Emergency Response and Risk Communication Effects of Local Media during COVID-19 Pandemic in China: A Study Based on a Social Media Network
Abstract
1. Introduction
2. Materials and Methods
2.1. Study Object
2.2. Data Sources
2.3. Measures of Emergency Response and Risk Communication
2.4. Data Preprocessing
2.4.1. Identification of Articles Related to the COVID-19
2.4.2. Region Classification
2.4.3. City Classification
2.4.4. Article Content Classification
2.4.5. Data Classification
2.5. Data Analysis and Visualization
3. Results and Discussion
3.1. Descriptions of Data
3.2. Emergency Response Effects
3.2.1. The Differences of Emergency Response in WeChat Accounts at Different Types
3.2.2. The Differences of Emergency Response in Cities at Different Levels
3.3. Risk Communication Effects
3.4. Temporal Trends in Emergency Response and Risk Communication
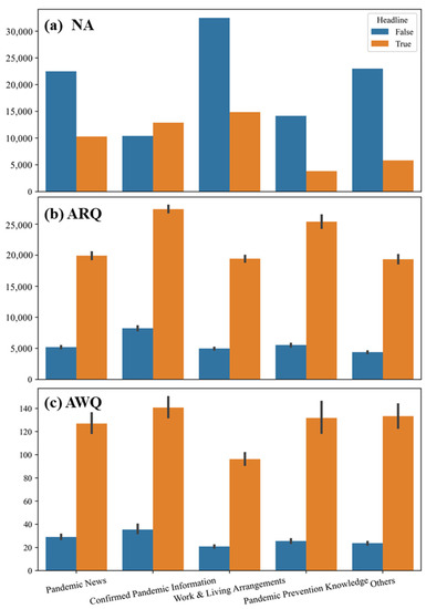
3.5. Risk Communication Effects of Different Types of Articles
3.6. Factors Affecting Emergency Response and Risk Communication
3.7. Evaluation of Emergency Response and Risk Communication Effects
3.7.1. Reading Conversion Rate
3.7.2. Headlined Posts Differences
3.8. The Role of the Government and Public in Emergency Response and Risk Communication
3.8.1. Government Leading
3.8.2. Audience Assessment
4. Conclusions
5. Limitations and Further Research
Author Contributions
Funding
Institutional Review Board Statement
Informed Consent Statement
Data Availability Statement
Acknowledgments
Conflicts of Interest
References
- Joseph, S. International Human Rights Law and the Response to the covid-19 Pandemic. J. Int. Humanit. Leg. Stud. 2020, 11, 249–269. [Google Scholar] [CrossRef]
- Zenk, L.; Steiner, G.; Cunha, M.P.E.; Laubichler, M.D.; Bertau, M.; Kainz, M.J.; Jäger, C.; Schernhammer, E.S. Fast Response to Superspreading: Uncertainty and Complexity in the Context of COVID. Int. J. Environ. Res. Public Health 2020, 17, 7884. [Google Scholar] [CrossRef] [PubMed]
- Anttiroiko, A.-V. Successful Government Responses to the Pandemic: Contextualizing National and Urban Responses to the COVID-19 Outbreak in East and West. Int. J. E-Plan. Res. 2021, 10, 1–17. [Google Scholar] [CrossRef]
- Funk, S.; Salathé, M.; Jansen, V.A. Modelling the influence of human behaviour on the spread of infectious diseases: A review. J. R. Soc. Interface 2010, 7, 1247–1256. [Google Scholar] [CrossRef] [PubMed]
- Alauddin; Khan, A.I.; Khan, F.; Imtiaz, S.; Ahmed, S.; Amyotte, P. How can process safety and a risk management approach guide pandemic risk management? J. Loss Prev. Process. Ind. 2020, 68, 104310. [Google Scholar] [CrossRef] [PubMed]
- Huynh, T.L.D. Does culture matter social distancing under the COVID-19 pandemic? Saf. Sci. 2020, 130, 104872. [Google Scholar] [CrossRef] [PubMed]
- Flaxman, S.; Mishra, S.; Gandy, A.; Unwin, H.J.T.; Mellan, T.A.; Coupland, H.; Whittaker, C.; Zhu, H.; Berah, T.; Eaton, J.W.; et al. Estimating the effects of non-pharmaceutical interventions on COVID-19 in Europe. Nature 2020, 584, 257–261. [Google Scholar] [CrossRef]
