Stereopsis and Response Times between Collegiate Table Tennis Athletes and Non-Athletes
Abstract
1. Introduction
2. Materials and Methods
2.1. Study Subjects
2.2. Measurements
2.2.1. Stereopsis
2.2.2. Eye–Hand Response Time
2.3. Statistical Analysis
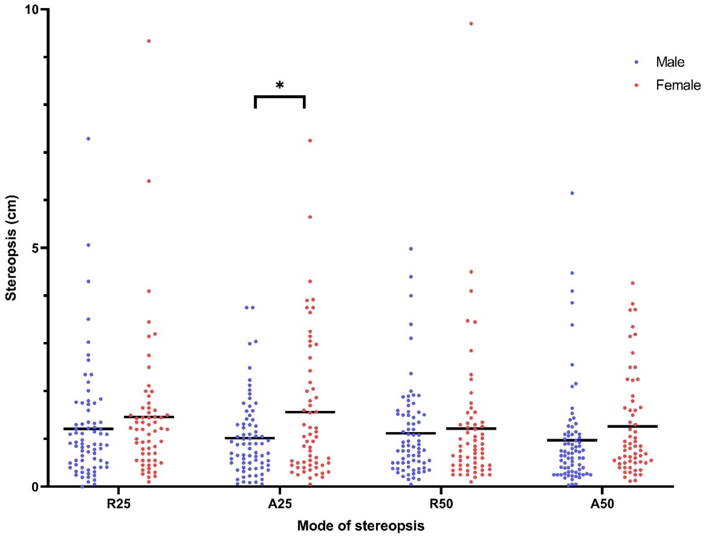
3. Results
4. Discussion
5. Conclusions
Author Contributions
Funding
Institutional Review Board Statement
Informed Consent Statement
Data Availability Statement
Conflicts of Interest
References
- Hitzeman, S.A.; Beckerman, S.A. What the literature says about sports vision. Optom. Clin. Off. Publ. Prentice Soc. 1993, 3, 145–169. [Google Scholar]
- American Optometric Association. Evidence-Based Clinical Practice Guideline: Comprehensive Pediatric Eye and Vision Examination. Optom. Clin. Prac. 2020, 2, 7. [Google Scholar]
- Moore, L.A.; Ferreira, J.T. Overview of sports vision. In Proceedings of the Opto-Ireland 2002: Optics and Photonics Technologies and Applications, Galway, Ireland, 5–6 September 2002; pp. 1017–1019. [Google Scholar]
- Nascimento, H.; Martinez-Perez, C.; Alvarez-Peregrina, C.; Sánchez-Tena, M. Citations Network Analysis of Vision and Sport. Int. J. Environ. Res. Public Health 2020, 17, 7574. [Google Scholar] [CrossRef] [PubMed]
- Appelbaum, L.G.; Erickson, G. Sports vision training: A review of the state-of-the-art in digital training techniques. Int. Rev. Sport Exerc. Psychol. 2018, 11, 160–189. [Google Scholar] [CrossRef]
- Du Toit, P.J.; Kruger, P.E.; Chamane, N.Z.; Campher, J.; Crafford, D. Sport vision assessment in soccer players and sport science. Afr. J. Phys. Health Educ. Recreat. Danc. 2009, 15, 594–604. [Google Scholar]
- Erickson, G.B. Sports vision: Vision Care for the Enhancement of Sports Performance; Elsevier Health Sciences: St. Louis, MO, USA, 2007. [Google Scholar]
- Stine, C.D.; Arterburn, M.R.; Stern, N.S. Vision and sports: A review of the literature. J. Am. Optom. Assoc. 1982, 53, 627–633. [Google Scholar]
- Ando, S.; Kida, N.; Oda, S. Central and peripheral visual reaction time of soccer players and nonathletes. Percept. Mot. Skills 2001, 92, 786–794. [Google Scholar] [CrossRef]
- Muiños, M.; Ballesteros, S. Peripheral vision and perceptual asymmetries in young and older martial arts athletes and nonathletes. Atten. Percept. Psychophys. 2014, 76, 2465–2476. [Google Scholar] [CrossRef] [PubMed]
- Zwierko, T. Differences in peripheral perception between athletes and nonathletes. J. Hum. Kinet. 2007, 19, 53–62. [Google Scholar] [CrossRef]
- Jorge, J.; Fernandes, P. Static and dynamic visual acuity and refractive errors in elite football players. Clin. Exp. Optom. 2019, 102, 51–56. [Google Scholar] [CrossRef]
- Ohkubo, S.; Katsuki, K.; Okano, R.; Naka, S.; Arimura, N.; Komatsubara, K. Kinetic and dynamic visual acuity in athletes. Jpn. J. Clin. Ophthalmol. 2000, 54, 591–594. [Google Scholar]
- Hitzeman, S.A.; Erickson, G.; Meetz, R. (BV-132) Depth Perception and Stereoacuity Analysis in an Athletic Population: Poster# 80. Optom. Vis. Sci. 2000, 77, 271. [Google Scholar]
- Salthouse, T.A. Reaction Time. Encycl. Gerontol. 2007, 2, 407–410. [Google Scholar]
