The Relationship between the Restorative Perception of the Environment and the Physiological and Psychological Effects of Different Types of Forests on University Students
Abstract
:1. Introduction
2. Materials and Methods
2.1. Participants
2.2. Study Sites
2.3. Procedures
2.4. Measurements
2.5. Statistical Analysis
3. Results
3.1. Differences in the Restorative Perception of Experimental Sites
3.1.1. The Total Scores of PRS in the Different Types of Forests and the Urban Site
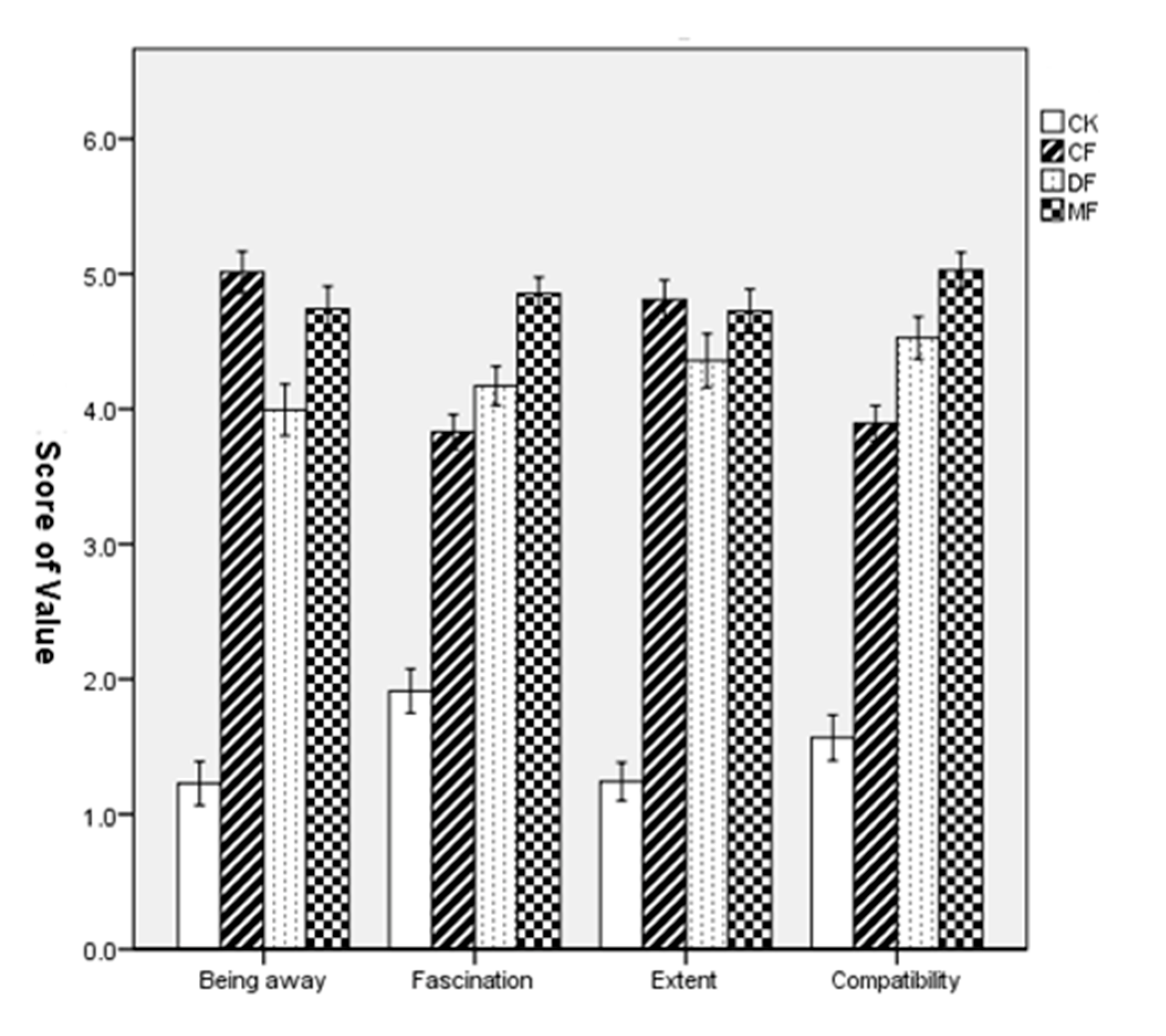
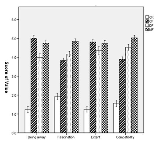
3.1.2. The Four Dimensions of PRS among the Different Types of Forests and the Urban Site
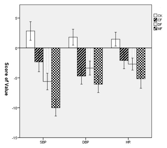
3.2. Differences in the Physiological Restoration in Three Types of Forests
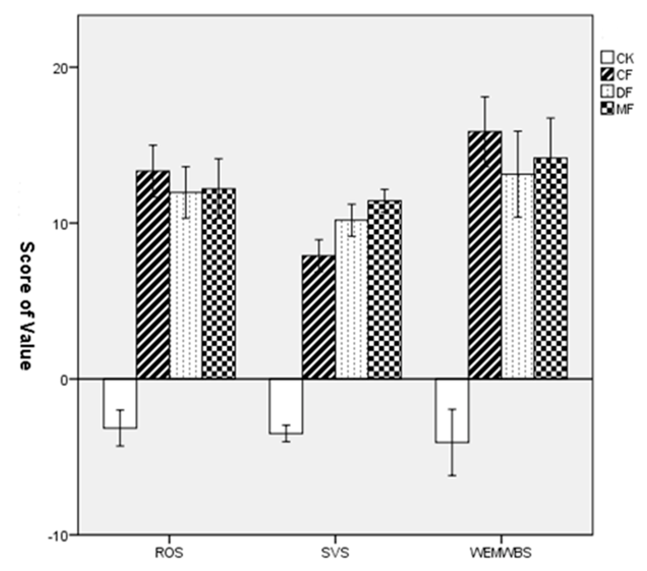
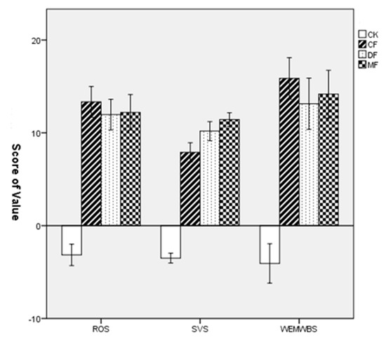
3.3. Differences in the Psychological Restoration in Three Types of Forests
3.4. The Relationship between Restorative Perception of Environment and Physiological Parameters
3.5. The Relationship between Restorative Perception of the Environment and Psychological Parameters
4. Discussion
4.1. Restorative Perception of Different Environments
4.2. Effects of Different Environments on Physiological Health
4.3. Effects of Different Environments on Psychological Well-Being
4.4. The Relationships between Restorative Perception of Environment and Physiological and Psychological Restoration
4.5. Limitations
5. Conclusions
Author Contributions
Funding
Institutional Review Board Statement
Informed Consent Statement
Data Availability Statement
Acknowledgments
Conflicts of Interest
References
- Velarde, M.D.; Fry, G.; Tveit, M. Health effects of viewing landscapes-Landscape types in environmental psychology. Urban Urban Green 2007, 6, 199–212. [Google Scholar] [CrossRef]
- Anette, K.; Hanne, B. A comparison of the restorative effect of a natural environment with that of a simulated natural environment. J. Environ. Psychol. 2010, 30, 464–472. [Google Scholar] [CrossRef]
- Groenewegen, P.; van den Berg, A.E.; Maas, J.; Verheij, R.A.; de Vries, S. Is a green residential environment better for health? If so, why? Ann. Assoc. Am. Geogr. 2012, 102, 996–1003. [Google Scholar] [CrossRef]
- Cecily, M.; Mardie, T.; Anita, P.; Peter, B.; Lawrence, S.L. Healthy nature healthy people: ‘contact with nature’ as an upstream health promotion intervention for populations. Health Promot. Int. 2006, 21, 45–54. [Google Scholar] [CrossRef] [Green Version]