- Drury, J.; Carter, H.; Ntontis, E.; Guven, S.T. Public behaviour in response to the COVID-19 pandemic: Understanding the role of group processes. BJPsych Open 2021, 7, e11. [Google Scholar] [CrossRef] [PubMed]
- Khan, M.; Roy, P.; Matin, I.; Rabbani, M.; Chowdhury, R. An adaptive governance and health system response for the COVID-19 emergency. World Dev. 2021, 137, 105213. [Google Scholar] [CrossRef]
- Mohamad, S.M. Creative Production of ‘COVID-19 Social Distancing’ Narratives on Social Media. Tijdschr. Econ. Soc. Geogr. 2020, 111, 347–359. [Google Scholar] [CrossRef]
- Liu, X.-J.; Mesch, G.S. The Adoption of Preventive Behaviors during the COVID-19 Pandemic in China and Israel. Int. J. Environ. Res. Public Health 2020, 17, 7170. [Google Scholar] [CrossRef]
- Shen, J.; Duan, H.; Zhang, B.; Wang, J.; Ji, J.; Wang, J.; Pan, L.; Wang, X.; Zhao, K.; Ying, B.; et al. Prevention and control of COVID-19 in public transportation: Experience from China. Environ. Pollut. 2020, 266, 115291. [Google Scholar] [CrossRef]
- Wolff, S.; Ladi, S. European Union Responses to the Covid-19 Pandemic: Adaptability in times of Permanent Emergency. J. Eur. Integr. 2020, 42, 1025–1040. [Google Scholar] [CrossRef]
- Kousi, T.; Mitsi, L.-C.; Simos, J. The Early Stage of COVID-19 Outbreak in Greece: A Review of the National Response and the Socioeconomic Impact. Int. J. Environ. Res. Public Health 2021, 18, 322. [Google Scholar] [CrossRef] [PubMed]
- Marimuthu, A.; Venkateswaran, P.P.; Ramraj, B. Effective risk communication—An essential strategy in combating covid19 pandemic—Report from Tamil Nadu, a South Indian state. Int. J. Health Allied Sci. 2020, 9, 107–110. [Google Scholar] [CrossRef]
- Roud, E. Collective improvisation in emergency response. Saf. Sci. 2021, 135, 105104. [Google Scholar] [CrossRef]
- Dalrymple, K.E.; Young, R.; Tully, M. “Facts, Not Fear: Negotiating Uncertainty on Social Media During the 2014 Ebola Crisis. Sci. Commun. 2016, 38, 442–467. [Google Scholar] [CrossRef]
- Gollust, S.E.; Nagler, R.H.; Fowler, E.F. The Emergence of COVID-19 in the US: A Public Health and Political Communication Crisis. J. Health Politi. Policy Law 2020, 45, 967–981. [Google Scholar] [CrossRef]
- Zikargae, M.H. COVID-19 in Ethiopia: Assessment of How the Ethiopian Government has Executed Administrative Actions and Managed Risk Communications and Community Engagement. Health Policy Politi. 2020, ume 13, 2803–2810. [Google Scholar] [CrossRef]
- Monaghesh, E.; Hajizadeh, A. The role of telehealth during COVID-19 outbreak: A systematic review based on current evidence. BMC Public Health 2020, 20, 1–9. [Google Scholar] [CrossRef]
- Roy, D.; Tripathy, S.; Kar, S.K.; Sharma, N.; Verma, S.K.; Kaushal, V. Study of knowledge, attitude, anxiety & perceived mental healthcare need in Indian population during COVID-19 pandemic. Asian J. Psychiatry 2020, 51, 102083. [Google Scholar] [CrossRef]
- Hu, X.; Zhang, X.; Wei, J. Public Attention to Natural Hazard Warnings on Social Media in China. Weather. Clim. Soc. 2018, 11, 183–197. [Google Scholar] [CrossRef]
