Electromyographic Evaluation of the Shoulder Muscle after a Fatiguing Isokinetic Protocol in Recreational Overhead Athletes
Abstract
1. Introduction
2. Materials and Methods
2.1. Study Design
2.2. Participants
2.3. Experimental Procedures
2.3.1. Isokinetic Fatiguing Protocol
2.3.2. EMG Data Collection
2.3.3. Muscle Fatigue Assessment
2.3.4. Signal Analysis
2.3.5. Data Analysis
3. Results
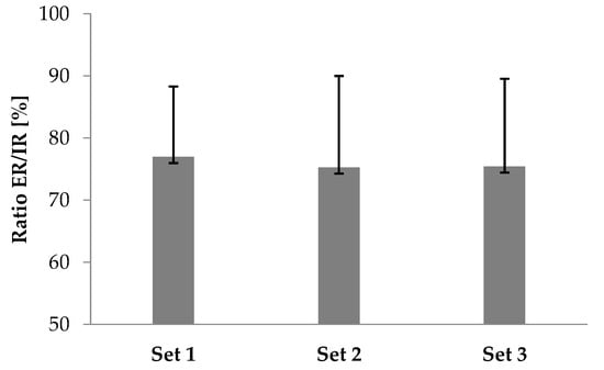
3.1. Isokinetic Measurements
3.2. Muscle Fatigue
4. Discussion
5. Conclusions
Author Contributions
Funding
Institutional Review Board Statement
Informed Consent Statement
Data Availability Statement
Conflicts of Interest
References
- Dale, R.B.; Kovaleski, J.E.; Ogletree, T.; Heitman, R.J.; Norrell, P.M. The effects of repetitive overhead throwing on shoulder rotator isokinetic work-fatigue. N. Am. J. Sports Phys. Ther. NAJSPT 2007, 2, 74. [Google Scholar] [PubMed]
- Gaudet, S.; Begon, M.; Tremblay, J. Cluster analysis using physical performance and self-report measures to identify shoulder injury in overhead female athletes. J. Sci. Med. Sport 2019, 22, 269–274. [Google Scholar] [CrossRef] [PubMed]
- Klich, S.; Pietraszewski, B.; Zago, M.; Galli, M.; Lovecchio, N.; Kawczynski, A. Ultrasonographic and myotonometric evaluation of the shoulder girdle after an isokinetic muscle fatigue protocol. J. Sport Rehabil. 2019, 29, 1047–1052. [Google Scholar] [CrossRef]
- Gaudet, S.; Tremblay, J.; Dal Maso, F. Evolution of muscular fatigue in periscapular and rotator cuff muscles during isokinetic shoulder rotations. J. Sports Sci. 2018, 36, 2121–2128. [Google Scholar] [CrossRef]
- Turpin, N.A.; Martinez, R.; Begon, M. Shoulder muscle activation strategies differ when lifting or lowering a load. Eur. J. Appl. Physiol. 2020, 120, 2417–2429. [Google Scholar] [CrossRef] [PubMed]
- Zago, M.; Kawczyński, A.; Klich, S.; Pietraszewski, B.; Galli, M.; Lovecchio, N. Fatigue-induced scapular dyskinesis in healthy overhead athletes. Front. Bioeng. Biotechnol. 2020, 8, 302. [Google Scholar] [CrossRef] [PubMed]
- Thigpen, C.A.; Padua, D.A.; Michener, L.A.; Guskiewicz, K.; Giuliani, C.; Keener, J.D.; Stergiou, N. Head and shoulder posture affect scapular mechanics and muscle activity in overhead tasks. J. Electromyogr. Kinesiol. 2010, 20. [Google Scholar] [CrossRef]
- Chopp, J.N.; Fischer, S.L.; Dickerson, C.R. The specificity of fatiguing protocols affect scapular orientation: Implications for subacromial impingement. Clin. Biomech. 2011, 26, 40–45. [Google Scholar] [CrossRef] [PubMed]
- Noguchi, M.; Chopp, J.N.; Borgs, S.P.; Dickerson, C.R. Scapular orientation following repetitive prone rowing: Implications for potential subacromial impingement mechanisms. J. Electromyogr. Kinesiol. 2013, 23, 1356–1361. [Google Scholar] [CrossRef] [PubMed]
- Ebaugh, D.D.; McClure, P.W.; Karduna, A.R. Effects of shoulder muscle fatigue caused by repetitive overhead activities on scapulothoracic and glenohumeral kinematics. J. Electromyogr. Kinesiol. 2006, 16, 224–235. [Google Scholar] [CrossRef] [PubMed]
- Ebaugh, D.D.; McClure, P.W.; Karduna, A.R. Scapulothoracic and glenohumeral kinematics following an external rotation fatigue protocol. J. Orthop. Sports Phys. Ther. 2006, 36, 557–571. [Google Scholar] [CrossRef] [PubMed]
