Effects of Mixed of a Ketogenic Diet in Overweight and Obese Women with Polycystic Ovary Syndrome
Abstract
:1. Introduction
2. Materials and Methods
2.1. Subject Selection
2.2. Study Design and Settings
2.3. Anthropometric and Biochemical Parameters
2.4. Dietary Treatment Protocol
2.5. Statistical Analyses
3. Results
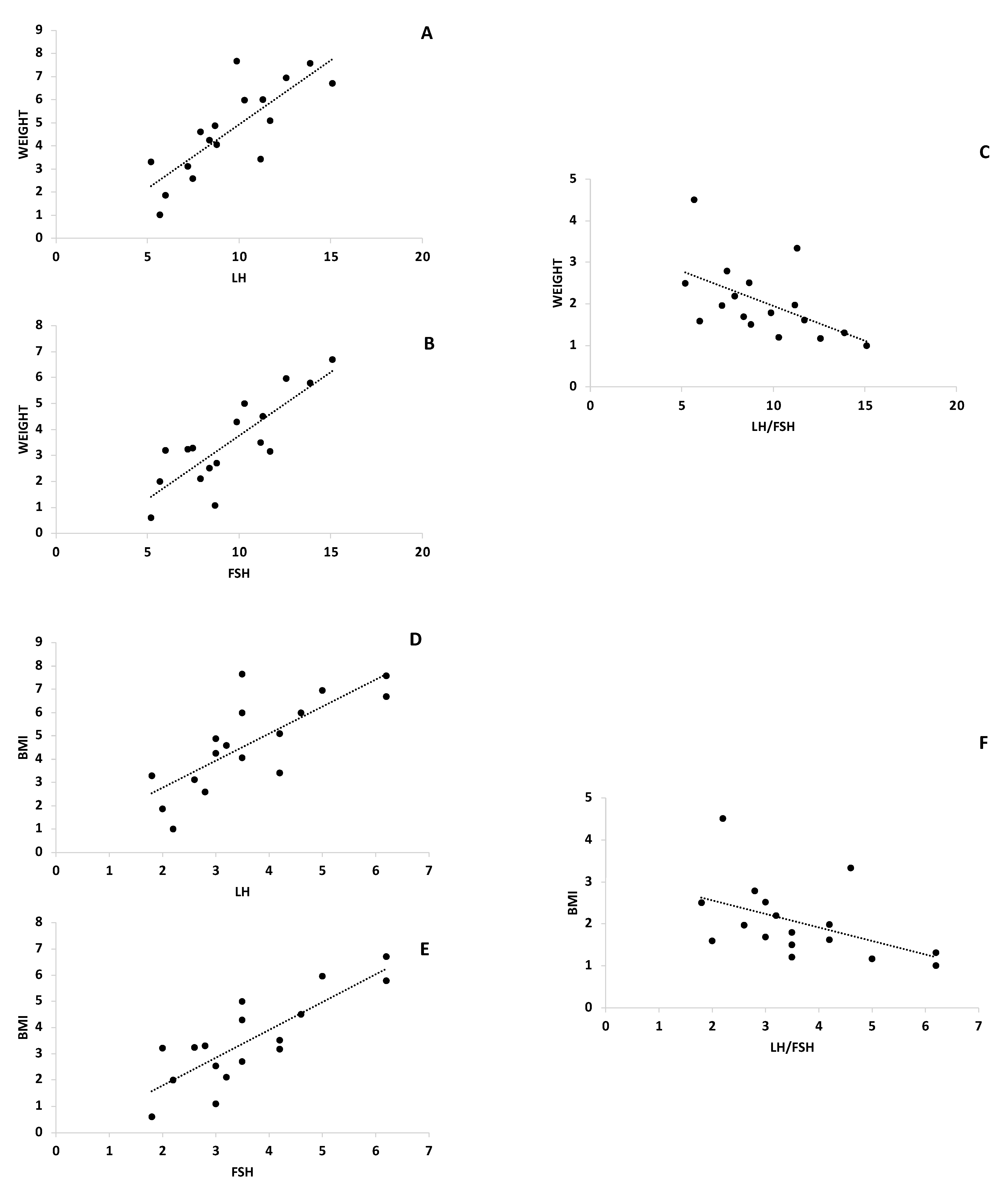
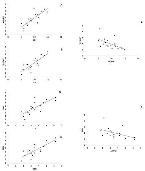
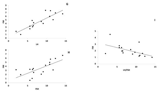
3.1. Anthropometric Characteristics of Obese Women with PCOS at Baseline and after the KD Intervention
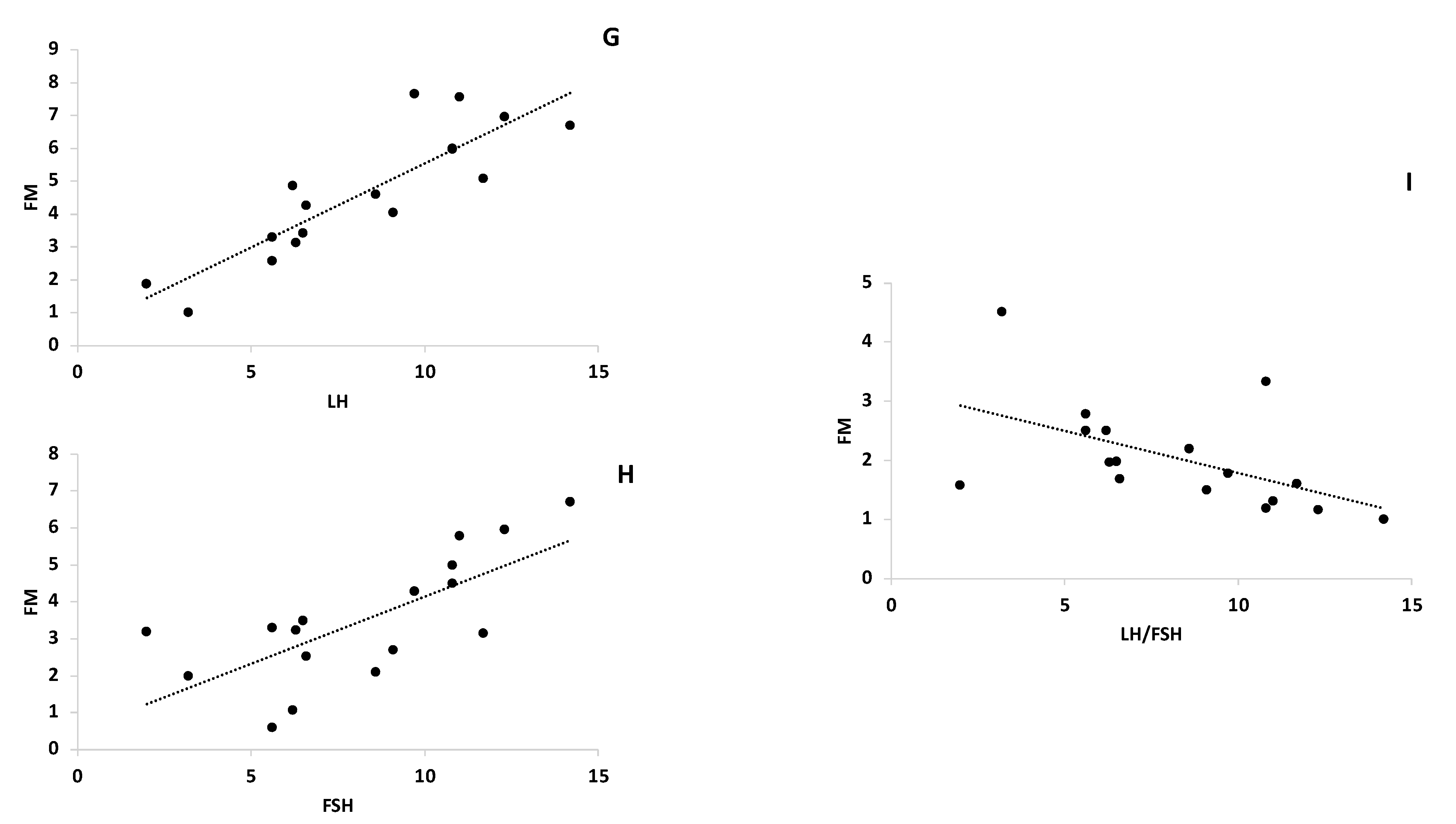
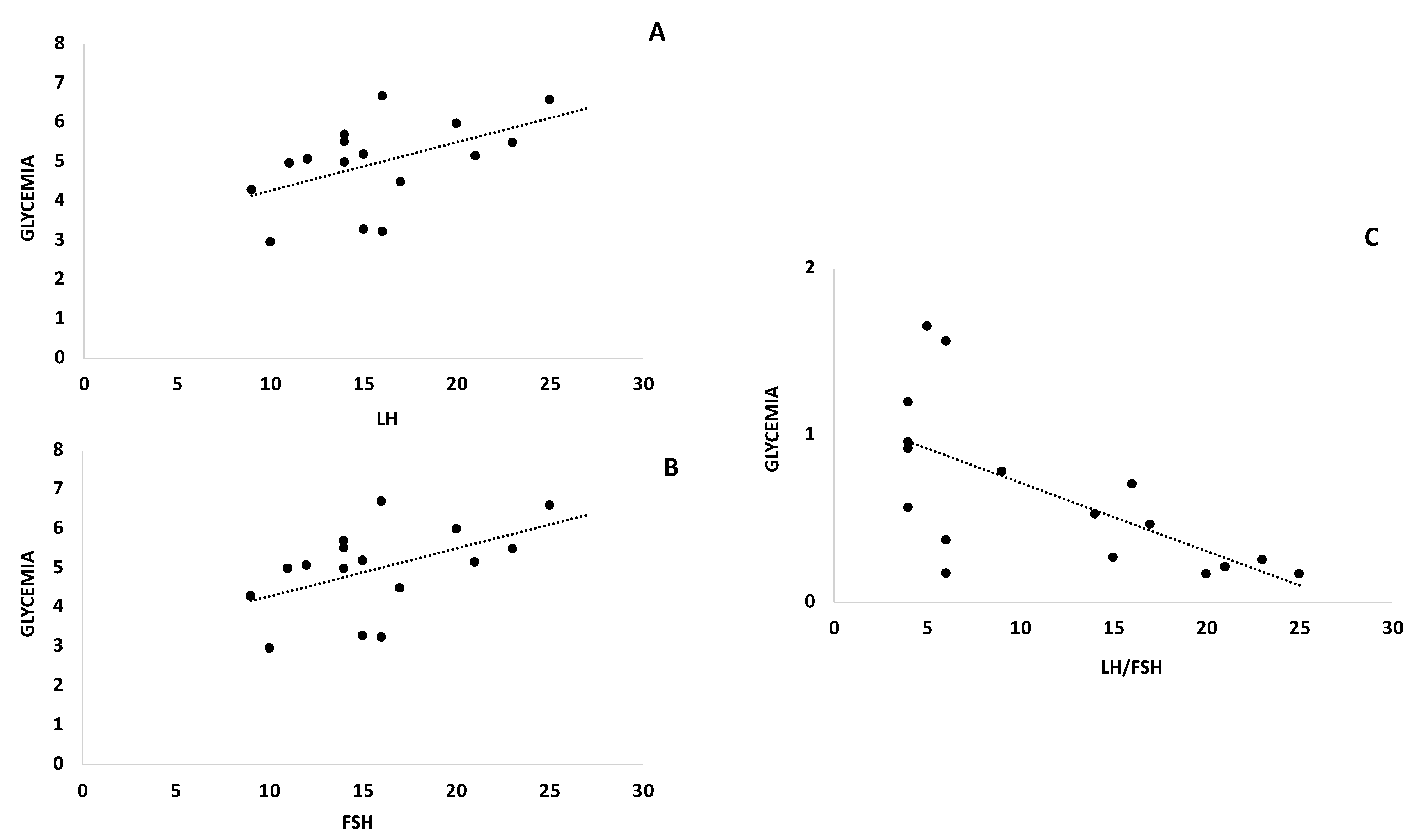
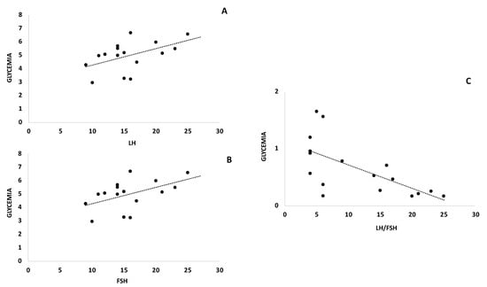
3.2. Metabolic Parameters of Obese Women with PCOS at Baseline and after KD Intervention
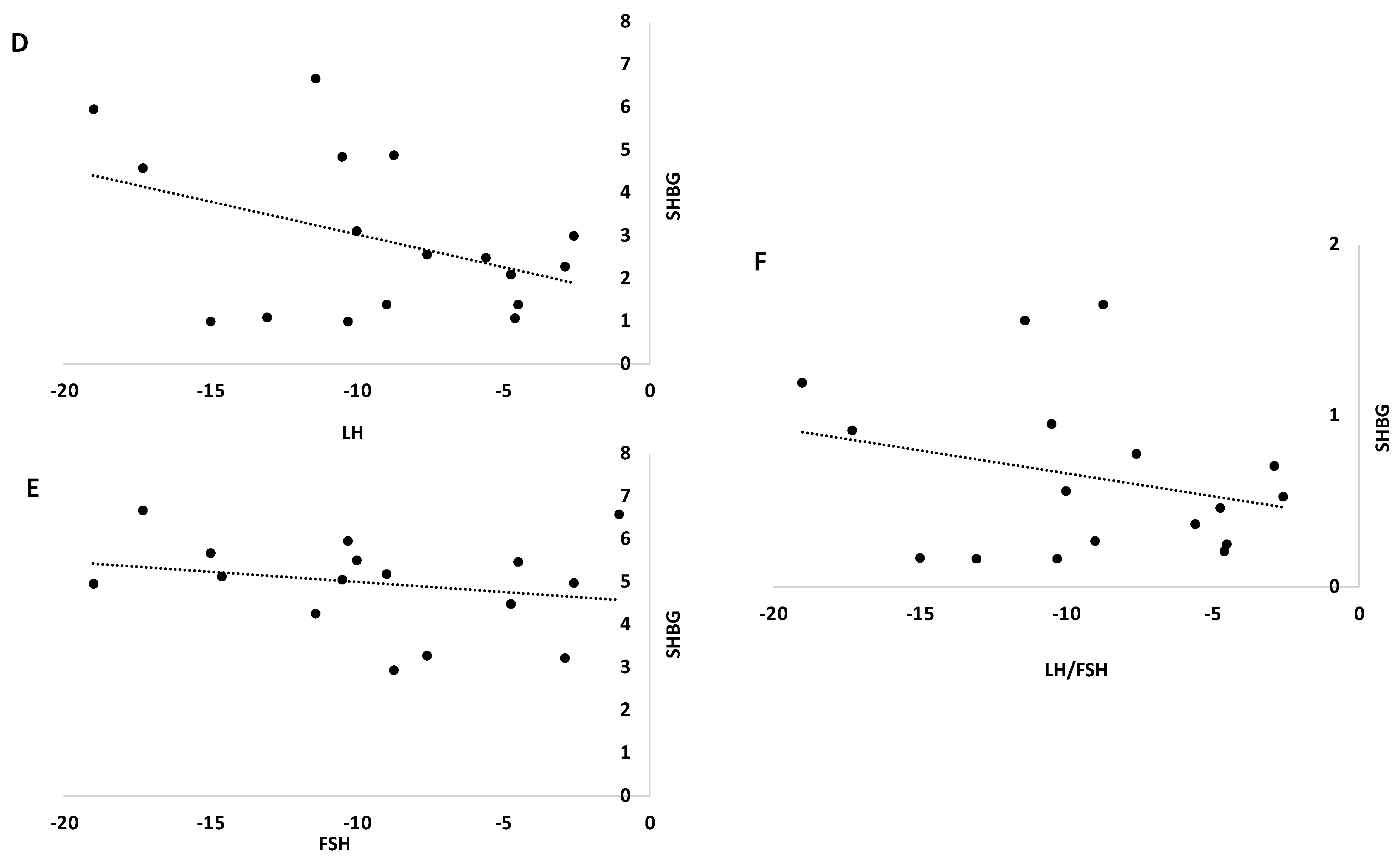
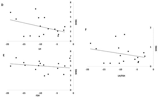
3.3. Endocrine Parameters of Obese Women with PCOS at Baseline and after KD Intervention
3.4. Gynecological Clinical Outcome of Obese Women with PCOS at Baseline and after the KD Intervention
4. Discussion
5. Conclusions
Author Contributions
Funding
Institutional Review Board Statement
Informed Consent Statement
Data Availability Statement
Acknowledgments
Conflicts of Interest
References
- Trikudanathan, S. Polycystic ovarian syndrome. Med. Clin. N. Am. 2015, 99, 221–235. [Google Scholar] [CrossRef]
- Sirmans, S.; Pate, K. Epidemiology, diagnosis, and management of polycystic ovary syndrome. Clin. Epidemiol. 2013, 6, 1–13. [Google Scholar] [CrossRef] [PubMed] [Green Version]
- Palomba, S.; Falbo, A.; Chiossi, G.; Muscogiuri, G.; Fornaciari, E.; Orio, F.; Tolino, A.; Colao, A.; LA Sala, G.B.; Zullo, F. Lipid profile in nonobese pregnant women with polycystic ovary syndrome: A prospective controlled clinical study. Steroids 2014, 88, 36–43. [Google Scholar] [CrossRef] [PubMed]
- De Leo, V.; Musacchio, M.C.; Cappelli, V.; Massaro, M.G.; Morgante, G.; Petraglia, F. Genetic, hormonal and metabolic aspects of PCOS: An update. Reprod. Biol. Endocrinol. 2016, 14, 38. [Google Scholar] [CrossRef] [PubMed] [Green Version]
- Wallace, I.R.; McKinley, M.C.; Bell, P.M.; Hunter, S.J. Sex hormone binding globulinand insulin resistance. Clin. Endocrinol. 2013, 78, 321–329. [Google Scholar] [CrossRef] [Green Version]