- Naeem, M. The role of social media to generate social proof as engaged society for stockpiling behaviour of customers during Covid-19 pandemic. Qual. Mark. Res. Int. J. 2021, 24, 281–301. [Google Scholar] [CrossRef]
- Meng, H.-W.; Kath, S.; Li, D.; Nguyen, Q.C. National substance use patterns on Twitter. PLoS ONE 2017, 12, e0187691. [Google Scholar] [CrossRef] [PubMed]
- Evans, W.D.; Thomas, C.N.; Favatas, D.; Smyser, J.; Briggs, J. Digital Segmentation of Priority Populations in Public Health. Health Educ. Behav. 2019, 46, 81S–89S. [Google Scholar] [CrossRef]
- Huberfeld, N.; Gordon, S.H.; Jones, D.K. Federalism Complicates the Response to the COVID-19 Health and Economic Crisis: What Can Be Done? J. Health Politi. Policy Law 2020, 45, 951–965. [Google Scholar] [CrossRef] [PubMed]
- Rao, H.R.; Vemprala, N.; Akello, P.; Valecha, R. Retweets of officials’ alarming vs reassuring messages during the COVID-19 pandemic: Implications for crisis management. Int. J. Inf. Manag. 2020, 55, 102187. [Google Scholar] [CrossRef] [PubMed]
- Roberts, H.; Seymour, B.; Fish, S.A.; Robinson, E.; Zuckerman, E. Digital Health Communication and Global Public Influence: A Study of the Ebola Epidemic. J. Health Commun. 2017, 22, 51–58. [Google Scholar] [CrossRef]
- Li, J.-B.; Yang, A.; Dou, K.; Wang, L.-X.; Zhang, M.-C.; Lin, X.-Q. Chinese public’s knowledge, perceived severity, and perceived controllability of COVID-19 and their associations with emotional and behavioural reactions, social participation, and precautionary behaviour: A national survey. BMC Public Health 2020, 20, 1589. [Google Scholar] [CrossRef]
- Khan, A.N. A Diary Study of Psychological Effects of Misinformation and COVID-19 Threat on Work Engagement of Working from Home Employees. Technol. Forecast. Soc. Chang. 2021, 171, 120968. [Google Scholar] [CrossRef]
- Bin Naeem, S.; Bhatti, R.; Khan, A. An exploration of how fake news is taking over social media and putting public health at risk. Health Inf. Libr. J. 2021, 38, 143–149. [Google Scholar] [CrossRef]
- Islam, A.K.M.N.; Laato, S.; Talukder, S.; Sutinen, E. Misinformation sharing and social media fatigue during COVID-19: An affordance and cognitive load perspective. Technol. Forecast. Soc. Chang. 2020, 159, 120201. [Google Scholar] [CrossRef]
- Saroj, A.; Pal, S. Use of social media in crisis management: A survey. Int. J. Disaster Risk Reduct. 2020, 48, 101584. [Google Scholar] [CrossRef]
- Sell, T.K.; Hosangadi, D.; Trotochaud, M.; Purnat, T.D.; Nguyen, T.; Briand, S. Improving Understanding of and Response to Infodemics During Public Health Emergencies. Health Secur. 2021, 19, 1–2. [Google Scholar] [CrossRef]
- Silver, A.; Matthews, L. The use of Facebook for information seeking, decision support, and self-organization following a significant disaster. Inf. Commun. Soc. 2017, 20, 1680–1697. [Google Scholar] [CrossRef]
- Pulido, C.M.; Carballido, B.V.; Redondo-Sama, G.; Gómez, A. COVID-19 infodemic: More retweets for science-based information on coronavirus than for false information. Int. Sociol. 2020, 35, 377–392. [Google Scholar] [CrossRef]
