Are Diverse Media Better than a Single Medium? The Relationship between Mixed Media and Perceived Effect from the Perspective of Online Psychological Counseling
Abstract
:1. Introduction
1.1. Background
1.2. Research Question
2. Materials and Methods
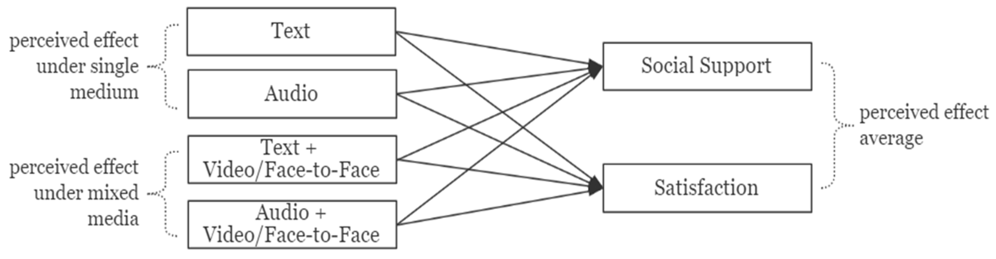
2.1. Study Aim and Design
2.2. Data Collection and Processing
2.3. Variable Definition and Measurement
2.3.1. Social Support
2.3.2. Satisfaction
2.3.3. Media Types and Mixed Media
2.4. Statistics
2.4.1. One-way Analysis of Variance (ANOVA)
2.4.2. Hierarchical Regression Analysis
3. Results
3.1. One-Way Analysis of Variance (ANOVA)
3.1.1. Impact of Mixed Media on Perceived Social Support
3.1.2. Impact of Mixed Media on Satisfaction
3.2. Hierarchical Regression Analysis
4. Discussion
4.1. Principal Findings
4.2. Theoretical Contribution and Practical Significance
4.3. Limitations
5. Conclusions
Author Contributions
Funding
Institutional Review Board Statement
Informed Consent Statement
Ethics Statement
Conflicts of Interest
References
- Wu, T.; Deng, Z.; Chen, Z.; Zhang, D.; Wang, R.; Wu, X. Predictors of Patients’ Intention to Interact With Doctors in Web-Based Health Communities in China: Cross-Sectional Study. J. Med. Internet Res. 2019, 21, e13693. [Google Scholar] [CrossRef] [Green Version]
- Wu, T.; Deng, Z.; Chen, Z.; Zhang, D.; Wu, X.; Wang, R. Predictors of Patients’ Loyalty Toward Doctors on Web-Based Health Communities: Cross-Sectional Study. J. Med. Internet Res. 2019, 21, e14484. [Google Scholar] [CrossRef] [Green Version]
- Paul, C.L.; Cox, M.E.; Small, H.J.; Boyes, A.W.; O’Brien, L.; Rose, S.K.; Baker, A.L.; Henskens, F.A.; Kirkwood, H.N.; Roach, D.M. Techniques for Improving Communication of Emotional Content in Text-Only Web-Based Therapeutic Communications: Systematic Review. JMIR Ment. Health 2017, 4, e46. [Google Scholar] [CrossRef] [PubMed] [Green Version]
- Navarro, P.; Sheffield, J.; Edirippulige, S.; Bambling, M. Exploring Mental Health Professionals’ Perspectives of Text-Based Online Counseling Effectiveness With Young People: Mixed Methods Pilot Study. JMIR Ment. Health 2020, 7, e15564. [Google Scholar] [CrossRef] [PubMed] [Green Version]
- Rigotti, N.A.; Tindle, H.A.; Regan, S.; Levy, D.E.; Chang, Y.; Carpenter, K.M.; Park, E.R.; Kelley, J.H.; Streck, J.M.; Reid, Z.Z.; et al. A Post-Discharge Smoking-Cessation Intervention for Hospital Patients: Helping Hand 2 Randomized Clinical Trial. Am. J. Prev. Med. 2016, 51, 597–608. [Google Scholar] [CrossRef] [PubMed] [Green Version]
- Funderskov, K.F.; Raunkiaer, M.; Danbjorg, D.B.; Zwisler, A.D.; Munk, L.; Jess, M.; Dieperink, K.B. Experiences With Video Consultations in Specialized Palliative Home-Care: Qualitative Study of Patient and Relative Perspectives. J. Med. Internet Res. 2019, 21, e10208. [Google Scholar] [CrossRef] [Green Version]
- Byaruhanga, J.; Atorkey, P.; McLaughlin, M.; Brown, A.; Byrnes, E.; Paul, C.; Wiggers, J.; Tzelepis, F. Effectiveness of Individual Real-Time Video Counseling on Smoking, Nutrition, Alcohol, Physical Activity, and Obesity Health Risks: Systematic Review. J. Med. Internet Res. 2020, 22, e18621. [Google Scholar] [CrossRef] [PubMed]