- Ceriello, A. Acute hyperglycaemia and oxidative stress generation. Diab. Med. 1997, 14 (Suppl. 3), S45–S49. [Google Scholar] [CrossRef]
- Legro, R.S.; Arslanian, S.A.; Ehrmann, D.A.; Hoeger, K.M.; Murad, M.H.; Pasquali, R. Diagnosis and treatment of polycystic ovary syndrome: Anendocrine Society clinical practice guideline. J. Clin. Endocrinol. Metab. 2013, 98, 4565–4592. [Google Scholar] [CrossRef] [Green Version]
- Norman, R.J.; Dewailly, D.; Legro, R.S.; Hickey, T.E. Polycystic ovary syndrome. Lancet 2007, 370, 685–697. [Google Scholar] [CrossRef] [Green Version]
- Hoege, K.M.; Oberfield, S.E. Do women with PCOS have a unique predisposition to obesity? Fertil. Steril. 2012, 97, 13–17. [Google Scholar] [CrossRef]
- Triggiani, A.I.; Valenzano, A.; Ciliberti, M.A.P.; Moscatelli, F.; Villani, S.; Monda, M.; Messina, A.; Federici, A.; Babiloni, C.; Cibelli, G. Heart rate variability is reduced in underweight and overweight healthy adult women. Clin. Physiol. Funct. Imaging 2017, 37, 162–167. [Google Scholar] [CrossRef]
- Polito, R.; Nigro, E.; Messina, A.; Monaco, M.L.; Monda, V.; Scudiero, O.; Cibelli, G.; Valenzano, A.; Picciocchi, E.; Zammit, C.; et al. Adiponectin and Orexin-A as a Potential Immunity Link Between Adipose Tissue and Central Nervous System. Front. Physiol. 2018, 9, 982. [Google Scholar] [CrossRef] [PubMed]
- Polito, R.; Messina, G.; Valenzano, A.; Scarinci, A.; Villano, I.; Monda, M.; Cibelli, G.; Porro, C.; Pisanelli, D.; Monda, V.; et al. The Role of Very Low Calorie Ketogenic Diet in Sympathetic Activation through Cortisol Secretion in Male Obese Population. J. Clin. Med. 2021, 10, 4230. [Google Scholar] [CrossRef]
- Stamets, K.; Taylor, D.S.; Kunselman, A.; Demers, L.M.; Pelkman, C.L.; Legro, R.S. A randomized trial of the effects of two types of short-term hypocaloric diets on weight loss in women with polycystic ovary syndrome. Fertil. Steril. 2004, 81, 630–637. [Google Scholar] [CrossRef] [PubMed]
- Moran, L.J.; Noakes, M.; Clifton, P.; Wittert, G.A.; Williams, G.; Norman, R. Short-term meal replacements followed by dietary macronutrient restriction enhance weight loss in polycystic ovary syndrome. Am. J. Clin. Nutr. 2006, 84, 77–87. [Google Scholar] [CrossRef] [PubMed]