- Krause, N.M.; Freiling, I.; Beets, B.; Brossard, D. Fact-checking as risk communication: The multi-layered risk of misinformation in times of COVID. J. Risk Res. 2020, 23, 1052–1059. [Google Scholar] [CrossRef]
- Nekliudov, N.A.; Blyuss, O.; Cheung, K.Y.; Petrou, L.; Genuneit, J.; Sushentsev, N.; Levadnaya, A.; Comberiati, P.; Warner, J.O.; Tudor-Williams, G.; et al. Excessive Media Consumption About COVID-19 is Associated with Increased State Anxiety: Outcomes of a Large Online Survey in Russia. J. Med. Internet Res. 2020, 22, e20955. [Google Scholar] [CrossRef] [PubMed]
- Yong, L.M.O.; Xin, X.; Wee, J.M.L.; Poopalalingam, R.; Kwek, K.Y.C.; Thumboo, J. Perception survey of crisis and emergency risk communication in an acute hospital in the management of COVID-19 pandemic in Singapore. BMC Public Health 2020, 20, 1–12. [Google Scholar] [CrossRef]
- Keller, B.; Labrique, A.; Jain, K.M.; Pekosz, A.; Levine, O.; Hajar, Z.; Hamm, M. Mind the Gap: Social Media Engagement by Public Health Researchers. J. Med. Internet Res. 2014, 16, e8. [Google Scholar] [CrossRef][Green Version]
- Mheidly, N.; Fares, J. Leveraging media and health communication strategies to overcome the COVID-19 infodemic. J. Public Health Policy 2020, 41, 410–420. [Google Scholar] [CrossRef]
- Lau, H.; Khosrawipour, V.; Kocbach, P.; Mikolajczyk, A.; Schubert, J.; Bania, J.; Khosrawipour, T. The positive impact of lockdown in Wuhan on containing the COVID-19 outbreak in China. J. Travel Med. 2020, 27, 27. [Google Scholar] [CrossRef] [PubMed]
- Chatfield, A.T.; Reddick, C.G. Understanding Risk Communication Gaps through E-Government Website and Twitter Hashtag Content Analyses: The Case of Indonesia’s Mt. Sinabung Eruption. J. Homel. Secur. Emerg. Manag. 2015, 12, 351–385. [Google Scholar] [CrossRef][Green Version]
- Chena, Q.; Min, C.; Zhangd, W.; Wange, G.; Maa, X.; Evansf, R. Unpacking the black box: How to promote citizen engagement through government social media during the COVID-19 crisis. Comput. Hum. Behav. 2020, 110, 106380. [Google Scholar] [CrossRef]
- Liu, G.; Wang, S.; Liao, J.; Ou, P.; Huang, L.; Xie, N.; He, Y.; Lin, J.; He, H.-G.; Hu, R. The Efficacy of WeChat-Based Parenting Training on the Psychological Well-being of Mothers with Children With Autism During the COVID-19 Pandemic: Quasi-Experimental Study. JMIR Ment. Health 2021, 8, e23917. [Google Scholar] [CrossRef]
- Chang, L.; Chattopadhyay, K.; Li, J.; Xu, M.; Li, L. Interplay of Support, Comparison, and Surveillance in Social Media Weight Management Interventions: Qualitative Study. JMIR mHealth uHealth 2021, 9, e19239. [Google Scholar] [CrossRef] [PubMed]
- Wilson, R.F.; Sharma, A.J.; Schluechtermann, S.; Currie, D.W.; Mangan, J.; Kaplan, B.; Goffard, K.; Salomon, J.; Casteel, S.; Mukasa, A.; et al. Factors Influencing Risk for COVID-19 Exposure Among Young Adults Aged 18–23 Years—Winnebago County, Wisconsin, March–July. MMWR Morb. Mortal. Wkly. Rep. 2020, 69, 1497–1502. [Google Scholar] [CrossRef] [PubMed]
- Timimi, F.K. Medicine, morality and health care social media. BMC Med. 2012, 10, 83. [Google Scholar] [CrossRef]
