Effects of a Floor Hockey Intervention on Motor Proficiency, Physical Fitness, and Adaptive Development in Youths with Mild Intellectual Disabilities
Abstract
1. Introduction
2. Materials and Methods
2.1. Experimental Design
2.2. Participants
2.3. Floor Hockey Intervention
2.4. Instruments and Procedures
2.4.1. Motor Proficiency
2.4.2. Physical Fitness
2.4.3. Adaptive Development
2.5. Data Analysis
3. Results
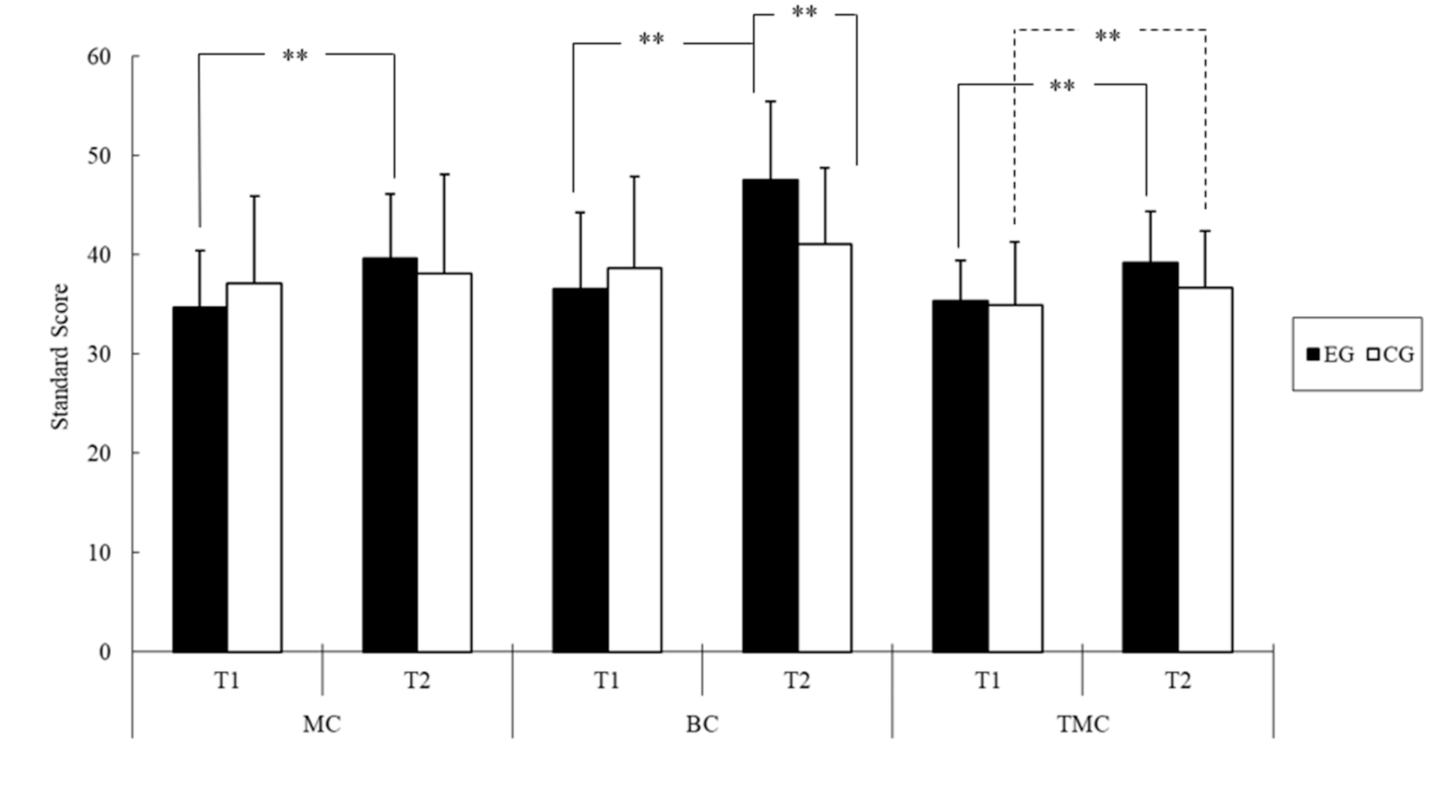
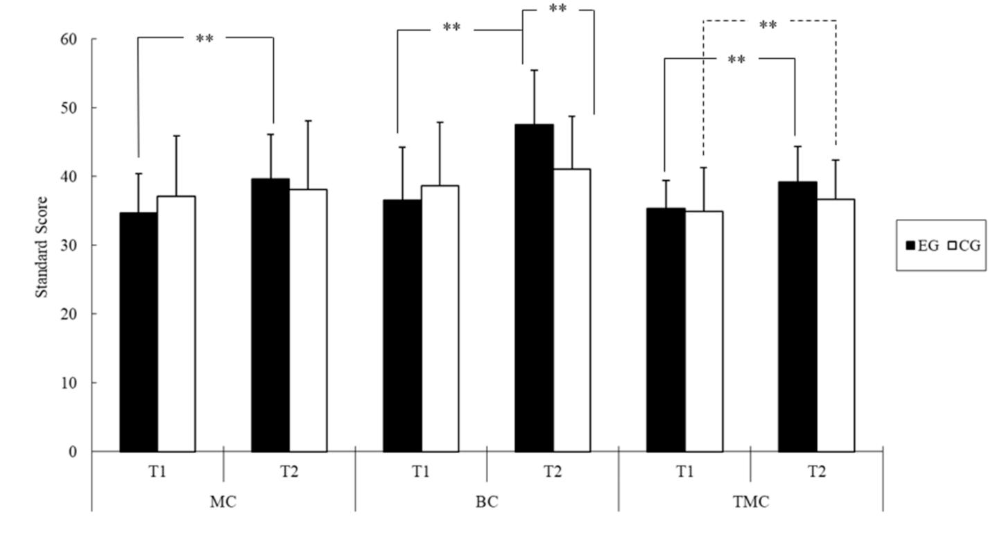
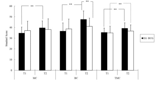
3.1. Effect of the Floor Hockey Intervention on Motor Proficiency
3.2. Effect of the Floor Hockey Intervention on Physical Fitness
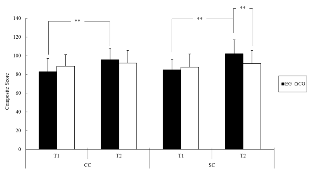
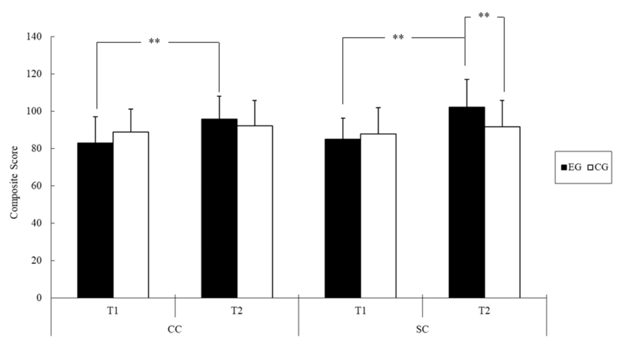
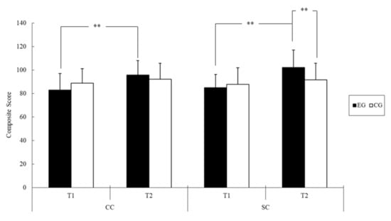
3.3. Effect of the Floor Hockey Intervention on Adaptive Development
4. Discussion
5. Conclusions
Author Contributions
Funding
Institutional Review Board Statement
Informed Consent Statement
Data Availability Statement
Conflicts of Interest
References
- Schalock, R.L.; Luckasson, R.A.; Shogren, K.A. The renaming of mental retardation: Understanding the change to the term intellectual disability. Intellect. Dev. Disabil. 2007, 45, 116–124. [Google Scholar] [CrossRef]
 - Schalock, R.L.; Borthwick-Duffy, S.A.; Bradley, V.J.; Buntinx, W.H.E.; Coulter, D.L.; Craig, E.M.; Gomez, S.C.; Lachapelle, Y.; Luckasson, R.; Reeve, A.; et al. Intellectual Disability: Definition, Classification, and Systems of Supports; American Association on Intellectual and Developmental Disabilities: Washington, DC, USA, 2010. [Google Scholar]
 - Tassé, M.J.; Schalock, R.L.; Balboni, G.; Bersani, H.; Borthwick-Duffy, S.A.; Spreat, S.; Thissen, D.; Widaman, K.F.; Zhang, D. The construct of adaptive behavior: Its conceptualization, measurement, and use in the field of intellectual disability. Am. J. Intellect. Dev. Disabil. 2012, 4, 291–303. [Google Scholar] [CrossRef] [PubMed]
 - Gkotzia, E.; Venetsanou, F.; Kambas, A. Motor proficiency of children with autism spectrum disorders and intellectual disabilities: A review. Eur. Psychomot. J. 2017, 9, 46–69. [Google Scholar]
 - Rintala, P.; Loovis, E.M. Measu ring motor skills in Finnish children with intellectual disabilities. Percept. Mot. Ski. 2013, 116, 294–303. [Google Scholar] [CrossRef]