- Tsagareli, V.; Noakes, M.; Norman, R.J. Effect of a very-low-calorie diet on in vitro fertilization outcomes. Fertil. Steril. 2006, 86, 227–229. [Google Scholar] [CrossRef]
- Valenzano, A.; Polito, R.; Trimigno, V.; Di Palma, A.; Moscatelli, F.; Corso, G.; Sessa, F.; Salerno, M.; Montana, A.; Di Nunno, N.; et al. Effects of Very Low Calorie Ketogenic Diet on the Orexinergic System, Visceral Adipose Tissue, and ROS Production. Antioxidants 2019, 8, 643. [Google Scholar] [CrossRef] [Green Version]
- Monda, V.; Polito, R.; Lovino, A.; Finaldi, A.; Valenzano, A.; Nigro, E.; Corso, G.; Sessa, F.; Asmundo, A.; Di Nunno, N.; et al. Short-Term Physiological Effects of a Very Low-Calorie Ketogenic Diet: Effects on Adiponectin Levels and Inflammatory States. Int. J. Mol. Sci. 2020, 21, 3228. [Google Scholar] [CrossRef] [PubMed]
- Boison, D. New insights into the mechanisms of the ketogenic diet. Curr. Opin. Neurol. 2017, 30, 187–192. [Google Scholar] [CrossRef] [Green Version]
- Adam-Perrot, A.; Clifton, P.; Brouns, F. Low-carbohydrate diets: Nutritional and physiological aspects. Obes. Rev. 2006, 7, 49–58. [Google Scholar] [CrossRef]
- Frary, J.M.C.; Bjerre, K.P.; Glintborg, D.; Ravn, P. The effect of dietary carbohydrates in women with polycystic ovary syndrome: A systematic review. Minerva Endocrinol. 2014, 41, 57–69. [Google Scholar]
- Rubini, A.; Bosco, G.; Lodi, A.; Cenci, L.; Parmagnani, A.; Grimaldi, K.A.; Zhongjin, Y.; Paoli, A. Erratum to: Effects of Twenty Days of the Ketogenic Diet on Metabolic and Respiratory Parameters in Healthy Subjects. Lung 2017, 195, 155. [Google Scholar] [CrossRef] [PubMed] [Green Version]
- Bafunno, V.; Santacroce, R.; Chetta, M.; D’andrea, G.; Pisanelli, D.; Sessa, F.; Trotta, T.; Tagariello, G.; Peyvandi, F.; Margaglione, M.; et al. Polymorphisms in genes involved in autoimmune disease and the risk of FVIII inhibitor development in Italian patients with haemophilia A. Haemophilia 2009, 16, 469–473. [Google Scholar] [CrossRef] [PubMed]
- Sessa, F.; Salerno, M.; Di Mizio, G.; Bertozzi, G.; Messina, G.; Tomaiuolo, B.; Pisanelli, D.; Maglietta, F.; Ricci, P.; Pomara, C. Anabolic Androgenic Steroids: Searching New Molecular Biomarkers. Front. Pharmacol. 2018, 9, 1321. [Google Scholar] [CrossRef]