- Kankanamge, N.; Yigitcanlar, T.; Goonetilleke, A. How engaging are disaster management related social media channels? The case of Australian state emergency organisations. Int. J. Disaster Risk Reduct. 2020, 48, 101571. [Google Scholar] [CrossRef]
- Picazo-Vela, S.; Fernandez-Haddad, M.; Luna-Reyes, L.F. Opening the black box: Developing strategies to use social media in government. Gov. Inf. Q. 2016, 33, 693–704. [Google Scholar] [CrossRef]
- Zhang, W.; Zhou, H. China Education Index. J. Ningbo Univ. 2019, 41, 1–8. (in Chinese). [Google Scholar]
- Institute for Advanced Humanistic Studies (IAHS). Chinese City Culture Development Index Ranking; PIVOT: Beijing, China, 2015; Volume 11, pp. 45–47. (in Chinese) [Google Scholar]
- Sutton, J.; Renshaw, S.L.; Butts, C.T. COVID-19: Retransmission of official communications in an emerging pandemic. PLoS ONE 2020, 15, e0238491. [Google Scholar] [CrossRef] [PubMed]
- Zhang, L.; Jung, E.H. How does WeChat’s active engagement with health information contribute to psychological well-being through social capital? Univers. Access Inf. Soc. 2021, 1–17. [Google Scholar] [CrossRef]
- Gao, B.; Huang, Q.; He, C.; Sun, Z.; Zhang, D. How does sprawl differ across cities in China? A multi-scale investigation using nighttime light and census data. Landsc. Urban Plan. 2016, 148, 89–98. [Google Scholar] [CrossRef]
- Wang, J.; Yeh, A.G. Administrative restructuring and urban development in China: Effects of urban administrative level upgrading. Urban Stud. 2019, 57, 1201–1223. [Google Scholar] [CrossRef]
- Khasnavis, S.; Rosenkrantz, A.; Prabhu, V. Using Twitter to Assess the Public Response to the United States Preventive Services Task Force Guidelines on Lung Cancer Screening with Low Dose Chest CT. J. Digit. Imaging 2017, 30, 323–327. [Google Scholar] [CrossRef]
- Eutsler, L.; Antonenko, P.D.; Mitchell, C. Initial response to COVID-19: A mixed-methods analysis of media and school communications to identify pedagogical implications for remote teaching. Interact. Technol. Smart Educ. 2020, 18. [Google Scholar] [CrossRef]
- Bossu, R.; Laurin, M.; Mazet-Roux, G.; Roussel, F.; Steed, R. The Importance of Smartphones as Public Earthquake-Information Tools and Tools for the Rapid Engagement with Eyewitnesses: A Case Study of the 2015 Nepal Earthquake Sequence. Seism. Res. Lett. 2015, 86, 1587–1592. [Google Scholar] [CrossRef]
- Dyar, O.J.; Castro-Sánchez, E.; Holmes, A.H. What makes people talk about antibiotics on social media? A retrospective analysis of Twitter use. J. Antimicrob. Chemother. 2014, 69, 2568–2572. [Google Scholar] [CrossRef]
- Zhang, X.; Ding, X.; Ma, L. The influences of information overload and social overload on intention to switch in social media. Behav. Inf. Technol. 2020, 1–14. [Google Scholar] [CrossRef]
- Zhang, Y.; He, W.; Peng, L. How Perceived Pressure Affects Users’ Social Media Fatigue Behavior: A Case on WeChat. J. Comput. Inf. Syst. 2020, 1–12. [Google Scholar] [CrossRef]
