Sibling Relationships of Adolescents with Congenital Heart Disease
Abstract
1. Introduction
2. Materials and Methods
2.1. Setting and Participants
2.2. Data Collection Procedure
2.3. Measurement
Sibling Relationship Questionnaire (SRQ)
2.4. Data Analysis
3. Results
3.1. General Characteristics of Adolescents with CHD, Parents, and Siblings
3.2. Sibling Relationships with CHD Adolescents
3.3. Sibling Relationships According to Participant General Characteristic
3.4. Sibling Relationships According to General Characteristics of the Parents and Siblings
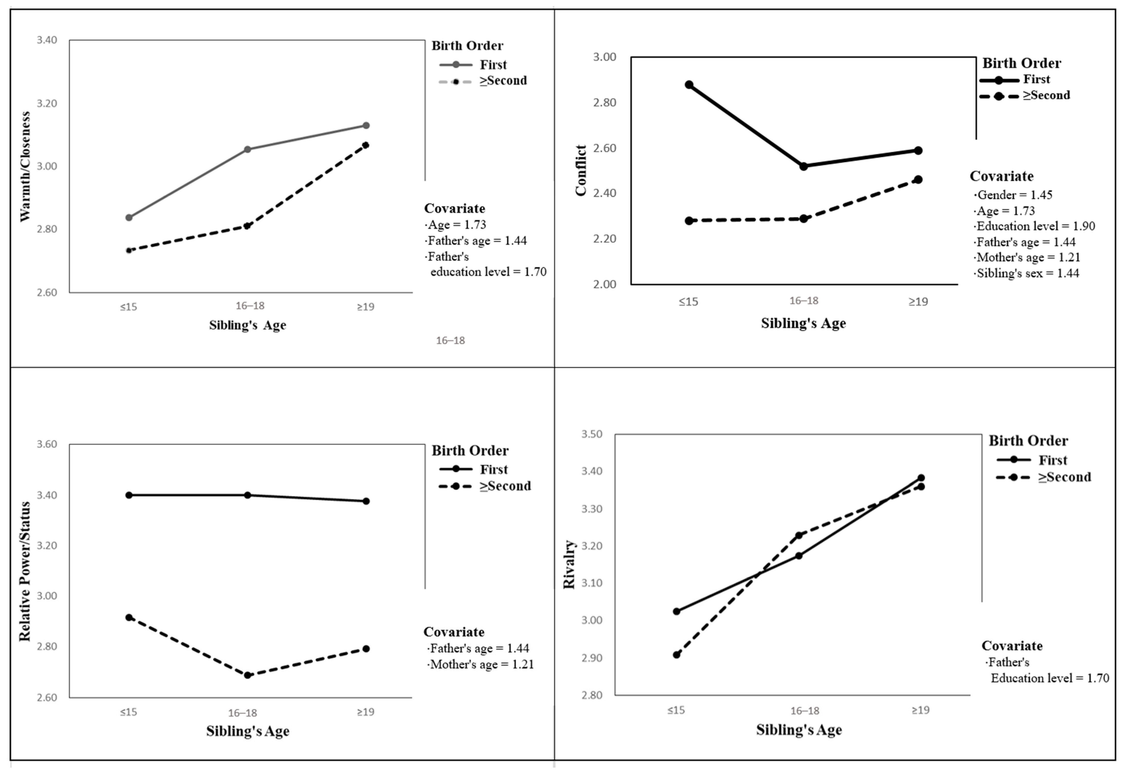
3.5. Sibling Relationship According to Birth Order and Sibling’s Age
4. Discussion
Limitations
5. Conclusions
Author Contributions
Funding
Institutional Review Board Statement
Informed Consent Statement
Data Availability Statement
Conflicts of Interest
References
- Rassart, J.; Apers, S.; Kovacs, A.H.; Moons, P.; Thomet, C.; Budts, W.; Enomoto, J.; Sluman, M.A.; Wang, J.K.; Jackson, J.L.; et al. Illness perceptions in adult congenital heart disease: A multi-center international study. Int. J. Cardiol. 2017, 244, 130–138. [Google Scholar] [CrossRef]
- Ahn, J.A.; Lee, S. The adaptation process of mothers raising a child with complex congenital heart disease. J. Child Health Care Prof. Work. Child. Hosp. Community 2018, 22, 520–531. [Google Scholar] [CrossRef] [PubMed]
- Jackson, A.C.; Frydenberg, E.; Liang, R.P.; Higgins, R.O.; Murphy, B.M. Familial impact and coping with child heart disease: A systematic review. Pediatric Cardiol. 2015, 36, 695–712. [Google Scholar] [CrossRef] [PubMed]
- Katz, C.; Hamama, L. The sibling relationship in the context of child maltreatment: What do we know? What are the directions for the future? Trauma Violence Abus. 2018, 19, 343–351. [Google Scholar] [CrossRef] [PubMed]
- Hallion, M.; Taylor, A.; Roberts, R. Complete mental health in adult siblings of those with a chronic illness or disability. Disabil. Rehabil. 2018, 40, 296–301. [Google Scholar] [CrossRef] [PubMed]
- Moser, C.J.; Jones, R.A.; Zaorski, D.M.; Mirsalimi, H.; Luchner, A.F. The impact of the sibling in clinical practice: Transference and countertransference dynamics. Psychother. Theory Res. Pract. Train. 2005, 42, 267. [Google Scholar] [CrossRef]
- Buist, K.L.; Vermande, M. Sibling relationship patterns and their associations with child competence and problem behavior. J. Fam. Psychol. JFP J. Div. Fam. Psychol. Am. Psychol. Assoc. 2014, 28, 529–537. [Google Scholar] [CrossRef] [PubMed]