- Salerno, M.; Cascio, O.; Bertozzi, G.; Sessa, F.; Messina, A.; Monda, V.; Cipolloni, L.; Biondi, A.; Daniele, A.; Pomara, C. Anabolic androgenic steroids and carcinogenicity focusing on Leydig cell: A literature review. Oncotarget 2018, 9, 19415–19426. [Google Scholar] [CrossRef] [Green Version]
- Ruderman, N.B.; Xu, J.X.; Nelson, L.; Cacicedo, J.M.; Saha, A.K.; Lan, F.; Ido, Y. AMPK and SIRT1: A long-standing partnership? Am. J. Physiol. Endocrinol. Metab. 2010, 298, E751–E760. [Google Scholar] [CrossRef]
- Draznin, B.; Wang, C.; Adochio, R.; Leitner, J.W.; Cornier, M.-A. Effect of Dietary Macronutrient Composition on AMPK and SIRT1 Expression and Activity in Human Skeletal Muscle. Horm. Metab. Res. 2012, 44, 650–655. [Google Scholar] [CrossRef]
- Messina, A.; Bitetti, I.; Precenzano, F.; Iacono, D.; Messina, G.; Roccella, M.; Parisi, L.; Salerno, M.; Valenzano, A.; Maltese, A.; et al. Non-Rapid Eye Movement Sleep Parasomnias and Migraine: A Role of Orexinergic Projections. Front. Neurol. 2018, 9, 95. [Google Scholar] [CrossRef] [Green Version]
- Messina, G.; Viggiano, E.; Monda, V.; Messina, A.; Moscatelli, F.; Valenzano, A.; Tafuri, D.; Cibelli, G.; De Luca, B.; Monda, M. Cortical spreading depression produces a neuroprotective effect activating mitochondrial uncoupling protein-5. Neuropsychiatr. Dis. Treat. 2016, 12, 1705–1710. [Google Scholar] [CrossRef] [Green Version]
- Monda, M.; Viggiano, A.; Mondola, R.; Viggiano, E.; Messina, G.; Tafuri, D.; De Luca, V. Olanzapine blocks the sympathetic and hyperthermic reactions due to cerebral injection of orexin A. Peptides 2008, 29, 120–126. [Google Scholar] [CrossRef] [PubMed]
- Viggiano, A.; Nicodemo, U.; Viggiano, E.; Messina, G.; Viggiano, A.; Monda, M.; De Luca, B. Mastication overload causes an increase in O2- production into the subnucleus oralis of the spinal trigeminal nucleus. Neuroscience 2010, 166, 416–421. [Google Scholar] [CrossRef]
- Monda, V.; Salerno, M.; Fiorenzo, M.; Villano, I.; Viggiano, A.; Sessa, F.; Triggiani, A.I.; Cibelli, G.; Valenzano, A.; Marsala, G.; et al. Role of Sex Hormones in the Control of Vegetative and Metabolic Functions of Middle-Aged Women. Front. Physiol. 2017, 8, 773. [Google Scholar] [CrossRef] [Green Version]
