An Investigation of the Initial Recovery Time of Chinese Enterprises Affected by COVID-19 Using an Accelerated Failure Time Model
Abstract
:1. Introduction
2. Data and Methods
2.1. Initial Recovery
2.2. Research Data
2.2.1. Questionnaire Survey
2.2.2. Variable Description
2.3. Method
2.3.1. Accelerated Failure Time Model
2.3.2. Stepwise Regression
3. Results
3.1. Initial and Complete Recovery
3.2. Application of Kaplan-Meier Curves and Akaike Information Criteria for Model Selection
3.3. Application of the AFT Model for Business Recovery
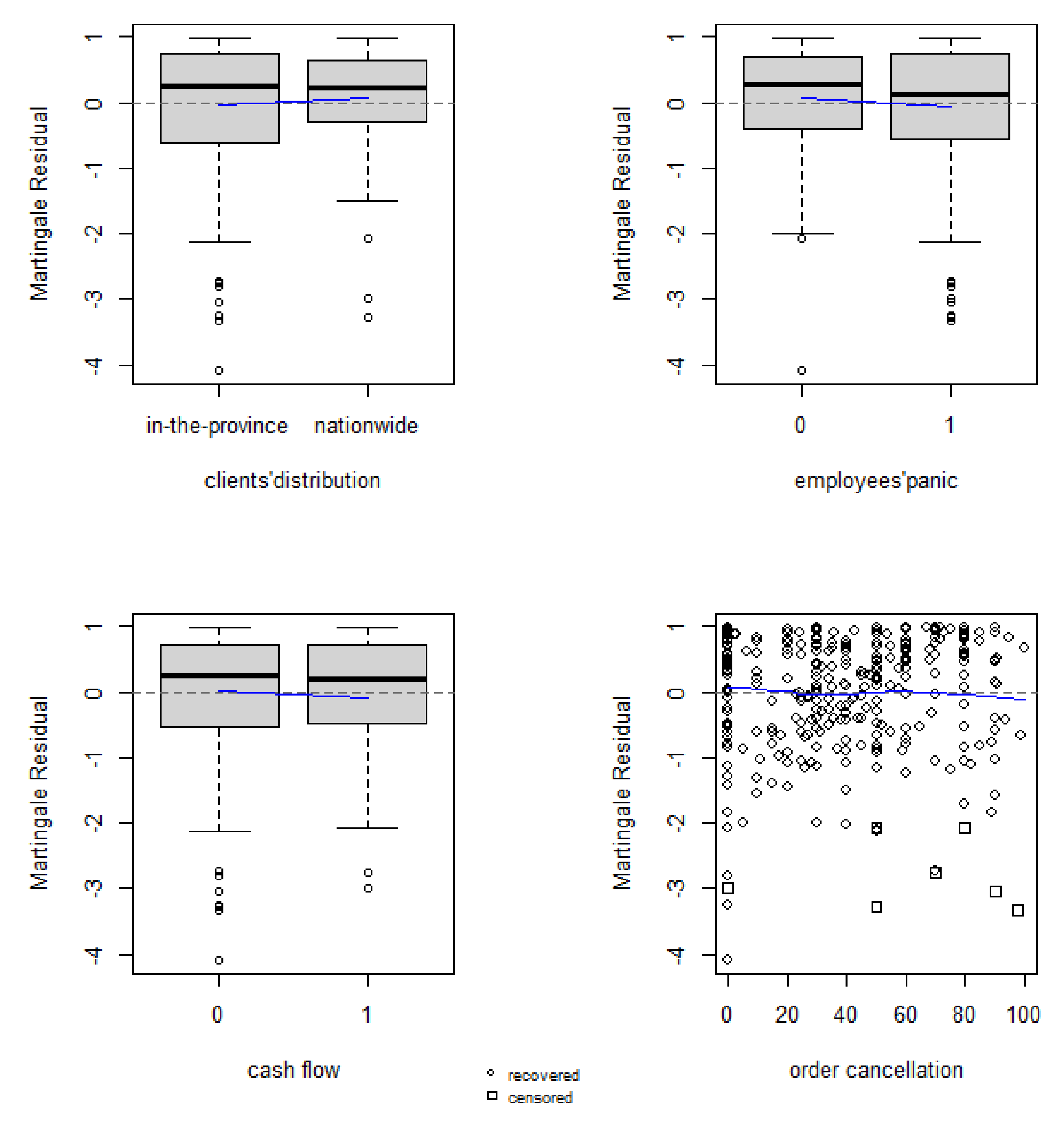
3.4. Discussion
4. Conclusions
Author Contributions
Funding
Institutional Review Board Statement
Informed Consent Statement
Data Availability Statement
Conflicts of Interest
References
- Bouey, J. Assessment of COVID-19′s Impact on Small and Medium-Sized Enterprises: Implications from China; RAND Corporation: Santa Monica, CA, USA, 2020. [Google Scholar]
- Yue, X.-G.; Shao, X.-F.; Li, R.Y.M.; Crabbe, M.J.C.; Mi, L.; Hu, S.; Baker, J.S.; Liu, L.; Dong, K. Risk Prediction and Assessment: Duration, Infections, and Death Toll of the COVID-19 and Its Impact on China’s Economy. J. Risk Financ. Manag. 2020, 13, 66. [Google Scholar] [CrossRef] [Green Version]
- Lu, L.; Peng, J.; Wu, J.; Lu, Y. Perceived Impact of the Covid-19 Crisis on SMEs in Different Industry Sectors: Evidence from Sichuan, China. Int. J. Disaster Risk Reduct. 2021, 55, 102085. [Google Scholar] [CrossRef]
- Ashraf, B.N. Stock Markets’ Reaction to COVID-19: Cases or Fatalities? Res. Int. Bus. Financ. 2020, 54, 101249. [Google Scholar] [CrossRef]
- Huang, Y. Challenge to SMEs Survival and Operation under COVID-19 Breakout—Impact, Determinants and Countermeasures. Shanghai Econ. 2020, 2, 21–28. (In Chinese) [Google Scholar]
- Zhang, X. The Impact of “Novel Coronavirus Pneumonia” on Small and Medium Sized Foreign Trade Enterprises and Its Countermeasures. Mod. Ind. Econ. 2020, 3, 27–37. (In Chinese) [Google Scholar]
- Assessment Report on Impact of COVID-19 Pandemic on Chinese Enterprises. Available online: https://www.cn.undp.org/content/china/en/home/library.html (accessed on 4 July 2020).
- Davlasheridze, M.; Geylani, P.C. Small Business Vulnerability to Floods and the Effects of Disaster Loans. Small Bus. Econ. 2017, 49, 865–888. [Google Scholar] [CrossRef]
- Rose, A.; Krausmann, E. An Economic Framework for the Development of a Resilience Index for Business Recovery. Int. J. Disaster Risk Reduct. 2013, 5, 73–83. [Google Scholar] [CrossRef]
- Ashraf, B.N. Economic Impact of Government Interventions during the COVID-19 Pandemic: International Evidence from Financial Markets. J. Behav. Exp. Financ. 2020, 27, 100371. [Google Scholar] [CrossRef] [PubMed]