- dos Santos, H.L.; Cechinel, C. The final year project supervision in online distance learning: Assessing students and faculty perceptions about communication tools. Behav. Inf. Technol. 2018, 38, 65–84. [Google Scholar] [CrossRef]
- van Houwelingen, C.T.; Ettema, R.G.; Antonietti, M.G.; Kort, H.S. Understanding Older People’s Readiness for Receiving Telehealth: Mixed-Method Study. J. Med. Internet Res. 2018, 20, e123. [Google Scholar] [CrossRef]
- Chan, M.; Li, X. Smartphones and psychological well-being in China: Examining direct and indirect relationships through social support and relationship satisfaction. Telemat. Inform. 2020, 54. [Google Scholar] [CrossRef]
- Paredes, M.R.; Apaolaza, V.; Fernandez-Robin, C.; Hartmann, P.; Yanez-Martinez, D. The impact of the COVID-19 pandemic on subjective mental well-being: The interplay of perceived threat, future anxiety and resilience. Pers. Individ. Dif. 2021, 170, 110455. [Google Scholar] [CrossRef] [PubMed]
- Liao, G.-Y.; Huang, T.-L.; Cheng, T.C.E.; Teng, C.-I. Impacts of media richness on network features and community commitment in online games. Ind. Manag. Data Syst. 2020, 120, 1361–1381. [Google Scholar] [CrossRef]
- Gieselmann, A.; Podleschka, C.; Rozental, A.; Pietrowsky, R. Communication Formats and Their Impact on Patient Perception and Working Mechanisms: A Mixed-Methods Study of Chat-Based vs. Face-to-Face Psychotherapy for Insomnia. Behav. Ther. 2021, 52, 430–441. [Google Scholar] [CrossRef]
- Kujala, S.; Ammenwerth, E.; Kolanen, H.; Ervast, M. Applying and Extending the FITT Framework to Identify the Challenges and Opportunities of Successful eHealth Services for Patient Self-Management: Qualitative Interview Study. J. Med. Internet Res. 2020, 22, e17696. [Google Scholar] [CrossRef]
- Toscos, T.; Coupe, A.; Flanagan, M.; Drouin, M.; Carpenter, M.; Reining, L.; Roebuck, A.; Mirro, M.J. Teens Using Screens for Help: Impact of Suicidal Ideation, Anxiety, and Depression Levels on Youth Preferences for Telemental Health Resources. JMIR Ment. Health 2019, 6, e13230. [Google Scholar] [CrossRef] [PubMed] [Green Version]
- Shore, J.H.; Hilty, D.M.; Yellowlees, P. Emergency management guidelines for telepsychiatry. Gen. Hosp. Psychiatry 2007, 29, 199–206. [Google Scholar] [CrossRef] [Green Version]
- Lin, Y.H.; Chiang, T.W.; Lin, Y.L. Increased Internet Searches for Insomnia as an Indicator of Global Mental Health During the COVID-19 Pandemic: Multinational Longitudinal Study. J. Med. Internet Res. 2020, 22, e22181. [Google Scholar] [CrossRef]
- Costanza, A.; Ambrosetti, J.; Wyss, K.; Bondolfi, G.; Sarasin, F.; Khan, R. Prévenir le suicide aux urgences : De la « Théorie Interpersonnelle du Suicide » à la connectedness [Prevention of suicide at Emergency Room: From the « Interpersonal Theory of Suicide » to the connectedness]. Rev. Med. Suisse 2018, 14, 335–338. [Google Scholar] [PubMed]
- Liu, J.; Kong, J.; Zhang, X. Study on Differences between Patients with Physiological and Psychological Diseases in Online Health Communities: Topic Analysis and Sentiment Analysis. Int. J. Environ. Res. Public Health 2020, 17, 1508. [Google Scholar] [CrossRef] [PubMed] [Green Version]
- Butterfield, A. Telepsychiatric Evaluation and Consultation in Emergency Care Settings. Child Adolesc. Psychiatr. Clin. N. Am. 2018, 27, 467–478. [Google Scholar] [CrossRef]