- Paoli, A.; Mancin, L.; Giacona, M.C.; Bianco, A.; Caprio, M. Effects of a ketogenic diet in overweight women with polycystic ovary syndrome. J. Transl. Med. 2020, 18, 104. [Google Scholar] [CrossRef]
- Giampaolino, P.; Foreste, V.; Di Filippo, C.; Gallo, A.; Mercorio, A.; Serafino, P.; Improda, F.; Verrazzo, P.; Zara, G.; Buonfantino, C.; et al. Microbiome and PCOS: State-Of-Art and Future Aspects. Int. J. Mol. Sci. 2021, 22, 2048. [Google Scholar] [CrossRef]
- Schiattarella, A.; Riemma, G.; La Verde, M.; Franci, G.; Chianese, A.; Fasulo, D.; Fichera, M.; Gallo, P.; De Franciscis, P. Polycystic Ovary Syndrome and Probiotics: A Natural Approach to an Inflammatory Disease. Curr. Women’s Health Rev. 2021, 17, 14–20. [Google Scholar] [CrossRef]
- Becker, L.; Semmlinger, L.; Rohleder, N. Resistance training as an acute stressor in healthy young men: Associations with heart rate variability, alpha-amylase, and cortisol levels. Stress 2021, 24, 318–330. [Google Scholar] [CrossRef] [PubMed]
- Viggiano, A.; Vicidomini, C.; Monda, M.; Carleo, D.; Carleo, R.; Messina, G.; Viggiano, A.; Viggiano, E.; De Luca, B. Fast and low-cost analysis of heart rate variability reveals vegetative alterations in noncomplicated diabetic patients. J. Diabetes Complicat. 2009, 23, 119–123. [Google Scholar] [CrossRef]
- Esposito, M.; Serpe, F.P.; Diletti, G.; Messina, G.; Scortichini, G.; La Rocca, C.; Baldi, L.; Amorena, M.; Monda, M. Serum levels of polychlorinated dibenzo-p-dioxins, polychlorinated dibenzofurans and polychlorinated biphenyls in a population living in the Naples area, southern Italy. Chemosphere 2014, 94, 62–69. [Google Scholar] [CrossRef] [PubMed]
- Young, H.; Benton, D. Heart-rate variability: A biomarker to study the influence of nutrition on physiological and psychological health? Behav. Pharmacol. 2018, 29, 140–151. [Google Scholar] [CrossRef] [Green Version]
- Chen, C.; Smothers, J.C.; Lange, A.; Nestler, J.E.; Iii, J.F.S.; Iii, E.P.W.; Strauss, J.F.; Wickham, E.P. Sex hormone-binding globulin genetic variation: Associations with type 2 diabetes mellitus and polycystic ovary syndrome. Minerva Endocrinol. 2010, 35, 271–280. [Google Scholar] [PubMed]
