Prevalence, Risk Factors and Burnout Levels in Intensive Care Unit Nurses: A Systematic Review and Meta-Analysis
Abstract
:1. Introduction
2. Materials and Methods
2.1. Design and Search Strategy
2.2. Inclusion and Exclusion Criteria
2.3. Study Selection, Quality Appraisal, and Risk of Bias
2.4. Data Abstraction
3. Results
3.1. Prevalence of Burnout Syndrome
3.2. Socio-Demographic Factors
3.3. Personality Related Factors
3.4. Occupational Related Factors
3.5. Other Outcomes of Interest
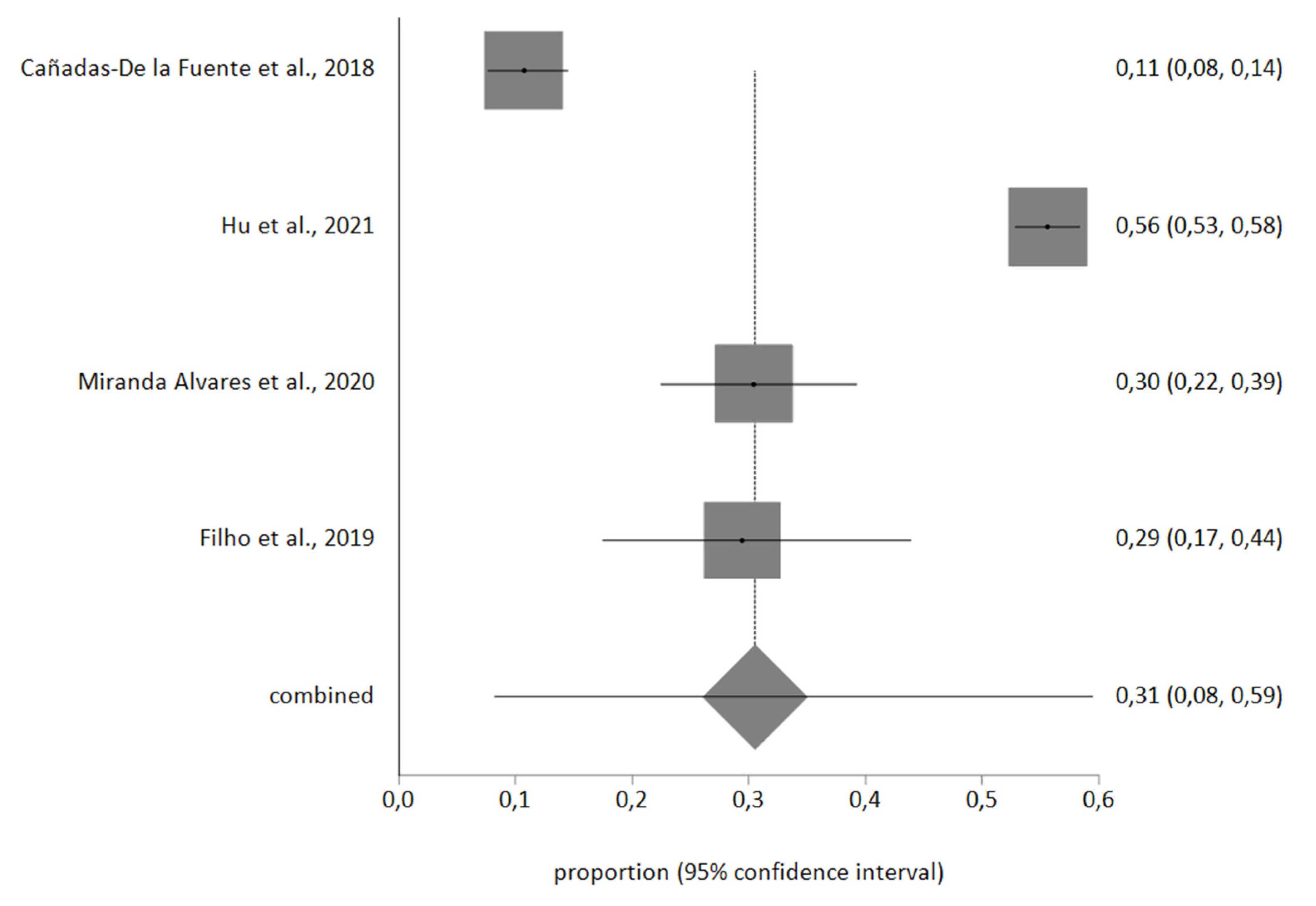
3.6. Meta-Analysis of the Prevalence of High EE, High D and Low PA
4. Discussion
5. Conclusions
Author Contributions
Funding
Institutional Review Board Statement
Informed Consent Statement
Conflicts of Interest
References
- Freudenberger, H.J. Staff burn-out. J. Soc. Issues 1974, 30, 159–165. [Google Scholar] [CrossRef]
- Maslach, C.; Jackson, S.; Leiter, M. The Maslach Burnout Inventory: Manual; Consulting Psychologist Press: Palo Alto, CA, USA, 1996. [Google Scholar]
- Borritz, M.; Kristensen, T. Copenhagen Burnout Inventory; National Institute of Occupational Health: Copenhagen, Denmark, 1999. [Google Scholar]
- Maslach, C.; Schaufeli, W.; Leiter, M. Job burnout. Annu. Rev. Psychol. 2001, 52, 397–422. [Google Scholar] [CrossRef] [Green Version]
- Salvagioni, D.A.J.; Melanda, F.N.; Mesas, A.; González, A.; Gabani, F.L.; De Andrade, S.M. Physical, psychological and occupational consequences of job burnout: A systematic review of prospective studies. PLoS ONE 2017, 12, e0185781. [Google Scholar] [CrossRef] [PubMed]
- Schulz, M.; Damkröger, A.; Voltmer, E.; Löwe, B.; Driessen, M.; Ward, M.; Wingenfeld, K. Work-related behaviour and expe-rience pattern in nurses: Impact on physical and mental health. J. Psychiatr. Ment. Health Nurs. 2011, 18, 411–417. [Google Scholar] [CrossRef]
- Bakhamis, L.; Paul, D.P.; Smith, H.; Coustasse, A. Still an Epidemic: The Burnout Syndrome in Hospital Registered Nurses. Health Care Manag. 2019, 38, 3–10. [Google Scholar] [CrossRef]