 - Zikl, P.; Holoubková, N.; Karásková, H.; Veselíková, T. Gross motor skills of children with mild intellectual disabilities. Int. J. Soc. Humanit. Sci. Eng. 2013, 7, 2789–2795. [Google Scholar]
 - Logan, S.W.; Ross, S.M.; Chee, K.; Stodden, D.F.; Robinson, L.E. Fundamental motor skills: A systematic review of terminology. J. Sports Sci. 2018, 36, 781–796. [Google Scholar] [CrossRef]
 - Westendorp, M.; Houwen, S.; Hartman, E.; Visscher, C. Are gross motor skills and sports participation related in children with intellectual disabilities? Res. Dev. Disabil. 2011, 32, 1147–1153. [Google Scholar] [CrossRef]
 - Lloyd, M. Physical activity of individuals with intellectual disabilities: Challenges and future directions. Curr. Dev. Disord. Rep. 2016, 3, 91–93. [Google Scholar] [CrossRef]
 - Oppewal, A.; Hilgenkamp, T.I.M.; van Wijck, R.; Evenhuis, H.M. Cadriorespiratory fitness in individuals with intellectual disabilities: A review. Res. Dev. Disabil. 2013, 34, 3301–3316. [Google Scholar] [CrossRef] [PubMed]
 - Wouters, M.; Evenhuis, H.M.; Hilgenkamp, T.I.M. Physical fitness of children and adolescents with moderate to severe intellectual disabilities. Disabil. Rehabil. 2020, 42, 2542–2552. [Google Scholar] [CrossRef] [PubMed]
 - Lima-Cabello, E.; Garcia-Guirado, F.; Calvo-Medin, A.R.; el Bekay, R.; Perez-Costillas, L.; Quintero-Navarro, C.; Sanchez-Salido, L.; de Diego-Otero, Y. An abnormal nitric oxide metabolism contributes to brain oxidative stress in the mouse model for the fragile x syndrome, a possible role in intellectual disability. Oxidative Med. Cell. Longev. 2016, 2016, 8548910. [Google Scholar] [CrossRef]
 - Wang, A.; Gao, Y.; Wang, J.; Tong, T.K.; Sun, Y.; Yu, S.; Zhao, H.; Zou, D.; Zhang, Z.; Qi, Y.; et al. Effects of a school-based physical activity intervention for obesity and health-related physical fitness in adolescents with intellectual disability: Protocol for a randomized controlled trial. JMIR Res. Protoc. 2021, 10, e25838. [Google Scholar] [CrossRef]
 - Must, A.; Curtin, C.; Hubbard, K.; Sikich, L.; Bedford, J.; Bandini, L. Obesity prevention for children with developmental disabilities. Curr. Obes. Rep. 2014, 3, 156–170. [Google Scholar] [CrossRef]