- Minning, S.; Eliot, C.A.; Uhl, T.L.; Malone, T.R. EMG analysis of shoulder muscle fatigue during resisted isometric shoulder elevation. J. Electromyogr. Kinesiol. 2007, 17, 153–159. [Google Scholar] [CrossRef] [PubMed]
- Nussbaum, M.A. Static and dynamic myoelectric measures of shoulder muscle fatigue during intermittent dynamic exertions of low to moderate intensity. Eur. J. Appl. Physiol. 2001, 85, 299–309. [Google Scholar] [CrossRef] [PubMed]
- Kinali, G.; Kara, S.; Yıldırım, M.S. Electromyographic analysis of an ergonomic risk factor: Overhead work. J. Phys. Ther. Sci. 2016, 28, 1924–1927. [Google Scholar] [CrossRef] [PubMed][Green Version]
- Stackhouse, S.K.; Stapleton, M.R.; Wagner, D.A.; McClure, P.W. Voluntary activation of the infraspinatus muscle in nonfatigued and fatigued states. J. Shoulder Elbow Surg. 2010, 19, 224–229. [Google Scholar] [CrossRef]
- Kawczynski, A.; Samani, A.; Mroczek, D.; Chmura, P.; Blach, W.; Migasiewicz, J.; Klich, S.; Chmura, J.; Madeleine, P. Functional connectivity between core and shoulder muscles increases during isometric endurance contractions in judo competitors. Eur. J. Appl. Physiol. 2015, 115, 1351–1358. [Google Scholar] [CrossRef] [PubMed]
- Solnik, S.; DeVita, P.; Grzegorczyk, K.; Koziatek, A.; Bober, T. EMG frequency during isometric, submaximal activity: A statistical model for biceps brachii. Acta Bioeng. Biomech. 2010, 12, 21–28. [Google Scholar] [PubMed]
- González-Izal, M.; Malanda, A.; Navarro-Amezqueta, I.; Gorostiaga, E.; Mallor, F.; Ibanez, J.; Izquierdo, M. EMG spectral indices and muscle power fatigue during dynamic contractions. J. Electromyogr. Kinesiol. 2010, 20, 233–240. [Google Scholar] [CrossRef] [PubMed]
- Cheng, A.J.; Rice, C.L. Fatigue and recovery of power and isometric torque following isotonic knee extensions. J. Appl. Physiol. 2005, 99, 1446–1452. [Google Scholar] [CrossRef] [PubMed]
- Edwards, R.; Lippold, O. The relation between force and integrated electrical activity in fatigued muscle. J. Physiol. 1956, 132, 677–681. [Google Scholar] [CrossRef]
- Hummel, A.; Läubli, T.; Pozzo, M.; Schenk, P.; Spillmann, S.; Klipstein, A. Relationship between perceived exertion and mean power frequency of the EMG signal from the upper trapezius muscle during isometric shoulder elevation. Eur. J. Appl. Physiol. 2005, 95, 321–326. [Google Scholar] [CrossRef]
- Semmler, J.G. Motor unit synchronization and neuromuscular performance. Exerc. Sport Sci. Rev. 2002, 30, 8–14. [Google Scholar] [CrossRef]
- Wattanaprakornkul, D.; Cathers, I.; Halaki, M.; Ginn, K.A. The rotator cuff muscles have a direction specific recruitment pattern during shoulder flexion and extension exercises. J. Sci. Med. Sport 2011, 14, 376–382. [Google Scholar] [CrossRef] [PubMed]
- Gaudet, S.; Tremblay, J.; Begon, M. Muscle recruitment patterns of the subscapularis, serratus anterior and other shoulder girdle muscles during isokinetic internal and external rotations. J. Sports Sci. 2018, 36, 985–993. [Google Scholar] [CrossRef] [PubMed]
- Zanca, G.G.; Oliveira, A.B.; Saccol, M.F.; Mattiello-Rosa, S.M. Isokinetic dynamometry applied to shoulder rotators—velocity limitations in eccentric evaluations. J. Sci. Med. Sport 2011, 14, 541–546. [Google Scholar] [CrossRef]
