Use of State Sequence Analysis in Pharmacoepidemiology: A Tutorial
Abstract
:1. Introduction
2. Data Source and Cohort Identification
- Started an opioid treatment between 1 January 2012 and 31 November 2012. One year of look-back was applied to exclude prevalent users;
- Had at least two prescriptions of opioids, with the second one occurring within 70 days after the first one;
- Have been treated with opioids for at least one year (i.e., the last opioid prescription was dispensed at least one year after the first one);
- Did not have any hospital discharge record in 2011 and 2012 with a diagnosis of cancer.
3. The SSA Approach
3.1. Data Coding
3.2. Measurement of Dissimilarities between Sequences
3.3. Clustering Methods
4. Complexity Measures for Sequence Patterns
5. Graphical Visualization of Sequences
6. Predictive Models
7. SSA Results
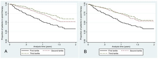
8. Prediction of Treatment Discontinuation
9. Further Considerations
10. Conclusions
Supplementary Materials
Author Contributions
Funding
Institutional Review Board Statement
Informed Consent Statement
Data Availability Statement
Conflicts of Interest
Abbreviations
| ATC | Anatomical Therapeutic Chemical |
| DDD | Defined Daily Dose |
| LHA | Local Health Authorities |
| NHS | National Health System |
| OM | Optimal Matching |
| S | Strong |
| SD | Standard Deviation |
| SSA | State Sequence Analysis |
| W | Weak |
References
- Trifirò, G.; Gini, R.; Barone-Adesi, F.; Beghi, E.; Cantarutti, A.; Capuano, A.; Carnovale, C.; Clavenna, A.; Dellagiovanna, M.; Ferrajolo, C.; et al. The Role of European Healthcare Databases for Post-Marketing Drug Effectiveness, Safety and Value Evaluation: Where Does Italy Stand? Drug Saf. 2018, 42, 347–363. [Google Scholar] [CrossRef] [PubMed]
- Trifirò, G.; Sultana, J.; Bate, A. From Big Data to Smart Data for Pharmacovigilance: The Role of Healthcare Databases and Other Emerging Sources. Drug Saf. 2017, 41, 143–149. [Google Scholar] [CrossRef]
- Arnaud, M.; Bégaud, B.; Thurin, N.H.; Moore, N.; Pariente, A.; Salvo, F. Methods for safety signal detection in healthcare databases: A literature review. Expert Opin. Drug Saf. 2017, 16, 721–732. [Google Scholar] [CrossRef] [PubMed]
- Franklin, J.M.; Shrank, W.H.; Pakes, J.; Sanfélix-Gimeno, G.; Matlin, O.S.; Brennan, T.A.; Choudhry, N.K. Group-based Trajectory Models: A New Approach to Classifying and Predicting Long-Term Medication Adherence. Med. Care 2013, 51, 789–796. [Google Scholar] [CrossRef]
- Lam, W.; Fresco, P. Medication Adherence Measures: An Overview. BioMed Res. Int. 2015, 2015, 217047. [Google Scholar] [CrossRef] [Green Version]
- Franklin, J.M.; Krumme, A.A.; Tong, A.Y.; Shrank, W.H.; Matlin, O.S.; Brennan, T.A.; Choudhry, N.K. Association between trajectories of statin adherence and subsequent cardiovascular events. Pharmacoepidemiol. Drug Saf. 2015, 24, 1105–1113. [Google Scholar] [CrossRef]
- Studer, M.; Ritschard, G.; Gabadinho, A.; Müller, N.S. Discrepancy analysis of state sequences. Sociol. Methods Res. 2011, 40, 471–510. [Google Scholar] [CrossRef] [Green Version]
- Billari, F.C. Life course analysis: Two (complementary) cultures? Some reflections with examples from the analysis of the transition to adulthood. Adv. Life Course Res. 2005, 10, 261–281. [Google Scholar] [CrossRef]
- Billari, F.C. Sequence Analysis in Demographic Research. Can. Stud. Popul. 2001, 28, 439–458. [Google Scholar] [CrossRef]
