The Influence of COVID-19 on Community Disaster Resilience
Abstract
1. Introduction
2. Methodology
2.1. ISM Method
2.2. Calculate the Relevant Weight (AHP) of all Levels of Influencing Factors
3. Factors Influencing Disaster Community Resilience
3.1. Study Area
3.2. Factors Selection
3.3. Data Collection
3.4. Key-Factors Analysis
4. Conclusions
- (1)
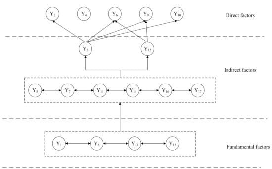
- The integrated model of AHP and ISM can be used to analyze the relations among factors that influence community resilience to COVID-19. A three-level evaluation network was constructed by ISM. The surface direct factors included member trust, health insurance, fixed asset value, construction environment, and infrastructure, which directly affect the resilience of urban communities; indirect factors included community identity, employment, income level, education level, health level, risk awareness, leadership, and community autonomy; the fundamental factors included social network relations, natural environment, vulnerable groups, and government management and investment, reflecting the root and essence of issues that influence community resilience in the management of COVID-19.
- (2)
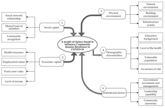
- The weightings of each factor were calculated by using AHP. The demographic characteristics of the population were found to be the main factors, followed by economic capital accounting for 0.2189. Social network relationship, trust, income level, built environment, infrastructure, vulnerable groups, and risk awareness were the main factors found to influence the resilience of the community to COVID-19.
Author Contributions
Funding
Institutional Review Board Statement
Informed Consent Statement
Data Availability Statement
Acknowledgments
Conflicts of Interest
Appendix A. Questionnaire
| Primary Indicators | Secondary Indicators | Content Modification | Significance 0–10 |
|---|---|---|---|
| Social capital indicators | Social network relationship | □ □ □ □ □ | |
| Mutual trust of community members | □ □ □ □ □ | ||
| Community recognition | □ □ □ □ □ | ||
| Economic capital | Health insurance | □ □ □ □ □ | |
| Employment status | □ □ □ □ □ | ||
| Fixed asset value | □ □ □ □ □ | ||
| Level of income | □ □ □ □ □ | ||
| Physical environment | Natural environment | □ □ □ □ □ | |
| Building environment | □ □ □ □ □ | ||
| Infrastructure system | □ □ □ □ □ | ||
| Demographic characteristics | Education background | □ □ □ □ □ | |
| Level of the health | □ □ □ □ □ | ||
| Vulnerable population | □ □ □ □ □ | ||
| Awareness of risk | □ □ □ □ □ | ||
| Institutional factors | Government investment and management | □ □ □ □ □ | |
| Leadership capability | □ □ □ □ □ | ||
| Community autonomy | □ □ □ □ □ |
Appendix B
| Y1 | Y2 | Y3 | Y4 | Y5 | Y6 | Y7 | Y8 | Y9 | Y10 | Y11 | Y12 | Y13 | Y14 | Y15 | Y16 | Y17 | |
|---|---|---|---|---|---|---|---|---|---|---|---|---|---|---|---|---|---|
| Y1 | 1 | 1 | 0 | 1 | 0 | 1 | 1 | 0 | 1 | 1 | 1 | 0 | 1 | 1 | 1 | 1 | 1 |
| Y2 | 0 | 1 | 0 | 0 | 0 | 0 | 0 | 0 | 0 | 0 | 0 | 1 | 0 | 0 | 0 | 0 | 0 |
| Y3 | 0 | 1 | 1 | 0 | 0 | 1 | 0 | 0 | 1 | 1 | 0 | 0 | 0 | 0 | 0 | 0 | 0 |
| Y4 | 0 | 0 | 0 | 1 | 0 | 0 | 0 | 0 | 0 | 0 | 0 | 0 | 0 | 0 | 0 | 0 | 0 |