- Guo, X.; Kapucu, N.; Huang, J. Examining Resilience of Disaster Response System in Response to COVID-19. Int. J. Disaster Risk Reduct. 2021, 59, 102239. [Google Scholar] [CrossRef]
- Liu, Z.; Xu, J.; Han, B.T. Small- and Medium-Sized Enterprise Post-Disaster Reconstruction Management Patterns and Application. Nat. Hazards 2013, 68, 809–835. [Google Scholar] [CrossRef]
- Lu, Y.; Wu, J.; Peng, J.; Lu, L. The Perceived Impact of the Covid-19 Epidemic: Evidence from a Sample of 4807 SMEs in Sichuan Province, China. Environ. Hazards 2020, 19, 323–340. [Google Scholar] [CrossRef]
- Kajitani, Y.; Tatano, H. Estimation of Production Capacity Loss Rate after The Great East Japan Earthquake and Tsunami In 2011. Econ. Syst. Res. 2014, 26, 13–38. [Google Scholar] [CrossRef] [Green Version]
- Utami, I.D.; Santosa, I.; Vidya Leila, M.R. Priority Resilience Strategy for Micro, Small, and Medium Enterprises for Dealing with Natural Disasters. Int. J. Disaster Risk Reduct. 2021, 55, 102074. [Google Scholar] [CrossRef]
- Khan, M.A.U.; Sayem, M.A. Understanding Recovery of Small Enterprises from Natural Disaster. Environ. Hazards 2013, 12, 218–239. [Google Scholar] [CrossRef]
- Kimhi, S.; Marciano, H.; Eshel, Y.; Adini, B. Recovery from the COVID-19 Pandemic: Distress and Resilience. Int. J. Disaster Risk Reduct. 2020, 50, 101843. [Google Scholar] [CrossRef] [PubMed]
- James, R.; Navaneethakrishnan, K. Exploring the Effect of Covid-19 on Small and Medium Enterprises: Early Evidence from Sri Lanka. J. Appl. Econ. Bus. Res. 2020, 10, 115–125. [Google Scholar]
- Chinese Entrepreneur Survey System Epidemic Impact Of Covid-19 on Enterprises and Its Countermeasures—Quick Questionnaire Survey to Thousands of Enterprises. China Econ. Rep. 2020, 2, 107–121. (In Chinese)
- Dupuy, J.-F. Accelerated Failure Time Models: A Review. Int. J. Perform. Engl. 2014, 10, 23. [Google Scholar]
- Kleinbaum, D.G.; Klein, M. Survival Analysis A Self-Learning Text, 3rd ed.; Springer: Berlin/Heidelberg, Germany, 2012. [Google Scholar]
- Yang, L.; Kajitani, Y.; Tatano, H.; Jiang, X. A Methodology for Estimating Business Interruption Loss Caused by Flood Disasters: Insights from Business Surveys after Tokai Heavy Rain in Japan. Nat. Hazards 2016, 84, 411–430. [Google Scholar] [CrossRef]
- Yang, L.; Ding, X.; Jiang, X. Shutdown and Recovery Time of Enterprises under Flood Disaster Scenario Based on Survival Analysis Model: An Empirical Study on the Damaged Enterprises in Yuyao City after Typhoon Fitow. J. CataStrophol. 2020, 35, 110–117. (In Chinese) [Google Scholar]