- Geuens, N.; Leemans, A.; Bogaerts, A.; Van Bogaert, P.; Franck, E. Interpersonal behaviour in relation to burnout. Nurs. Manag. 2015, 22, 26–32. [Google Scholar] [CrossRef] [PubMed]
- Meeusen, V.; Van Dam, K.; Brown-Mahoney, C.; Van Zundert, A.; Knape, H. Burnout, psychosomatic symptoms and job satisfaction among Dutch nurse anaesthetists: A survey. Acta Anaesthesiol. Scand. 2010, 54, 616–621. [Google Scholar] [CrossRef] [PubMed]
- Tobajas, D.; Celia, M.; Ortiz, J.; Martínez, G.; Gavilán, S. Enfermería Global Study on anxiety in intensive care nursing pro-fessionals facing the process of death. Enfermería Glob. 2017, 45, 265. [Google Scholar]
- Oliveira, E.G.; Garcia, P.C.; Filho, C.M.C.; Nogueira, L.D.S. The influence of delayed admission to intensive care unit on mortality and nursing workload: A cohort study. Nurs. Crit. Care 2018, 24, 381–386. [Google Scholar] [CrossRef] [PubMed]
- Moss, M.; Good, V.; Gozal, D.; Kleinpell, R.; Sessler, C. An Official Critical Care Societies Collaborative Statement: Burnout Syndrome in Critical Care Healthcare Professionals: A Call for Action. Crit. Care Med. 2016, 44, 1414–1421. [Google Scholar] [CrossRef] [PubMed]
- Hall, L.H.; Johnson, J.; Watt, I.; Tsipa, A.; O’Connor, D.B. Healthcare staff wellbeing, burnout, and patient safety: A systematic review. PLoS ONE 2016, 11, e0159015. [Google Scholar] [CrossRef]
- Page, M.J.; McKenzie, J.E.; Bossuyt, P.M.; Boutron, I.; Hoffmann, T.C.; Mulrow, C.D.; Shamseer, L.; Tetzlaff, J.M.; Akl, E.A.; Brennan, S.E.; et al. The PRISMA 2020 statement: An updated guideline for reporting systematic reviews. BMJ 2021, 372, n71. [Google Scholar] [CrossRef] [PubMed]
- Howick, J.; Chalmers, I.; Glasziou, P.; Greenhalg, T.; Heneghan, C.; Liberati, A.; Moschetti, I.; Phillips, B.; Thornton, H. The Oxford 2011 Levels of Evidence. Available online: https://www.cebm.net/2016/05/ocebm-levels-of-evidence (accessed on 10 May 2020).