- Buist, K.L.; Deković, M.; Prinzie, P. Sibling relationship quality and psychopathology of children and adolescents: A meta-analysis. Clin. Psychol. Rev. 2013, 33, 97–106. [Google Scholar] [CrossRef] [PubMed]
- Dinleyici, M.; Çarman, K.B.; Özdemir, C.; Harmancı, K.; Eren, M.; Kirel, B.; Şimşek, E.; Yarar, C.; Duyan Çamurdan, A.; Şahin Dağlı, F. Quality-of-life evaluation of healthy siblings of children with chronic illness. Balk. Med. J. 2019, 37, 34–42. [Google Scholar] [CrossRef] [PubMed]
- Parker, H. Impact of congenital heart disease on siblings. J. Child. Health Care 2020, 24, 297–316. [Google Scholar] [CrossRef]
- Gan, L.L.; Lum, A.; Wakefield, C.E.; Nandakumar, B.; Fardell, J.E. School experiences of siblings of children with chronic illness: A systematic literature review. J. Pediatric Nurs. 2017, 33, 23–32. [Google Scholar] [CrossRef] [PubMed]
- Webster, M. Siblings’ caring roles in families with a child with epilepsy. Sociol. Health Illn. 2018, 40, 204–217. [Google Scholar] [CrossRef]
- Havill, N.; Fleming, L.K.; Knafl, K. Well siblings of children with chronic illness: A synthesis research study. Res. Nurs. Health 2019, 42, 334–348. [Google Scholar] [CrossRef]
- Buist, K.L.; Van Tergouw, M.S.; Koot, H.M.; Branje, S. Longitudinal linkages between older and younger sibling depressive symptoms and perceived sibling relationship quality. J. Youth Adolesc. 2019, 48, 1190–1202. [Google Scholar] [CrossRef] [PubMed]
- Buist, K.L.; Metindogan, A.; Coban, S.; Watve, S.; Paranjpe, A.; Koot, H.M.; Van Lier, P.; Branje, S.J.T.; Meeus, W.H.J. Cross-cultural differences in sibling power balance and its concomitants across three age periods. New Dir. Child Adolesc. Dev. 2017, 2017, 87–104. [Google Scholar] [CrossRef] [PubMed]
- Campione-Barr, N. The changing nature of power, control, and influence in sibling relationships. New Dir. Child Adolesc. Dev. 2017, 2017, 7–14. [Google Scholar] [CrossRef] [PubMed]
- Volling, B.L.; Kennedy, D.E.; Jackey, L.M. The development of sibling jealousy. In Handbook of Jealousy: Theory, Research, and Multidisciplinary Approaches; Hart, S.L., Legerstee, M., Eds.; Wiley Blackwell: Hoboken, NJ, USA, 2010; pp. 387–417. [Google Scholar]
- Furman, W.; Buhrmester, D. Children’s perceptions of the qualities of sibling relationships. Child. Dev. 1985, 56, 448–461. [Google Scholar] [CrossRef] [PubMed]