- Barker, K.; Baroud, H. Proportional Hazards Models of Infrastructure System Recovery. Reliab. Eng. Syst. Saf. 2014, 124, 201–206. [Google Scholar] [CrossRef]
- Bradburn, M.J.; Clark, T.G.; Love, S.B.; Altman, D.G. Survival Analysis Part II: Multivariate Data Analysis–an Introduction to Concepts and Methods. Br. J. Cancer 2003, 89, 431–436. [Google Scholar] [CrossRef] [PubMed]
- Kartsonaki, C. Survival Analysis. Diagn. Histopathol. 2016, 22, 263–270. [Google Scholar] [CrossRef] [Green Version]
- Agarwal, R.; Gort, M. Firm and Product Life Cycles and Firm Survival. Am. Econ. Rev. 2002, 92, 184–190. [Google Scholar] [CrossRef]
- Wang, M.; Hao, Q. Start-up Size, Initial Productivity and Enterprises’ Survival and Development. Econ. Manag. J. 2012, 7, 144–153. (In Chinese) [Google Scholar]
- Huang, X. Reform of State-Owned Enterprises and Productivity Growth in China. Asian-Pac. Econ. Lit. 2019, 33, 64–77. [Google Scholar] [CrossRef] [Green Version]
- Ding, Z.; Geng, Y.; Zhao, J.; Ding, Y. An Empirical Study and Theoretical Conjecture on the Time Effect of Financial Distress of China’s Listed Companies. Account. Res. 2018, 2, 62–68. (In Chinese) [Google Scholar]
- Kim, S.Y.; Upneja, A. Predicting Restaurant Financial Distress Using Decision Tree and AdaBoosted Decision Tree Models. Econ. Model. 2014, 36, 354–362. [Google Scholar] [CrossRef]
- Zhang, X.; Wang, L.; Zeng, X. The Survival Analysis of the Financial Crisis of Listed Companies. Technol. Dev. Enterp. 2010, 29, 66–69. (In Chinese) [Google Scholar]
- Chen, Z.; Wang, X.; Economics, S.O. Innovation, Sunk Cost and Firm Survival:An Empirical Analysis Using China’s Micro-Level Data. Sci. Sci. Manag. S. T. 2014, 35, 142–149. (In Chinese) [Google Scholar]
- Kaniovski, S.; Peneder, M.; Smeral, E. Determinants of Firm Survival in the Austrian Accommodation Sector. Tour. Econ. 2008, 14, 527–543. [Google Scholar] [CrossRef]
- Li, H.; Wang, H. On Enterprise Emergency Management under the Environment of Supply Chain. Value Eng. 2015, 14, 38–40. (In Chinese) [Google Scholar]
- In, J.; Bell, J.E. Alternative Fuel Infrastructure and Customer Location Impacts on Fleet Mix and Vehicle Routing. Transp. J. 2015, 54, 409–437. [Google Scholar] [CrossRef]
- Katare, B.; Marshall, M.I.; Valdivia, C.B. Bend or Break? Small Business Survival and Strategies during the COVID-19 Shock. Int. J. Disaster Risk Reduct. 2021, 61, 102332. [Google Scholar] [CrossRef]
- Falope, O.I.; Ajilore, O.T. Working Capital Management and Corporate Profitability: Evidence from Panel Data Analysis of Selected Quoted Companies in Nigeria. Res. J. Bus. Manag. 2009, 3, 73–84. [Google Scholar] [CrossRef] [Green Version]