 - Salaun, L.; Berthouze-Aranda, S.E. Physical fitness and fatness in adolescents with intellectual disabilities. J. Appl. Res. Intellect. Disabil. 2012, 25, 231–239. [Google Scholar] [CrossRef] [PubMed]
 - Emerson, E.; Hatton, C. Mental health of children and adolescents with intellectual disabilities in britain. Br. J. Psychiatry 2007, 191, 493–499. [Google Scholar] [CrossRef]
 - Maïano, C.; Hue, O.; Morin, A.J.S.; Moullec, G. Prevalence of overweight and obesity among children and adolescents with intellectual disabilities: A systematic review and meta-analysis. Obes. Rev. 2016, 17, 599–611. [Google Scholar] [CrossRef] [PubMed]
 - Spinola e Castro, A.M. Interventions for preventing obesity in children. Sao Paulo Med. J. 2014, 132, 128–129. [Google Scholar]
 - Wouters, M.; Evenhuis, H.M.; Hilgenkamp, T.I.M. Systematic review of field-based physical fitness tests for children and adolescents with intellectual disabilities. Dev. Disabil. Res. Rev. 2017, 61, 77–94. [Google Scholar] [CrossRef]
 - Stodden, D.F.; Goodway, J.D.; Langendorfer, S.J.; Roberton, M.A.; Rudisill, M.E.; Garcia, C.; Garcia, L.E. A developmental perspective on the role of motor skill competence in physical activity: An emergent relationship. Quest 2008, 60, 290–306. [Google Scholar] [CrossRef]
 - Day, S.M.; Wu, Y.W.; Strauss, D.J.; Shavelle, R.M.; Reynolds, R.J. Change in ambulatory ability of adolescents and young adults with cerebral palsy. Dev. Med. Child Neurol. 2007, 49, 647–653. [Google Scholar] [CrossRef] [PubMed]
 - Lam, H.M.Y. Assessment of preschoolers’ gross motor proficiency: Revisiting Bruininks-Oseretsky Test of Motor Proficiency. Early Child Dev. Care 2011, 181, 189–201. [Google Scholar] [CrossRef]
 - Abdullah, B.; Jaafar, W.M.W.; Ayub, A.F.M. The development of gross motor analysis system software: A preliminary concept. Procedia Soc. Behav. Sci. 2012, 64, 501–506. [Google Scholar] [CrossRef][Green Version]
 - Physical Activity Guidelines Advisory Committee. Physical Activity Guidelines Advisory Committee Scientific Report. 2018. Available online: https://health.gov/our-work/physical-activity/current-guidelines/scientific-report (accessed on 23 January 2021).