- Seidel, R.W.; Kilgus, M.D. Agreement between telepsychiatry assessment and face-to-face assessment for Emergency Department psychiatry patients. J. Telemed. Telecare 2014, 20, 59–62. [Google Scholar] [CrossRef]
- Barak, A.; Klein, B.; Proudfoot, J.G. Defining internet-supported therapeutic interventions. Ann. Behav. Med. 2009, 38, 4–17. [Google Scholar] [CrossRef]
- Mirzaei, T.; Kashian, N. Revisiting Effective Communication Between Patients and Physicians: Cross-Sectional Questionnaire Study Comparing Text-Based Electronic Versus Face-to-Face Communication. J. Med. Internet Res. 2020, 22, e16965. [Google Scholar] [CrossRef] [PubMed]
- Cowan, K.E.; McKean, A.J.; Gentry, M.T.; Hilty, D.M. Barriers to Use of Telepsychiatry: Clinicians as Gatekeepers. Mayo Clin. Proc. 2019, 94, 2510–2523. [Google Scholar] [CrossRef] [PubMed] [Green Version]
- Salmoiraghi, A.; Hussain, S. A Systematic Review of the Use of Telepsychiatry in Acute Settings. J. Psychiatr. Pract. 2015, 21, 389–393. [Google Scholar] [CrossRef]
- Narasimhan, M.; Druss, B.G.; Hockenberry, J.M.; Royer, J.; Weiss, P.; Glick, G.; Marcus, S.C.; Magill, J. Impact of a Telepsychiatry Program at Emergency Departments Statewide on the Quality, Utilization, and Costs of Mental Health Services. Psychiatr. Serv. 2015, 66, 1167–1172. [Google Scholar] [CrossRef] [PubMed]
- Costanza, A.; Mazzola, V.; Radomska, M.; Amerio, A.; Aguglia, A.; Prada, P.; Bondolfi, G.; Sarasin, F.; Ambrosetti, J. Who Consult an Adult Psychiatric Emergency Department? Pertinence of Admissions and Opportunities for Telepsychiatry. Medicina 2020, 56, 295. [Google Scholar] [CrossRef]
- Bird, M.D.; Chow, G.M.; Meir, G.; Freeman, J. The Influence of Stigma on College Students’ Attitudes Toward Online Video Counseling and Face-to-Face Counseling. J. Coll. Couns. 2019, 22, 256–269. [Google Scholar] [CrossRef]
- Bleyel, C.; Hoffmann, M.; Wensing, M.; Hartmann, M.; Friederich, H.C.; Haun, M.W. Patients’ Perspective on Mental Health Specialist Video Consultations in Primary Care: Qualitative Preimplementation Study of Anticipated Benefits and Barriers. J. Med. Internet Res. 2020, 22, e17330. [Google Scholar] [CrossRef]
- Cipolletta, S.; Mocellin, D. Online counseling: An exploratory survey of Italian psychologists’ attitudes towards new ways of interaction. Psychother. Res. 2018, 28, 909–924. [Google Scholar] [CrossRef] [PubMed]
- Paul, C.L.; Boyes, A.W.; O’Brien, L.; Baker, A.L.; Henskens, F.A.; Roos, I.; Clinton-McHarg, T.; Bellamy, D.; Colburn, G.; Rose, S.; et al. Protocol for a Randomized Controlled Trial of Proactive Web-Based Versus Telephone-Based Information and Support: Can Electronic Platforms Deliver Effective Care for Lung Cancer Patients? JMIR Res. Protoc. 2016, 5, e202. [Google Scholar] [CrossRef]
- Liu, J.; Gao, L. Analysis of topics and characteristics of user reviews on different online psychological counseling methods. Int. J. Med. Inform. 2021, 147, 104367. [Google Scholar] [CrossRef] [PubMed]
- Mirzaei, T.; Esmaeilzadeh, P. Engagement in online health communities: Channel expansion and social exchanges. Inf. Manag. 2021, 58. [Google Scholar] [CrossRef]