- Teichner, W.H.; Krebs, M.J. Laws of visual choice reaction time. Psychol. Rev. 1974, 81, 75. [Google Scholar] [CrossRef] [PubMed]
- Liu, Y.-H.; See, L.-C.; Chang, S.-T.; Lee, J.-S.; Shieh, L.-C.; Ning, Y.-L.; Lim, A.Y.; Chen, W.-M. Simple and choice response time among elite and novice karate athletes and non-athletes. Arch. Budo 2018, 14, 267–276. [Google Scholar]
- Liu, Y.-H.; Chang, S.-T.; Chen, S.-C.; Lim, A.-Y.; Chang, C.-W.; See, L.-C. Training effect of a stationary preprogrammed target dummy on visual response time and contest performance of karate athletes. J. Sports Med. Phys. Fit. 2017, 57, 1445–1455. [Google Scholar]
- O’Connor, A.R.; Tidbury, L.P. Stereopsis: Are we assessing it in enough depth? Clin. Exp. Optom. 2018, 101, 485–494. [Google Scholar] [CrossRef] [PubMed]
- Molia, L.M.; Rubin, S.E.; Kohn, N. Assessment of stereopsis in college baseball pitchers and batters. J. Am. Assoc. Pediatr. Ophthalmol. Strabismus 1998, 2, 86–90. [Google Scholar] [CrossRef]
- Heinen, T.; Vinken, P.M. Monocular and binocular vision in the performance of a complex skill. J. Sports Sci. Med. 2011, 10, 520–527. [Google Scholar]
- Lees, A. Science and the major racket sports: A review. J. Sports Sci. 2003, 21, 707–732. [Google Scholar] [CrossRef] [PubMed]
- Zhu, X.J.; Li, Y.H.; Liu, L.Q. Functional significance of stereopsis in professional table-tennis players. J. Sports Med. Phys. Fit. 2019, 59, 1798–1804. [Google Scholar] [CrossRef]
- Ak, E.; Koçak, S. Coincidence-anticipation timing and reaction time in youth tennis and table tennis players. Percept Mot Ski. 2010, 110, 879–887. [Google Scholar] [CrossRef] [PubMed]
- Castellar, C.; Pradas, F.; Carrasco, L.; La Torre, A.D.; González-Jurado, J.A. Analysis of reaction time and lateral displacements in national level table tennis players: Are they predictive of sport performance? Int. J. Perform. Anal. Sport 2019, 19, 467–477. [Google Scholar] [CrossRef]
- Adam, J.J. Gender differences in choice reaction time: Evidence for differential strategies. Ergonomics 1999, 42, 327–335. [Google Scholar] [CrossRef]
- Bamne, S.N.; Fadia, A.D.; Jadhav, A.V. Effect of colour and gender on human reaction time. Indian J. Physiol. Pharmacol. 2011, 55, 388–389. [Google Scholar] [PubMed]
- Woods, D.L.; Wyma, J.M.; Yund, E.W.; Herron, T.J.; Reed, B. Factors influencing the latency of simple reaction time. Front. Hum. Neurosci. 2015, 9, 131. [Google Scholar] [CrossRef] [PubMed]
- Chang, S.T.; Liu, Y.H.; Lee, J.S.; See, L.C. Comparing sports vision among three groups of soft tennis adolescent athletes: Normal vision, refractive errors with and without correction. Indian J. Ophthalmol. 2015, 63, 716–721. [Google Scholar] [CrossRef] [PubMed]
- Nelder, J.A.; Wedderburn, R.W. Generalized linear models. J. R. Stat. Soc. Ser. A (Gen.) 1972, 135, 370–384. [Google Scholar] [CrossRef]
- Schützenmeister, A.; Jensen, U.; Piepho, H.-P. Checking normality and homoscedasticity in the general linear model using diagnostic plots. Commun. Stat. Simul. Comput. 2012, 41, 141–154. [Google Scholar] [CrossRef]
- Cox, D.R. Interaction. Int. Stat. Rev. Rev. Int. De Stat. 1984, 52, 1–24. [Google Scholar]