- Arrogante, O.; Aparicio-Zaldivar, E. Burnout and health among critical care professionals: The mediational role of resilience. Intensive Crit. Care Nurs. 2017, 42, 110–115. [Google Scholar] [CrossRef] [PubMed]
- Cañadas-De la Fuente, G.A.; Albendín-García, L.; de la Fuente, E.; San Luis, C.; Gómez-Urquiza, J.L.; Cañadas, G. Burnout in Nursing Professionals Performing Overtime Workdays in Emergency and Critical Care Departments. Rev. Esp. Salud. Publica 2016, 90, e1-9. [Google Scholar]
- Cañadas-de la Fuente, G.A.; Albendín-García, L.; Cañadas, G.; San Luis-Costas, C.; Ortega-Campos, E.; de la Fuente-Solana, E. Nurse burnout in critical care units and emergency departments: Intensity and associated factors. Emergencias 2018, 30, 328–331. [Google Scholar] [PubMed]
- Da Silva, J.; Reis Texeira, L.; dos Santos Costa, F.; Dos Santos Aranha, J.; Rangel Texeira, E. Job strain and psychosocial as-pects of intensive care nurses. Enfermería Glob. 2017, 48, 108–120. [Google Scholar]
- Denat, Y.; Gökçe, S.; Gungor, H.; Zencir, C.; Akgüllü, C. Relationship of Anxiety and Burnout with Extrasystoles in Critical Care Nurses in Turkey. Pak. J. Med. Sci. 1969, 32, 196–200. [Google Scholar] [CrossRef] [PubMed]
- Filho, F.; Rodrigues, M.; Cimiotti, J. Burnout in Brazilian Intensive Care Units: A Comparison of Nurses and Nurse Techni-cians. AACN Adv. Crit. Care 2019, 30, 16–21. [Google Scholar] [CrossRef]
- Galletta, M.; Portoghese, I.; D’Aloja, E.; Mereu, A.; Contu, P.; Coppola, R.C.; Finco, G.; Campagna, M. Relationship between job burnout, psychosocial factors and health care-associated infections in critical care units. Intensive Crit. Care Nurs. 2016, 34, 59–66. [Google Scholar] [CrossRef]
- Hu, Z.; Wang, H.; Xie, J.; Zhang, J.; Li, H.; Liu, S.; Li, Q.; Yang, Y.; Huang, Y. Burnout in ICU doctors and nurses in main-land China-A national cross-sectional study. J. Crit. Care 2021, 62, 265–270. [Google Scholar] [CrossRef] [PubMed]
- Kim, H.S.; Yeom, H.-A. The association between spiritual well-being and burnout in intensive care unit nurses: A descriptive study. Intensive Crit. Care Nurs. 2018, 46, 92–97. [Google Scholar] [CrossRef]
- Alvares, M.E.M.; Thomaz, E.B.A.F.; Lamy, Z.C.; de Abreu Haickel Nina, R.V.; Pereira, M.U.L.; Garcia, J.B.S. Burnout syndrome among healthcare professionals in intensive care units: A cross-sectional population-based study. Rev. Bras. Ter. Intensiva 2020, 32, 251–260. [Google Scholar] [CrossRef] [PubMed]
- Ntantana, A.; Matamis, D.; Savvidou, S.; Giannakou, M.; Gouva, M.; Nakos, G.; Koulouras, V. Burnout and job satisfaction of intensive care personnel and the relationship with personality and religious traits: An observational, multicenter, cross-sectional study. Intensive Crit. Care Nurs. 2017, 41, 11–17. [Google Scholar] [CrossRef] [PubMed]
- Padilla Fortunatti, C.; Palmeiro-Silva, Y. Effort-Reward Imbalance and Burnout among ICU Nursing Staff: A Cross-Sectional Study. Nurs. Res. 2017, 66, 410–416. [Google Scholar] [CrossRef]
- Sivakumar, M.; Hisham, M.; Saravanabavan, L. Stress and Burnout among Intensive Care Unit Healthcare Professionals in an Indian Tertiary Care Hospital. Indian J. Crit. Care Med. 2019, 23, 462–466. [Google Scholar] [CrossRef] [PubMed]
- Sok, S.; Sim, H.; Han, B.; Park, S.J. Burnout and Related Factors of Nurses Caring for DNR Patients in Intensive Care Units, South Korea. Int. J. Environ. Res. Public Health 2020, 17, 8899. [Google Scholar] [CrossRef] [PubMed]