- Keniger, L.E.; Gaston, K.J.; Irvine, K.N.; Fuller, R.A. What are the benefits of interacting with nature? Int. J. Environ. Res. Public Health 2013, 10, 913–935. [Google Scholar] [CrossRef] [Green Version]
- Kaplan, S. The restorative benefits of nature: Toward an integrative framework. J. Environ. Psychol. 1995, 15, 169–182. [Google Scholar] [CrossRef]
- Ulrich, R.S.; Simons, R.F.; Losito, B.D.; Fiorito, E.; Miles, M.A.; Zelson, M. Stress recovery during exposure to natural and urban environments. J. Environ. Psychol. 1991, 11, 201–230. [Google Scholar] [CrossRef]
- Hartig, T.; Korpela, K.; Evans, G.W.; Garling, T. A measure of restorative quality in environments. Hous. Theory Soc. 1997, 14, 175–194. [Google Scholar] [CrossRef]
- Pals, R.; Steg, L.; Siero, F.W.; Der Zee, V.K. Development of the PRCQ: A measure of perceived restorative characteristics of zoo attractions. J. Environ. Psychol. 2009, 29, 441–449. [Google Scholar] [CrossRef]
- Ulrich, R.S. Aesthetic and affective response to natural environment. In Behavior and Natural Environment; Springer: Boston, MA, USA, 1983; pp. 85–125. [Google Scholar]
- Hietanen, J.K. Do both negative and positive environmental scenes elicit rapid affective processing? Environ. Behav. 2004, 36, 558–577. [Google Scholar] [CrossRef]
- Hietanen, J.K.; Klemettilä, T.; Kettunen, J.E.; Korpela, K.M. What is a nice smile like that doing in a place like this? Automatic affective responses to environments influence the recognition of facial expressions. J. Psychol. Res. 2007, 71, 539–552. [Google Scholar] [CrossRef]
- Tyrväinen, L.; Ojala, A.; Korpela, K.; Lanki, T.; Tsunetsugu, Y.; Kagawa, T. The influence of urban green environments on stress relief measures: A field experiment. J. Environ. Psychol. 2014, 38, 1–9. [Google Scholar] [CrossRef]
- Adevi, A.A.; Mårtensson, F. Stress rehabilitation through garden therapy: The garden as a place in the recovery from stress. Urban Urban Green 2013, 12, 230–237. [Google Scholar] [CrossRef]
- Thompson, C.J.; Boddy, K.; Stein, K.; Whear, R.; Barton, J.; Depledge, M.H. Does participating in physical activity in outdoor natural environments have a greater effect on physical and mental wellbeing than physical activity indoors? A systematic review. Environ. Sci. Technol. 2011, 45, 1761–1772. [Google Scholar] [CrossRef]
- Bratman, G.N.; Daily, G.C.; Levy, B.J.; Gross, J.J. The benefits of nature experience: Improved affect and cognition. Landsc. Urban Plan 2015, 138, 41–50. [Google Scholar] [CrossRef]
