Emerging Technologies for Degradation of Dichlorvos: A Review
Abstract
1. Introduction
2. Toxicological Effects of DDVP
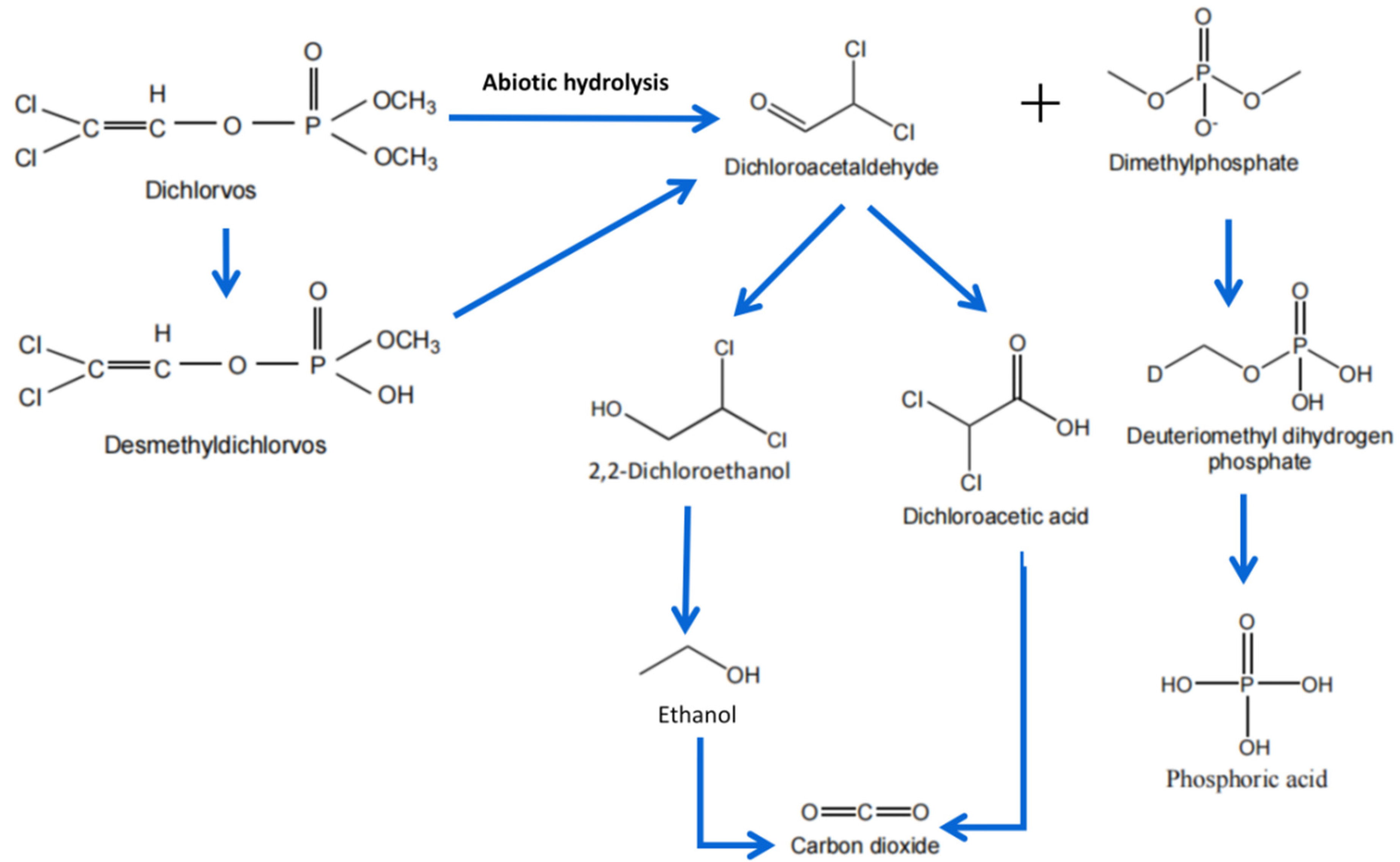
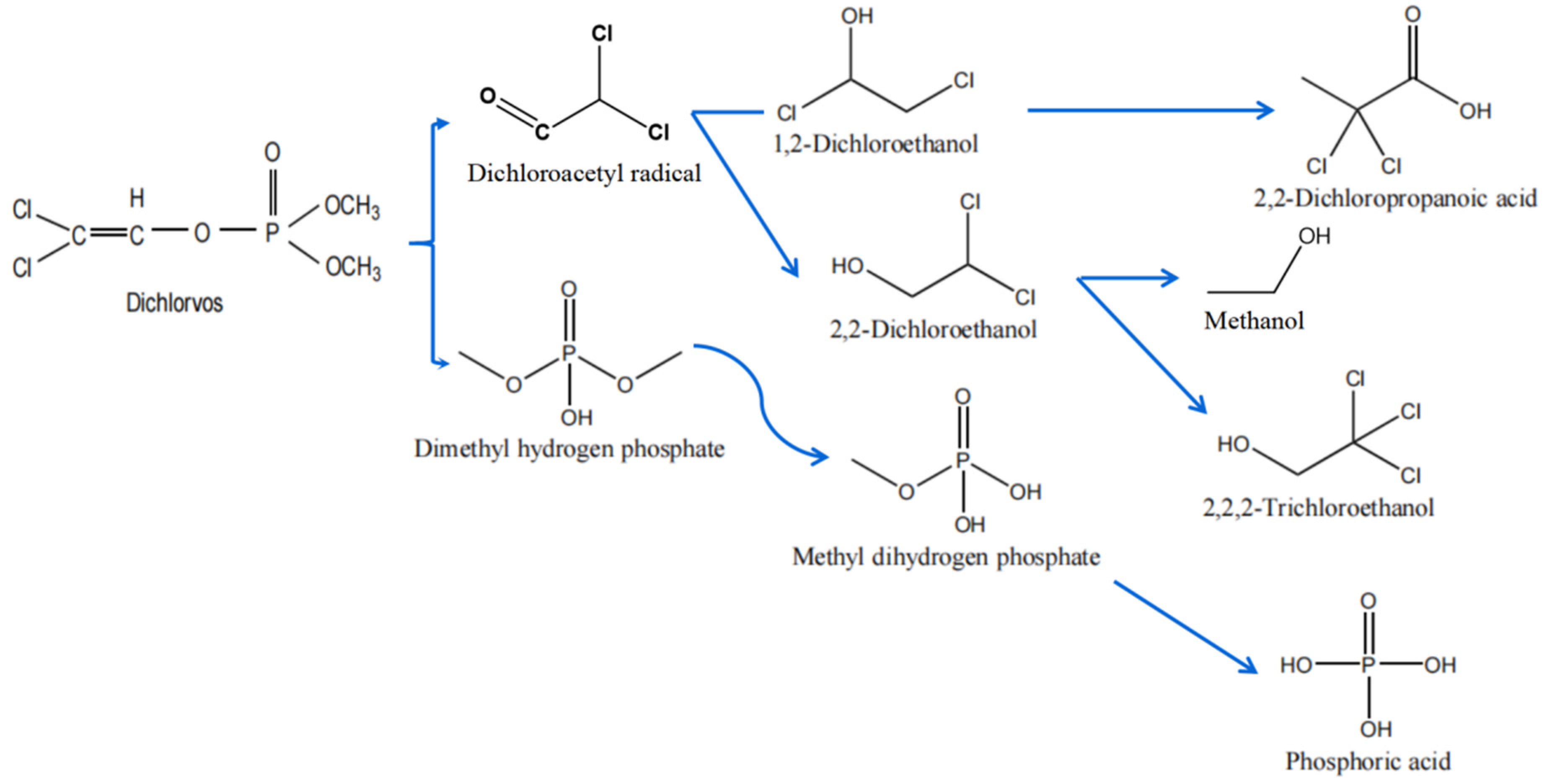
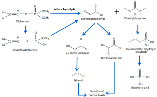
3. Physicochemical Transformation of DDVP
4. Microbial Degradation of DDVP
5. Molecular Mechanism of DDVP Biodegradation
6. Conclusions and Future Perspectives
Author Contributions
Funding
Conflicts of Interest
Abbreviations
| DDVP | O,O-Dimethyl O-(2,2-dichlorovinyl)phosphate |
| OPs | Organophosphorus pesticides |
| WHO | World Health Organization |
| AChE | Acetylcholinesterase |
| BuCh | Butyrylcholinesterase |
| TRI | Toxics Release Inventory |
| AOPs | Advanced oxidation processes |
| SMC | Spent mushroom compost |
| DMP | Dimethyl phosphate |
| DCAA | Dichloroacetic acid |
| DCE | Dichloroethane |
| TCE | Trichloroethane |
| EDCA | Ethyl dichloroacetate |
References
- Okoroiwu, H.U.; Iwara, I.A. Dichlorvos toxicity: A public health perspective. Interdiscip. Toxicol. 2018, 11, 129–137. [Google Scholar] [CrossRef] [PubMed]
- Eroğlu, H. Toxic nuclear effects of the organophosphorus insecticide dichlorvos (DDVP) in human peripheral blood lympho-cytes. Acta Biol. Hung. 2009, 60, 409–416. [Google Scholar] [CrossRef]
- Cancer IAFR. Agents Classified by the IARC Monographs; Cancer IAFR: Lyon, France, 2021. [Google Scholar]
- Koutros, S.; Mahajan, R.; Zheng, T.; Hoppin, J.A.; Ma, X.; Lynch, C.F.; Blair, A.; Alavanja, M.C.R. Dichlorvos exposure and human cancer risk: Results from the Agricultural Health Study. Cancer Causes Control. 2008, 19, 59–65. [Google Scholar] [CrossRef] [PubMed]
- U.S. Department of Health and Human Services. Public Health Service Agency for Toxic Substances and Disease Registry. 1994. Available online: https://www.hhs.gov/ (accessed on 15 January 2021).