- Huselid, M.A. The Impact Of Human Resource Management Practices On Turnover, Productivity, And Corporate Financial Performance. Acad. Manag. J. 1995, 38, 635–672. [Google Scholar] [CrossRef]
- Ahmed, W.M.A. Stock Market Reactions to Domestic Sentiment: Panel CS-ARDL Evidence. Res. Int. Bus. Financ. 2020, 54, 101240. [Google Scholar] [CrossRef]
- Paeleman, I.; Vanacker, T. Less Is More, or Not? On the Interplay between Bundles of Slack Resources, Firm Performance and Firm Survival. J. Manag. Stud. 2015, 52, 819–848. [Google Scholar] [CrossRef]
- Ahmed, F.; Haque, M. Constraints of Manufacture Based Small and Medium Enterprise (SME) Development in Bangladesh. J. Soc. Dev. Sci. 2011, 1, 91–100. [Google Scholar] [CrossRef] [Green Version]
- Al-Awadhi, A.M.; Alsaifi, K.; Al-Awadhi, A.; Alhammadi, S. Death and Contagious Infectious Diseases: Impact of the COVID-19 Virus on Stock Market Returns. J. Behav. Exp. Financ. 2020, 27, 100326. [Google Scholar] [CrossRef]
- Halaszovich, T.F.; Kinra, A. The Impact of Distance, National Transportation Systems and Logistics Performance on FDI and International Trade Patterns: Results from Asian Global Value Chains. Transp. Policy 2018. [Google Scholar] [CrossRef]
- Munnich, L.W.; Iacono, M. Competitive Industry Clusters and Transportation in Minnesota. Compet. Rev. 2016, 26, 25–40. [Google Scholar] [CrossRef]
- Kraemer, M.U.; Yang, C.-H.; Gutierrez, B.; Wu, C.-H.; Klein, B.; Pigott, D.M.; Du Plessis, L.; Faria, N.R.; Li, R.; Hanage, W.P.; et al. The Effect of Human Mobility and Control Measures on the COVID-19 Epidemic in China. Science 2020, 368, 493–497. [Google Scholar] [CrossRef] [PubMed] [Green Version]
- Xiao, J.; Shen, T.; Ling, Y. The Impact and Countermeasures of the COVID-19 on Regional Economic Development—Summary of the 15th Symposium of ”Chinese Regional Economists of 50 Forum”. Reg. Econ. Rev. 2020, 4, 140–145. (In Chinese) [Google Scholar]
- Swindell, W. Accelerated Failure Time Models Provide a Useful Statistical Framework for Aging Research. Exp. Gerontol. 2009, 44, 190–200. [Google Scholar] [CrossRef] [PubMed] [Green Version]
- Clark, T.G.; Bradburn, M.J.; Love, S.B.; Altman, D.G. Survival Analysis Part IV: Further Concepts and Methods in Survival Analysis. Br. J. Cancer 2003, 89, 781–786. [Google Scholar] [CrossRef] [PubMed] [Green Version]
- Faruk, A. The Comparison of Proportional Hazards and Accelerated Failure Time Models in Analyzing the First Birth Interval Survival Data. J. Phys. Conf. Ser. 2018, 974, 012008. [Google Scholar] [CrossRef] [Green Version]