- Fjørtoft, I.; Sageie, J. The natural environment as a playground for children: Landscape description and analyses of a natural playscape. Landsc. Urban Plan 2000, 48, 83–97. [Google Scholar] [CrossRef]
- Kaplan, R.; Kaplan, S. The Experience of Nature: A Psychological Perspective; Cambridge University Press: New York, NY, USA, 1989; pp. 9–40. [Google Scholar]
- Laumann, K.; Gärling, T.; Stormark, K.M. Rating scale measures of restorative components of environments. J. Environ. Psychol. 2001, 21, 31–44. [Google Scholar] [CrossRef] [Green Version]
- Herzog, T.R.; Maguire, P.; Nebel, M.B. Assessing the restorative components of environments. J. Environ. Psychol. 2003, 23, 159–170. [Google Scholar] [CrossRef]
- Bowler, D.E.; Buyung-Ali, L.M.; Knight, T.M.; Pullin, A.S. A systematic review of evidence for the added benefits to health of exposure to natural environments. BMC Public Health 2010, 10, 456. [Google Scholar] [CrossRef] [Green Version]
- Staats, H.; Van Gemerden, E.; Hartig, T. Preference for restorative situations: Interactive effects of attentional state, activity-in-environment, and social context. Leisure Sci. 2010, 32, 401–417. [Google Scholar] [CrossRef]
- Hartig, T.; Kaiser, F.G.; Bowler, P.A. Further Development of A Measure Of Perceived Environmental Restorativeness; Gävle: Uppsala, Sweden, 1997; pp. 3–15. [Google Scholar]
- Scopelliti, M.; Giuliani, M.V. Choosing restorative environments across the lifespan: A matter of place experience. J. Environ. Psychol. 2004, 24, 423–437. [Google Scholar] [CrossRef]
- Peschardt, K.K.; Stigsdotter, U.K. Associations between park characteristics and perceived restorativeness of small public urban green spaces. Landsc. Urban Plan 2013, 112, 26–39. [Google Scholar] [CrossRef]
- Li, Q. What is Forest Medicine? In Forest Medicine; Nova Science Publishers: New York, NY, USA, 2013; pp. 13–31. [Google Scholar]
- Grilli, G.; Sacchelli, S. Health benefits derived from forest: A review. Int. J. Environ. Res. Public Health 2020, 17, 6125. [Google Scholar] [CrossRef]
- Li, Q.; Otsuka, T.; Kobayashi, M.; Wakayama, Y.; Inagaki, H.; Katsumata, M.; Hirata, Y.; Li, Y.J.; Hirata, K.; Shimizu, T.; et al. Acute effects of walking in forest environments on cardiovascular and metabolic parameters. Eur. J. Appl. Physiol. 2011, 111, 2845–2853. [Google Scholar] [CrossRef] [PubMed]
- Tsunetsugu, Y.; Park, B.J.; Ishii, H.; Hirano, H.; Kagawa, T.; Miyazaki, Y. Physiological effects of Shinrin-yoku (taking in the atmosphere of the forest) in an old-growth broadleaf forest in Yamagata Prefecture, Japan. J. Physiol. Anthropol. 2007, 26, 135–142. [Google Scholar] [CrossRef] [PubMed] [Green Version]