- Montgomery, M.P.; Kamel, F.; Saldana, T.M.; Alavanja, M.C.R.; Sandler, D.P. Incident diabetes and pesticide exposure among licensed pesticide applicators: Agricultural health study, 1993-2003. Am. J. Epidemiol. 2008, 167, 1235–1246. [Google Scholar] [CrossRef] [PubMed]
- Binukumar, B.K.; Bal, A.; Kandimalla, R.J.; Gill, K.D. Nigrostriatal neuronal death following chronic dichlorvos exposure: Crosstalk between mitochondrial impairments, alpha synuclein aggregation, oxidative damage and behavioral changes. Mol. Brain. 2010, 3, 35. [Google Scholar] [PubMed]
- Cao, J.; Wang, M.; She, Y.; Abd El-Aty, A.M.; Hacımüftüoğlu, A.; Wang, J.; Yan, M.; Hong, S.; Lao, S.; Wang, Y. Rapid colorimetric determination of the pesticides carbofuran and dichlorvos by exploiting their inhibitory effect on the aggregation of peroxi-dase-mimicking platinum nanoparticles. Microchim. Acta 2019, 186, 390. [Google Scholar] [CrossRef] [PubMed]
- Pang, S.; Lin, Z.; Zhang, Y.; Zhang, W.; Alansary, N.; Mishra, S.; Bhatt, P.; Chen, S. Insights into the toxicity and degradation mechanisms of imidacloprid via physicochemical and microbial approaches. Toxics 2020, 8, 65. [Google Scholar] [CrossRef]
- Huang, Y.; Lin, Z.; Zhang, W.; Pang, S.; Bhatt, P.; Rene, E.; Kumar, A.; Chen, S. New insights into the microbial degradation of D-cyphenothrin in contaminated water/soil environments. Microorganisms 2020, 8, 473. [Google Scholar] [CrossRef] [PubMed]
- Feng, Y.; Huang, Y.; Zhan, H.; Bhatt, P.; Chen, S. An overview of strobilurin fungicide degradation: Current status and future perspective. Front. Microbiol. 2020, 11, 389. [Google Scholar] [CrossRef] [PubMed]
- Birolli, W.G.; Vacondio, B.; Alvarenga, N.; Seleghim, M.; Porto, A. Enantioselective biodegradation of the pyrethroid (+/−)-lambda-cyhalothrin by marine-derived fungi. Chemosphere 2018, 197, 651–660. [Google Scholar] [CrossRef]
- Chen, S.; Dong, Y.H.; Chang, C.; Deng, Y.; Zhang, X.F.; Zhong, G.; Song, H.; Hu, M.; Zhang, L.H. Characterization of a novel cyfluthrin-degrading bacterial strain Brevibacterium aureum and its biochemical degradation pathway. Bioresour. Technol. 2013, 132, 16–23. [Google Scholar] [CrossRef]
- Cycoń, M.; Mrozik, A.; Piotrowska-Seget, Z. Bioaugmentation as a strategy for the remediation of pesticide-polluted soil: A review. Chemosphere 2017, 172, 52–71. [Google Scholar] [CrossRef] [PubMed]
- Arora, P.K.; Srivastava, A.; Garg, S.K.; Singh, V.P. Recent advances in degradation of chloronitrophenols. Bioresour. Technol. 2018, 250, 902–909. [Google Scholar] [CrossRef] [PubMed]
- Birolli, W.G.; Lima, R.N.; Porto, A. Applications of marine-derived microorganisms and their enzymes in biocatalysis and biotransformation, the underexplored potentials. Front. Microbiol. 2019, 10, 1453. [Google Scholar] [CrossRef] [PubMed]
- Bhatt, P.; Rene, E.R.; Kumar, A.J.; Zhang, W.; Chen, S. Binding interaction of allethrin with esterase: Bioremediation potential and mechanism. Bioresour. Technol. 2020, 315, 123845. [Google Scholar] [CrossRef]
- Mishra, S.; Zhang, W.; Lin, Z.; Pang, S.; Huang, Y.; Bhatt, P.; Chen, S. Carbofuran toxicity and its microbial degradation in contaminated environments. Chemosphere 2020, 259, 127419. [Google Scholar] [CrossRef]
- Zhang, W.; Pang, S.; Lin, Z.; Mishra, S.; Bhatt, P.; Chen, S. Biotransformation of perfluoroalkyl acid precursors from various environmental systems: Advances and perspectives. Environ. Pollut. 2021, 268, 115908. [Google Scholar] [CrossRef]
- Pooja, T.; Priyanga, M.; Parag, R. Improvement in biological oxidation process for the removal of dichlorvos from aqueous solutions using pretreatment based on hydrodynamic cavitation. J. Water Process. Eng. 2018, 23, 20–26. [Google Scholar]
- Ben Salem, I.; Boussabbeh, M.; Bacha, H.; Abid, S. Dichlorvos-induced toxicity in HCT116 cells: Involvement of oxidative stress and apoptosis. Pestic. Biochem. Physiol. 2015, 119, 62–66. [Google Scholar] [CrossRef]
- WHO. Dichlorvos: Environmental Health Criteria; WHO: Geneva, Switzerland, 1989. [Google Scholar]