 - WHO. Global Recommendations on Physical Activity for Health; World Health Organization: Geneva, Switzerland, 2010. [Google Scholar]
 - Rimmer, J.H.; Marques, A.C. Physical activity for people with disabilities. Lancet 2012, 380, 193–195. [Google Scholar] [CrossRef]
 - Neter, J.E.; Schokker, D.F.; Elske, D.J.; Renders, C.M.; Seidell, J.C.; Visscher, T.L.S. The prevalence of overweight and obesity and its determinants in children with and without disabilities. J. Pediatrics 2011, 158, 735–739. [Google Scholar] [CrossRef] [PubMed]
 - Kim, Y.; Conners, R.T.; Hart, P.D.; Kang, Y.S.; Kang, M. Association of physical activity and body mass index with metabolic syndrome among U.S. adolescents with disabilities. Disabil. Health J. 2013, 6, 253–259. [Google Scholar] [CrossRef]
 - Kim, J.; Greaney, M.L. Prevalence of physical activity, screen time, and obesity among US children by the service type of special health care needs. Disabil. Health J. 2014, 7, 318–324. [Google Scholar] [CrossRef] [PubMed]
 - Segal, M.; Eliasziw, M.; Phillips, S.; Bandini, L.; Curtin, C.; Kral, T.V.; Sherwood, N.E.; Sikich, L.; Stanish, H.; Must, A. Intellectual disability is associated with increased risk for obesity in a nationally representative sample of U.S. children. Disabil. Health J. 2016, 9, 392–398. [Google Scholar] [CrossRef] [PubMed]
 - Sit, C.H.; Mckenzie, T.L.; Cerin, E.; Chow, B.C.; Huang, W.Y.; Yu, J. Physical activity and sedentary time among children with disabilities at school. Med. Sci. Sports Exerc. 2017, 49, 292–297. [Google Scholar] [CrossRef]
 - Maïano, C.; Hue, O.; April, J. Effects of motor skill interventions on fundamental movement skills in children and adolescents with intellectual disabilities: A systematic review. J. Intellect. Disabil. Res. 2019, 63, 1163–1179. [Google Scholar] [CrossRef]
 - Işık, M.; Zorba, E. The effects of hemsball on the motor proficiency of students with intellectual disabilities. Int. J. Dev. Disabil. 2020, 66, 104–112. [Google Scholar] [CrossRef]
 - Gupta, S.; Rao, B.K.; Kumaran, S.D. Effect of strength and balance training in children with Down’s syndrome: A randomized controlled trial. Clin. Rehabil. 2011, 25, 425–432. [Google Scholar] [CrossRef]
 - Kubilay, N.S.; Yildirim, Y.; Kara, B.; Harutoglu-Akdur, H. Effect of balance training and posture exercises on functional level in mental retardation. Fiz. Rehabil. 2011, 22, 55–64. [Google Scholar]
 - Bouzas, S.; Martínez-Lemos, R.I.; Ayán, C. Effects of exercise on the physical fitness level of adults with intellectual disability: A systematic review. Disabil. Rehabil. 2019, 41, 3118–3140. [Google Scholar] [CrossRef] [PubMed]