- Demont, F.; Heuveline, P. Diversity and change in Cambodian households, 1998–2006. J. Popul. Res. 2008, 25, 287–313. [Google Scholar] [CrossRef] [PubMed]
- Bras, H.; Liefbroer, A.C.; Elzinga, C.H. Standardization of Pathways to Adulthood? An Analysis of Dutch Cohorts Born Between 1850 and 1900. Demography 2010, 47, 1013–1034. [Google Scholar] [CrossRef] [PubMed] [Green Version]
- Bürgin, R.; Schumacher, R.; Ritschard, G. Changes in the Order of Family Life Events in 20th-Century Europe: A Cross-Regional Perspective. Hist. Life Course Stud. 2017, 4, 41–58. [Google Scholar] [CrossRef]
- Ritschard, G.; Bussi, M.; O’Reilly, J. An Index of Precarity for Measuring Early Employment Insecurity. In Sequence Analysis and Related Approaches: Innovative Methods and Applications; Ritschard, G., Studer, M., Eds.; Life course Research and Social Policies; Springer: Cham, Switzerland, 2018; Volume 10, pp. 279–295. [Google Scholar] [CrossRef] [Green Version]
- Parkin, L.; Barson, D.; Zeng, J.; Horsburgh, S.; Sharples, K.; Dummer, J. Patterns of use of long-acting bronchodilators in patients with COPD: A nationwide follow-up study of new users in New Zealand. Respirology 2018, 23, 583–592. [Google Scholar] [CrossRef] [PubMed] [Green Version]
- Istvan, M.; Caillet, P.; Rousselet, M.; Guerlais, M.; Laforgue, E.J.; Gerardin, M.; Jolliet, P.; Feuillet, F.; Victorri-Vigneau, C. Change in the regulatory framework for zolpidem: What is the impact on the landscape of the prescription of sedative medications? The French national ZORRO study. Br. J. Clin. Pharmacol. 2021, 87, 3310–3319. [Google Scholar] [CrossRef]
- Leblanc, S.; Roux, J.; Tillaut, H.; Le Page, E.; Leray, E. Disease-modifying therapy usage in patients with multiple sclerosis in France: A 6-year population-based study. Rev. Neurol. 2021, 177, 1250–1261. [Google Scholar] [CrossRef]
- Vowles, K.; McEntee, M.; Julnes, P.; Frohe, T.; Ney, J.; van der Goes, D. Rates of opioid misuse, abuse, and addiction in chronic pain. Pain 2015, 156, 569–576. [Google Scholar] [CrossRef] [Green Version]
- Birke, H.; Kurita, G.; Sjøgren, P.; Højsted, J.; Simonsen, M.; Juel, K.; Ekholm, O. Chronic non-cancer pain and the epidemic prescription of opioids in the Danish population: Trends from 2000 to 2013. Acta Anaesthesiol. Scand. 2016, 60, 623–633. [Google Scholar] [CrossRef]
- Degenhardt, L.; Blanch, B.; Gisev, N.; Larance, B.; Pearson, S. The POPPY Research Programme protocol: Investigating opioid utilisation, costs and patterns of extramedical use in Australia. BMJ Open 2015, 5, e007030. [Google Scholar] [CrossRef] [Green Version]
- Martin, B.; Fan, M.Y.; Edlund, M.; De Vries, A.; Braden, J.; Sullivan, M. Long-Term Chronic Opioid Therapy Discontinuation Rates from the TROUP Study. J. Gen. Intern. Med. 2011, 26, 1450–1457. [Google Scholar] [CrossRef] [Green Version]
- Edlund, M.J.; Martin, B.C.; Fan, M.Y.; Braden, J.B.; Devries, A.; Sullivan, M.D. An analysis of heavy utilizers of opioids for chronic noncancer pain in the TROUP study. J. Pain Symptom Manag. 2010, 40, 279–289. [Google Scholar] [CrossRef]
- Edlund, M.J.; Martin, B.C.; Fan, M.Y.; Devries, A.; Braden, J.B.; Sullivan, M.D. Risks for opioid abuse and dependence among recipients of chronic opioid therapy: Results from the TROUP study. Drug Alcohol Depend. 2010, 112, 90–98. [Google Scholar] [CrossRef] [PubMed] [Green Version]