- Bui-Nguyen, T.M.; Baer, C.E.; Lewis, J.A.; Yang, D.; Lein, P.J.; Jackson, D.A. Dichlorvos exposure results in large scale disruption of energy metabolism in the liver of the zebrafish, Danio rerio. BMC Genom. 2015, 16, 853. [Google Scholar] [CrossRef]
- Rath, S.; Misra, B.N. Toxicological effects of dichlorvos (DDVP) on brain and liver acetylcholinesterase (AChE) activity of Tilapia mossambi-ca, peters. Toxicology 1981, 19, 239–245. [Google Scholar] [CrossRef]
- Okamura, A.; Kamijima, E.; Shibata, K.; Ohtani, K.; Takagi, J.; Ueyama, Y.; Watanabe, M.; Omura, H.; Wang, G.; Ichihara, T.; et al. Comprehensive evaluation of the testicular toxicity of dichlorvos in Wistar rats. Toxicology 2005, 213, 129–137. [Google Scholar] [CrossRef] [PubMed]
- Imam, A.; Ogunniyi, A.; Ibrahim, A.; Abdulmajeed, W.I.; Aboyeji, L.O.; Lawan, A.H.; Sulaimon, F.A.; Adana, M.Y.; Ajao, S.M. Dichlorvos induced oxidative and neuronal responses in rats: Mitigative efficacy of Nigella sativa (Black Cumin). Niger. J. Physiol. Sci. 2018, 33, 83–88. [Google Scholar] [PubMed]
- Sunkaria, A.; Wani, W.Y.; Sharma, D.R.; Gill, K.D. Dichlorvos exposure results in activation induced apoptotic cell death in primary rat microglia. Chem. Res. Toxicol. 2012, 25, 1762–1770. [Google Scholar] [CrossRef]
- Lucić, A.; Bradamante, V.; Radić, B.; Peraica, M.; Domijan, A.M.; Fuchs, R.; Stavljenić-Rukavina, A. The effect of dichlorvos treatment on butyrylcholinesterase activity and lipid metabolism in rats. Arch. Ind. Hyg. Toxicol. 2002, 53, 275–282. [Google Scholar]
- Hayes, W.J. Pesticides Studied in Man; Williams & Wilkins: Baltimore, MA, USA, 1982. [Google Scholar]
- U.E.P. Agency. Dichlorvos: Initiation of special review. Fed. Regist. 1988, 53, 5549–6642. [Google Scholar]
- Binukumar, B.K.; Gill, K.D. Cellular and molecular mechanisms of dichlorvos neurotoxicity: Cholinergic, nonchlolinergic, cell signaling, gene expression and therapeutic aspects. Indian J. Exp. Boil. 2010, 48, 697–709. [Google Scholar]
- Zhang, Y.; You, J.Z.; Zhou, Y.; Zhang, P.W.; Qin, D.Q.; Zhang, Z.X. The effect of dichlorvos on control of drosophila and its safety evaluation under different application methods. Environ. Sci. Pollut. Res. 2017, 24, 22940–22947. [Google Scholar] [CrossRef]
- Hoang, T.C.; Rand, G.M. Acute toxicity and risk assessment of permethrin, naled, and dichlorvos to larval butterflies via in-gestion of contaminated foliage. Chemosphere 2015, 120, 714–721. [Google Scholar] [CrossRef]
- Kunwar, P.S.; Parajuli, K.; Badu, S.; Sapkota, B.; Sinha, A.K.; De Boeck, G.; Sapkota, K. Mixed toxicity of chlorpyrifos and di-chlorvos show antagonistic effects in the endangered fish species golden mahseer (Tor putitora). Comp. Biochem. Physiol. 2021, 240, 108–923. [Google Scholar]
- Nan, P.; Yan, S.; Du, Q.; Li, L.; Chen, J.; Chang, Z. Toxicity effect of dichlorvos on loach (Misgurnus anguillicaudatus) assessed by micronucleus test, hepatase activity analysis and comet assay. Toxicol. Ind. Health 2013, 31, 566–575. [Google Scholar] [CrossRef] [PubMed]
- Al-Zubaidy, M.; Mousa, Y.; Hasan, M.; Mohamma, F.K. Acute toxicity of veterinary and agricultural formulations of organophosphates dichlorvos and diazinon in chicks. Arh. Hig. Rada. Toksiko. 2011, 62, 317–323. [Google Scholar] [CrossRef] [PubMed]
- Sun, K.F.; Xu, X.R.; Duan, S.S.; Wang, Y.S.; Cheng, H.; Zhang, Z.W.; Zhou, G.J.; Hong, Y.G. Ecotoxicity of two organophosphate pesticides chlorpyrifos and dichlorvos on non-targeting cyanobacteria Microcystis wesenbergii. Ecotoxicology 2015, 24, 1498–1507. [Google Scholar] [CrossRef]
- Guvenç, D.; Aksoy, A.; Kursad, Y.; Atmaca, E.; Yavuz, O. 3-Nitrotyrosine levels in dichlorvos-induced neurotoxicity. Arch. Ind. Hyg. Toxicol. 2014, 65, 109–112. [Google Scholar] [CrossRef]
- Gaspari, R.J.; Dunn, C. Dichlorvos exposure to the Kölliker-fuse nuclei is sufficient but not necessary for OP induced apnea. Neurotoxicology 2013, 39, 132–137. [Google Scholar] [CrossRef]
- Chaudhary, B.; Bist, R. Protective manifestation of bacoside A and bromelain in terms of cholinesterases, gamma-amino butyric acid, serotonin level and stress proteins in the brain of dichlorvos-intoxicated mice. Cell Stress Chaperon. 2017, 22, 371–376. [Google Scholar] [CrossRef] [PubMed]