 - Zurita-Ortega, F.; Ubago-Jiménez, J.L.; Puertas-Molero, P.; Ramírez-Granizo, I.A.; Muros, J.J.; González-Valero, G. Effects of an alternative sports program using Kin-ball in individuals with intellectual disabilities. Int. J. Environ. Res. Public Health 2020, 17, 5296. [Google Scholar] [CrossRef]
 - Kong, Z.; Sze, T.M.; Yu, J.J.; Loprinzi, P.D.; Xiao, T.; Yeung, A.S.; Li, C.; Zhang, H.; Zou, L. Tai Chi as an alternative exercise to improve physical fitness for children and adolescents with intellectual disability. Int. J. Environ. Res. Public Health 2019, 16, 1152. [Google Scholar] [CrossRef] [PubMed]
 - Kapsal, N.J.; Dicke, T.; Morin, A.J.S.; Vasconcellos, D.; Maïano, C.; Lee, J.; Lonsdale, C. Effects of physical activity on the physical and psychosocial health of youth with intellectual disabilities: A systematic review and meta-analysis. J. Phys. Act. Health 2019, 16, 1187–1195. [Google Scholar] [CrossRef]
 - Johnson, C.C. The benefits of physical activity for youth with developmental disabilities: A systematic review. Am. J. Health Promot. 2009, 23, 157–167. [Google Scholar] [CrossRef]
 - Killeen, H.; Shiel, A.; Law, M.; O’Donovan, D.J.; Segurado, R.; Anaby, D. Relationships between adaptive behaviours, personal factors, and participation of young children. Phys. Occup. Ther. Pediatrics 2018, 38, 343–354. [Google Scholar] [CrossRef]
 - Law, M.; King, G.; Petrenchik, T.; Kertoy, M.; Anaby, D. The assessment of preschool children’s participation: Internal consistency and construct validity. Phys. Occup. Ther. Pediatrics 2012, 32, 272–287. [Google Scholar] [CrossRef]
 - Special Olympics. Become a Special Olympics Athlete. Available online: https://www.specialolympics.org/get-involved/athlete (accessed on 21 June 2021).
 - Special Olympics. Floor Hockey. Available online: http://www.specialolympicspa.org/sportslive/FloorHockey.php (accessed on 9 May 2021).
 - Bruininks, R.H.; Bruininks, B.D. Bruininks-Oseretsky Test of Motor Proficiency, 2nd ed.; NCS Pearson: Minneapolis, MN, USA, 2005. [Google Scholar]
 - Winnick, J.P.; Short, F.X. The Brockport Physical Fitness Test. Manual; Human Kinetics: Champaign, IL, USA, 1999. [Google Scholar]
 - Lu, T.H.; Chen, C.Y. Adaptive Behavior Assessment System-II (Chinese Version); Chinese Behavioral Science Corporation: Taipei, Taiwan, 2008. [Google Scholar]
 - Patel, D.R.; Apple, R.; Kanungo, S.; Ashley Akkal, A. Intellectual disability: Definitions, evaluation and principles of treatment. Pediatric Med. 2018, 1, 11. [Google Scholar] [CrossRef]
 - Special Olympics. Floor Hockey Coaching Guide: Teaching Floor Hockey Skills. Available online: http://media.specialolympics.org/soi/files/sports/Floor_Hockey/EYDIO5PG/TEACHING.PDF (accessed on 8 May 2021).
 - Special Olympics. Special Olympics Floor Hockey: Coaches Quick Start Guide. Available online: http://www.specialolympicspa.org/sportslive/documents/FloorHockeyQuickStartGuide.pdf (accessed on 9 May 2021).