- Fredheim, O.M.S.; Borchgrevink, P.C.; Mahic, M.; Skurtveit, S. A pharmacoepidemiological cohort study of subjects starting strong opioids for nonmalignant pain: A study from the Norwegian Prescription Database. PAIN® 2013, 154, 2487–2493. [Google Scholar] [CrossRef]
- World Health Organization. Cancer Pain Relief: With a Guide to Opioid Availability; World Health Organization: Geneva, Switzerland, 1996. [Google Scholar]
- Roux, J.; Grimaud, O.; Leray, E. Use of state sequence analysis for care pathway analysis: The example of multiple sclerosis. Stat. Methods Med. Res. 2019, 28, 1651–1663. [Google Scholar] [CrossRef] [PubMed]
- Elzinga, C.H. Complexity of Categorical Time Series. Sociol. Methods Res. 2010, 38, 463–481. [Google Scholar] [CrossRef]
- Kaufman, L.; Rousseeuw, P.J. Finding Groups in Data: An Introduction to Cluster Analysis; John Wiley: Hoboken, NJ, USA, 1990. [Google Scholar]
- Romesburg, C. Cluster Analysis for Researchers; Lulu.com: Morrisville, NC, USA, 2004. [Google Scholar]
- Ward, J.H. Hierarchical Grouping to Optimize an Objective Function. J. Am. Stat. Assoc. 1963, 58, 236–244. [Google Scholar] [CrossRef]
- Gabadinho, A.; Ritschard, G.; Müller, N.S.; Studer, M. Analyzing and Visualizing State Sequences in R with TraMineR. J. Stat. Softw. 2011, 40, 1–37. [Google Scholar] [CrossRef] [Green Version]
- Elzinga, C.H.; Liefbroer, A.C. De-standardization of Family-Life Trajectories of Young Adults: A Cross-National Comparison Using Sequence Analysis. Eur. J. Popul./Rev. Eur. Démogr. 2007, 23, 225–250. [Google Scholar] [CrossRef] [Green Version]
- Brzinsky-Fay, C.; Kohler, U.; Luniak, M. Sequence analysis with Stata. Stata J. 2006, 6, 435–460. [Google Scholar] [CrossRef] [Green Version]
- McVicar, D.; Anyadike-Danes, M. Predicting successful and unsuccessful transitions from school to work by using sequence methods. J. R. Stat. Soc. Ser. A Stat. Soc. 2002, 165, 317–334. [Google Scholar] [CrossRef]
- Ciganda, D. Employment Instability and Fertility Timing in France: An application of turbulence to Labor market trajectories. In Proceedings of the International Union for the Scientific Study of Population XXVII International Population Conference, Busan, Korea, 25–31 August 2013. [Google Scholar]
- Fulda, B.E. The diversity in longitudinal partnership trajectories during the transition to adulthood: How is it related to individual characteristics and regional living conditions? Demogr. Res. 2016, 35, 1101–1134. [Google Scholar] [CrossRef] [Green Version]
- Feuillet, F.; Bellanger, L.; Hardouin, J.B.; Victorri-Vigneau, C.; Sébille, V. On Comparison of Clustering Methods for Pharmacoepidemiological Data. J. Biopharm. Stat. 2015, 25, 843–856. [Google Scholar] [CrossRef] [PubMed]
- Latry, P.; Martin-Latry, K.; Labat, A.; Molimard, M.; Peter, C. Use of principal component analysis in the evaluation of adherence to statin treatment: A method to determine a potential target population for public health intervention. Fundam. Clin. Pharmacol. 2011, 25, 528–533. [Google Scholar] [CrossRef] [PubMed]
- Wainstein, L.; Victorri-Vigneau, C.; Sébille, V.; Hardouin, J.B.; Feuillet, F.; Pivette, J.; Chaslerie, A.; Jolliet, P. Pharmacoepidemiological characterization of psychotropic drugs consumption using a latent class analysis. Int. Clin. Psychopharmacol. 2011, 26, 54–62. [Google Scholar] [CrossRef] [PubMed] [Green Version]
- Afshar, M.; Joyce, C.; Dligach, D.; Sharma, B.; Kania, R.; Xie, M.; Swope, K.; Salisbury-Afshar, E.; Karnik, N.S. Subtypes in patients with opioid misuse: A prognostic enrichment strategy using electronic health record data in hospitalized patients. PLoS ONE 2019, 14, e0219717. [Google Scholar] [CrossRef]