- Nwankwo, R.C.; Ibegbu, M.D.; Onyekwelu, K.C.; Ejezie, C.S.; Ikekpeazu, J.E.; Ejezie, F.E. Biochemical and histopathological effects of sub-acute exposure of albino rats to fumigants–dichlorvos and cypermethrin. Interdiscip. Toxicol. 2019, 12, 180–185. [Google Scholar] [CrossRef] [PubMed]
- Flora, S.J. Arsenic and dichlorvos: Possible interaction between two environmental contaminants. J. Trace Elements Med. Biol. 2016, 35, 43–60. [Google Scholar] [CrossRef] [PubMed]
- Mishra, S.; Pang, S.; Zhang, W.; Lin, Z.; Bhatt, P.; Chen, S. Insights into the microbial degradation and biochemical mechanisms of carbamates. Chemosphere 2021, 279, 130500. [Google Scholar] [CrossRef]
- Bustos, N.; Cruz-Alcalde, A.; Iriel, A.; Cirelli, A.F.; Sans, C. Sunlight and UVC-254 irradiation induced photodegradation of organophosphorus pesticide dichlorvos in aqueous matrices. Sci. Total. Environ. 2019, 649, 592–600. [Google Scholar] [CrossRef]
- Joshi, R.K.; Gogate, P.R. Degradation of dichlorvos using hydrodynamic cavitation based treatment strategies. Ultrason. Sonochem. 2012, 19, 532–539. [Google Scholar] [CrossRef]
- Yan, X.J.; Yu, S.L.; Fu, S.T.; Zhao, F.B.; An, Y.T. Pollution removal efficiency of powdered activated carbon and microfiltration integrated process. Huan Jing Ke Xue 2008, 29, 87–91. [Google Scholar] [PubMed]
- Bai, Y.; Chen, J.; Mu, H.; Zhang, C.; Li, B. Reduction of dichlorvos and omethoate residues by O2 plasma treatment. J. Agric. Food Chem. 2009, 57, 6238–6245. [Google Scholar] [CrossRef] [PubMed]
- Li, Z.G.; Wang, W.Q.; Xi, H.L.; Zhao, H.J. Decontamination of dichlorvos by hydrogen peroxide. Adv. Mater. Res. 2013, 781–784, 59–62. [Google Scholar] [CrossRef]
- Lu, M.C.; Chen, J.N.; Chang, C.P. Oxidation of dichlorvos with hydrogen peroxide using ferrous ion as catalyst. J. Hazard. Mater. 1999, 65, 277–288. [Google Scholar] [CrossRef]
- Cruz-Alcalde, A.; Sans, C.; Esplugas, S. Priority pesticides abatement by advanced water technologies: The case of acetamiprid removal by ozonation. Sci. Total. Environ. 2017, 599–600, 1454–1461. [Google Scholar] [CrossRef] [PubMed]
- Gomez, S.; Lerici, L.; Saux, C.; Perez, A.L.; Brondino, C.D.; Pierella, L.; Pizzio, L. Fe/ZSM-11 as a novel and efficient photocatalyst to degrade dichlorvos on water solutions. Appl. Catal. B Environ. 2017, 202, 580–586. [Google Scholar] [CrossRef]
- Mehrotra, N.; Tripathi, R.M.; Zafar, F.; Singh, M.P. Catalytic degradation of dichlorvos using biosynthesized zero valent iron nanoparticles. IEEE Trans. Nanobiosci. 2017, 16, 280–286. [Google Scholar] [CrossRef]
- Bai, Y.; Chen, J.; Yang, Y.; Guo, L.; Zhang, C. Degradation of organophosphorus pesticide induced by oxygen plasma: Effects of operating parameters and reaction mechanisms. Chemosphere 2010, 81, 408–414. [Google Scholar] [CrossRef]
- Hu, Y.; Bai, Y.; Yu, H.; Zhang, C.; Chen, J. Degradation of selected organophosphate pesticides in wastewater by dielectric barrier discharge plasma. Bull. Environ. Contam. Toxicol. 2013, 91, 314–319. [Google Scholar] [CrossRef]
- Von Der Wellen, J.; Bierwisch, A.; Worek, F.; Thiermann, H.; Wille, T. Kinetics of pesticide degradation by human fresh frozen plasma (FFP) in vitro. Toxicol. Lett. 2016, 244, 124–128. [Google Scholar] [CrossRef] [PubMed]
- Asemoloye, M.D.; Jonathan, S.G.; Ahmad, R. Degradation of 2,2-dichlorovinyl dimethyl phosphate (dichlorvos) through the rhizosphere interaction between Panicum maximum Jacq and some selected fungi. Chemosphere 2019, 221, 403–411. [Google Scholar] [CrossRef]
- Bhatt, P.; Gangola, S.; Bhandari, G.; Zhang, W.; Maithani, D.; Mishra, S.; Chen, S. New insights into the degradation of synthetic pollutants in contaminated environments. Chemosphere 2021, 268, 128827. [Google Scholar] [CrossRef]
- Gaonkar, O.; Nambi, I.M.; Suresh Kumar, G. Biodegradation kinetics of dichlorvos and chlorpyrifos by enriched bacterial cultures from an agricultural soil. Bioremediat. J. 2019, 23, 259–276. [Google Scholar] [CrossRef]
- Feng, Y.; Zhang, W.; Pang, S.; Lin, Z.; Zhang, Y.; Huang, Y.; Pankaj, B.; Chen, S. Kinetics and new mechanism of azoxystrobin biodegradation by an Ochrobactrum anthropi strain SH14. Microorganisms 2020, 8, 625. [Google Scholar] [CrossRef]