- Bafunno, V.; Bury, L.; Tiscia, G.L.; Fierro, T.; Favuzzi, G.; Caliandro, R.; Sessa, F.; Grandone, E.; Margaglione, M.; Gresele, P. A novel congenital dysprothrombinemia leading to defective prothrombin maturation. Thromb. Res. 2014, 134, 1135–1141. [Google Scholar] [CrossRef]
- Cerretani, D.; Riezzo, I.; Fiaschi, A.I.; Centini, F.; Giorgi, G.; D’Errico, S.; Fiore, C.; Karch, S.B.; Neri, M.; Pomara, C.; et al. Cardiac oxidative stress determination and myocardial morphology after a single ecstasy (MDMA) administration in a rat model. Int. J. Leg. Med. 2008, 122, 461–469. [Google Scholar] [CrossRef] [PubMed]
- Pomara, C.; Barone, R.; Gammazza, A.M.; Sangiorgi, C.; Barone, F.; Pitruzzella, A.; Locorotondo, N.; Di Gaudio, F.; Salerno, M.; Maglietta, F.; et al. Effects of Nandrolone Stimulation on Testosterone Biosynthesis in Leydig Cells. J. Cell. Physiol. 2016, 231, 1385–1391. [Google Scholar] [CrossRef] [PubMed] [Green Version]
- Salerno, M.; Villano, I.; Nicolosi, D.; Longhitano, L.; Loreto, C.; Lovino, A.; Sessa, F.; Polito, A.N.; Monda, V.; Chieffi, S.; et al. Modafinil and orexin system: Interactions and medico-legal considerations. Front. Biosci. 2019, 24, 564–575. [Google Scholar]
- Bertozzi, G.; Sessa, F.; Albano, G.D.; Sani, G.; Maglietta, F.; Roshan, M.H.K.; Volti, G.L.; Bernardini, R.; Avola, R.; Pomara, C.; et al. The Role of Anabolic Androgenic Steroids in Disruption of the Physiological Function in Discrete Areas of the Central Nervous System. Mol. Neurobiol. 2018, 55, 5548–5556. [Google Scholar] [CrossRef] [PubMed]
- Kalra, S.; Gupta, L.; Khandelwal, D.; Gupta, P.; Dutta, D.; Aggarwal, S. Ketogenic diet in endocrine disorders: Current perspectives. J. Postgrad. Med. 2017, 63, 242–251. [Google Scholar] [CrossRef]
- Muscogiuri, G.; Palomba, S.; Laganà, A.S.; Orio, F. Current Insights Into Inositol Isoforms, Mediterranean and Ketogenic Diets for Polycystic Ovary Syndrome: From Bench to Bedside. Curr. Pharm. Des. 2016, 22, 5554–5557. [Google Scholar] [CrossRef]
- Mavropoulos, J.C.; Yancy, W.S.; Hepburn, J.; Westman, E.C. The effects of a low-carbohydrate, ketogenic diet on the polycystic ovary syndrome: A pilot study. Nutr. Metab. 2005, 2, 35. [Google Scholar] [CrossRef] [Green Version]
- Moran, L.J.; Pasquali, R.; Teede, H.; Hoeger, K.M.; Norman, R. Treatment of obesity in polycystic ovary syndrome: A position statement of the Androgen Excess and Polycystic Ovary Syndrome Society. Fertil. Steril. 2009, 92, 1966–1982. [Google Scholar] [CrossRef]