- Le Meur, N.; Gao, F.; Bayat, S. Mining care trajectories using health administrative information systems: The use of state sequence analysis to assess disparities in prenatal care consumption. BMC Health Serv. Res. 2015, 15, 200. [Google Scholar] [CrossRef]
- Meur, N.L.; Vigneau, C.; Lefort, M.; Lebbah, S.; Jais, J.P.; Daugas, E.; Bayat, S. Categorical state sequence analysis and regression tree to identify determinants of care trajectory in chronic disease: Example of end-stage renal disease. Stat. Methods Med Res. 2019, 28, 1731–1740. [Google Scholar] [CrossRef]
- Vanasse, A.; Courteau, J.; Courteau, M.; Benigeri, M.; Chiu, Y.; Dufour, I.; Couillard, S.; Larivée, P.; Hudon, C. Healthcare utilization after a first hospitalization for COPD: A new approach of State Sequence Analysis based on the ’6W’ multidimensional model of care trajectories. BMC Health Serv. Res. 2020, 20, 177. [Google Scholar] [CrossRef] [PubMed]
- Moreno-Black, G.; Boles, S.; Johnson-Shelton, D.; Evers, C. Exploring Categorical Body Mass Index Trajectories in Elementary School Children. J. Sch. Health 2016, 86, 495–506. [Google Scholar] [CrossRef]
- Stolley, P.D. The Use of Case-Control Studies in Pharmacoepidemiology. In Drug Epidemiology and Post-Marketing Surveillance; Springer: Boston, MA, USA, 1992; pp. 49–51. [Google Scholar] [CrossRef]
- Creagh, T.H. The Use of Cohort Studies in Pharmacoepidemiology. In Drug Epidemiology and Post-Marketing Surveillance; Strom, B.L., Velo, G., Eds.; Springer: Boston, MA, USA, 1992; pp. 53–58. [Google Scholar] [CrossRef]
- Hallas, J.; Wang, S.V.; Gagne, J.J.; Schneeweiss, S.; Pratt, N.L.; Pottegård, A. Hypothesis-free screening of large administrative databases for unsuspected drug-outcome associations. Eur. J. Epidemiol. 2018, 33, 545–555. [Google Scholar] [CrossRef]
- Whitaker, H.J.; Hocine, M.N.; Farrington, C.P. The methodology of self-controlled case series studies. Stat. Methods Med. Res. 2009, 18, 7–26. [Google Scholar] [CrossRef] [Green Version]
- Consiglio, G.P.; Burden, A.M.; Maclure, M.; McCarthy, L.; Cadarette, S.M. Case-crossover study design in pharmacoepidemiology: Systematic review and recommendations. Pharmacoepidemiol. Drug Saf. 2013, 22, 1146–1153. [Google Scholar] [CrossRef] [PubMed]
- Lai, E.C.C.; Pratt, N.; Hsieh, C.Y.; Lin, S.J.; Pottegård, A.; Roughead, E.; Kao Yang, Y.H.; Hallas, J. Sequence symmetry analysis in pharmacovigilance and pharmacoepidemiologic studies. Eur. J. Epidemiol. 2017, 32, 567–582. [Google Scholar] [CrossRef] [PubMed]
- Bate, A.; Hornbuckle, K.; Juhaeri, J.; Motsko, S.P.; Reynolds, R.F. Hypothesis-free signal detection in healthcare databases: Finding its value for pharmacovigilance. Ther. Adv. Drug Saf. 2019, 10, 2042098619864744. [Google Scholar] [CrossRef] [Green Version]
- Salvi, V.; Mencacci, C.; Barone-Adesi, F. H1-histamine receptor affinity predicts weight gain with antidepressants. Eur. Neuropsychopharmacol. 2016, 26, 1673–1677. [Google Scholar] [CrossRef] [PubMed]
- Salvi, V.; Barone-Adesi, F.; D’Ambrosio, V.; Albert, U.; Maina, G. High H1-affinity antidepressants and risk of metabolic syndrome in bipolar disorder. Psychopharmacology 2016, 233, 49–56. [Google Scholar] [CrossRef] [PubMed]




| ID Patient | Week 1 | Week 2 | Week 3 | Week 4 | Week 5 | ... | Week 52 |
|---|---|---|---|---|---|---|---|
| 1 | W | W | W | W | P | ... | P |