- Yu, C.P.; Lin, C.M.; Tsai, M.J.; Tsai, Y.C.; Chen, C.Y. Effects of short forest bathing program on autonomic nervous system activity and mood states in middle-aged and elderly individuals. Int. J. Environ. Res. Public Health 2017, 14, 897. [Google Scholar] [CrossRef] [PubMed]
- Bielinis, E.; Łukowski, A.; Omelan, A.; Boiko, S.; Takayama, N.; Grebner, D.L. The effect of recreation in a snow-covered forest environment on the psychological wellbeing of young adults: Randomized controlled study. Forests 2019, 10, 827. [Google Scholar] [CrossRef] [Green Version]
- Takayama, N.; Korpela, K.; Lee, J.; Morikawa, T.; Tsunetsugu, Y.; Park, B.-J.; Li, Q.; Tyrväinen, L.; Miyazaki, Y.; Kagawa, T. Emotional, restorative and vitalizing effects of forest and urban environments at four sites in Japan. Int. J. Environ. Res. Public Health 2014, 11, 7207–7230. [Google Scholar] [CrossRef] [Green Version]
- Marselle, M.R.; Irvine, K.N.; Lorenzo-Arribas, A.; Warber, S.L. Moving beyond green: Exploring the relationship of environment type and indicators of perceived environmental quality on emotional well-being following group walks. Int. J. Environ. Res. Public Health 2014, 12, 106–130. [Google Scholar] [CrossRef]
- Lohr, V.I.; Pearson-mims, C.H. Responses to scenes with spreading, rounded, and conical tree forms. Environ. Behav. 2006, 38, 667–688. [Google Scholar] [CrossRef]
- Fuller, R.A.; Irvine, K.N.; Devine-Wright, P.; Warren, P.H.; Gaston, K.J. Psychological benefits of greenspace increase with biodiversity. Biol. Lett. 2007, 3, 390–394. [Google Scholar] [CrossRef]
- Hu, Z.F.; Lin, Y.L. Environmental Psychology; China Architecture & Building Press: Beijing, China, 2012; pp. 117–126. [Google Scholar]
- Martens, D.; Gutscher, H.; Bauer, N. Walking in “wild” and “tended” urban forests: The impact on psychological well-being. J. Environ. Psychol. 2010, 31, 36–44. [Google Scholar] [CrossRef]
- Liu, Q.Y.; Chen, Y.; Zhang, W.; Zhang, Y.J.; Huang, Q.T.; Lan, S.R. Tourists’ environmental preferences, perceived restoration and perceived health at Fuzhou National Forest Park. Resour. Sci. 2018, 40, 381–391. [Google Scholar] [CrossRef] [Green Version]
- Lazarus, R.S. Emotion and Adaptation; Oxford University Press: New York, NY, USA, 1991; pp. 106–178. [Google Scholar]
- Bagozzi, R.P. The self-regulation of attitudes, intentions and behavior. Soc. Psychol. Quart. 1992, 55, 178–204. [Google Scholar] [CrossRef]