- Bradburn, M.J.; Clark, T.G.; Love, S.B.; Altman, D.G. Survival Analysis Part III: Multivariate Data Analysis—Choosing a Model and Assessing Its Adequacy and Fit. Br. J. Cancer 2003, 89, 605–611. [Google Scholar] [CrossRef] [PubMed]





| Factors | Description | Measurement Scale | Sources/References |
|---|---|---|---|
| Time to recovery | The time for an enterprise to recovery its production capacity to 30%, 60% and 100% of normal level. | Ratio | Yang et al. 2016 [22]. |
| Enterprise ownership | State ownership or non-state ownership. | Nominal | Huang et al. 2019 [29]. |
| Enterprise type | Listed company or unlisted company. | Nominal | Ding et al. 2018 [30]; Kim and Upneja 2014 [31]; Zhang et al. 2010 [32]. |
| Number of employees | The number of regular employees, temporal employees and employees from Hubei province. | Ratio | Huselid 1995 [39]. |
| Emergency plan | Does an enterprise have emergency plan. | Nominal | Li and Wang 2015 [35]. |
| Stagnation time | The time that an enterprise stopped its production. | Ratio | Yang et al. 2016 [22]. |
| Clients’ distribution | Whether an enterprise is in the same province as its clients. | Nominal | In and Bell 2015 [36]. |
| Cash flow shortage | Whether an enterprise faces the problem of insufficient cash flow. | Nominal | Falope and Ajilore 2009 [38]. |
| Employees’ panic | Whether an enterprise faces the problem of employees’ panic which leaded to low productivity at work. | Nominal | Huselid 1995 [39]; Ahmed 2020 [40]. |
| Employee shortage | The percentage of employee shortage during the recovery process. | Ratio | Paeleman and Vanacker 2015 [41]. |
| Raw material shortage | The percentage of raw materials shortage during the recovery process. | Ratio | Ahmed and Haque 2011 [42]. |
| Order cancellation | The percentage of orders have been cancelled compared to previous years. | Ratio | James et al. 2020 [18]. |
| Inventory backlog | The percentage increased in inventory backlog compared to previous years. | Ratio | Al-Awadhi 2020 [43]. |
| Traffic restrictions | Whether an enterprise faces the problem of traffic restrictions. | Nominal | Halaszovich and Kinra 2018 [44]; Munnich and Iacono 2016 [45]. |
| Approval for work resumption | Whether an enterprise faces the problem of approval limitation for work resumption. | Nominal | |
| The number of confirmed | The cumulative number of confirmed cases in the region where the company filled out the questionnaire the day before. | Ratio | |
| The number of cure | The cumulative number of cured persons in the area where the enterprise filled in the questionnaire the day before. | Ratio | |