- Mullaney, M.J.; McHugh, M.P. Concentric and eccentric muscle fatigue of the shoulder rotators. Int. J. Sport Med. 2006, 27, 725–729. [Google Scholar] [CrossRef] [PubMed]
- Roy, J.S.; Ma, B.; Macdermid, J.C.; Woodhouse, L.J. Shoulder muscle endurance: The development of a standardized and reliable protocol. Sports Med. Arthrosc. Rehabil. Ther. Technol. 2011, 3, 1. [Google Scholar] [CrossRef] [PubMed]
- McCreesh, K.M.; Purtill, H.; Donnelly, A.E.; Lewis, J.S. Increased supraspinatus tendon thickness following fatigue loading in rotator cuff tendinopathy: Potential implications for exercise therapy. BMJ Open Sport Exerc. Med. 2017, 3, e000279. [Google Scholar] [CrossRef] [PubMed]
- Batalha, N.M.P.; Raimundo, A.M.d.M.; Tomas-Carus, P.; Fernandes, O.d.J.S.M.; Marinho, D.A.; Silva, A.J.R.M.d. Shoulder rotator isokinetic strength profile in young swimmers. Rev. Bras. Cineantropometria Desempenho Hum. 2012, 14, 545–553. [Google Scholar]
- Madeleine, P.; Farina, D. Time to task failure in shoulder elevation is associated to increase in amplitude and to spatial heterogeneity of upper trapezius mechanomyographic signals. Eur. J. Appl. Physiol. 2008, 102, 325–333. [Google Scholar] [CrossRef] [PubMed]
- Madeleine, P.; Lundager, B.; Voigt, M.; Arendt-Nielsen, L. The effects of neck-shoulder pain development on sensory-motor interactions among female workers in the poultry and fish industries. A prospective study. Int. Arch. Occup. Environ. Health 2003, 76, 39–49. [Google Scholar] [CrossRef] [PubMed]
- SENIAM. Surface Electromyography for the Non-Invasive Assessment of Muscles; SENIAM Project: 2008. Available online: http://www.seniam.org/ (accessed on 27 March 2007).
- Pérez, F.; Granger, B.E. IPython: A system for interactive scientific computing. Comput. Sci. Eng. 2007, 9, 21–29. [Google Scholar] [CrossRef]
- Solnik, S.; DeVita, P.; Rider, P.; Long, B.; Hortobágyi, T. Teager–Kaiser Operator improves the accuracy of EMG onset detection independent of signal-to-noise ratio. Acta Bioeng. Biomech. 2008, 10, 65. [Google Scholar] [PubMed]
- Guney, H.; Harput, G.; Colakoglu, F.; Baltaci, G. The effect of glenohumeral internal-rotation deficit on functional rotator-strength ratio in adolescent overhead athletes. J. Sport Rehabil. 2016, 25, 52–57. [Google Scholar] [CrossRef] [PubMed]
- Moraes, G.F.; Faria, C.D.; Teixeira-Salmela, L.F. Scapular muscle recruitment patterns and isokinetic strength ratios of the shoulder rotator muscles in individuals with and without impingement syndrome. J. Shoulder Elbow Surg. 2008, 17, S48–S53. [Google Scholar] [CrossRef] [PubMed]
- Cools, A.M.; Witvrouw, E.E.; Declercq, G.A.; Danneels, L.A.; Cambier, D.C. Scapular muscle recruitment patterns: Trapezius muscle latency with and without impingement symptoms. Am. J. Sports Med. 2003, 31, 542–549. [Google Scholar] [CrossRef]
- Lindman, R.; Eriksson, A.; Thornell, L.E. Fiber type composition of the human male trapezius muscle: Enzyme-histochemical characteristics. Am. J. Anat. 1990, 189, 236–244. [Google Scholar] [CrossRef]
- Lovering, R.M.; Russ, D.W. Fiber type composition of cadaveric human rotator cuff muscles. J. Orthop. Sports Phys. Ther. 2008, 38, 674–680. [Google Scholar] [CrossRef]