- Vasconcelos, E.; Martino, M.; França, S. Burnout and depressive symptoms in intensive care nurses: Relationship analysis. Rev. Bras. Enferm. 2018, 71, 135–141. [Google Scholar] [CrossRef] [Green Version]
- Adriaenssens, J.; De Gucht, V.; Maes, S. Determinants and prevalence of burnout in emergency nurses: A systematic review of 25 years of research. Int. J. Nurs. Stud. 2015, 52, 649–661. [Google Scholar] [CrossRef]
- De La Fuente-Solana, E.E.I.; Suleiman-Martos, N.; Pradas-Hernández, L.; Gomez-Urquiza, J.L.; Cañadas-De La Fuente, G.G.A.; Albendín-García, L.; Gómez-Urquiza, J.; Cañadas-De La Fuente, G.G.A.; Albendín-García, L. Prevalence, Related Factors, and Levels of Burnout Syndrome among Nurses Working in Gynecology and Obstetrics Services: A Systematic Review and Meta-Analysis. Int. J. Environ. Res. Public Health 2019, 16, 2585. [Google Scholar] [CrossRef] [Green Version]
- Kavurmacı, M.; Cantekin, I.; Tan, M.; Cantekin, I. Burnout levels of hemodialysis nurses. Ren. Fail. 2014, 36, 1038–1042. [Google Scholar] [CrossRef] [PubMed] [Green Version]
- López-López, I.M.; Gómez-Urquiza, J.L.; Cañadas, G.R.; De la Fuente, E.I.; Albendín-García, L.; Cañadas-De la Fuente, G.A. Prevalence of burnout in mental health nurses and related factors: A systematic review and meta-analysis. Int. J. Ment. Health. Nurs. 2019, 28, 1032–1041. [Google Scholar] [CrossRef]
- Pradas-Hernández, L.; Ariza, T.; Gómez-Urquiza, J.L.; Albendín-García, L.; De la Fuente, E.I.; Cañadas-De la Fuente, G.A. Prevalence of burnout in paediatric nurses: A systematic review and meta-analysis. PLoS ONE 2018, 13, e0195039. [Google Scholar] [CrossRef]
- Cañadas-De la Fuente, G.A.; Gómez-Urquiza, J.L.; Ortega-Campos, E.M.; Cañadas, G.R.; Albendín-García, L.; De la Fuente-Solana, E.I. Prevalence of burnout syndrome in oncology nursing: A meta-analytic study. Psychooncology 2018, 27, 1426–1433. [Google Scholar] [CrossRef] [Green Version]
- Monsalve-Reyes, C.S.; San Luis-Costas, C.; Gómez-Urquiza, J.L.; Albendín-García, L.; Aguayo, R.; Cañadas-De la Fuente, G.A. Burnout syndrome and its prevalence in primary care nursing: A systematic review and meta-analysis. BMC Fam. Pract. 2018, 19, 59. [Google Scholar] [CrossRef] [Green Version]
- Hämmig, O. Explaining burnout and the intention to leave the profession among health professionals—A cross-sectional study in a hospital setting in Switzerland. BMC Health Serv. Res. 2018, 18, 785. [Google Scholar] [CrossRef] [PubMed] [Green Version]
- Moloney, W.; Boxall, P.; Parsons, M.; Cheung, G. Factors predicting Registered Nurses’ intentions to leave their organization and profession: A job demands-resources framework. J. Adv. Nurs. 2017, 74, 864–875. [Google Scholar] [CrossRef]
- Hellyar, M.; Madani, C.; Yeaman, S.; O’Connor, K.; Kerr, K.M.; Davidson, J.E. Case Study Investigation Decreases Burnout While Improving Interprofessional Teamwork, Nurse Satisfaction, and Patient Safety. Crit. Care Nurs. Q. 2019, 42, 96–105. [Google Scholar] [CrossRef]
- Rudman, A.; Gustavsson, P.; Hultell, D. A prospective study of nurses’ intentions to leave the profession during their first five years of practice in Sweden. Int. J. Nurs. Stud. 2014, 51, 612–624. [Google Scholar] [CrossRef]
- Li, P.; Kuang, H.; Tan, H. The occurrence of post-traumatic stress disorder (PTSD), job burnout and its influencing factors among ICU nurses. Am. J. Transl. Res. 2021, 13, 8302–8308. [Google Scholar]
