The Moderating Effects of Perceived Severity on the Generational Gap in Preventive Behaviors during the COVID-19 Pandemic in the U.S.
Abstract
1. Introduction
1.1. Background
1.2. Hypotheses
2. Materials and Methods
2.1. Data Collection and Respondent Profile
2.2. Variables and Measurements
3. Results
3.1. Generational Gaps in Perceived Severity of COVID-19
3.2. Generational Gaps in Preventive Actions for COVID-19
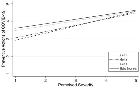
3.3. Moderating Effect of Perceived Severity
4. Discussion
5. Conclusions
Author Contributions
Funding
Institutional Review Board Statement
Informed Consent Statement
Data Availability Statement
Conflicts of Interest
References
- Scerri, M.; Grech, V. To wear or not to wear? Adherence to face mask use during the COVID-19 and Spanish influenza pandemics. Early Hum. Dev. 2020. [Google Scholar] [CrossRef]
- Li, T.; Liu, Y.; Li, M.; Qian, X.; Dai, S.Y. Mask or no mask for COVID-19: A public health and market study. PLoS ONE 2020, 15, e0237691. [Google Scholar] [CrossRef]
- Chu, D.K.; Akl, E.A.; Duda, S.; Solo, K.; Yaacoub, S.; Schünemann, H.J. Physical distancing, face masks, and eye protection to prevent person-to-person transmission of SARS-CoV-2 and COVID-19: A systematic review and meta-analysis. Lancet 2020, 395, 1973–1987. [Google Scholar] [CrossRef]
- Hutchins, H.J.; Wolff, B.; Leeb, R.; Ko, J.Y.; Odom, E.; Willey, J.; Friedman, A.; Bitsko, R.H. COVID-19 Mitigation behaviors by age group—United States, April–June 2020. Morb. Mortal. Wkly. Rep. 2020, 69, 1584–1590. [Google Scholar] [CrossRef]
- Wilson, R.F.; Sharma, A.J.; Schluechtermann, S.; Currie, D.W.; Mangan, J.; Kaplan, B.; Euhardy, N. Factors influencing risk for COVID-19 exposure among young adults aged 18–23 Years—Winnebago County, Wisconsin, March–July 2020. Morb. Mortal. Wkly. Rep. 2020, 69, 1497–1502. [Google Scholar] [CrossRef]
- Haischer, M.H.; Beilfuss, R.; Hart, M.R.; Opielinski, L.; Wrucke, D.; Zirgaitis, G.; Uhrich, T.D.; Hunter, S.K. Who is wearing a mask? Gender-, age-, and location-related differences during the COVID-19 pandemic. PLoS ONE 2020, 15, e0240785. [Google Scholar] [CrossRef] [PubMed]
- Kim, J.K.; Crimmins, E.M. How does age affect personal and social reactions to COVID-19: Results from the national understanding America study. PLoS ONE 2020, 15, e0241950. [Google Scholar]
- Irigoyen-Camacho, M.E.; Velazquez-Alva, M.C.; Zepeda-Zepeda, M.A.; Cabrer-Rosales, M.F.; Lazarevich, I.; Castaño-Seiquer, A. Effect of income level and perception of susceptibility and severity of COVID-19 on stay-at-home preventive behavior in a group of older adults in Mexico City. Int. J. Environ. Res. Public Health 2020, 17, 7418. [Google Scholar] [CrossRef] [PubMed]
- Petretto, D.R.; Pili, R. Ageing and COVID-19: What is the role for elderly people? Geriatrics 2020, 5, 25. [Google Scholar] [CrossRef] [PubMed]
- Solvic, P. Perception of risk. Science 1987, 236, 280–285. [Google Scholar] [CrossRef]
- Becker, M.H. The health belief model and personal health behavior. Health Educ. Monogr. 1974, 2, 324–473. [Google Scholar]
- Janz, N.K.; Becker, M.H. The health belief model: A decade later. Health Educ. Q. 1984, 11, 1–47. [Google Scholar] [CrossRef]