- Glantz, S.A.; Slinker, B.K. Primer of Applied Regression & Analysis of Variance, 3rd ed.; McGraw-Hill, Inc.: New York, NY, USA, 2001. [Google Scholar]
- Sullivan, G.M.; Feinn, R. Using effect size-or why the P value is not enough. J. Grad. Med Educ. 2012, 4, 279. [Google Scholar] [CrossRef] [PubMed]
- Cohen, J. Statistical Power Analysis for the Behavioral Sciences; Lawrence Erlbaum Associates: Hillsdale, NJ, USA, 1988. [Google Scholar]
- Benjamini, Y.; Hochberg, Y. Controlling the false discovery rate: A practical and powerful approach to multiple testing. J. R. Stat. Soc. Ser. B (Methodol.) 1995, 57, 289–300. [Google Scholar] [CrossRef]
- Perrone, J.A. Anisotropic responses to motion toward and away from the eye. Percept. Psychophys. 1986, 39, 1–8. [Google Scholar] [CrossRef]
- Zaroff, C.M.; Knutelska, M.; Frumkes, T.E. Variation in stereoacuity: Normative description, fixation disparity, and the roles of aging and gender. Investig. Opthalmol. Vis. Sci. 2003, 44, 891–900. [Google Scholar] [CrossRef] [PubMed]
- Motz, P.D.V.; Thomas, C. Comparison of Three Types of Vision Therapy Exercises on Visual Skills of Sports Performance. Optom. Vis. Perform. 2017, 5, 7–12. [Google Scholar]
- Gignac, G.E.; Vernon, P.A. Reaction time and the dominant and non-dominant hands: An extension of Hick’s Law. Personal. Individ. Differ. 2004, 36, 733–739. [Google Scholar] [CrossRef]
- Kalyanshetti, S.B.; Vastrad, B.C. Effect of age and gender on visual, auditory and tactile reaction time in normal subjects. Biomedicine 2012, 32, 217–221. [Google Scholar]
- Laby, D.M.; Kirschen, D.G.; Govindarajulu, U.; DeLand, P. The hand-eye coordination of professional baseball players: The relationship to batting. Optom. Vis. Sci. 2018, 95, 557–567. [Google Scholar] [CrossRef] [PubMed]
- Blake, R.; Martens, W.; Di Gianfilippo, A. Reaction time as a measure of binocular interaction in human vision. Investig. Ophthalmol. Vis. Sci. 1980, 19, 930–941. [Google Scholar]
- Cumming, B. Stereopsis: Where Depth is Seen. Curr. Biol. 2002, 12, R93–R95. [Google Scholar] [CrossRef][Green Version]
- Chowdhury, M.S.N. EEG-Based Estimation of Human Reaction Time Corresponding to Change of Visual Event. Ph.D. Thesis, Arizona State University, Tempe, AZ, USA, 2019. [Google Scholar]
- Binias, B.; Myszor, D.; Palus, H.; Cyran, K.A. Prediction of Pilot’s Reaction Time Based on EEG Signals. Front. Neuroinform. 2020, 14, 6. [Google Scholar] [CrossRef] [PubMed]
- Paulus, J.; Tong, J.; Hornegger, J.; Schmidt, M.; Eskofier, B.; Michelson, G. Extended stereopsis evaluation of professional and amateur soccer players and subjects without soccer background. Front. Psychol. 2014, 5, 1186. [Google Scholar] [CrossRef] [PubMed][Green Version]
- Boden, L.M.; Rosengren, K.J.; Martin, D.F.; Boden, S.D. A comparison of static near stereo acuity in youth baseball/softball players and non–ball players. Optom. J. Am. Optom. Assoc. 2009, 80, 121–125. [Google Scholar] [CrossRef]
- Saladin, J.J. Effects of heterophoria on stereopsis. Optom. Vis. Sci. Off. Publ. Am. Acad. Optom. 1995, 72, 487–492. [Google Scholar] [CrossRef]