- Zhang, Z.; Zhang, L.; Xiao, H.; Zheng, J. Information quality, media richness, and negative coping: A daily research during the COVID-19 pandemic. Personal. Individ. Differ. 2021, 176. [Google Scholar] [CrossRef]
- Arias-de la Torre, J.; Puigdomenech, E.; Garcia, X.; Valderas, J.M.; Eiroa-Orosa, F.J.; Fernandez-Villa, T.; Molina, A.J.; Martin, V.; Serrano-Blanco, A.; Alonso, J.; et al. Relationship Between Depression and the Use of Mobile Technologies and Social Media Among Adolescents: Umbrella Review. J. Med. Internet Res. 2020, 22, e16388. [Google Scholar] [CrossRef] [PubMed]
- Lee, S.-W.; Jiang, G.; Kong, H.-Y.; Liu, C. A difference of multimedia consumer’s rating and review through sentiment analysis. Multimed. Tools Appl. 2020. [Google Scholar] [CrossRef]
- Sun, X.; Han, M.; Feng, J. Helpfulness of online reviews: Examining review informativeness and classification thresholds by search products and experience products. Decis. Support Syst. 2019, 124. [Google Scholar] [CrossRef]
- Chen, M.-J.; Farn, C.-K. Examining the Influence of Emotional Expressions in Online Consumer Reviews on Perceived Helpfulness. Inf. Process. Manag. 2020, 57. [Google Scholar] [CrossRef]
- Ju, C.; Zhang, S. Influencing Factors of Continuous Use of Web-Based Diagnosis and Treatment by Patients With Diabetes: Model Development and Data Analysis. J. Med. Internet Res. 2020, 22, e18737. [Google Scholar] [CrossRef]
- Guo, Y.; Barnes, S.J.; Jia, Q. Mining meaning from online ratings and reviews: Tourist satisfaction analysis using latent dirichlet allocation. Tour. Manag. 2017, 59, 467–483. [Google Scholar] [CrossRef] [Green Version]
- Renfrew, M.E.; Morton, D.P.; Morton, J.K.; Hinze, J.S.; Przybylko, G.; Craig, B.A. The Influence of Three Modes of Human Support on Attrition and Adherence to a Web- and Mobile App-Based Mental Health Promotion Intervention in a Nonclinical Cohort: Randomized Comparative Study. J. Med. Internet Res. 2020, 22, e19945. [Google Scholar] [CrossRef] [PubMed]
- Peng, Y.; Yin, P.; Deng, Z.; Wang, R. Patient-Physician Interaction and Trust in Online Health Community: The Role of Perceived Usefulness of Health Information and Services. Int. J. Environ. Res. Public Health 2019, 17, 139. [Google Scholar] [CrossRef] [PubMed] [Green Version]
- Wu, T.; Deng, Z.; Feng, Z.; Gaskin, D.J.; Zhang, D.; Wang, R. The Effect of Doctor-Consumer Interaction on Social Media on Consumers’ Health Behaviors: Cross-Sectional Study. J. Med. Internet Res. 2018, 20, e73. [Google Scholar] [CrossRef] [Green Version]
- Lu, Y.; Luo, S.; Liu, X. Development of Social Support Networks by Patients With Depression Through Online Health Communities: Social Network Analysis. JMIR Med. Inform. 2021, 9, e24618. [Google Scholar] [CrossRef] [PubMed]
- Pretorius, C.; Chambers, D.; Cowan, B.; Coyle, D. Young People Seeking Help Online for Mental Health: Cross-Sectional Survey Study. JMIR Ment. Health 2019, 6, e13524. [Google Scholar] [CrossRef] [PubMed]
- Deng, Z.; Lu, Y.; Wei, K.K.; Zhang, J. Understanding customer satisfaction and loyalty: An empirical study of mobile instant messages in China. Int. J. Inf. Manag. 2010, 30, 289–300. [Google Scholar] [CrossRef]