- Gidlow, C.J.; Jones, M.V.; Hurst, G.; Masterson, D.; Clark-Carter, D.; Tarvainen, M.P.; Nieuwenhuijsen, M. Where to put your best foot forward: Psycho-physiological responses to walking in natural and urban environments. J. Environ. Psychol 2016, 45, 22–29. [Google Scholar] [CrossRef]
- Shaffer, F.; Ginsberg, J.P. An overview of heart rate variability metrics and norms. Front. Public Health 2017, 5, 1–17. [Google Scholar] [CrossRef] [Green Version]
- Wang, X.X.; Wu, C.Z.; Yan, J. Experimental study of the perceived restorative scale (PRS) in Chinese by evaluating the restorative qualities of urban park scenes. Chin. Landsc. Archit. 2019, 2, 45–48. [Google Scholar]
- Ryan, R.M.; Frederick, C. On energy, personality, and health: Subjective vitality as a dynamic reflection of well-being. J. Pers. Med. 1997, 65, 529–565. [Google Scholar] [CrossRef]
- Tennant, R.; Hiller, L.; Fishwick, R.; Platt, S.; Joseph, S.; Weich, S.; Parkinson, J.; Secker, J.; Stewart-Brown, S. The Warwick-Edinburgh Mental Well-being Scale (WEMWBS): Development and UK validation. Health Qual. Life Outcomes 2007, 5, 63. [Google Scholar] [CrossRef] [Green Version]
- Zhao, B.H.; Guo, J.Q.; Zhang, X.; Pan, Y.L. Reliability, and validity of Warwick-Edinburgh Mental Well-being Scale (WEMWBS) in middle-school students. Chin. J. Clin. Psych. 2019, 27, 286–289. [Google Scholar] [CrossRef]
- Park, B.J.; Tsunetsugu, Y.; Kasetani, T.; Kagawa, T.; Miyazaki, Y. The physiological effects of Shinrin-yoku (taking in the forest atmosphere or forest bathing): Evidence from field experiments in 24 forests across Japan. Environ. Health Prev. Med. 2010, 18–26. [Google Scholar] [CrossRef] [Green Version]
- Tsunetsugu, Y.; Lee, J.; Park, B.; Tyrväinen, L.; Kagawa, T.; Miyazaki, Y. Landscape and Urban Planning Physiological and psychological effects of viewing urban forest landscapes assessed by multiple measurements. Landsc. Urban Plan 2013, 113, 90–93. [Google Scholar] [CrossRef]
- Lee, J.; Park, B.-J.; Tsunetsugu, Y.; Ohira, T.; Kagawa, T.; Miyazaki, Y. Effect of forest bathing on physiological and psychological responses in young Japanese male subjects. Public Health 2011, 125, 93–100. [Google Scholar] [CrossRef]
- Ode, Å.; Fry, G.; Tveit, M.S.; Messager, P.; Miller, D. Indicators of perceived naturalness as drivers of landscape preference. J. Environ. Manag. 2009, 90, 375–383. [Google Scholar] [CrossRef]
- Purcell, A.T.; Lamb, R.J. Preference and naturalness: An ecological approach. Landsc. Urban Plan 1998, 42, 57–66. [Google Scholar] [CrossRef]