- Guo, Y.; Lu, Z.; Kuang, H.; Wang, C. Information avoidance behavior on social network sites: Information irrelevance, overload, and the moderating role of time pressure. Int. J. Inf. Manag. 2020, 52, 102067. [Google Scholar] [CrossRef]
- Dai, B.; Ali, A.; Wang, H. Exploring information avoidance intention of social media users: A cognition–affect–conation perspective. Internet Res. 2020, 30, 1455–1478. [Google Scholar] [CrossRef]
- Bright, L.F.; Kleiser, S.B.; Grau, S.L. Too much Facebook? An exploratory examination of social media fatigue. Comput. Hum. Behav. 2015, 44, 148–155. [Google Scholar] [CrossRef]
- Fu, S.; Li, H.; Liu, Y.; Pirkkalainen, H.; Salo, M. Social media overload, exhaustion, and use discontinuance: Examining the effects of information overload, system feature overload, and social overload. Inf. Process. Manag. 2020, 57, 102307. [Google Scholar] [CrossRef]
- Sasaki, Y.; Kawai, D.; Kitamura, S. Unfriend or ignore tweets?: A time series analysis on Japanese Twitter users suffering from information overload. Comput. Hum. Behav. 2016, 64, 914–922. [Google Scholar] [CrossRef]
- Xiao, H.; Zhang, Z.; Zhang, L. An investigation on information quality, media richness, and social media fatigue during the disruptions of COVID-19 pandemic. Curr. Psychol. 2021, 1–12. [Google Scholar] [CrossRef]
- Liu, H.; Liu, W.; Yoganathan, V.; Osburg, V.-S. COVID-19 information overload and generation Z’s social media discontinuance intention during the pandemic lockdown. Technol. Forecast. Soc. Chang. 2021, 166, 120600. [Google Scholar] [CrossRef]
- Zhang, Z.; Zhang, L.; Xiao, H.; Zheng, J. Information quality, media richness, and negative coping: A daily research during the COVID-19 pandemic. Pers. Individ. Differ. 2021, 176, 110774. [Google Scholar] [CrossRef]
- Sauer, M.A.; Truelove, S.; Gerste, A.K.; Limaye, R.J. A Failure to Communicate? How Public Messaging Has Strained the COVID-19 Response in the United States. Health Secur. 2021, 19, 65–74. [Google Scholar] [CrossRef]
- Guidry, J.P.; Jin, Y.; Orr, C.A.; Messner, M.; Meganck, S. Ebola on Instagram and Twitter: How health organizations address the health crisis in their social media engagement. Public Relations Rev. 2017, 43, 477–486. [Google Scholar] [CrossRef]
- Yu, Z.; Tan, W.; Niu, L. The experiences of the Good Companions Response Team during the COVID-19 pandemic in Wuhan, China: A multi-professional team led by social workers. Asia Pac. J. Soc. Work. Dev. 2021, 31, 132–138. [Google Scholar] [CrossRef]
- Dryhurst, S.; Schneider, C.R.; Kerr, J.; Freeman, A.L.J.; Recchia, G.; van der Bles, A.M.; Spiegelhalter, D.; van der Linden, S. Risk perceptions of COVID-19 around the world. J. Risk Res. 2020, 23, 994–1006. [Google Scholar] [CrossRef]
- Mao, Y. Combating COVID-19 Through Collaborative Governance: Lessons from East Asia. Chin. Public Adm. Rev. 2020, 11, 132. [Google Scholar] [CrossRef]
- Wen, B.; Tang, S.-Y.; Tao, L. How Governance Shapes Emergency Management: China’s Mixed Records in Responding to COVID-19. Chin. Public Adm. Rev. 2020, 11, 122. [Google Scholar] [CrossRef]