- Levi, P.; Patrician, P.A.; Vance, D.E.; Montgomery, A.P.; Moss, J. Post-Traumatic Stress Disorder in Intensive Care Unit Nurses: A Concept Analysis. Work. Health Saf. 2020, 69, 224–234. [Google Scholar] [CrossRef] [PubMed]
- Rizo-Baeza, M.; Mendiola-Infante, S.; Palazón-Bru, A.; Gil-Guillén, V.; Cortés-Castell, E. Burnout syndrome in nurses work-ing in palliative care units: An analysis of associated factors. J. Nurs. Manag. 2018, 26, 19–25. [Google Scholar] [CrossRef] [PubMed]
- Azizkhani, R.; Basravi, M.; Ahmadi, O. Correlation between workplace and occupational burnout syndrome in nurses. Adv. Biomed. Res. 2014, 3, 44. [Google Scholar] [CrossRef]
- Galdikienė, N.; Asikainen, P.; Balčiūnas, S.; Suominen, T. Do nurses feel stressed? A perspective from primary health care. Nurs. Health Sci. 2013, 16, 327–334. [Google Scholar] [CrossRef]
- Koinis, A.; Giannou, V.; Drantaki, V.; Angelaina, S.; Stratou, E.; Saridi, M. The Impact of Healthcare Workers Job Environ-ment on Their Mental-emotional Health. Coping Strategies: The Case of a Local General Hospital. Health Psychol. Res. 2015, 3, 1984. [Google Scholar]
- Chang, H.; Shyu, Y.; Wong, M.; Friesner, D.; Chu, T.; Teng, C. Which Aspects of Professional Commitment Can Effectively Retain Nurses in the Nursing Profession? J. Nurs. Scholarsh. 2015, 47, 468–476. [Google Scholar] [CrossRef] [PubMed]
- Teles, M.A.B.; Barbosa, M.R.; Vargas, A.M.D.; Gomes, V.E.; e Ferreira, E.F.; de Barros Lima, A.M.E.; Ferreira, R.C. Psychosocial work conditions and quality of life among primary health care employees: A cross sectional study. Health Qual. Life Outcomes 2014, 12, 1–12. [Google Scholar] [CrossRef] [Green Version]
- Zhang, L.-F.; You, L.-M.; Liu, K.; Zheng, J.; Fang, J.-B.; Lu, M.-M.; Lv, A.-L.; Ma, W.-G.; Wang, J.; Wang, S.-H.; et al. The association of Chinese hospital work environment with nurse burnout, job satisfaction, and intention to leave. Nurs. Outlook 2013, 62, 128–137. [Google Scholar] [CrossRef] [Green Version]
- Gascon, S.; Leiter, M.P.; Andrés, E.; Santed, M.A.; Pereira, J.P.; Cunha, M.; Albesa, A.; Montero-Marín, J.; García-Campayo, J.; Martínez-Jarreta, B. The role of aggressions suffered by healthcare workers as predictors of burnout. J. Clin. Nurs. 2013, 22, 3120–3129. [Google Scholar] [CrossRef]
- Ruotsalainen, J.; Verbeek, J.; Mariné, A.; Serra, C. Preventing occupational stress in healthcare workers. Cochrane Database Syst. Rev. 2014, 12, CD002892. [Google Scholar] [CrossRef] [Green Version]
- Suleiman-Martos, N.; Gómez-Urquiza, J.L.; Aguayo-Estremera, R.; Cañadas-De La Fuente, G.A.; De La Fuente-Solana, E.I.; Albendín-García, L. The effect of mindfulness training on burnout syndrome in nursing: A systematic review and meta-analysis. J. Adv. Nurs. 2020, 76, 1124–1140. [Google Scholar] [CrossRef]




| Author, Year, (Country) | Study Design | Sample | Burnout Prevalence | Main Results | OCEBM * LE/GR | |
|---|---|---|---|---|---|---|
| Arrogante & Aparicio, 2017 (Spain) [16] | Cross-sectional study | n = 30 ICU nurses | Levels of emotional exhaustion and depersonalization were medium and personal accomplishment level was high | Emotional exhaustion and depersonalization were negatively related to mental health, resiliency, and physical health Personal accomplishment was positively related to mental health and resiliency | 2c/B | |