- Stigsdotter, U.K.; Corazon, S.S.; Sidenius, U.; Refshauge, A.D.; Grahn, P. Forest design for mental health promotion—Using perceived sensory dimensions to elicit restorative responses. Landsc. Urban Plan 2017, 160, 1–15. [Google Scholar] [CrossRef]
- Jiang, B.; Chang, C.; Sullivan, W.C. A dose of nature: Tree cover, stress reduction, and gender differences. Landsc. Urban Plan 2014, 132, 26–36. [Google Scholar] [CrossRef]
- Kobayashi, H.; Song, C.; Ikei, H.; Kagawa, T.; Miyazaki, Y. Analysis of individual variations in autonomic responses to urban and forest environments. Evid. Based Complement. Alternat. Med. 2015, 2015, 1–7. [Google Scholar] [CrossRef] [PubMed]
- Mao, G.X.; Lan, X.G.; Cao, Y.B.; Chen, Z.M.; He, Z.H.; Lv, Y.D.; Wang, Y.Z.; Hu, X.L.; Wang, G.F.; Jing, Y.A. Effects of short-term forest bathing on human health in a broad-leaved evergreen forest in Zhejiang Province, China. Biomed. Environ. Sci. 2012, 25, 317–324. [Google Scholar] [CrossRef]
- Singer, J.A.; Salovey, P. Mood and memory: Evaluating the network theory of affect. Clin. Psychol. Rev. 1988, 8, 211–251. [Google Scholar] [CrossRef]
- Simkin, J.; Ojala, A.; Tyrväinen, L. Restorative effects of mature and young commercial forests, pristine old-growth forest, and urban recreation forest--A field experiment. Urban Urban Green 2020, 48, 126567. [Google Scholar] [CrossRef]
- Sumitomo, K.; Akutsu, H.; Fukuyama, S.; Minoshima, A.; Kukita, S.; Yamamura, Y.; Sato, Y.; Hayasaka, T.; Osanai, S.; Funakoshi, H.; et al. Conifer-derived monoterpenes and forest walking. J. Mass Spectrom. 2015, 4, A0042. [Google Scholar] [CrossRef] [PubMed] [Green Version]
- Li, Q.; Morimoto, K.; Kobayashi, M.; Inagaki, H.; Katsumata, M.; Hirata, Y.; Hirata, K.; Suzuki, H.; Li, Y.; Wakayama, Y.; et al. Visiting a forest, but not a city, increases human natural killer activity and expression of anti-cancer proteins. Int. J. Immunopathol. Pharmacol. 2008, 21, 117–127. [Google Scholar] [CrossRef] [PubMed]
- Marselle, M.R.; Stadler, M.J.; Korn, H.; Irvine, K.N.; Bonn, A. Biodiversity and Health in the Face of Climate Change; Springer: Berlin, Germany, 2019; pp. 133–158. [Google Scholar] [CrossRef] [Green Version]
- Huang, C.; Huang, F.; Chou, H. The relationships between environmental preference and restorative perception of environment: A case of mountainscape. Outdoor Recreat. Study 2008, 21, 1–25. [Google Scholar]






| Forest Site | Mixed Forest | Deciduous Forest | Coniferous Forest |
|---|---|---|---|
| Dominant tree species | Pinus tabuliformis Quercus mongolica | Cotinus coggygria | Platycladus orientalis |