- Strilchuk, L.; Cincione, R.I.; Fogacci, F.; Cicero, A.F. Dietary interventions in blood pressure lowering: Current evidence in 2020. Kardiol. Pol. 2020, 78, 659–666. [Google Scholar] [CrossRef]
- Zupo, R.; Castellana, F.; Sardone, R.; Sila, A.; Giagulli, V.A.; Triggiani, V.; Cincione, R.I.; Giannelli, G.; De Pergola, G. Preliminary Trajectories in Dietary Behaviors during the COVID-19 Pandemic: A Public Health Call to Action to Face Obesity. Int. J. Environ. Res. Public Health 2020, 17, 7073. [Google Scholar] [CrossRef]





| Average Nutritional Values | 100 g |
|---|---|
| Energy | 1616 kJ/381 Kcal |
| Fat | 1.69 g |
| Saturated fatty acids | 1.48 g |
| Carbohydrates | 1.40 g |
| Sugars | 1.40 g |
| Fiber | |
| Protein | 90.00 g |
| Salt | 0.59 g |
| T0 | T1 | ||
|---|---|---|---|
| N = 17 | MEAN ± SD | MEAN ± SD | p |
| Weight (kg) | 81.52 ± 13.56 | 75.89 ± 13.31 | <0.0001 |
| BMI (Kg/m2) | 31.84 ± 5.85 | 29.93 ± 5.47 | <0.001 |
| Waist circumference (cm) | 98.38 ± 10.45 | 88.94 ± 10.72 | <0.001 |
| Hip circumference (cm) | 118.94 ± 11.85 | 110.8 ± 12.7 | <0.001 |
| Waist to hip ratio | 0.82 ± 0.02 | 0.80 ± 0.03 | <0.001 |
| FM (Kg) | 40.32 ± 13.70 | 32.41 ± 12.62 | <0.001 |
| FFM (kg) | 52.86 ± 5.79 | 51.45 ± 5.81 | <0.05 |
| Muscle Mass (kg) | 50.18 ± 5.52 | 48.86 ± 5.54 | <0.05 |
| TBW (L) | 38.42 ± 4.83 | 37.10 ± 4.78 | <0.01 |
| Basal Metabolic Rate (Kcal) | 1649.33 ± 221.81 | 1627.33 ± 217.09 | <0.001 |
| T0 | T1 | ||
|---|---|---|---|
| N = 17 | MEAN ± SD | MEAN ± SD | p |
| Triglycerides mg/dL | 270.00 ± 44.29 | 200.00 ± 31.7 | <0.001 |
| Cholesterol mg/dL | 220.00 ± 7.7 | 180.00 ± 5.8 | <0.001 |
| LDLmg/dL | 130.00 ± 21.1 | 95.00 ± 5.3 | <0.001 |
| HDLmg/dL | 50.00 ± 9.7 | 65.00 ± 6.3 | <0.01 |
| Glucose mg/dL | 95.21 ± 8.59 | 85.14 ± 8.17 | <0.001 |
| Insulin μU/mL | 24.85 ± 22.18 | 11.95 ± 7.59 | <0.001 |
| HOMA-IR | 6.05 ± 5.64 | 2.60 ± 1.8 | <0.001 |
| Urinary ketones mg/dL | 0 | 83 ± 54.34 | <0.001 |
| Blood ketones mmol/L | 0 | 1.7 ± 0.58 | <0.001 |
| C-peptide ng/mL | 2.8 ± 1.36 | 2.01 ± 0.79 | <0.001 |
| Serum Albumin g/dL | 3.97 ± 0.35 | 4.28 ± 0.27 | <0.001 |