- Platonova, E.A.; Kennedy, K.N.; Shewchuk, R.M. Understanding patient satisfaction, trust, and loyalty to primary care physicians. Med. Care Res. Rev. 2008, 65, 696–712. [Google Scholar] [CrossRef]
- Xie, R.; Chu, S.K.W.; Chiu, D.K.W.; Wang, Y. Exploring Public Response to COVID-19 on Weibo with LDA Topic Modeling and Sentiment Analysis. Data Inf. Manag. 2021, 5, 86–99. [Google Scholar] [CrossRef]
- Lengel, R.H.; Daft, R.L. Information richness: A new approach to managerial behavior and organizational design. Res. Organ. Behav. 1983, 6, 191–233. [Google Scholar] [CrossRef]
- Lee, Y.; Kozar, K.A.; Larsen, K.R. Avatar e-mail versus traditional e-mail: Perceptual difference and media selection difference. Decis. Support Syst. 2009, 46, 451–467. [Google Scholar] [CrossRef]
- Lix, L.M.; Keselman, J.C.; Keselman, H.J. Consequences of Assumption Violations Revisited: A Quantitative Review of Alternatives to the One-Way Analysis of Variance “F” Test. Rev. Educ. Res. 1996, 66. [Google Scholar] [CrossRef]
- McDonald, J.H. Handbook of Biological Statistics, 3rd ed.; Sparky House Publishing: Baltimore, MD, USA, 2014. [Google Scholar]
- Troncoso Skidmore, S.; Thompson, B. Bias and precision of some classical ANOVA effect sizes when assumptions are violated. Behav. Res. Methods 2013, 45, 536–546. [Google Scholar] [CrossRef] [PubMed] [Green Version]
- Lee, S.; Lee, D.K. What is the proper way to apply the multiple comparison test? Korean J. Anesthesiol. 2018, 71, 353–360. [Google Scholar] [CrossRef] [PubMed] [Green Version]
- Chin, W.W. The partial least squares approach for structural equation modeling. Mod. Methods Bus. Res. 1998, 3, 295–336. [Google Scholar]
- Henseler, J.; Ringle, C.M.; Sinkovics, R.R. The use of partial least squares path modeling in international marketing. Adv. Int. Mark. 2009, 20, 277–319. [Google Scholar] [CrossRef] [Green Version]
- Sundar, S.S.; Jia, H.; Waddell, T.F.; Huang, Y. Toward a Theory of Interactive Media Effects (TIME). In The Handbook of the Psychology of Communication Technology; John Wiley & Sons: Hoboken, NJ, USA, 2015; pp. 47–86. [Google Scholar]
- McMillan, S.J.; Hwang, J.-S. Measures of Perceived Interactivity: An Exploration of the Role of Direction of Communication, User Control, and Time in Shaping Perceptions of Interactivity. J. Advert. 2013, 31, 29–42. [Google Scholar] [CrossRef]
- Deslich, S.; Bruce, S.; Tomblin, S.; Coustasse, A. Telepsychiatry in the 21st Century: Transforming Healthcare with Technology. Perspect. Health Inf. Manag. 2013, 10, 1f. [Google Scholar]
- Bhugra, D.; Tasman, A.; Pathare, S.; Priebe, S.; Smith, S.; Torous, J.; Arbuckle, M.R.; Langford, A.; Alarcon, R.D.; Chiu, H.F.K.; et al. The WPA-Lancet Psychiatry Commission on the Future of Psychiatry. Lancet Psychiatry 2017, 4, 775–818. [Google Scholar] [CrossRef]


| Node Attribute | Type | Measuring Method |
|---|---|---|
| Social support | Categorical variable and Continuous variable | 1-Information support; 2-Emotional support; 3-Information & Emotional support. Mean value is used as a dependent variable indicator. |
| Satisfaction | Continuous variable | Sentiment score calculated based on user review text. |
| Mean value is used as a dependent variable indicator. | ||
| Single Medium | Categorical variables | 1- Text: Contains text or image information |