- Lau, J.T.F.; Kim, J.H.; Tsui, H.Y.; Griffiths, S. Anticipated and current preventive behaviors in response to an anticipated human-to-human H5N1 epidemic in the Hong Kong Chinese general population. BMC Infect. Dis. 2007, 7, 18–29. [Google Scholar] [CrossRef] [PubMed]
- Barr, M.; Raphael, B.; Taylor, M.; Stevens, G.; Jorm, L.; Giffin, M.; Lujic, S. Pandemic influenza in Australia: Using telephone surveys to measure perceptions of threat and willingness to comply. Infect. Dis. 2008, 8, 117–130. [Google Scholar] [CrossRef] [PubMed]
- He, S.; Chen, S.; Kong, L.; Liu, W. Analysis of risk perceptions and related factors concerning COVID-19 epidemic in Chongqing, China. J. Community Health 2020. [Google Scholar] [CrossRef]
- Cheng, Y.; Luo, Y. The presumed influence of digital misinformation in the U.S.: Examining publics’ support for governmental restrictions versus corrective action in the COVID-19 pandemic. Online Inform. Rev. 2020. [Google Scholar] [CrossRef]
- Bish, A.; Michie, S. Demographic and attitudinal determinants of protective behaviours during a pandemic: A review. Br. J. Health Psychol. 2010, 15, 797–824. [Google Scholar] [CrossRef] [PubMed]
- Lau, J.T.F.; Yang, X.; Tsui, H.Y.; Kim, J.H. Monitoring community responses to the SARS epidemic in Hong Kong: From day 10 to day 62. J. Epidemiol. Community Health 2003, 57, 864–870. [Google Scholar] [CrossRef]
- Leung, G.M.; Lam, T.H.; Ho, L.M.; Ho, S.Y.; Chan, B.H.Y.; Wong, I.O.L.; Hedley, A.J. The impact of community psychological responses on outbreak control for severe acute respiratory syndrome in Hong Kong. J. Epidemiol. Community Health 2003, 57, 857–863. [Google Scholar] [CrossRef]
- Quah, S.R.; Hin-Peng, L. Crisis prevention and management during SARS outbreak, Singapore. Emerg. Infect. Dis. 2004, 10, 364–368. [Google Scholar] [CrossRef]
- Jones, J.H.; Salathe, M. Early assessment of anxiety and behavioral response to novel swine-origin influenza A(H1N1). PLoS ONE 2009, 4, e8032. [Google Scholar] [CrossRef] [PubMed]
- Lau, J.T.F.; Griffiths, S.; Choi, K.; Lin, C. Prevalence of preventive behaviors and associated factors during early phase of the H1N1 influenza epidemic. Am. J. Infect. Control 2010, 38, 374–380. [Google Scholar] [CrossRef] [PubMed]
- Rogers, R.W. A protection motivation theory of fear appeals and attitude change. J. Psychol. 1975, 91, 93–114. [Google Scholar] [CrossRef] [PubMed]
- Rogers, R.W. Cognitive and physiological process in fear appeals and attitude change: A revised theory of protection motivation. In Social Psychophysiology; Cacioppo, J., Petty, R., Eds.; Guilford: New York, NY, USA, 1983; pp. 153–176. [Google Scholar]
- Jiang, X.; Elam, G.; Yuen, C.; Voeten, H.; de Zwart, O.; Veldhuijzen, I.; Brug, J. The perceived threat of SARS and its impact on precautionary actions and adverse consequences: A qualitative study among Chinese communities in the United Kingdom and the Netherlands. Int. J. Behav. Med. 2009, 16, 58–67. [Google Scholar] [CrossRef]
- Earle-Richardson, G.; Prue, C.; Turay, K.; Thomas, D. Influences of community interventions on Zika prevention behaviors of pregnant women, Puerto Rico, July 2016–June 2017. Emerg. Infect. Dis. 2018, 24, 2251–2261. [Google Scholar] [CrossRef]