- Hong, J.; Fu, J.; Wang, Y.-D.; Zhao, B.-W.; Li, L. Prevalence of heterophoria in a population of school children in central China: The Anyang Childhood Eye Study. Int. J. Ophthalmol. 2020, 13, 801. [Google Scholar] [CrossRef] [PubMed]




| Variables | Total (n = 136) | Table Tennis Athletes (n = 80) | Non-Athletes (n = 56) | p | 
|---|---|---|---|---|
| Male (n) | 49 | 25 | ||
| Age (mean ± SD, years) | 22.07 ± 2.62 | 21.49 ± 2.1 | 22.32 ± 3.45 | 0.62 1 | 
| BMI (mean ± SD, kg/m2) | 21.96 ± 3.28 | 21.76 ± 2.73 | 22.34 ± 4.2 | 0.54 1 | 
| Right-handedness | 62 (83.78%) | 41 (83.67%) | 21 (84.0%) | 0.76 2 | 
| PC hours (mean ± SD) | 20.8 ± 24.12 | 18.94 ± 23.36 | 24.38 ± 25.62 | 0.36 1 | 
| Game hours (mean ± SD) | 15.35 ± 24.36 | 13.13 ± 17.5 | 19.62 ± 33.94 | 0.38 1 | 
| Female (n) | 31 | 31 | ||
| Age (mean ± SD, years) | 21.95 ± 2.86 | 20.83 ± 1.22 | 23.06 ± 3.54 | 0.002 1 | 
| BMI (mean ± SD, kg/m2) | 21.56 ± 3.69 | 21.26 ± 2.84 | 21.85 ± 4.39 | 0.53 1 | 
| Right-handedness | 56 (90.32%) | 27 (87.1%) | 29 (93.5%) | 0.67 2 | 
| PC hours (mean ± SD) | 14.66 ± 17.2 | 8.38 ± 9.68 | 20.53 ± 20.51 | 0.005 1 | 
| Game hours (mean ± SD) | 8.01 ± 14.74 | 9.5 ± 16.84 | 6.56 ± 12.49 | 0.44 1 | 
| SRT_Zero | SRT_Shoulder | CRT_Zero | CRT_Shoulder | CRT_Random | |
|---|---|---|---|---|---|
| R25 | 0.09 | 0.1 | 0.02 | 0.001 | 0.03 | 
| A25 | 0.02 | −0.04 | −0.03 | −0.01 | −0.07 | 
| R50 | 0.12 | 0.13 | 0.09 | 0.18 | 0.14 | 
| A50 | 0.08 | 0.02 | 0.07 | 0.09 | 0.05 | 
| Publisher’s Note: MDPI stays neutral with regard to jurisdictional claims in published maps and institutional affiliations. | 
© 2021 by the authors. Licensee MDPI, Basel, Switzerland. This article is an open access article distributed under the terms and conditions of the Creative Commons Attribution (CC BY) license (https://creativecommons.org/licenses/by/4.0/).
Share and Cite
Lee, J.-S.; Chang, S.-T.; Shieh, L.-C.; Lim, A.-Y.; Peng, W.-S.; Chen, W.-M.; Liu, Y.-H.; See, L.-C. Stereopsis and Response Times between Collegiate Table Tennis Athletes and Non-Athletes. Int. J. Environ. Res. Public Health 2021, 18, 6287. https://doi.org/10.3390/ijerph18126287
Lee J-S, Chang S-T, Shieh L-C, Lim A-Y, Peng W-S, Chen W-M, Liu Y-H, See L-C. Stereopsis and Response Times between Collegiate Table Tennis Athletes and Non-Athletes. International Journal of Environmental Research and Public Health. 2021; 18(12):6287. https://doi.org/10.3390/ijerph18126287
Chicago/Turabian StyleLee, Jiahn-Shing, Shih-Tsung Chang, Li-Chuan Shieh, Ai-Yin Lim, Wei-Sheng Peng, Wei-Min Chen, Yen-Hsiu Liu, and Lai-Chu See. 2021. "Stereopsis and Response Times between Collegiate Table Tennis Athletes and Non-Athletes" International Journal of Environmental Research and Public Health 18, no. 12: 6287. https://doi.org/10.3390/ijerph18126287
APA StyleLee, J.-S., Chang, S.-T., Shieh, L.-C., Lim, A.-Y., Peng, W.-S., Chen, W.-M., Liu, Y.-H., & See, L.-C. (2021). Stereopsis and Response Times between Collegiate Table Tennis Athletes and Non-Athletes. International Journal of Environmental Research and Public Health, 18(12), 6287. https://doi.org/10.3390/ijerph18126287
 
         
                                                

 
       