- Ravn, M.K.; Ostergaard, T.I.; Schroeder, H.D.; Nyengaard, J.R.; Lambertsen, K.L.; Frich, L.H. Supraspinatus and deltoid muscle fiber composition in rotator cuff tear conditions. JSES Int. 2020, 4, 431–437. [Google Scholar] [CrossRef] [PubMed]
- McClure, P.W.; Michener, L.A.; Karduna, A.R. Shoulder function and 3-dimensional scapular kinematics in people with and without shoulder impingement syndrome. Phys. Ther. 2006, 86, 1075–1090. [Google Scholar] [CrossRef]
- Chopp-Hurley, J.N.; O’Neill, J.M.; McDonald, A.C.; Maciukiewicz, J.M.; Dickerson, C.R. Fatigue-induced glenohumeral and scapulothoracic kinematic variability: Implications for subacromial space reduction. J. Electromyogr. Kinesiol. 2016, 29, 55–63. [Google Scholar] [CrossRef] [PubMed]
- Uga, D.; Endo, Y.; Nakazawa, R.; Sakamoto, M. Electromyographic analysis of the infraspinatus and scapular stabilizing muscles during isometric shoulder external rotation at various shoulder elevation angles. J. Phys Ther. Sci. 2016, 28, 154–158. [Google Scholar] [CrossRef] [PubMed]



| Torque | Internal Rotation | External Rotation | ||||
|---|---|---|---|---|---|---|
| Set 1 | Set 2 | Set 3 | Set 1 | Set 2 | Set 3 | |
| TINI (N·m) | 34.04 ± 9.78 | 30.46 ± 8.61 * | 29.38 ± 9.64 * | 26.47 ± 6.68 | 22.44 ± 6.52 * | 21.21 ± 6.15 * |
| TFIN (N·m) | 24.94 ± 8.68 | 23.84 ± 8.57 | 22.83 ± 7.92 | 17.87 ± 4.83 | 15.68 ± 3.89 * | 15.21 ± 5.68 * |
Publisher’s Note: MDPI stays neutral with regard to jurisdictional claims in published maps and institutional affiliations. |
© 2021 by the authors. Licensee MDPI, Basel, Switzerland. This article is an open access article distributed under the terms and conditions of the Creative Commons Attribution (CC BY) license (http://creativecommons.org/licenses/by/4.0/).
Share and Cite
Klich, S.; Kawczyński, A.; Pietraszewski, B.; Zago, M.; Chen, A.; Smoter, M.; Hassanlouei, H.; Lovecchio, N. Electromyographic Evaluation of the Shoulder Muscle after a Fatiguing Isokinetic Protocol in Recreational Overhead Athletes. Int. J. Environ. Res. Public Health 2021, 18, 2516. https://doi.org/10.3390/ijerph18052516
Klich S, Kawczyński A, Pietraszewski B, Zago M, Chen A, Smoter M, Hassanlouei H, Lovecchio N. Electromyographic Evaluation of the Shoulder Muscle after a Fatiguing Isokinetic Protocol in Recreational Overhead Athletes. International Journal of Environmental Research and Public Health. 2021; 18(5):2516. https://doi.org/10.3390/ijerph18052516
Chicago/Turabian StyleKlich, Sebastian, Adam Kawczyński, Bogdan Pietraszewski, Matteo Zago, Aiguo Chen, Małgorzata Smoter, Hamidollah Hassanlouei, and Nicola Lovecchio. 2021. "Electromyographic Evaluation of the Shoulder Muscle after a Fatiguing Isokinetic Protocol in Recreational Overhead Athletes" International Journal of Environmental Research and Public Health 18, no. 5: 2516. https://doi.org/10.3390/ijerph18052516
APA StyleKlich, S., Kawczyński, A., Pietraszewski, B., Zago, M., Chen, A., Smoter, M., Hassanlouei, H., & Lovecchio, N. (2021). Electromyographic Evaluation of the Shoulder Muscle after a Fatiguing Isokinetic Protocol in Recreational Overhead Athletes. International Journal of Environmental Research and Public Health, 18(5), 2516. https://doi.org/10.3390/ijerph18052516