| Tree height (m) | 7 ± 1.22 | 5 ± 1.00 | 8 ± 0.81 |
| Diameter breast height (cm) | 22 ± 3.67 | 15 ± 3.35 | 16 ± 1.81 |
| Canopy closure (%) | 0.7 ± 0.03 | 0.55 ± 0.01 | 0.6 ± 0.05 |
| Visual penetration through stand (m) | 40 ± 1.47 | 25 ± 3.74 | 45 ± 1.23 |
| Stand density (trees ha−1) | 525 ± 11 | 664 ± 10 | 825 ± 8 |
| Scores of PRS | Dimensional Scores of PRS | ||||
|---|---|---|---|---|---|
| Being Away | Fascination | Extent | Compatibility | ||
| CF | 4.29 ± 1.06 | 5.01 ± 0.96 | 3.83 ± 1.02 | 4.81 ± 0.81 | 3.89 ± 0.81 |
| DF | 4.25 ± 1.12 | 3.99 ± 1.17 | 4.17 ± 1.13 | 4.36 ± 1.11 | 4.53 ± 0.97 |
| MF | 4.84 ± 0.95 | 4.74 ± 1.05 | 4.85 ± 0.96 | 4.73 ± 0.91 | 5.03 ± 0.82 |
| CK | 1.56 ± 1.13 | 1.23 ± 1.00 | 1.91 ± 1.29 | 1.24 ± 0.78 | 1.57 ± 1.05 |
| City Site | Mixed Forest | Deciduous Forest | Coniferous Forest | ||||||
|---|---|---|---|---|---|---|---|---|---|
| Mean | SD | Mean | SD | Mean | SD | Mean | SD | ||
| SBP | Baseline (TO) | 113.30 | 4.71 | 117.10 | 4.44 | 114.33 | 6.48 | 116.07 | 5.35 |
| 116.13 | 7.21 | 107.10 | 7.88 | 108.72 | 7.30 | 113.73 | 7.19 | ||
| DBP | Baseline (TO) | 66.70 | 4.24 | 70.77 | 5.12 | 68.63 | 5.50 | 71.30 | 4.69 |
| 68.50 | 5.90 | 64.70 | 6.74 | 65.27 | 5.731 | 66.60 | 5.83 | ||
| HR | Baseline (TO) | 79.70 | 4.09 | 82.07 | 3.61 | 78.60 | 3.38 | 80.63 | 3.01 |
| 81.17 | 4.60 | 76.92 | 5.66 | 75.90 | 4.65 | 78.53 | 5.67 | ||
| City Site | Mixed Forest | Deciduous Forest | Coniferous Forest | ||||||
|---|---|---|---|---|---|---|---|---|---|
| Mean | SD | Mean | SD | Mean | SD | Mean | SD | ||
| ROS | Baseline (TO) | 2.03 | 0.75 | 2.21 | 0.78 | 2.15 | 0.76 | 1.79 | 0.81 |
| 1.51 | 0.97 | 4.24 | 1.31 | 4.14 | 1.21 | 4.01 | 1.27 | ||
| SVS | Baseline (TO) | 1.83 | 1.03 | 1.74 | 0.88 | 1.80 | 0.95 | 1.97 | 0.91 |
| 0.95 | 0.72 | 4.60 | 1.07 | 4.35 | 1.22 | 3.94 | 1.42 | ||
| WEMWBS | Baseline (TO) | 1.86 | 0.710 | 1.93 | 0.715 | 2.01 | 0.72 | 1.89 | 0.73 |
| 1.57 | 1.04 | 2.95 | 0.89 | 2.95 | 0.92 | 3.02 | 0.87 | ||
| PRS | Four Sub-Scales of PRS | |||||
|---|---|---|---|---|---|---|
| Being Away | Fascination | Extent | Compatibility | |||
| SBP | Spearman Correlation | −0.506 ** | −0.370 ** | −0.468 ** | −0.327 ** | −0.506 ** |
| Sig. (two-tailed) | 0.000 | 0.000 | 0.000 | 0.000 | 0.000 | |
| DBP | Spearman Correlation | −0.352 ** | −0.328 ** | −0.345 ** | −0.373 ** | −0.352 ** |
| Sig. (two-tailed) | 0.000 | 0.000 | 0.000 | 0.000 | 0.000 | |
| HR | Spearman Correlation | −0.347 ** | −0.258 ** | −0.328 ** | −0.357 ** | −0.347 ** |
| Sig. (two-tailed) | 0.000 | 0.000 | 0.000 | 0.000 | 0.000 | |