| Cañadas-De la Fuente et al., 2016 (Spain) [17] | Cross-sectional study | n = 1225 ICU nurses | 44.1% were in the highest levels of the syndrome | Nurses with extra shifts were more prone to high levels of emotional exhaustion, depersonalization, and low personal accomplishment | 2c/B | |
| Cañadas-de la Fuente et al., 2018 (Spain) [18] | Cross-sectional study | n = 337 ICU nurses | High Emotional Exhaustion 11% High Depersonalization 17% Low personal accomplishment 63.3% | Personality factors and depression were related with high levels of burnout Emotional exhaustion was statistically related to neuroticism, amiability, responsibility, extraversion and with anxiety and depression Depersonalization and personal accomplishment were related to the five personality factors and with anxiety and depression High Burnout level was associated with neuroticism and amiability | 2c/B | |
| Da Silva et al., 2017 (Brazil) [19] | Cross-sectional study | n = 130 ICU nurses | Burnout prevalence 55.3% | - | 2c/B | |
| Denat et al., 2016 (Turkey) [20] | Cross-sectional study | n = 51 ICU nurses | Nurses showed low levels of emotional exhaustion, low depersonalization, and medium personal accomplishment | There was no relationship between burnout and ventricular extrasystoles or atrial extrasystoles | 2c/B | |
| Filho et al., 2019 (Brazil) [21] | Cross-sectional study | n = 209 ICU nurses | High emotional exhaustion 29.4% High depersonalization 22% Low personal accomplishment 52.9% | Each patient added to nurses workload was associated with a 67% and 37% increase in the probability of emotional exhaustion and low personal accomplishment Each year working at the ICU was associated with a 7% higher probability of low personal accomplishment | 2c/B | |
| Galleta et al., 2016 (Italy) [22] | Cross-sectional study | n = 101 ICU nurses | 53% emotional exhaustion and 61.5% medium or high levels of depersonalization | Burnout was related with psychosocial aspects and with hospital rate infection | 2c/B | |
| Hu et al., 2021 (China) [23] | Cross-sectional study | n = 1315 ICU nurses | High Emotional Exhaustion 56.6% High Depersonalization 30% Low Personal accomplishment 20% | Professionals working in ICU were more prone to burnout. The associated factors were low frequency of physical exercise, having comorbidities, working in a high-quality hospital, having more years of professional experience, night shifts, and having fewer holidays | 2c/B | |
| Kim & Yeom, 2018 (South Korea) [24] | Cross-sectional study | n = 318 ICU nurses | Burnout levels was 3.15 in a scale to 5 | Higher burnout levels were significantly associated with being younger, unmarried, having a lower education level, lower professional experience, and having no religion Higher levels of spiritual well-being were related with lower burnout | 2c/B | |
| Miranda Alvares et al., 2020 (Brazil) [25] | Cross-sectional study | n = 125 ICU nurses | High Emotional Exhaustion 30% High Depersonalization 6% Low personal accomplishment 53% Burnout prevalence was 0.41% following Maslach criteria | Being 35 years old or more showed a lower probability of emotional exhaustion and depersonalization More working hours were related to lower personal accomplishment Men had lower personal accomplishment Less physical activity was related to higher emotional exhaustion and depersonalization | 2c/B | |