- Young Yae Park, O.B.C. Parental childrearing, behavior, children’s sibling relationships and children’s self-esteem. Korean J. Child. Stud. 1996, 17, 189–212. [Google Scholar]
- Warnes, C.A.; Liberthson, R.; Danielson, G.K.; Dore, A.; Harris, L.; Hoffman, J.I.; Somerville, J.; Williams, R.G.; Webb, G.D. Task force 1: The changing profile of congenital heart disease in adult life. J. Am. Coll. Cardiol. 2001, 37, 1170–1175. [Google Scholar] [CrossRef]
- Howe, N.; Karos, L.K.; Aquan-Assee, J. Sibling relationship quality in early adolescence: Child and maternal perceptions and daily interactions. Infant. Child. Dev. 2011, 20, 227–245. [Google Scholar] [CrossRef]
- Robertson, R.; Shepherd, D.; Goedeke, S. Fighting like brother and sister: Sibling relationships and future adult romantic relationship quality. Aust. Psychol. 2014, 49, 37–43. [Google Scholar] [CrossRef]
- Smith, A.L.; Romski, M.; Sevcik, R.A. Examining the role of communication on sibling relationship quality and interaction for sibling pairs with and without a developmental disability. Am. J. Intellect. Dev. Disabil. 2013, 118, 394–409. [Google Scholar] [CrossRef] [PubMed]
- Granat, T.; Nordgren, I.; Rein, G.; Sonnander, K. Group intervention for siblings of children with disabilities: A pilot study in a clinical setting. Disabil. Rehabil. 2012, 34, 69–75. [Google Scholar] [CrossRef] [PubMed]
- Lee, J. Inheritance in Korean families: Experiences of adult children heirs and changes in family relationships. Fam. Study 2017, 29, 225–264. [Google Scholar]
- Begum, G.; Blacher, J. The siblings relationship of adolescents with and without intellectual disabilities. Res. Dev. Disabil. 2011, 32, 1580–1588. [Google Scholar] [CrossRef] [PubMed]
- Sulloway, F. Birth order and evolutionary psychology. In The Cambridge Handbook of Evolutionary; Human Behavior: Cambridge, UK, 2020. [Google Scholar]
- Vivona, J.M. Sibling differentiation, identity development, and the lateral dimension of psychic life. J. Am. Psychoanal. Assoc. 2007, 55, 1191–1215. [Google Scholar] [CrossRef] [PubMed]
- Im, Y.M.; Lee, S.; Yun, T.J.; Choi, J.Y. School-related adjustment in children and adolescents with chd. Cardiol. Young 2017, 27, 1349–1355. [Google Scholar] [CrossRef] [PubMed][Green Version]
- Coles, P. Sibling rivalry at work; from family to groups. Psychodyn. Pract. 2015, 21, 254–263. [Google Scholar] [CrossRef]

| Variable | Categories | n | % |
|---|---|---|---|
| Characteristics of participants | |||
| Sex | Male | 61 | 55.5 |