| PRS | Four Sub-Scales of PRS | |||||
|---|---|---|---|---|---|---|
| Being Away | Fascination | Extent | Compatibility | |||
| ROS | Spearman Correlation | 0.541 ** | 0.737 ** | 0.570 ** | 0.538 ** | 0.541 ** |
| Sig. (two-tailed) | 0.000 | 0.000 | 0.000 | 0.000 | 0.000 | |
| SVS | Spearman Correlation | 0.708 ** | 0.678 ** | 0.673 ** | 0.542 ** | 0.708 ** |
| Sig. (two-tailed) | 0.000 | 0.000 | 0.000 | 0.000 | 0.000 | |
| WEMWBS | Spearman Correlation | 0.458 ** | 0.669 ** | 0.535 ** | 0.502 ** | 0.458 ** |
| Sig. (two-tailed) | 0.000 | 0.000 | 0.000 | 0.000 | 0.000 | |
Publisher’s Note: MDPI stays neutral with regard to jurisdictional claims in published maps and institutional affiliations. |
© 2021 by the authors. Licensee MDPI, Basel, Switzerland. This article is an open access article distributed under the terms and conditions of the Creative Commons Attribution (CC BY) license (https://creativecommons.org/licenses/by/4.0/).
Share and Cite
Liu, Q.; Wang, X.; Liu, J.; Zhang, G.; An, C.; Liu, Y.; Fan, X.; Hu, Y.; Zhang, H. The Relationship between the Restorative Perception of the Environment and the Physiological and Psychological Effects of Different Types of Forests on University Students. Int. J. Environ. Res. Public Health 2021, 18, 12224. https://doi.org/10.3390/ijerph182212224
Liu Q, Wang X, Liu J, Zhang G, An C, Liu Y, Fan X, Hu Y, Zhang H. The Relationship between the Restorative Perception of the Environment and the Physiological and Psychological Effects of Different Types of Forests on University Students. International Journal of Environmental Research and Public Health. 2021; 18(22):12224. https://doi.org/10.3390/ijerph182212224
Chicago/Turabian StyleLiu, Qiaohui, Xiaoping Wang, Jinglan Liu, Guolin Zhang, Congying An, Yuqi Liu, Xiaoli Fan, Yishen Hu, and Heng Zhang. 2021. "The Relationship between the Restorative Perception of the Environment and the Physiological and Psychological Effects of Different Types of Forests on University Students" International Journal of Environmental Research and Public Health 18, no. 22: 12224. https://doi.org/10.3390/ijerph182212224
APA StyleLiu, Q., Wang, X., Liu, J., Zhang, G., An, C., Liu, Y., Fan, X., Hu, Y., & Zhang, H. (2021). The Relationship between the Restorative Perception of the Environment and the Physiological and Psychological Effects of Different Types of Forests on University Students. International Journal of Environmental Research and Public Health, 18(22), 12224. https://doi.org/10.3390/ijerph182212224