- Kim, H.M.; Saffer, A.J.; Liu, W.; Sun, J.; Li, Y.; Zhen, L.; Yang, A. How Public Health Agencies Break through COVID-19 Conversations: A Strategic Network Approach to Public Engagement. Health Commun. 2021, 1–9. [Google Scholar] [CrossRef]
- Zhao, Y.; Cheng, S.; Yu, X.; Xu, H. Chinese Public’s Attention to the COVID-19 Epidemic on Social Media: Observational Descriptive Study. J. Med Internet Res. 2020, 22, e18825. [Google Scholar] [CrossRef] [PubMed]
- Bossu, R.; Roussel, F.; Fallou, L.; Landès, M.; Steed, R.; Mazet-Roux, G.; Dupont, A.; Frobert, L.; Petersen, L. LastQuake: From rapid information to global seismic risk reduction. Int. J. Disaster Risk Reduct. 2018, 28, 32–42. [Google Scholar] [CrossRef]
- Lwin, M.O.; Lu, J.; Sheldenkar, A.; Schulz, P.J. Strategic Uses of Facebook in Zika Outbreak Communication: Implications for the Crisis and Emergency Risk Communication Model. Int. J. Environ. Res. Public Health 2018, 15, 1974. [Google Scholar] [CrossRef] [PubMed]
- Laestadius, L.I.; Guidry, J.P.D.; Greskoviak, R.; Adams, J. Making “Weedish Fish”: An Exploratory Analysis of Cannabis Recipes on Pinterest. Subst. Use Misuse 2019, 54, 2191–2197. [Google Scholar] [CrossRef] [PubMed]
- Curtis, B.L.; Lookatch, S.J.; Ramo, D.E.; McKay, J.R.; Feinn, R.S.; Kranzler, H.R. Meta-Analysis of the Association of Alcohol-Related Social Media Use with Alcohol Consumption and Alcohol-Related Problems in Adolescents and Young Adults. Alcohol. Clin. Exp. Res. 2018, 42, 978–986. [Google Scholar] [CrossRef] [PubMed]
- Zhao, X.; Zhan, M.; Jie, C. Examining multiplicity and dynamics of publics’ crisis narratives with large-scale Twitter data. Public Relat. Rev. 2018, 44, 619–632. [Google Scholar] [CrossRef]
- Zhang, L.; Li, H.; Chen, K. Effective Risk Communication for Public Health Emergency: Reflection on the COVID-19 (2019-nCoV) Outbreak in Wuhan, China. Healthcare 2020, 8, 64. [Google Scholar] [CrossRef]




| Number of Articles | Number of Posts | |||
|---|---|---|---|---|
| Test Statistic | p Value | Test Statistic | p Value | |
| (a) Provincial government accounts | 1.827 | 0.873 | 2.602 | 0.761 |
| (b) Provincial news media accounts | 13.769 | 0.017 | 10.876 | 0.054 |
| (c) Provincial health commission accounts | 4.035 | 0.544 | 10.425 | 0.064 |
| (d) Accounts from all cities | 12.600 | 0.027 | 38.450 | <0.001 |
| (e) Government accounts in key cities | 3.032 | 0.695 | 6.142 | 0.293 |
| (f) News media accounts in key cities | 3.010 | 0.698 | 3.895 | 0.565 |
| (g) Accounts from all cities at different levels | 7.107 | 0.069 | 10.905 | 0.012 |
| Average Reading Quantity | Average Wow Quantity | |||
|---|---|---|---|---|
| Test Statistic | p Value | Test Statistic | p Value | |
| (a) Provincial government accounts | 3.847 | 0.572 | 4.267 | 0.512 |
| (b) Provincial news media accounts | 9.647 | 0.086 | 4.659 | 0.459 |
| (c) Provincial health commission accounts | 6.657 | 0.247 | 6.508 | 0.260 |
| (d) Accounts from all cities | 33.989 | <0.001 | 22.141 | <0.001 |
| (e) Government accounts in key cities | 6.066 | 0.300 | 4.880 | 0.431 |
| (f) News media accounts in key cities | 2.121 | 0.832 | 1.813 | 0.874 |
| (g) Accounts from all cities at different levels | 5.815 | 0.121 | 3.815 | 0.282 |