| Female | 49 | 44.5 | |
| Age | 13–15 | 54 | 49.1 |
| 16–18 | 32 | 29.1 | |
| 19–21 | 24 | 21.8 | |
| Education level | Middle school | 44 | 40.0 |
| High school | 39 | 35.5 | |
| College | 21 | 19.1 | |
| Others | 6 | 5.5 | |
| Frequency of heart surgery | 1 | 63 | 57.3 |
| 2 | 26 | 23.6 | |
| 3 | 12 | 10.9 | |
| 4 | 9 | 8.2 | |
| Complications | Yes | 10 | 9.1 |
| No | 100 | 90.9 | |
| Medicine | Yes | 61 | 55.5 |
| No | 49 | 44.5 | |
| NYHA class | 1 | 65 | 59.1 |
| 2 | 40 | 36.4 | |
| 3 | 5 | 4.5 | |
| Severity of CHD | Simple | 15 | 13.8 |
| Moderate severity | 61 | 56.0 | |
| Great complexity | 33 | 30.3 | |
| Birth order | First | 45 | 40.9 |
| ≥Second | 65 | 59.1 | |
| Characteristics of parents and siblings | |||
| Father’s age | ≤49 | 61 | 56.0 |
| ≥50 | 48 | 44.0 | |
| Mother’s age | ≤49 | 87 | 79.1 |
| ≥50 | 23 | 20.9 | |
| Father’s education level | ≤High school | 45 | 41.3 |
| College | 53 | 48.6 | |
| Graduate school or beyond | 11 | 10.1 | |
| Mother’s education level | ≤High school | 50 | 45.9 |
| College | 53 | 48.6 | |
| Graduate school or beyond | 6 | 5.5 | |
| Sibling’s sex | Male | 62 | 56.4 |
| Female | 48 | 43.6 | |
| Sibling’s age | ≤15 | 46 | 41.8 |
| 16–18 | 34 | 30.9 | |
| ≥19 | 30 | 27.3 | |
| Variable | Sub-Categories | Mean ± SD | Item Number | Range |
|---|---|---|---|---|
| Sibling relationships | Warmth/Closeness | 2.90 ± 0.84 | 21 | 1~5 |
| Conflict | 2.54 ± 0.96 | 9 | ||
| Relative Power/Status | 3.03 ± 0.57 | 12 | ||
| Rivalry | 3.16 ± 0.55 | 6 | ||
| Total | 2.90 ± 0.44 | 48 |
| Variables | Warmth/Closeness | Conflict | Relative Power/Status | Rivalry | ||||
|---|---|---|---|---|---|---|---|---|
| Mean ± SD | t or F (p) | Mean ± SD | t or F (p) | Mean ± SD | t or F (p) | Mean ± SD | t or F (p) | |
| Sex | ||||||||
| Male | 2.96 ± 0.75 | 0.75 (0.46) | 2.26 ± 0.86 | −3.69 (0.00) | 2.94 ± 0.54 | −1.91 (0.06) | 3.17 ± 0.64 | 0.13 (0.89) |
| Female | 2.83 ± 0.94 | 2.90 ± 0.97 | 3.14 ± 0.58 | 3.16 ± 0.42 | ||||
| Age | ||||||||
| 13–15 | 2.70 ± 0.87 | 3.15 (0.05) | 2.88 ± 1.01 | 7.52 (0.00) | 3.04 ± 0.64 | 0.04 (0.96) | 3.18 ± 0.52 | 0.30 (0.74) |
| 16–18 | 3.05 ± 0.72 | 2.26 ± 0.89 | 3.04 ± 0.49 | 3.10 ± 0.53 | ||||
| 19–21 | 3.14 ± 0.84 | 2.15 ± 0.64 | 3.00 ± 0.50 | 3.22 ± 0.66 | ||||
| Education level | ||||||||
| Middle school | 2.74 ± 0.88 | 1.6 (0.19) | 2.93 ± 1.02 | 4.29 (0.01) | 3.09 ± 0.63 | 0.63 (0.60) | 3.18 ± 0.53 | 0.94 (0.43) |