- Sun, J.; Yuan, X.; Li, Y.; Wang, X.; Chen, J. The pathway of 2,2-dichlorovinyl dimethyl phosphate (DDVP) degradation by Trichoderma atroviride strain T23 and characterization of a paraoxonase-like enzyme. Appl. Microbiol. Biotechnol. 2019, 103, 8947–8962. [Google Scholar] [CrossRef]
- Jiang, B.; Zhang, N.; Xing, Y.; Lian, L.N.; Chen, Y.; Zhang, D.; Li, G.; Sun, G.; Song, Y. Microbial degradation of organophosphorus pesticides: Novel degraders, kinetics, functional genes, and genotoxicity assessment. Environ. Sci. Pollut. Res. Int. 2019, 5, 21668–21681. [Google Scholar] [CrossRef]
- Meng, D.; Jiang, W.; Huang, L.; Zhai, L.; Zhang, L.; Guan, Z.; Cai, Y.; Liao, X. An alkaline phosphatase from Bacillus amyloliquefaciens YP6 of new application in biodegradation of five broad-spectrum organophosphorus pesticides. J. Environ. Sci. Health B 2019, 3, 336–343. [Google Scholar] [CrossRef]
- Mulla, S.I.; Hu, A.; Sun, Q.; Li, J.; Suanon, F.; Ashfaq, M.; Yu, C.P. Biodegradation of sulfamethoxazole in bacteria from three different origins. J. Environ. Manag. 2018, 206, 93–102. [Google Scholar] [CrossRef]
- Sun, W.; Chen, Y.; Liu, L.; Tang, J.; Chen, J.; Liu, P. Conidia immobilization of T-DNA inserted Trichoderma atroviride mutant AMT-28 with dichlorvos degradation ability and exploration of biodegradation mechanism. Bioresour. Technol. 2010, 101, 9197–9203. [Google Scholar] [CrossRef]
- Parte, S.G.; Mohekar, A.D.; Kharat, A.S. Aerobic dichlorvos degradation by Pseudomonas stutzeri smk: Complete pathway and implications for toxicity in Mus musculus. Iran. J. Microbiol. 2020, 12, 138–147. [Google Scholar] [CrossRef]
- Ning, J.; Bail, Z.; Gang, G.; Jiang, D.; Hu, Q.; He, J.; Zhang, H.; Zhuang, G. Functional assembly of bacterial communities with activity for the biodegradation of an organophosphorus pesticide in the rape phyllosphere. FEMS Microbiol. Lett. 2010, 306, 135–143. [Google Scholar] [CrossRef]
- Singh, B.K.; Walker, A. Microbial degradation of organophosphorus compounds. FEMS Microbiol. Rev. 2006, 30, 428–471. [Google Scholar] [CrossRef]
- Bhatt, P.; Joshi, T.; Bhatt, K.; Zhang, W.; Huang, Y.; Chen, S. Binding interaction of glyphosate with glyphosate oxidoreductase and C–P lyase: Molecular docking and molecular dynamics simulation studies. J. Hazard. Mater. 2021, 409, 124927. [Google Scholar] [CrossRef]
- Huang, Y.; Zhang, W.; Pang, S.; Chen, J.; Bhatt, P.; Mishra, S.; Chen, S. Insights into the microbial degradation and catalytic mechanisms of chlorpyrifos. Environ. Res. 2021, 194, 110660. [Google Scholar] [CrossRef] [PubMed]
- Chen, S.H.; Liu, C.L.; Peng, C.Y.; Liu, H.M.; Hu, M.Y.; Zhong, G.H. Biodegradation of chlorpyrifos and its hydrolysis product 3,5,6-trichloro-2-pyridinol by a new fungal strain Cladosporium cladosporioides Hu-01. PLoS ONE 2012, 7, e47205. [Google Scholar] [CrossRef]
- Zhan, H.; Feng, Y.; Fan, X.; Chen, S. Recent advances in glyphosate biodegradation. Appl. Microbiol. Biotechnol. 2018, 102, 5033–5043. [Google Scholar] [CrossRef] [PubMed]
- Spina, F.; Cecchi, G.; Torres, A.Y.L.; Pecoraro, L.; Russo, F.; Wu, B.; Cai, L.; Liu, X.Z.; Tosi, S.; Varese, G.C.; et al. Fungi as a toolbox for sustainable bioremediation of pesticides in soil and water. Plant Biosyst. Int. J. Deal. Asp. Plant Biol. 2018, 152, 474–488. [Google Scholar] [CrossRef]
- Bhatt, P.; Verma, A.; Gangola, S.; Bhandari, G.; Chen, S. Microbial glycoconjugates in organic pollutant bioremediation: Recent advances and applications. Microb. Cell Fact. 2021, 20, 72. [Google Scholar] [CrossRef] [PubMed]
- Maya, K.; Upadhyay, S.; Singh, R.; Dubey, S.K. Degradation kinetics of chlorpyrifos and 3,5,6-trichloro-2-pyridinol (TCP) by fungal communities. Bioresour. Technol. 2012, 126, 216–223. [Google Scholar] [CrossRef]
- Gao, Y.; Chen, S.H.; Hu, M.Y.; Hu, Q.B.; Luo, J.J.; Li, Y.N. Purification and characterization of a novel chlorpyrifos hydrolase from Cladosporium cladosporioides Hu-01. PLoS ONE 2012, 7, e38137. [Google Scholar] [CrossRef]
- Wang, N.N.; Yuan, L.; Dai, H.; Han, Z.K.; Zhao, M. Effect of PON1 on dichlorvos toxico kinetics. Emerg. Med. J. 2010, 28, 313–315. [Google Scholar] [CrossRef] [PubMed]