- Cowling, B.J.; Ng, D.M.; Ip, D.K.M.; Liao, Q.; Lam, W.W.T.; Wu, J.T.; Lau, J.T.F.; Griffiths, S.M.; Fielding, R. Community psychological and behavioral responses through the first wave of the 2009 influenza A(H1N1) pandemic in Hong Kong. J. Infect. Dis. 2010, 202, 867–876. [Google Scholar] [CrossRef]
- Diamantopoulos, A.; Sarstedt, M.; Fuchs, C.; Wilczynski, P.; Kaiser, S. Guidelines for choosing between multi-item and single-item scales for construct measurement: A predictive validity perspective. J. Acad. Mark. Sci. 2012, 40, 434–449. [Google Scholar] [CrossRef]
- Prasetyo, Y.T.; Castillo, A.M.; Salonga, L.J.; Sia, J.A.; Seneta, J.A. Factors affecting perceived effectiveness of COVID-19 prevention measures among Filipinos during enhanced community quarantine in Luzon, Philippines: Integrating protection motivation theory and extended theory of planned behavior. J. Infect. Dis. 2020, 99, 312–323. [Google Scholar] [CrossRef]
- Fathian-Dastgerdi, Z.; Khoshgofar, M.; Tavakoli, B.; Jaleh, M. Factors associated with preventive behaviors of COVID-19 among adolescents: Applying the health belief model. Res. Soc. Adm. Pharm. 2021. [Google Scholar] [CrossRef]
- Clark, C.; Davila, A.; Regis, M.; Kraus, S. Predictors of COVID-19 voluntary compliance behaviors: An international investigation. Glob. Transit. 2020, 2, 76–82. [Google Scholar] [CrossRef]
- Lin, T.T.C.; Bautista, J.R. Predicting intention to take protective measures during haze: The roles of efficacy, threat, media trust, and affective attitude. J. Health Commun. 2016, 21, 790–799. [Google Scholar] [CrossRef] [PubMed]
- Wang, M.Y.; Zhang, P.Z.; Zhou, C.Y.; Lai, N.Y. Effect of emotion, expectation, and privacy on purchase intention in WeChat health product consumption: The mediating role of trust. Int. J. Environ. Res. Public Health 2019, 16, 3861. [Google Scholar] [CrossRef]
- Hutcheson, G.D. Ordinary least-squares regression. In The SAGE Dictionary of Quantitative Management Research; Moutinho, L., Hutcheson, G.D., Eds.; SAGE Publications Ltd.: London, UK, 2011; pp. 154–196. [Google Scholar]
- Sun, Z.; Yang, B.; Zhang, R.; Cheng, X. Influencing factors of understanding COVID-19 risks and coping behaviors among the elderly population. Int. J. Environ. Res. Public Health 2020, 17, 5889. [Google Scholar] [CrossRef] [PubMed]
- Li, S.; Feng, B.; Liao, W.; Pan, W. Internet use, risk awareness, and demographic characteristics associated with engagement in preventive behaviors and testing: Cross-sectional survey on COVID-19 in the United States. J. Med. Internet Res. 2020, 22, e19782. [Google Scholar] [CrossRef] [PubMed]
- Davies, N.G.; Klepac, P.; Liu, Y.; Prem, K.; Jit, M.; Eggo, R.M.; CMMID COVID-19 Working Group. Age-dependent effects in the transmission and control of COVID-19 epidemics. Nat. Med. 2020, 26, 1205–1211. [Google Scholar] [CrossRef] [PubMed]
- McEvoy, J.U.S. Hits 400,000 Covid-19 Deaths, Nearly 1 in Every 800 Americans. Available online: https://www.forbes.com/sites/jemimamcevoy/2021/01/19/us-hits-400000-covid-19-deaths-nearly-1-in-every-800-americans/?sh=7f3a337877c9 (accessed on 20 January 2021).