| Number of Articles | Number of Posts | |||
|---|---|---|---|---|
| Test Statistic | p Value | Test Statistic | p Value | |
| GDP | 10.029 | 0.040 | 39.765 | <0.001 |
| Resident population | 8.319 | 0.081 | 29.551 | <0.001 |
| pGDP | 2.586 | 0.629 | 26.954 | <0.001 |
| Education level | 17.256 | 0.002 | 52.470 | <0.001 |
| Culture level | 11.421 | 0.022 | 62.402 | <0.001 |
| Accumulated diagnosis on 1 February 2020 | 15.236 | 0.004 | 53.357 | <0.001 |
| Accumulated diagnosis on 15 February 2020 | 23.744 | <0.001 | 58.600 | <0.001 |
| Accumulated diagnosis on 1 May 2020 | 20.132 | <0.001 | 54.865 | <0.001 |
| Diagnosed on February 2020 | 14.733 | 0.005 | 50.627 | <0.001 |
| Average Reading Quantity | Average Wow Quantity | |||
|---|---|---|---|---|
| Test Statistic | p Value | Test Statistic | p Value | |
| GDP | 48.954 | <0.001 | 38.357 | <0.001 |
| Resident population | 41.248 | <0.001 | 26.877 | <0.001 |
| pGDP | 28.662 | <0.001 | 24.130 | <0.001 |
| Education level | 52.807 | <0.001 | 42.416 | <0.001 |
| Culture level | 55.472 | <0.001 | 47.172 | <0.001 |
| Accumulated diagnosis on 1 February 2020 | 58.829 | <0.001 | 40.811 | <0.001 |
| Accumulated diagnosis on 15 February 2020 | 65.413 | <0.001 | 48.104 | <0.001 |
| Accumulated diagnosis on 1 May 2020 | 64.643 | <0.001 | 46.999 | <0.001 |
| Diagnosed on February 2020 | 63.780 | <0.001 | 46.474 | <0.001 |
Publisher’s Note: MDPI stays neutral with regard to jurisdictional claims in published maps and institutional affiliations. |
© 2021 by the authors. Licensee MDPI, Basel, Switzerland. This article is an open access article distributed under the terms and conditions of the Creative Commons Attribution (CC BY) license (https://creativecommons.org/licenses/by/4.0/).
Share and Cite
Jiang, L.; Huang, Y.; Cheng, H.; Zhang, T.; Huang, L. Emergency Response and Risk Communication Effects of Local Media during COVID-19 Pandemic in China: A Study Based on a Social Media Network. Int. J. Environ. Res. Public Health 2021, 18, 10942. https://doi.org/10.3390/ijerph182010942
Jiang L, Huang Y, Cheng H, Zhang T, Huang L. Emergency Response and Risk Communication Effects of Local Media during COVID-19 Pandemic in China: A Study Based on a Social Media Network. International Journal of Environmental Research and Public Health. 2021; 18(20):10942. https://doi.org/10.3390/ijerph182010942
Chicago/Turabian StyleJiang, Lei, Yujia Huang, Haonan Cheng, Ting Zhang, and Lei Huang. 2021. "Emergency Response and Risk Communication Effects of Local Media during COVID-19 Pandemic in China: A Study Based on a Social Media Network" International Journal of Environmental Research and Public Health 18, no. 20: 10942. https://doi.org/10.3390/ijerph182010942
APA StyleJiang, L., Huang, Y., Cheng, H., Zhang, T., & Huang, L. (2021). Emergency Response and Risk Communication Effects of Local Media during COVID-19 Pandemic in China: A Study Based on a Social Media Network. International Journal of Environmental Research and Public Health, 18(20), 10942. https://doi.org/10.3390/ijerph182010942
