (0.8) |
| Prefer not to say | 1 (0.34) |
| Ethnicity | |
| White | 209 (82.0) |
| Mixed | 9 (3.5) |
| Asian | 23 (9.0) |
| Black | 9 (3.5) |
| Other | 3 (1.2) |
| Prefer not to say | 2 (0.8) |
| Height (m) | 1.68 ± 0.10 |
| Weight (kg) | 70.2 ± 18.1 |
| BMI | 24.9 ± 6.0 |
| University year group | |
| Year 1 | 3 (1.2) |
| Year 2 | 88 (34.5) |
| Year 3 | 108 (42.34) |
| Year 4 | 36 (14.1) |
| Other/Not answered | 20 (7.8) |
| Diagnosed long-term mental health condition | |
| No mental health condition | 178 (69.8) |
| Any mental health condition | 77 (30.2) |
| Anxiety (Singular) | 19 (24.7) |
| Depression (Singular) | 4 (5.2) |
| Anxiety and Depression | 36 (46.8) |
| OCD | 5 (6.5) |
| Mood disorder | 5 (6.5) |
| Eating disorder | 3 (3.9) |
| Insomnia | 2 (2.6) |
| PTSD | 2 (2.6) |
| Schizophrenia | 1 (1.3) |
| Unstandardized Coefficients | Standardized Coefficients | t | p | ||
|---|---|---|---|---|---|
| B | SE | Beta | |||
| Gender | 1.453 | 0.871 | 0.078 | 1.668 | 0.097 |
| Ethnicity | 0.098 | 0.098 | 0.048 | 0.997 | 0.320 |
| University year group | 0.978 | 0.461 | 0.102 | 2.125 | 0.035 |
| Δ Perceived stress | −0.817 | 0.061 | −0.649 | −13.468 | <0.001 |
| Δ Sedentary behaviour | −0.000 | 0.000 | −0.135 | −2.761 | 0.006 |
| Δ MVPA | 0.000 | 0.003 | 0.005 | 0.108 | 0.914 |
Publisher’s Note: MDPI stays neutral with regard to jurisdictional claims in published maps and institutional affiliations. |
© 2021 by the authors. Licensee MDPI, Basel, Switzerland. This article is an open access article distributed under the terms and conditions of the Creative Commons Attribution (CC BY) license (http://creativecommons.org/licenses/by/4.0/).
Share and Cite
Savage, M.J.; Hennis, P.J.; Magistro, D.; Donaldson, J.; Healy, L.C.; James, R.M. Nine Months into the COVID-19 Pandemic: A Longitudinal Study Showing Mental Health and Movement Behaviours Are Impaired in UK Students. Int. J. Environ. Res. Public Health 2021, 18, 2930. https://doi.org/10.3390/ijerph18062930
Savage MJ, Hennis PJ, Magistro D, Donaldson J, Healy LC, James RM. Nine Months into the COVID-19 Pandemic: A Longitudinal Study Showing Mental Health and Movement Behaviours Are Impaired in UK Students. International Journal of Environmental Research and Public Health. 2021; 18(6):2930. https://doi.org/10.3390/ijerph18062930
Chicago/Turabian StyleSavage, Matthew J., Philip J. Hennis, Daniele Magistro, James Donaldson, Laura C. Healy, and Ruth M. James. 2021. "Nine Months into the COVID-19 Pandemic: A Longitudinal Study Showing Mental Health and Movement Behaviours Are Impaired in UK Students" International Journal of Environmental Research and Public Health 18, no. 6: 2930. https://doi.org/10.3390/ijerph18062930
APA StyleSavage, M. J., Hennis, P. J., Magistro, D., Donaldson, J., Healy, L. C., & James, R. M. (2021). Nine Months into the COVID-19 Pandemic: A Longitudinal Study Showing Mental Health and Movement Behaviours Are Impaired in UK Students. International Journal of Environmental Research and Public Health, 18(6), 2930. https://doi.org/10.3390/ijerph18062930