- Szmuda, T.; Ali, S.; Sloniewski, P. Telemedicine in neurosurgery during the novel coronavirus (COVID-19) pandemic. Pol. J. Neurol. Neurosurg. 2020, 54, 207–208. [Google Scholar]



| Respondent Profile | n | % |
|---|---|---|
| Gender | ||
| Male | 798 | 43.3 |
| Female | 1045 | 56.7 |
| Age | ||
| 18–24 | 191 | 10.4 |
| 25–39 | 521 | 28.3 |
| 40–54 | 354 | 19.2 |
| 55 and above | 777 | 42.2 |
| Race/Ethnicity | ||
| Caucasian/White(non-Hispanic) | 1413 | 76.7 |
| Black/African American | 175 | 9.5 |
| Latino/Hispanic | 115 | 6.2 |
| Asian/Pacific Islander | 91 | 4.9 |
| Native American/American Indian | 16 | .9 |
| Other | 33 | 1.8 |
| Annual Income | ||
| $20,000 or under | 392 | 21.3 |
| $20,001 or 40,000 | 391 | 21.2 |
| $40,001–$60,000 | 320 | 17.4 |
| $60,001–$80,000 | 264 | 14.3 |
| $80,001–$100,000 | 161 | 8.7 |
| $100,001 and higher | 315 | 17.1 |
| Educational Level | ||
| Less than higher school | 41 | 2.2 |
| High school diploma or equivalent | 343 | 18.6 |
| Some college but no degree | 402 | 21.8 |
| Associate or technical degree | 228 | 12.4 |
| Bachelor’s degree | 521 | 28.3 |
| Master’s degree | 260 | 14.1 |
| Doctoral degree | 48 | 2.6 |
| Political Partisanship | ||
| Democrat | 736 | 39.9 |
| Republican | 615 | 33.4 |
| Independent | 447 | 24.3 |
| Other | 45 | 2.4 |
| Survey Questions | Measurement | |
|---|---|---|
| Outcome Variables | ||
| Perceived Severity (Cronbach α = 0.79) | I believe that COVID-19 is a deadly disease. | 5-point scale where 1 = strongly disagree and 5 = strongly agree |
| I believe that COVID-19 can bring severe health problems. | ||
| I believe that COVID-19 is a serious threat to my health. | ||
| Preventive Actions (Cronbach α = 0.76) | Clean hands often. | 5-point scale where 1 = least likely and 5 = most likely |
| Wear a face mask outside. | ||
| Limit outdoor activities. | ||
| Avoid attending mass gathering. | ||
| Keep social distance with others. | ||
| Avoid close contact with people who are sick. | ||
| Independent Variable | ||
| Age | Please select your age from the following choices. | 1 = Generation Z (18–24) 2 = Generation Y (25–39) 3 = Generation X (40–54) 4 = Baby Boomers (55 and above) |
| Control Variables | ||
| Gender | What’s your gender? | 1 = male and 0 = female |
| Partisanship | Generally speaking, do you usually think of yourself as a Republican, Democrat, independent, or what? | 1 = Independent 2 = Republican 3 = Democrat |
| Ethnicity | Which of the following best describes your racial/ethnic identity? | 1 = White 2 = Non-white (i.e., African Americans) |
| Education | What is the highest degree or level of education you have completed? | 1 = less than high school diploma … and 7 = doctorate degree |
| Income | What is your annual income? | 1 = $20,000 or under … and 6 = $100,001 and higher |
| Location | What is the state where you are living in? | 1 = most affected states (NY, CA, FL, LA, IL, MA, MI, NJ, PA) 0 = less affected states (the other 41 states) |
| Personal Relevance | Is there anyone you know (e.g., family members, friends, colleagues, acquaintances) who have confirmed or suspected COVID-19? | 1 = yes 0 = no |
| COVID information (Cronbach α = 0.83) | How much COVID-related information have you received from each of the following communication channels? (Broadcast television news, Cable television news, Print newspapers, Radio, Online News, Facebook, Twitter, Friends and family). | 5-point scale where 1 = not at all and 5 = a great deal |