| High school | 2.94 ± 0.79 | 2.30 ± 0.95 | 2.99 ± 0.55 | 3.15 ± 0.51 | ||||
| College | 3.21 ± 0.80 | 2.24 ± 0.67 | 2.94 ± 0.51 | 3.25 ± 0.66 | ||||
| Others | 2.79 ± 0.91 | 2.39 ± 0.50 | 3.21 ± 0.24 | 2.83 ± 0.59 | ||||
| Frequency of heart surgery | ||||||||
| 1 | 2.85 ± 0.91 | 0.24 (0.87) | 2.63 ± 0.93 | 1.50 (0.22) | 3.00 ± 0.53 | 2.44 (0.07) | 3.19 ± 0.58 | 0.36 (0.79) |
| 2 | 3.00 ± 0.73 | 2.63 ± 1.04 | 3.26 ± 0.69 | 3.19 ± 0.55 | ||||
| 3 | 2.98 ± 0.77 | 2.30 ± 0.76 | 2.81 ± 0.34 | 3.01 ± 0.43 | ||||
| 4 | 2.84 ± 0.77 | 2.00 ± 1.07 | 2.86 ± 0.48 | 3.13 ± 0.57 | ||||
| Complications | ||||||||
| Yes | 3.03 ± 0.72 | 0.52 (0.60) | 2.28 ± 1.12 | −0.92 (0.36) | 2.85 ± 0.47 | −1.05 (0.29) | 3.35 ± 0.70 | 1.12 (0.26) |
| No | 2.89 ± 0.85 | 2.57 ± 0.94 | 3.05 ± 0.57 | 3.15 ± 0.53 | ||||
| Medicine | ||||||||
| Yes | 2.89 ± 0.85 | 0.15 (0.89) | 2.43 ± 1.05 | 1.39 (0.17) | 2.98 ± 0.56 | 1.12 (0.26) | 3.12 ± 0.50 | 0.98 (0.33) |
| No | 2.91 ± 0.84 | 2.68 ± 0.83 | 3.10 ± 0.58 | 3.22 ± 0.61 | ||||
| NYHA class | ||||||||
| Ⅰ | 2.92 ± 0.85 | 0.15 (0.86) | 2.52 ± 0.90 | 0.26 (0.77) | 3.07 ± 0.51 | 0.44 (0.65) | 3.18 ± 0.51 | 0.33 (0.72) |
| Ⅱ | 2.85 ± 0.88 | 2.54 ± 0.99 | 2.96 ± 0.66 | 3.17 ± 0.62 | ||||
| Ⅲ | 3.03 ± 0.41 | 2.84 ± 1.52 | 3.05 ± 0.60 | 2.97 ± 0.61 | ||||
| Severity of CHD | ||||||||
| Simple | 3.08 ± 1.01 | 0.86 (0.43) | 2.47 ± 0.99 | 1.33 (0.27) | 3.14 ± 0.44 | 1.33 (0.27) | 3.22 ± 0.62 | 0.19 (0.83) |
| Moderate severity | 2.94 ± 0.82 | 2.68 ± 0.94 | 3.08 ± 0.60 | 3.17 ± 0.56 | ||||
| Great complexity | 2.76 ± 0.82 | 2.34 ± 0.99 | 2.90 ± 0.54 | 3.12 ± 0.53 | ||||
| Birth order | ||||||||
| First | 2.85 ± 0.86 | −0.57 (0.57) | 2.81 ± 0.93 | 2.45 (0.02) | 3.44 ± 0.39 | 8.07 (0.00) | 3.06 ± 0.48 | −1.73 (0.09) |
| ≥Second | 2.94 ± 0.83 | 2.36 ± 0.95 | 2.74 ± 0.48 | 3.24 ± 0.59 | ||||
| Variables | Warmth/Closeness | Conflict | Relative Power/Status | Rivalry | ||||
|---|---|---|---|---|---|---|---|---|
| Mean ± SD | t or F (p) | Mean ± SD | t or F (p) | Mean ± SD | t or F (p) | Mean ± SD | t or F (p) | |
| Father’s age | ||||||||
| ≤49 | 2.71 ± 0.83 | −2.66 (0.01) | 2.70 ± 1.02 | 2.01 (0.05) | 3.22 ± 0.55 | 4.67 (0.00) | 3.10 ± 0.46 | −1.41 (0.16) |
| ≥50 | 3.13 ± 0.79 | 2.34 ± 0.85 | 2.76 ± 0.46 | 3.25 ± 0.65 | ||||
| Mother’s age | ||||||||
| ≤49 | 2.86 ± 0.87 | −0.93 (0.36) | 2.71 ± 0.96 | 3.65 (0.00) | 3.11 ± 0.57 | 3.05 (0.00) | 3.15 ± 0.52 | −0.59 (0.55) |
| ≥50 | 3.05 ± 0.73 | 1.93 ± 0.69 | 2.72 ± 0.43 | 3.22 ± 0.67 | ||||