| LH mUI/mL | 11.56 ± 6.22 | 6.58 ± 4.10 | <0.001 |
| FSH mUI/mL | 4.29 ± 1.76 | 5.29 ± 2.40 | <0.05 |
| LH/FSH | 2.72 ± 1.30 | 1.4 ± 0.96 | <0.01 |
| Free Testosterone ng/dL | 0.65 ± 0.48 | 0.63 ± 0.66 | <0.001 |
| Total Testosterone | 39.08 ± 20.88 | 31.74 ± 16.82 | <0.001 |
| SHBG nmol/L | 54 ± 40.27 | 66.44 ± 47.76 | <0.001 |
| N. of Patients | 17 | T0 | T1 | ||
|---|---|---|---|---|---|
| Absence of cycle | 5 | Recurrent cycle | 5 | ||
| Duration cycle > 35 days | 12 | Regularization of cycle | 12 | ||
| Pregnancy | 0 | Pregnancy rate of Regularization of Cycle | 5/12 |
Publisher’s Note: MDPI stays neutral with regard to jurisdictional claims in published maps and institutional affiliations. |
© 2021 by the authors. Licensee MDPI, Basel, Switzerland. This article is an open access article distributed under the terms and conditions of the Creative Commons Attribution (CC BY) license (https://creativecommons.org/licenses/by/4.0/).
Share and Cite
Cincione, R.I.; Losavio, F.; Ciolli, F.; Valenzano, A.; Cibelli, G.; Messina, G.; Polito, R. Effects of Mixed of a Ketogenic Diet in Overweight and Obese Women with Polycystic Ovary Syndrome. Int. J. Environ. Res. Public Health 2021, 18, 12490. https://doi.org/10.3390/ijerph182312490
Cincione RI, Losavio F, Ciolli F, Valenzano A, Cibelli G, Messina G, Polito R. Effects of Mixed of a Ketogenic Diet in Overweight and Obese Women with Polycystic Ovary Syndrome. International Journal of Environmental Research and Public Health. 2021; 18(23):12490. https://doi.org/10.3390/ijerph182312490
Chicago/Turabian StyleCincione, Raffaele Ivan, Francesca Losavio, Fabiana Ciolli, Anna Valenzano, Giuseppe Cibelli, Giovanni Messina, and Rita Polito. 2021. "Effects of Mixed of a Ketogenic Diet in Overweight and Obese Women with Polycystic Ovary Syndrome" International Journal of Environmental Research and Public Health 18, no. 23: 12490. https://doi.org/10.3390/ijerph182312490
APA StyleCincione, R. I., Losavio, F., Ciolli, F., Valenzano, A., Cibelli, G., Messina, G., & Polito, R. (2021). Effects of Mixed of a Ketogenic Diet in Overweight and Obese Women with Polycystic Ovary Syndrome. International Journal of Environmental Research and Public Health, 18(23), 12490. https://doi.org/10.3390/ijerph182312490