 - Mao, T.Y.; Lin, K.F. Research and development of 20 m multistage shuttle run test. J. Exerc. Sci. Fit. 2006, 4, 55–64. [Google Scholar]
 - Morrow, J.R.; Jackson, A.W.; Disch, J.G.; Mood, D.P. Measurement and Evaluation in Human Performance; Human Kinetics: Champaign, IL, USA, 2000. [Google Scholar]
 - Harrison, P.L.; Oakland, T. Adaptive Behaviour Assessment System, 2nd ed.; Harcourt Assessment: San Antonio, TX, USA, 2003. [Google Scholar]
 - Logan, S.W.; Robinson, L.E.; Wilson, A.E.; Lucas, W.A. Getting the fundamentals of movement: A meta-analysis of the effectiveness of motor skill interventions in children. Child. Care Health Dev. 2012, 38, 305–315. [Google Scholar] [CrossRef]
 - Engel, A.C.; Broderick, C.R.; van Doorn, N.; Hardy, L.L.; Parmenter, B.J. Exploring the relationship between fundamental motor skill interventions and physical activity levels in children: A systematic review and meta-analysis. Sports Med. 2018, 48, 1845–1857. [Google Scholar] [CrossRef]
 - Malekpour, M.; Isfahani, A.S.; Amiri, S.; Faramarzi, S.; Heidari, T.; Shahidi, M.A. The effect of adapted play training on motor development of students with intellectual disabilities. Int. J. Dev. Disabil. 2012, 58, 120–127. [Google Scholar] [CrossRef]
 - Reis, J.R.G.; Neiva, C.M.; Filho, D.M.P.; Ciolac, E.G.; Verardi, C.E.L.; da Cruz Siqueira, L.O.; de Freitas Gonçalves, D.; da Silva, G.R.; Hiraga, C.Y.; Tonello, M.G.M. Virtual reality therapy: Motor coordination and balance analysis in children and teenagers with Down syndrome. J. Hum. Mov. 2017, 38, 53–67. [Google Scholar]
 - Abdel Rahman, S. Efficacy of virtual reality-based therapy on balance in children with Down syndrome. World Appl. Sci. J. 2010, 10, 254–261. [Google Scholar]
 - Ekins, C.; Wright, J.; Schulz, H.; Wright, P.R.; Owens, D.; Millder, W. Effects of a drums alive® kids beats intervention on motor skills and behavior in children with intellectual disabilities. Palaestra 2019, 33, 16–25. [Google Scholar]
 - Ptomey, L.T.; Washburn, R.A.; Lee, J.; Greene, J.L.; Szabo-Reed, A.N.; Sherman, J.R.; Danon, J.C.; Osborne, L.N.; Little, T.D.; Donnelly, J.E. Individual and family-based approaches to increase physical activity in adolescents with intellectual and developmental disabilities: Rationale and design for an 18 month randomized trial. Contemp. Clin. Trials 2019, 84, 105817. [Google Scholar] [CrossRef]
 - Brooks, V.B. The Neural Basis of Motor Control; Oxford University Press: New York, NY, USA, 1986. [Google Scholar]
 - Jeannerod, M. The Neural and Behavioral Organization of Goal-Directed Movements; Clarendon Press: Oxford, UK, 1990. [Google Scholar]
 - Kim, C.G.; Lee, J.S. Effect of startup circuit exercise on derivatives reactive oxygen metabolites, biological antioxidant potential levels and physical fitness of adolescents boys with intellectual disabilities. J. Exerc. Rehabil. 2016, 12, 483–488. [Google Scholar] [CrossRef] [PubMed][Green Version]
 - Janssen, I.; Leblanc, A.G. Systematic review of the health benefits of physical activity and fitness in school-aged children and youth. Int. J. Behav. Nutr. Phys. Act. 2010, 7, 40. [Google Scholar] [CrossRef]
 - Frey, G.C.; Chow, B. Relationship between BMI, physical fitness, and motor skills in youth with mild intellectual disabilities. Int. J. Obes. 2006, 30, 861–867. [Google Scholar] [CrossRef] [PubMed]
 - Foley, J.T.; Harvey, S.; Chun, H.J.; Kim, S.Y. The relationships among fundamental motor skills, health-related physical fitness, and body fatness in south Korean adolescents with mental retardation. Res. Q. Exerc. Sport 2008, 79, 149–157. [Google Scholar] [CrossRef]
 - Tassé, M.J.; Luckasson, R.; Schalock, R.L. The relation between intellectual functioning and adaptive behavior in the diagnosis of intellectual disability. Intellect. Dev. Disabil. 2016, 54, 381–390. [Google Scholar] [CrossRef] [PubMed]
 - Martin, S.; Cordeiro, L.; Richardson, P.; Davis, S.; Tartaglia, N. The association of motor skills and adaptive functioning in xxy/klinefelter and xxyy syndromes. Phys. Occup. Ther. Pediatrics 2019, 39, 446–459. [Google Scholar] [CrossRef] [PubMed]
 - Brault, M.W. School-Aged Children with Disabilities in U.S. Metropolitan Statistical Areas: 2010; Report Number: ACSBR/10-12 (2011); U.S. Census Bureau: Washington, DC, USA, 2011.