| Ntantana et al., 2017 (Greece) [26] | Cross-sectional study | n = 493 ICU nurses | Burnout was present in 2.6% Exhaustion was higher in nurses than physicians | Neuroticism was positively related to exhaustion and extraversion was negatively related to exhaustion. Personality factors, labour satisfaction, and end-of-life care are related to burnout | 2c/B | |
| Padilla Fortunatti & Palmeiro Silva 2017 (Chile) [27] | Cross-sectional study | n = 36 ICU nurses. | - | Emotional exhaustion was negatively related to age and positively related to an imbalance between effort-reward; depersonalization was negatively related to age | 2c/B | |
| Saravanabavan et al., 2019 (India) [28] | Cross-sectional study | n= 164 ICU nurses | 69% nurses had burnout | Laboral satisfaction was significantly correlated with Burnout; stress levels were correlated with emotional exhaustion and depersonalization | 2c/B | |
| Sok et al., 2020 (South Korea) [29] | Cross-sectional study | n =115 ICU nurses | The mean score of burnout was 64.03 in the Copenhagen Burnout Inventory, indicating a high level | Burnout had a significant and positive relationship with depression and job stress and a negative significant relation with age | 2c/B | |
| Vasconcelos et al., 2018 (Brazil) [30] | Cross-sectional study | n = 91 ICU nurses | 14.3% showed burnout | Higher levels of depression were correlated with higher levels of emotional exhaustion and depersonalization and with lower levels of personal accomplishment | 2c/B |
Publisher’s Note: MDPI stays neutral with regard to jurisdictional claims in published maps and institutional affiliations. |
© 2021 by the authors. Licensee MDPI, Basel, Switzerland. This article is an open access article distributed under the terms and conditions of the Creative Commons Attribution (CC BY) license (https://creativecommons.org/licenses/by/4.0/).
Share and Cite
Ramírez-Elvira, S.; Romero-Béjar, J.L.; Suleiman-Martos, N.; Gómez-Urquiza, J.L.; Monsalve-Reyes, C.; Cañadas-De la Fuente, G.A.; Albendín-García, L. Prevalence, Risk Factors and Burnout Levels in Intensive Care Unit Nurses: A Systematic Review and Meta-Analysis. Int. J. Environ. Res. Public Health 2021, 18, 11432. https://doi.org/10.3390/ijerph182111432
Ramírez-Elvira S, Romero-Béjar JL, Suleiman-Martos N, Gómez-Urquiza JL, Monsalve-Reyes C, Cañadas-De la Fuente GA, Albendín-García L. Prevalence, Risk Factors and Burnout Levels in Intensive Care Unit Nurses: A Systematic Review and Meta-Analysis. International Journal of Environmental Research and Public Health. 2021; 18(21):11432. https://doi.org/10.3390/ijerph182111432
Chicago/Turabian StyleRamírez-Elvira, Santiago, José L. Romero-Béjar, Nora Suleiman-Martos, José L. Gómez-Urquiza, Carolina Monsalve-Reyes, Guillermo A. Cañadas-De la Fuente, and Luis Albendín-García. 2021. "Prevalence, Risk Factors and Burnout Levels in Intensive Care Unit Nurses: A Systematic Review and Meta-Analysis" International Journal of Environmental Research and Public Health 18, no. 21: 11432. https://doi.org/10.3390/ijerph182111432
APA StyleRamírez-Elvira, S., Romero-Béjar, J. L., Suleiman-Martos, N., Gómez-Urquiza, J. L., Monsalve-Reyes, C., Cañadas-De la Fuente, G. A., & Albendín-García, L. (2021). Prevalence, Risk Factors and Burnout Levels in Intensive Care Unit Nurses: A Systematic Review and Meta-Analysis. International Journal of Environmental Research and Public Health, 18(21), 11432. https://doi.org/10.3390/ijerph182111432