| 2 | W | P | S | S | W | ... | S |
| 3 | S | S | S | S | P | ... | P |
| Men | Women | |
|---|---|---|
| N | 139 | 330 |
| Age (SD) | 66.9 (14.6) | 73.3 (12.9) |
| Weeks with weak opioids in first year (SD) | 4.5 (5.4) | 5.0 (5.0) |
| Weeks with strong opioids in first year (SD) | 3.1 (5.0) | 3.3 (5.1) |
| Number of prescriptions in first year (SD) | 8.2 (6.5) | 9.6 (6.1) |
| Discontinued by the end of the FU (%) | 62 (44.6%) | 143 (43.3%) |
| Cluster 1 | Cluster 2 | Cluster 3 | Cluster 4 | Cluster 5 | Cluster 6 | |
|---|---|---|---|---|---|---|
| N | 41 | 217 | 60 | 24 | 74 | 53 |
| Women (%) | 33 (80.5%) | 142 (65.4%) | 42 (74%) | 18 (70%) | 55 (75%) | 40 (75.5%) |
| Age (SD) | 75.7 (11.4) | 70.0 (13.9) | 72.4 (11.8) | 65.4 (18.1) | 74.7 (13.4) | 70.6 (13.2) |
| Weeks with weak opioids in first year (SD) | 16.2 (6.7) | 3.7 (1.7) | 0.7 (1.4) | 1 (1.5) | 9.2 (1.8) | 1.1 (1.7) |
| Weeks with strong opioids in first year (SD) | 1.5 (2.6) | 1.3 (0.7) | 3.4 (1.9) | 19.8 (5.7) | 0.2 (0.5) | 9.3 (2.7) |
| Number of prescriptions in first year (SD) | 17.9 (8.7) | 5.3 (2.9) | 7.3 (4.1) | 20.5 (5.0) | 11.0 (2.7) | 12.7 (4.3) |
| Discontinued by the end of the FU (%) | 17 (41%) | 108 (50%) | 29 (48%) | 10 (42%) | 29 (39%) | 12 (23%) |
| Crude | Adjusted * | ||
|---|---|---|---|
| Variable | HR (95% CI) | HR (95% CI) | |
| Clusters | Cluster 1 | 0.74 (0.44–1.23) | 0.75 (0.45–1.26) |
| Cluster 2 | 1 (ref) | 1 (ref) | |
| Cluster 3 | 0.89 (0.59–1.33) | 0.90 (0.59–1.35) | |
| Cluster 4 | 0.70 (0.37–1.34) | 0.70 (0.36–1.34) | |
| Cluster 5 | 0.65 (0.43–0.98) | 0.66 (0.44–1.00 | |
| Cluster 6 | 0.36 (0.20–0.65) | 0.36 (0.30–0.65) | |
| Entropy | 1st tertile | 1 (ref) | 1 (ref) |
| 2nd tertile | 0.58 (0.41–0.78) | 0.56 (0.41–0.77) | |
| 3rd tertile | 0.43 (0.30–0.64) | 0.44 (0.30–0.64) | |
| Turbulence | 1st tertile | 1 (ref) | 1 (ref) |
| 2nd tertile | 0.53 (0.39–0.73) | 0.53 (0.39–0.73) | |
| 3rd tertile | 0.49 (0.33–0.71) | 0.49 (0.34–0.72) |
Publisher’s Note: MDPI stays neutral with regard to jurisdictional claims in published maps and institutional affiliations. |
© 2021 by the authors. Licensee MDPI, Basel, Switzerland. This article is an open access article distributed under the terms and conditions of the Creative Commons Attribution (CC BY) license (https://creativecommons.org/licenses/by/4.0/).
Share and Cite
Vanoli, J.; Nava, C.R.; Airoldi, C.; Ucciero, A.; Salvi, V.; Barone-Adesi, F. Use of State Sequence Analysis in Pharmacoepidemiology: A Tutorial. Int. J. Environ. Res. Public Health 2021, 18, 13398. https://doi.org/10.3390/ijerph182413398
Vanoli J, Nava CR, Airoldi C, Ucciero A, Salvi V, Barone-Adesi F. Use of State Sequence Analysis in Pharmacoepidemiology: A Tutorial. International Journal of Environmental Research and Public Health. 2021; 18(24):13398. https://doi.org/10.3390/ijerph182413398
Chicago/Turabian StyleVanoli, Jacopo, Consuelo Rubina Nava, Chiara Airoldi, Andrealuna Ucciero, Virginio Salvi, and Francesco Barone-Adesi. 2021. "Use of State Sequence Analysis in Pharmacoepidemiology: A Tutorial" International Journal of Environmental Research and Public Health 18, no. 24: 13398. https://doi.org/10.3390/ijerph182413398
APA StyleVanoli, J., Nava, C. R., Airoldi, C., Ucciero, A., Salvi, V., & Barone-Adesi, F. (2021). Use of State Sequence Analysis in Pharmacoepidemiology: A Tutorial. International Journal of Environmental Research and Public Health, 18(24), 13398. https://doi.org/10.3390/ijerph182413398