| Father’s education level | ||||||||
| ≤High school | 2.70 ± 0.76 | 3.43 (0.04) | 2.61 ± 0.91 | 0.56 (0.57) | 2.99 ± 0.54 | 1.01 (0.37) | 3.02 ± 0.40 | 5.35 (0.01) |
| College | 3.12 ± 0.91 | 2.53 ± 0.93 | 3.10 ± 0.57 | 3.20 ± 0.57 | ||||
| Graduate school or beyond | 2.78 ± 0.47 | 2.26 ± 1.32 | 2.86 ± 0.66 | 3.59 ± 0.79 | ||||
| Mother’s education level | ||||||||
| ≤High school | 2.85 ± 0.74 | 1.89 (0.16) | 2.68 ± 0.97 | 2.23 (0.11) | 2.98 ± 0.52 | 2.09 (0.13) | 3.13 ± 0.54 | 0.48 (0.62) |
| College | 3.03 ± 0.91 | 2.48 ± 0.90 | 3.12 ± 0.62 | 3.18 ± 0.57 | ||||
| Graduate school or beyond | 2.38 ± 0.70 | 1.85 ± 1.21 | 2.67 ± 0.35 | 3.36 ± 0.59 | ||||
| Sibling’s sex | ||||||||
| Male | 2.94 ± 0.83 | 0.56 (0.58) | 2.37 ± 0.94 | −2.23 (0.03) | 3.00 ± 0.61 | −0.56 (0.57) | 3.18 ± 0.61 | 0.36 (0.72) |
| Female | 2.85 ± 0.85 | 2.77 ± 0.95 | 3.06 ± 0.50 | 3.14 ± 0.46 | ||||
| Sibling’s age | ||||||||
| ≤15 | 2.74 ± 0.85 | 2.89 (0.06) | 2.90 ± 0.96 | 6.21 (0.00) | 3.34 ± 0.51 | 16.43(0.00) | 2.98 ± 0.45 | 5.07 (0.01) |
| 16–18 | 2.86 ± 0.82 | 2.38 ± 0.93 | 2.89 ± 0.53 | 3.24 ± 0.50 | ||||
| ≥19 | 3.20 ± 0.79 | 2.19 ± 0.82 | 2.71 ± 0.45 | 3.36 ± 0.66 | ||||
Publisher’s Note: MDPI stays neutral with regard to jurisdictional claims in published maps and institutional affiliations. |
© 2021 by the authors. Licensee MDPI, Basel, Switzerland. This article is an open access article distributed under the terms and conditions of the Creative Commons Attribution (CC BY) license (http://creativecommons.org/licenses/by/4.0/).
Share and Cite
Moon, Y.; Jung, J.W.; Lee, S. Sibling Relationships of Adolescents with Congenital Heart Disease. Int. J. Environ. Res. Public Health 2021, 18, 2698. https://doi.org/10.3390/ijerph18052698
Moon Y, Jung JW, Lee S. Sibling Relationships of Adolescents with Congenital Heart Disease. International Journal of Environmental Research and Public Health. 2021; 18(5):2698. https://doi.org/10.3390/ijerph18052698
Chicago/Turabian StyleMoon, Youngji, Jo Won Jung, and Sunhee Lee. 2021. "Sibling Relationships of Adolescents with Congenital Heart Disease" International Journal of Environmental Research and Public Health 18, no. 5: 2698. https://doi.org/10.3390/ijerph18052698
APA StyleMoon, Y., Jung, J. W., & Lee, S. (2021). Sibling Relationships of Adolescents with Congenital Heart Disease. International Journal of Environmental Research and Public Health, 18(5), 2698. https://doi.org/10.3390/ijerph18052698