 



| Exercise Group n = 27  | Control Group n = 27  | t | p | |
|---|---|---|---|---|
| Age (years) | 16.59 ± 0.56 | 16.65 ± 0.63 | −0.37 | 0.71 | 
| Height (cm) | 167.80 ± 8.13 | 165.98 ± 9.58 | 0.75 | 0.46 | 
| Weight (kg) | 66.43 ± 18.53 | 67.43 ± 17.01 | −0.21 | 0.84 | 
| BMI (kg/m2) | 23.36 ± 5.42 | 24.42 ± 5.68 | −0.70 | 0.49 | 
| Gender (n, %) | ||||
| Male | 23 (85.19%) | 23 (85.19%) | -- | -- | 
| Female | 4 (14.81%) | 4 (14.81%) | -- | -- | 
| Activities | Length | Weeks | Key Tasks to Be Delivered | Goal | 
|---|---|---|---|---|
| Warm-up activities | 15 min | 1–12 | Slow aerobic walk/jog/fast walk/run/Mach sprint drills/stretching | 
  | 
| Floor hockey activities | 45 min | 1–2 | 
  | 
  | 
| 3–4 | 
  | |||
| 5–6 | 
  | |||
| 7–8 | 
  | |||
| 9–10 | 
  | |||
| 11–12 | 
  | |||
| Floor hockey skill-based games | 15 min | 1–12 | 
  | 
  | 
| Cool-down activities | 15 min | 1–12 | Slow aerobic jog/run/light stretching/flexibility training | 
  | 
| T1 | Exercise Group | Control Group | ||||
|---|---|---|---|---|---|---|
| t | p | T1 | T2 | T1 | T2 | |
| BOT-2 | ||||||
| Fine motor control | 0.90 | 0.38 | 35.70 ± 4.87 | 35.04 ± 6.54 | 34.48 ± 5.15 | 35.93 ± 5.20 | 
| Manual coordination | −1.25 | 0.22 | 34.63 ± 5.81 | 39.59 ± 6.56 | 37.15 ± 8.70 | 38.04 ± 10.07 | 
| Body coordination | −0.90 | 0.37 | 36.59 ± 7.70 | 47.59 ± 7.88 | 38.67 ± 9.20 | 41.11 ± 7.69 | 
| Strength and agility | 1.68 | 0.10 | 43.15 ± 6.77 | 44.04 ± 6.45 | 40.07 ± 6.70 | 40.96 ± 6.98 | 
| Total motor composite | 0.28 | 0.78 | 35.33 ± 4.10 | 39.22 ± 5.15 | 34.93 ± 6.38 | 36.70 ± 5.72 | 
| Physical fitness | ||||||
| PACER (n) | 0.71 | 0.48 | 22.26 ± 12.02 | 30.33 ± 13.49 | 20.00 ± 11.31 | 21.15 ± 8.93 | 
| Modified curl-up (n) | 0.28 | 0.78 | 29.07 ± 16.49 | 44.78 ± 21.60 | 27.63 ± 21.08 | 28.44 ± 21.52 | 
| Isometric push-up (s) | 0.27 | 0.79 | 37.81 ± 7.87 | 38.63 ± 5.09 | 37.25 ± 7.45 | 36.67 ± 9.71 | 
| Right leg sit-and-reach (cm) | 0.72 | 0.47 | 28.85 ± 6.59 | 28.09 ± 8.90 | 27.14 ± 10.36 | 28.72 ± 10.39 | 
| Left leg sit-and-reach (cm) | −0.46 | 0.65 | 27.07 ± 7.72 | 27.64 ± 9.29 | 28.20 ± 10.18 | 28.69 ± 10.04 | 
| Adaptive development | ||||||
| Conceptual composite score | −1.66 | 0.10 | 82.89 ± 14.20 | 95.70 ± 12.42 | 88.89 ± 12.31 | 92.22 ± 13.55 | 
| Social composite score | −0.86 | 0.39 | 84.96 ± 11.28 | 102.33 ± 14.66 | 87.96 ± 14.12 | 91.67 ± 14.11 | 
| Practical composite score | 0.17 | 0.81 | 92.96 ± 16.45 | 103.22 ± 11.28 | 92.26 ± 13.73 | 96.59 ± 15.08 | 
| GAC score | −0.32 | 0.75 | 87.67 ± 14.06 | 100.04 ± 12.30 | 88.81 ± 12.19 | 93.85 ± 14.19 | 
| Time Effect | Group Effect | Interaction Effect | |||||||
|---|---|---|---|---|---|---|---|---|---|
| F | p | η2 | F | p | η2 | F | p | η2 | |
| BOT-2 | |||||||||
| Fine motor control | 0.35 | 0.56 | 0.01 | 0.02 | 0.90 | 0.00 | 2.59 | 0.11 | 0.05 | 
| Manual coordination | 18.70 | 0.00 | 0.26 | 0.06 | 0.82 | 0.00 | 9.06 | 0.00 | 0.15 | 