| 2- Audio: Contains voice information | ||
| 3- Video/Face-to-Face: Contains voice and visual information | ||
| Mixed Media 1 | Categorical variables | 1- L + M: Text + Audio |
| 2- L + H: Text + Video/Face-to-Face | ||
| 3- M + H: Audio + Video/Face-to-Face | ||
| 4- L + M + H: Text + Audio + Video/Face-to-Face |
| Group | Shapiro–Wilk | ||
|---|---|---|---|
| Statistic | df | Sig. | |
| 1 Text + Audio | 0.935 | 3467 | 0.000 |
| 2 Text + Video/Face-to-Face | 0.929 | 40 | 0.015 |
| 3 Audio + Video/Face-to-Face | 0.925 | 545 | 0.000 |
| 4 Text + Audio + Video/Face-to-Face | 0.890 | 902 | 0.000 |
| Group | Shapiro–Wilk | ||
|---|---|---|---|
| Statistic | df | Sig. | |
| 1 Text + Audio | 0.818 | 3467 | 0.000 |
| 2 Text + Video/Face-to-Face | 0.951 | 40 | 0.085 |
| 3 Audio + Video/Face-to-Face | 0.947 | 545 | 0.000 |
| 4 Text + Audio + Video/Face-to-Face | 0.931 | 902 | 0.000 |
| Levene Statistics | df1 | df2 | Sig. | |
|---|---|---|---|---|
| Perceived social support | 0.859 | 3 | 4950 | 0.462 |
| Satisfaction | 1.676 | 3 | 4950 | 0.170 |
| Mixed Media | n | Mean | SD | Min | Max |
|---|---|---|---|---|---|
| 1 Text + Audio | 3467 | 2.090 | 0.550 | 1 | 3 |
| 2 Text + Video/Face-to-Face | 40 | 2.162 | 0.550 | 1 | 3 |
| 3 Audio + Video/Face-to-Face | 545 | 2.101 | 0.578 | 1 | 3 |
| 4 Text + Audio + Video/Face-to-Face | 902 | 2.159 | 0.565 | 1 | 3 |
| Total | 4954 | 2.105 | 0.557 | 1 | 3 |
| Source | df | Mean Square | F | Sig. | Partial η2 |
|---|---|---|---|---|---|
| Between groups | 3 | 1.153 | 3.73 | 0.011 * | 0.002 |
| Within groups | 4950 | 0.309 | |||
| Total | 4953 |
| Group (I) | Group (J) | Mean Difference (I–J) | Sig. | 95% Confidence Intervals | |
|---|---|---|---|---|---|
| 1 | 2 | −0.071 | 0.885 | −0.319 | 0.176 |
| 3 | −0.010 | 0.984 | −0.082 | 0.061 | |
| 4 | −0.068 | 0.013 * | −0.126 | −0.010 | |
| 2 | 3 | 0.061 | 0.930 | −0.194 | 0.316 |
| 4 | 0.003 | 1.000 | −0.248 | 0.254 | |
| 3 | 4 | −0.058 | 0.298 | −0.142 | 0.027 |
| Mixed Media | n | Mean | SD | Min | Max |
|---|---|---|---|---|---|
| 1 Text + Audio | 3467 | 9.125 | 0.867 | 6 | 28.833 |
| 2 Text + Video/Face-to-Face | 40 | 9.109 | 0.608 | 8 | 10.240 |
| 3 Audio + Video/Face-to-Face | 545 | 9.094 | 0.735 | 7 | 12.600 |
| 4 Text + Audio + Video/Face-to-Face | 902 | 9.248 | 0.747 | 7.678 | 12.917 |
| Total | 4954 | 9.144 | 0.832 | 6 | 28.833 |
| Source | df | Mean Square | F | Sig. | Partial η2 |
|---|---|---|---|---|---|
| Between groups | 3 | 4.117 | 5.97 | 0.000 *** | 0.004 |
| Within groups | 4950 | 0.690 | |||
| Total | 4953 |
| Group (I) | Group (J) | Mean Difference (I–J) | Sig. | 95% Confidence Intervals | |
|---|---|---|---|---|---|
| 1 | 2 | −0.071 | 1.000 | −0.354 | 0.385 |
| 3 | −0.010 | 0.887 | −0.076 | 0.138 | |
| 4 | −0.068 | 0.001 *** | −0.210 | −0.036 | |
| 2 | 3 | 0.061 | 1.000 | −0.366 | 0.396 |
| 4 | 0.003 | 0.786 | −0.514 | 0.237 | |
| 3 | 4 | −0.058 | 0.009 ** | −0.280 | −0.027 |
| VARIABLE | n | Mean | SD | Min | Max |
|---|---|---|---|---|---|
| Social support (AVE) | 11,694 | 2.111 | 0.538 | 1 | 3 |
| Text | 11,694 | 0.941 | 1.104 | 0 | 3 |
| Audio | 11,694 | 1.929 | 0.734 | 0 | 3 |
| Text + Video/Face-to-Face | 11,694 | 0.169 | 0.579 | 0 | 3 |
| Audio + Video/Face-to-Face | 11,694 | 0.278 | 0.718 | 0 | 3 |