| Perceive Severity | Preventive Actions | Preventive Actions | |
|---|---|---|---|
| Model 1 (H1) | Model 2 (H2) | Model 3 (H3) | |
| Gen Y | 0.21(0.002) ** | 0.10(0.032) * | −0.19(0.414) |
| Gen X | 0.33(0.000) *** | 0.28(0.000) *** | 0.50(0.045) * |
| Baby Boomers | 0.55(0.000) *** | 0.41(0.000) *** | 0.65(0.005) ** |
| Perceived Severity (PS) | - | - | 0.36(0.000) *** |
| PS X Gen Y | - | - | 0.05(0.355) |
| PS X Gen X | - | - | −0.08(0.191) |
| PS X Baby Boomers | - | - | −0.10(0.037) * |
| Male | −0.06(0.135) | −0.16(0.000) *** | −0.14(0.000) *** |
| Republicans | −0.04(0.47) | −0.04(0.288) | −0.03(0.403) |
| Democrats | 0.18(0.000) *** | 0.09(0.026) * | 0.03(0.373) |
| White | 0.11(0.022) * | −0.02(0.575) | −0.06(0.106) |
| Educational Level | 0.003(0.821) | −0.003(0.765) | −0.01(0.596) |
| Household Income | 0.01(0.347) | 0.01(0.238) | 0.01(0.451) |
| Most Affected States | −0.01(0.853) | 0.06(0.054) | 0.06(0.025) * |
| Personal Relevance | 0.03(0.468) | −0.05(0.20) | −0.05(0.107) |
| COVID information | 0.19(0.000) *** | 0.21(0.000) *** | 0.15(0.000) *** |
| constant | 3.05(0.000) *** | 3.43(0.000) *** | 2.32(0.000) *** |
| N of obs | 1798 | 1798 | 1798 |
| R2 | 0.09 *** | 0.12 *** | 0.26 *** |
| Perceived Severity (Model 1) | Preventive Actions (Model 2) | |||
|---|---|---|---|---|
| diff. | p-Value | diff. | p-Value | |
| Gen Z vs. Gen Y | −0.21 | 0.011 | −0.10 | 0.249 |
| Gen Z vs. Gen X | −0.33 | 0.000 | −0.28 | 0.000 |
| Gen Z vs. Baby Boomers | −0.55 | 0.000 | −0.41 | 0.000 |
| Gen Y vs. Baby Boomers | −0.34 | 0.000 | −0.31 | 0.000 |
| Gen X vs. Baby Boomers | −0.22 | 0.000 | −0.13 | 0.013 |
| Gen X vs. Gen Y | 0.12 | 0.121 | 0.17 | 0.001 |
Publisher’s Note: MDPI stays neutral with regard to jurisdictional claims in published maps and institutional affiliations. |
© 2021 by the authors. Licensee MDPI, Basel, Switzerland. This article is an open access article distributed under the terms and conditions of the Creative Commons Attribution (CC BY) license (http://creativecommons.org/licenses/by/4.0/).
Share and Cite
Luo, Y.; Cheng, Y.; Sui, M. The Moderating Effects of Perceived Severity on the Generational Gap in Preventive Behaviors during the COVID-19 Pandemic in the U.S. Int. J. Environ. Res. Public Health 2021, 18, 2011. https://doi.org/10.3390/ijerph18042011
Luo Y, Cheng Y, Sui M. The Moderating Effects of Perceived Severity on the Generational Gap in Preventive Behaviors during the COVID-19 Pandemic in the U.S. International Journal of Environmental Research and Public Health. 2021; 18(4):2011. https://doi.org/10.3390/ijerph18042011
Chicago/Turabian StyleLuo, Yunjuan, Yang Cheng, and Mingxiao Sui. 2021. "The Moderating Effects of Perceived Severity on the Generational Gap in Preventive Behaviors during the COVID-19 Pandemic in the U.S." International Journal of Environmental Research and Public Health 18, no. 4: 2011. https://doi.org/10.3390/ijerph18042011
APA StyleLuo, Y., Cheng, Y., & Sui, M. (2021). The Moderating Effects of Perceived Severity on the Generational Gap in Preventive Behaviors during the COVID-19 Pandemic in the U.S. International Journal of Environmental Research and Public Health, 18(4), 2011. https://doi.org/10.3390/ijerph18042011