| Body coordination | 40.61 | 0.00 | 0.44 | 1.28 | 0.26 | 0.02 | 16.45 | 0.00 | 0.24 | 
| Strength and agility | 2.78 | 0.10 | 0.05 | 3.08 | 0.09 | 0.06 | 0.00 | 1.00 | 0.05 | 
| Total motor composite | 53.00 | 0.00 | 0.51 | 0.52 | 0.47 | 0.01 | 7.36 | 0.00 | 0.12 | 
| Physical fitness | |||||||||
| PACER (n) | 14.91 | 0.00 | 0.22 | 3.87 | 0.06 | 0.07 | 8.41 | 0.00 | 0.14 | 
| Modified curl-up (n) | 13.48 | 0.00 | 0.21 | 3.11 | 0.08 | 0.06 | 10.96 | 0.00 | 0.17 | 
| Isometric push-up (s) | 0.01 | 0.93 | 0.00 | 0.58 | 0.45 | 0.01 | 0.30 | 0.59 | 0.01 | 
| Right leg sit-and-reach (cm) | 0.20 | 0.66 | 0.00 | 0.05 | 0.82 | 0.00 | 1.60 | 0.21 | 0.03 | 
| Left leg sit-and-reach (cm) | 0.29 | 0.60 | 0.01 | 0.21 | 0.65 | 0.00 | 0.00 | 0.96 | 0.00 | 
| Adaptive development | |||||||||
| Conceptual composite score | 27.39 | 0.00 | 0.35 | 0.15 | 0.70 | 0.00 | 9.44 | 0.00 | 0.15 | 
| Social composite score | 30.32 | 0.00 | 0.37 | 1.46 | 0.23 | 0.03 | 12.75 | 0.00 | 0.20 | 
| Practical composite score | 14.85 | 0.00 | 0.22 | 1.17 | 0.28 | 0.02 | 2.45 | 0.12 | 0.05 | 
| GAC score | 26.50 | 0.00 | 0.34 | 0.63 | 0.43 | 0.01 | 4.70 | 0.04 | 0.08 | 
Publisher’s Note: MDPI stays neutral with regard to jurisdictional claims in published maps and institutional affiliations.  | 
© 2021 by the authors. Licensee MDPI, Basel, Switzerland. This article is an open access article distributed under the terms and conditions of the Creative Commons Attribution (CC BY) license (https://creativecommons.org/licenses/by/4.0/).
Share and Cite
Hsu, P.-J.; Yeh, H.-L.; Tsai, C.-L.; Chu, C.-H.; Chen, F.-C.; Pan, C.-Y. Effects of a Floor Hockey Intervention on Motor Proficiency, Physical Fitness, and Adaptive Development in Youths with Mild Intellectual Disabilities. Int. J. Environ. Res. Public Health 2021, 18, 7059. https://doi.org/10.3390/ijerph18137059
Hsu P-J, Yeh H-L, Tsai C-L, Chu C-H, Chen F-C, Pan C-Y. Effects of a Floor Hockey Intervention on Motor Proficiency, Physical Fitness, and Adaptive Development in Youths with Mild Intellectual Disabilities. International Journal of Environmental Research and Public Health. 2021; 18(13):7059. https://doi.org/10.3390/ijerph18137059
Chicago/Turabian StyleHsu, Po-Jen, Hung-Ling Yeh, Chia-Liang Tsai, Chia-Hua Chu, Fu-Chen Chen, and Chien-Yu Pan. 2021. "Effects of a Floor Hockey Intervention on Motor Proficiency, Physical Fitness, and Adaptive Development in Youths with Mild Intellectual Disabilities" International Journal of Environmental Research and Public Health 18, no. 13: 7059. https://doi.org/10.3390/ijerph18137059
APA StyleHsu, P.-J., Yeh, H.-L., Tsai, C.-L., Chu, C.-H., Chen, F.-C., & Pan, C.-Y. (2021). Effects of a Floor Hockey Intervention on Motor Proficiency, Physical Fitness, and Adaptive Development in Youths with Mild Intellectual Disabilities. International Journal of Environmental Research and Public Health, 18(13), 7059. https://doi.org/10.3390/ijerph18137059
        
                                                