- Oncescu, T.; Oancea, P.; Enache, M.; Popescu, G.; Dumitru, L.; Kamekura, M. Halophilic bacteria are able to decontaminate dichlorvos, a pesticide, from saline environments. Cent. Eur. J. Biol. 2007, 2, 563–573. [Google Scholar] [CrossRef]
- Bhatt, P.; Zhou, X.; Huang, Y.; Zhang, W.; Chen, S. Characterization of the role of esterases in the biodegradation of organophosphate, carbamate, and pyrethroid pesticides. J. Hazard. Mater. 2021, 411, 125026. [Google Scholar] [CrossRef]
- Bhatt, P.; Bhatt, K.; Sharma, A.; Zhang, W.; Mishra, S.; Chen, S. Biotechnological basis of microbial consortia for the removal of pesticides from the environment. Crit. Rev. Biotechnol. 2021, 41, 317–338. [Google Scholar] [CrossRef]



| No. | Study Sample/ Sample Sources | Concentration/ Volume of Dichlorvos | Specific Statement | Reference |
|---|---|---|---|---|
| 1 | Zebrafish | 6, 19, 32 mg/L | Neuromuscular impairment arise from dichlorvos | [23] |
| 2 | Tilapia | 0.5 mg/L | Significant inhibition of brain and liver acetylcholinesterase (AChE) activity | [24] |
| 3 | Drosophila | 775 mg/kg | Mortality increased with increased dichlorvos dose | [32] |
| 4 | Larval butterflies | 5–994 mg/L | Dichlorvos did not appear to affect life cycle of surviving caterpillars | [33] |
| 5 | Tor putitora | 12.964 mg/L | Exposure to dichlorvos induced significant drop in oxygen consumption | [34] |
| 6 | Loach | 4.56, 5.76, 7.12, 8.96, 11.20 μg/L | Decreased glutamic-pyruvic transaminase and glutamic-oxalacetic transaminase activity of liver | [35] |
| 7 | Chicks | 6.51 mg/kg | Dichlorvos significantly reduced plasma and brain cholinesterase activity | [36] |
| 8 | Cyanobacteria | 261.16 μmol/L | Significantlydecreased chlorophyll content | [37] |
| 9 | Wistar rats | 0, 1, 2, 4 mg/kg | Decreased sperm motility | [25] |
| 10 | Rats | 6 mg/kg | Severe toxic manifestations in motor and memory functions | [26] |
| 11 | Primary rats | 10 μmol/L | Microglial activation and ultimately apoptotic cell death | [27] |
| 12 | Rats | 8 mg/kg | Decreased butyrylcholinesterase (BuChE) activity | [28] |
| 13 | Rats | 1.8, 9 mg/kg | Acute exposure to dichlorvos led to nitro-oxidative stress in the brain | [38] |
| 14 | Wister rats | 1.8, 100 mg/kg | Decreased respiratory rate | [39] |
| 15 | Mice | 40 mg/kg | Exposure to dichlorvos led to neuronal damage | [40] |
| 16 | Albino rats | 50 mL dichlorvos/50 mL distilled water | Lungs and liver revealed moderate lymphocytic infiltration and hepatocytic steatosis after gradually exposed to dichlorvos | [41] |
| 17 | Human | Unknown | A woman died a day after ingesting dichlorvos | [29] |
| 18 | Human | Unknown | Dichlorvos known to inhibit plasma, erythrocyte, and brain AChE activity | [42] |
| 19 | Human | Unknown | An infant died after ingesting cake-like bait containing dichlorvos | [29] |
| 20 | Cells | 5, 10, 20, 40, 80, 100 mg/L | Toxic nuclear effects in human peripheral blood lymphocytes | [2] |
| 21 | Cells | 50–500 μmol/L | Cell death increasing accompanied by mitochondrial membrane potential decrease | [21] |
| No. | Study Sample/ Sample Sources | Physicochemical Method Used | Medium | Specific Statement | Reference |
|---|---|---|---|---|---|
| 1 | Sunlight/UV | Photocatalysis | Water | pH 3 conditions increased dichlorvos photodegradation up to 32%, with degradation rate constant of 0.064 h−1 | [44] |
| 2 | Hydrodynamic cavitation reactor/Fenton | Advanced oxidation processes (AOPs) | Water | 91.5% dichlorvos was degraded in 1 h | [45] |
| 3 | Activated carbon | Adsorption | Water | Average removal rate of dichlorvos was 95.1% | [46] |
| 4 | O2 plasma | AOPs | Air | Most of the dichlorvos was removed in 120 s | [47] |
| 5 | Fe ZSM-11 | Photocatalysis | Water | Dichlorvos was degraded in 120 min (6% Fe ZSM-11) | [51] |
| 6 | Zero valent iron nanoparticles | Photocatalysis | Water | Pesticide was removed in 1 h | [52] |
| 7 | Fenton/H2O2 | AOPs | Water | In acidic and saturated dissolved oxygen conditions, it took nearly 90 min to push degradation ratio up to 98% | [49] |