| The number of deaths | The cumulative number of deaths in the area in which the company filled out the questionnaire the day before. | Ratio |
| Exponential | Weibull | Lognormal | Log-Logistic | |
|---|---|---|---|---|
| non-manufacturing | 3302.46 | 3163.68 | 3127.25 | 3146.35 |
| service industry | 2005.99 | 1938.60 | 1903.83 | 1913.18 |
| wholesale and retail industry | 974.21 | 920.11 | 928.80 | 935.37 |
| manufacturing | 3434.45 | 3213.84 | 3195.79 | 3214.58 |
| livelihood-related manufacturing | 548.76 | 515.19 | 511.49 | 515.64 |
| processing and assembly manufacturing | 1163.08 | 1070.34 | 1058.98 | 1058.81 |
| Coefficient | Std. Error | Z | p | Acceleration Factor (exp(Coef.)) [90% CI] | |
|---|---|---|---|---|---|
| Non-manufacturing n = 367 (Loglik(model) = −1525, Loglik(intercept only) = −1561.6, 2, χ2 = 73.31, p = 2.1 × 10−14) | |||||
| Intercept | 3.141 | 0.080 | 39.43 | <2 × 10−16 | |
| Clients’ distribution (inside the province) | −0.179 | 0.071 | −2.52 | 0.012 | 0.836 [0.728, 0.961] |
| Employees’ panic (with) | 0.277 | 0.061 | 4.56 | 5.2 × 10−6 | 1.319 [1.171, 1.486] |
| Raw material shortage (log-scale) | 0.006 | 0.002 | 3.26 | 0.001 | 1.006 [1.002, 1.010] |
| Cash flow shortage (with) | 0.252 | 0.091 | 2.76 | 0.006 | 1.287 [1.076, 1.539] |
| Order cancellation (log-scale) | 0.004 | 0.001 | 3.51 | 0.000 | 1.004 [1.002, 1.005] |
| Log(scale) | −0.566 | 0.038 | −15.08 | <2 × 10−16 | |
| Service industry n = 225 (Loglik(model)= −921.7, Loglik(intercept only)= −949.9, χ2= 56.52, p = 1.6 × 10−11) | |||||
| Intercept | 2.901 | 0.072 | 40.20 | <2 × 10−16 | |
| Employees’ panic (with) | 0.284 | 0.078 | 3.65 | 0.000 | 1.357 [1.165, 1.580] |
| Raw material shortage (log-scale) | 0.008 | 0.002 | 3.13 | 0.002 | 1.007 [1.002, 1.012] |
| Cash flow shortage (with) | 0.315 | 0.117 | 2.69 | 0.007 | 1.379 [1.094, 1.737] |
| Order cancellation (log-scale) | 0.006 | 0.001 | 4.63 | 3.6 × 10−6 | 1.006 [1.003, 1.008] |
| Log(scale) | −0.562 | 0.048 | −11.64 | <2 × 10−16 | |
| Wholesale and retail industry n = 105 (Loglik(model)= −446.7, Loglik(intercept only)= −462.4, χ2= 31.31, p = 7.3 × 10−7) | |||||
| Intercept | 3360 | 0.120 | 28.01 | <2 × 10−16 | |
| Clients’ distribution (inside the province) | −0.370 | 0.110 | −3.38 | 0.001 | 0.691 [0.557, 0.856] |
| Employees’ panic (with) | 0.281 | 0.107 | 2.63 | 0.008 | 1.324 [1.074, 1.632] |
| Employee shortage (log-scale) | 0.008 | 0.002 | 3.19 | 0.001 | 1.008 [1.003, 1.013] |
| Log(scale) | −0.619 | 0.069 | −8.91 | <2 × 10−16 | |
| Manufacturing n = 382 (Loglik(model)= −1581.5, Loglik(intercept only)= −1595.9, χ2 = 28.81, p = 2.5 × 10−6) | |||||
| Intercept | 3.205 | 0.045 | 71.27 | <2 × 10−16 | |