| Satisfaction (AVE) | 11,694 | 9.163 | 1.235 | 4.500 | 86.33 |
| Text | 11,694 | 4.130 | 4.620 | 0 | 24.40 |
| Audio | 11,694 | 8.367 | 2.880 | 0 | 86.33 |
| Text + Video/Face-to-Face | 11,694 | 0.744 | 2.524 | 0 | 13 |
| Audio + Video/Face-to-Face | 11,694 | 1.135 | 3.037 | 0 | 13.33 |
| VARIABLE | Social Support | Satisfaction | ||||||||
|---|---|---|---|---|---|---|---|---|---|---|
| Model 1 | Model 2 | Model 3 | 95% Confidence Intervals | Model 4 | Model 5 | Model 6 | 95% Confidence Intervals | |||
| Text | 0.191 *** | 0.216 *** | 0.221 *** | 0.099 | 0.116 | 0.145 *** | 0.158 *** | 0.150 *** | 0.035 | 0.045 |
| Audio | 0.413 *** | 0.419 *** | 0.413 *** | 0.290 | 0.315 | 0.461 *** | 0.469 *** | 0.595 *** | 0.246 | 0.265 |
| Text + Video/Face-to-Face | −0.094 *** | −0.100 *** | −0.118 | −0.068 | −0.021 | −0.027 * | −0.026 | −0.001 | ||
| Audio + Video/Face-to-Face | 0.055 *** | 0.075 *** | 0.035 | 0.077 | −0.034 ** | −0.155 *** | −0.075 | −0.051 | ||
| Audio × (Audio + Video/Face-to-Face) | −0.035 *** | −0.071 | −0.020 | 0.218 *** | 0.047 | 0.060 | ||||
| R2 | 0.177 | 0.180 | 0.181 | 0.203 | 0.205 | 0.223 | ||||
| n | 11,694 | 11,694 | 11,694 | 11,694 | 11,694 | 11,694 | ||||
| VARIABLE | VIF | |||||
|---|---|---|---|---|---|---|
| Social Support | Satisfaction | |||||
| Text | 1.039 | 1.212 | 1.240 | 1.056 | 1.237 | 1.240 |
| Audio | 1.039 | 1.058 | 1.094 | 1.056 | 1.083 | 1.954 |
| Text + Video/Face-to-Face | 2.641 | 2.688 | 2.653 | 2.656 | ||
| Audio + Video/Face-to-Face | 2.398 | 2.868 | 2.418 | 3.216 | ||
| Audio × (Audio + Video/Face-to-Face) | 1.357 | 2.587 | ||||
Publisher’s Note: MDPI stays neutral with regard to jurisdictional claims in published maps and institutional affiliations. |
© 2021 by the authors. Licensee MDPI, Basel, Switzerland. This article is an open access article distributed under the terms and conditions of the Creative Commons Attribution (CC BY) license (https://creativecommons.org/licenses/by/4.0/).
Share and Cite
Liu, J.; Gao, L. Are Diverse Media Better than a Single Medium? The Relationship between Mixed Media and Perceived Effect from the Perspective of Online Psychological Counseling. Int. J. Environ. Res. Public Health 2021, 18, 8603. https://doi.org/10.3390/ijerph18168603
Liu J, Gao L. Are Diverse Media Better than a Single Medium? The Relationship between Mixed Media and Perceived Effect from the Perspective of Online Psychological Counseling. International Journal of Environmental Research and Public Health. 2021; 18(16):8603. https://doi.org/10.3390/ijerph18168603
Chicago/Turabian StyleLiu, Jingfang, and Lu Gao. 2021. "Are Diverse Media Better than a Single Medium? The Relationship between Mixed Media and Perceived Effect from the Perspective of Online Psychological Counseling" International Journal of Environmental Research and Public Health 18, no. 16: 8603. https://doi.org/10.3390/ijerph18168603
APA StyleLiu, J., & Gao, L. (2021). Are Diverse Media Better than a Single Medium? The Relationship between Mixed Media and Perceived Effect from the Perspective of Online Psychological Counseling. International Journal of Environmental Research and Public Health, 18(16), 8603. https://doi.org/10.3390/ijerph18168603