| 8 | H2O2 | AOPs | Air | 80.7% of dichlorvos vapor was decontaminated by 110–130 mg/m3 of H2O2 aerosol in 60 min | [48] |
| 9 | O3 | AOPs | Water | Ozone plays an important role in dichlorvos degradation | [50] |
| 10 | Dielectric barrier discharge (DBD) plasma | Free radicals | Water | At lower initial concentration, the disappearance rate of dichlorvos followed first-order rate law; at higher initial concentration, the disappearance rate of dichlorvos shifted to zero-order rate law | [54] |
| 11 | Fresh frozen plasma | AOPs | Air | Dichlorvos half-life is 17.9 min | [55] |
| No. | Strain or Community | Sample Sources | Detected Metabolites | Comments | Reference |
|---|---|---|---|---|---|
| 1 | Cunninghamella elegans | Surroundings of sewage disposing outlet from agro-pesticide manufacturing in Owo, Nigeria | O,O-dimethyl phosphonic ester, desmethyl dichlorvos, also known as 2,2-dichlorovinyl O-methylphosphate, and O,O,O-trimethyl phosphoric ester, also known as dichlorvos (2,2-dichlorovinyl-O,O-dimethyl phosphate) | Cunninghamella elegans strain was the most dominant fungal strain in pesticide-polluted soil samples with 37 appearances in 50 samples (74% incidence), Talaromycesatro roseus had 33 appearances (66% incidence), Aspergillus oryzae had 32 appearances (64% incidence), Fusarium solani and Penicillium sp. both had 26 appearances (52% incidence). | [56] |
| 2 | Fusarium solani | ||||
| 3 | Talaromycesatro roseus | ||||
| 4 | Aspergillus oryzae | ||||
| 5 | Penicillium sp. | ||||
| 6 | Ochrobactrum intermedium DV-B31 | Farmland annually sprayed with organophosphorus pesticides | No data | 96.38% dichlorvos was degraded by DV-B31 in 8 days | [61] |
| 7 | Pseudomonas aeruginosa | Agricultural field inPunjab, India | No data | 90% of dichlorvos was degraded in around 20 days | [58] |
| 8 | Bacillus amyloliquefaciens YP6 | Phosphate mine in Guizhou Province, China | No data | 53% of dichlorvos was degraded in 1 h | [62] |
| 9 | Trichoderma atroviride T23 | No data | Dichloroethane and trichloroethylene | 300 μg/mL dichlorvos was degraded in 120 h | [60] |
| 10 | Trichoderma atroviride mutant AMT-28 | Vegetable field in Shenyang, China | No data | Dichlorvos was completely removed when treated with mycelia of AMT-28 for 7 d | [64] |
| 11 | Consortium of Pseudomonas, Xanthomonas, Sphingomonas, Acidovorax, Agrobacterium, and Chryseobacterium | Greenhouse within Xisanqi Ecological Garden, Beijing, China | No data | Dichlorvos degradation efficiency of these bacteria was 11.5%,70.0%, 78.7%, 52.6%, 66.4%, and 25.2%, respectively | [66] |
| 12 | Pseudomonas stutzeri smk | India | Free methyl and phosphate | 80% of dichlorvos was degraded on 7th day of incubation | [65] |
Publisher’s Note: MDPI stays neutral with regard to jurisdictional claims in published maps and institutional affiliations. |
© 2021 by the authors. Licensee MDPI, Basel, Switzerland. This article is an open access article distributed under the terms and conditions of the Creative Commons Attribution (CC BY) license (https://creativecommons.org/licenses/by/4.0/).
Share and Cite
Zhang, Y.; Zhang, W.; Li, J.; Pang, S.; Mishra, S.; Bhatt, P.; Zeng, D.; Chen, S. Emerging Technologies for Degradation of Dichlorvos: A Review. Int. J. Environ. Res. Public Health 2021, 18, 5789. https://doi.org/10.3390/ijerph18115789
Zhang Y, Zhang W, Li J, Pang S, Mishra S, Bhatt P, Zeng D, Chen S. Emerging Technologies for Degradation of Dichlorvos: A Review. International Journal of Environmental Research and Public Health. 2021; 18(11):5789. https://doi.org/10.3390/ijerph18115789
Chicago/Turabian StyleZhang, Yuming, Wenping Zhang, Jiayi Li, Shimei Pang, Sandhya Mishra, Pankaj Bhatt, Daxing Zeng, and Shaohua Chen. 2021. "Emerging Technologies for Degradation of Dichlorvos: A Review" International Journal of Environmental Research and Public Health 18, no. 11: 5789. https://doi.org/10.3390/ijerph18115789
APA StyleZhang, Y., Zhang, W., Li, J., Pang, S., Mishra, S., Bhatt, P., Zeng, D., & Chen, S. (2021). Emerging Technologies for Degradation of Dichlorvos: A Review. International Journal of Environmental Research and Public Health, 18(11), 5789. https://doi.org/10.3390/ijerph18115789