| Enterprise ownership (state-owned business) | −0.254 | 0.146 | −1.74 | 0.082 | 0.776 [0.582, 1.033] |
| Employees’ panic (with) | 0.095 | 0.057 | 1.67 | 0.095 | 1.100 [0.983, 1.231] |
| Order cancellation (log-scale) | 0.004 | 0.001 | 4.35 | 1.3 × 10−5 | 1.004 [1.002, 1.006] |
| Log(scale) | −0.624 | 0.036 | −17.14 | <2 × 10−16 | |
| livelihood-related manufacturing n = 60 (Loglik(model)= −251.9, Loglik(intercept only)= −253.7, χ2= 3.68, p = 0.055) | |||||
| Intercept | 3.223 | 0.099 | 32.61 | <2 × 10−16 | |
| Order cancellation (log-scale) | 0.006 | 0.002 | 2.59 | 0.009 | 1.006 [1.002, 1.011] |
| Log(scale) | −0.654 | 0.091 | −7.17 | 7.7 × 10−13 | |
| Processing and assembly manufacturing n = 128 (Loglik(model)= −521.3, Loglik(intercept only)= −527.5, χ2= 12.37, p = 0.0021) | |||||
| Intercept | 3.167 | 0.090 | 35.08 | <2 × 10−16 | |
| Traffic restrictions (with) | 0.256 | 0.099 | 2.60 | 0.010 | 1.290 [1.060, 1.570] |
| Order cancellation (log-scale) | 0.003 | 0.001 | 1.94 | 0.052 | 1.000 [1.000, 1.010] |
| Log(scale) | −0.769 | 0.063 | −12.22 | <2 × 10−16 | |
Publisher’s Note: MDPI stays neutral with regard to jurisdictional claims in published maps and institutional affiliations. |
© 2021 by the authors. Licensee MDPI, Basel, Switzerland. This article is an open access article distributed under the terms and conditions of the Creative Commons Attribution (CC BY) license (https://creativecommons.org/licenses/by/4.0/).
Share and Cite
Yang, L.; Qi, Y.; Jiang, X. An Investigation of the Initial Recovery Time of Chinese Enterprises Affected by COVID-19 Using an Accelerated Failure Time Model. Int. J. Environ. Res. Public Health 2021, 18, 12079. https://doi.org/10.3390/ijerph182212079
Yang L, Qi Y, Jiang X. An Investigation of the Initial Recovery Time of Chinese Enterprises Affected by COVID-19 Using an Accelerated Failure Time Model. International Journal of Environmental Research and Public Health. 2021; 18(22):12079. https://doi.org/10.3390/ijerph182212079
Chicago/Turabian StyleYang, Lijiao, Yishuang Qi, and Xinyu Jiang. 2021. "An Investigation of the Initial Recovery Time of Chinese Enterprises Affected by COVID-19 Using an Accelerated Failure Time Model" International Journal of Environmental Research and Public Health 18, no. 22: 12079. https://doi.org/10.3390/ijerph182212079
APA StyleYang, L., Qi, Y., & Jiang, X. (2021). An Investigation of the Initial Recovery Time of Chinese Enterprises Affected by COVID-19 Using an Accelerated Failure Time Model. International Journal of Environmental Research and Public Health, 18(22), 12079. https://doi.org/10.3390/ijerph182212079