| Y5 | 0 | 0 | 1 | 1 | 1 | 1 | 1 | 0 | 0 | 0 | 0 | 1 | 0 | 1 | 0 | 0 | 0 |
| Y6 | 0 | 0 | 0 | 0 | 0 | 1 | 0 | 0 | 0 | 0 | 0 | 0 | 0 | 0 | 0 | 0 | 0 |
| Y7 | 0 | 0 | 0 | 0 | 0 | 1 | 1 | 0 | 0 | 0 | 0 | 0 | 0 | 1 | 0 | 0 | 0 |
| Y8 | 0 | 0 | 1 | 1 | 0 | 1 | 0 | 1 | 1 | 1 | 0 | 0 | 1 | 0 | 1 | 0 | 0 |
| Y9 | 0 | 0 | 0 | 0 | 0 | 0 | 0 | 0 | 1 | 0 | 0 | 0 | 0 | 0 | 0 | 0 | 0 |
| Y10 | 0 | 0 | 0 | 0 | 0 | 0 | 0 | 0 | 0 | 1 | 0 | 0 | 0 | 0 | 0 | 0 | 0 |
| Y11 | 0 | 1 | 0 | 1 | 1 | 1 | 1 | 0 | 0 | 0 | 1 | 0 | 0 | 1 | 0 | 1 | 1 |
| Y12 | 0 | 0 | 0 | 0 | 0 | 1 | 0 | 0 | 1 | 0 | 0 | 1 | 0 | 0 | 0 | 0 | 0 |
| Y13 | 0 | 0 | 0 | 0 | 0 | 0 | 0 | 0 | 1 | 1 | 0 | 0 | 1 | 1 | 1 | 1 | 1 |
| Y14 | 0 | 1 | 1 | 1 | 1 | 0 | 0 | 0 | 0 | 1 | 1 | 0 | 0 | 1 | 0 | 1 | 1 |
| Y15 | 1 | 0 | 1 | 1 | 1 | 1 | 0 | 1 | 0 | 1 | 0 | 0 | 0 | 0 | 1 | 0 | 0 |
| Y16 | 0 | 1 | 0 | 0 | 1 | 0 | 1 | 0 | 0 | 0 | 0 | 1 | 0 | 0 | 0 | 1 | 0 |
| Y17 | 0 | 0 | 0 | 0 | 0 | 0 | 1 | 0 | 0 | 0 | 0 | 1 | 0 | 0 | 0 | 0 | 1 |
Appendix C
| Y1 | Y2 | Y3 | Y4 | Y5 | Y6 | Y7 | Y8 | Y9 | Y10 | Y11 | Y12 | Y13 | Y14 | Y15 | Y16 | Y17 | |
|---|---|---|---|---|---|---|---|---|---|---|---|---|---|---|---|---|---|
| Y1 | 1 | 1 | 1 | 1 | 1 | 1 | 1 | 1 | 1 | 1 | 1 | 1 | 0 | 1 | 1 | 1 | 1 |
| Y2 | 0 | 1 | 0 | 0 | 0 | 0 | 0 | 0 | 0 | 0 | 0 | 0 | 0 | 0 | 0 | 0 | 0 |
| Y3 | 0 | 1 | 1 | 0 | 0 | 1 | 0 | 0 | 1 | 1 | 0 | 0 | 0 | 0 | 0 | 0 | 0 |
| Y4 | 0 | 0 | 0 | 1 | 0 | 0 | 0 | 0 | 0 | 0 | 0 | 0 | 0 | 0 | 0 | 0 | 0 |
| Y5 | 0 | 1 | 1 | 1 | 1 | 1 | 1 | 0 | 1 | 1 | 1 | 1 | 0 | 1 | 0 | 1 | 1 |
| Y6 | 0 | 0 | 0 | 0 | 0 | 1 | 0 | 0 | 0 | 0 | 0 | 0 | 0 | 0 | 0 | 0 | 0 |
| Y7 | 0 | 1 | 1 | 1 | 1 | 1 | 1 | 0 | 1 | 1 | 1 | 1 | 0 | 1 | 0 | 1 | 1 |
| Y8 | 1 | 1 | 1 | 1 | 1 | 1 | 1 | 1 | 1 | 1 | 1 | 1 | 1 | 1 | 1 | 1 | 1 |
| Y9 | 0 | 0 | 0 | 0 | 0 | 0 | 0 | 0 | 1 | 0 | 0 | 0 | 0 | 0 | 0 | 0 | 0 |
| Y10 | 0 | 0 | 0 | 0 | 0 | 0 | 0 | 0 | 0 | 1 | 0 | 0 | 0 | 0 | 0 | 0 | 0 |
| Y11 | 0 | 1 | 1 | 1 | 1 | 1 | 1 | 0 | 1 | 1 | 1 | 1 | 0 | 1 | 0 | 1 | 1 |
| Y12 | 0 | 0 | 0 | 0 | 0 | 1 | 0 | 0 | 1 | 0 | 0 | 1 | 0 | 0 | 0 | 0 | 0 |
| Y13 | 1 | 1 | 1 | 1 | 1 | 1 | 1 | 1 | 1 | 1 | 1 | 1 | 1 | 1 | 1 | 1 | 1 |
| Y14 | 0 | 1 | 1 | 1 | 1 | 1 | 1 | 0 | 1 | 1 | 1 | 1 | 0 | 1 | 0 | 1 | 1 |
| Y15 | 1 | 1 | 1 | 1 | 1 | 1 | 1 | 1 | 1 | 1 | 1 | 1 | 1 | 1 | 1 | 1 | 1 |
| Y16 | 0 | 1 | 1 | 1 | 1 | 1 | 1 | 0 | 1 | 1 | 1 | 1 | 0 | 1 | 0 | 1 | 1 |
| Y17 | 0 | 1 | 1 | 1 | 1 | 1 | 1 | 0 | 1 | 1 | 1 | 1 | 0 | 1 | 0 | 1 | 1 |
References
- Awad, A.; Ali, H.; Abujayyab, S.K.M.; Karas, I.R.; Sumunar, D.R.S. Measuring the spatial readiness of ambulance facilities for natural disasters using GIS networks analysis. ISPRS Int. Arch. Photogramm. Remote. Sens. Spat. Inf. Sci. 2020, XLIV-4/W3-2020, 81–84. [Google Scholar] [CrossRef]
- WHO. Coronavirus Disease (COVID-2019) Dashboard. World Health Organization (WHO). 2020. Available online: https://COVID-19.who.int/ (accessed on 20 September 2020).
- Jiang, P.; Fu, X.; Van Fan, Y.; Klemeš, J.J.; Fu, X.; Ma, S.; Zhang, W. Spatial-temporal potential exposure risk analytics and urban sustainability impacts related to COVID-19 mitigation: A perspective from car mobility behaviour. J. Clean. Prod. 2021, 279, 123673. [Google Scholar] [CrossRef] [PubMed]
- Zhang, X.; Lin, H.; Wang, J.; Xu, C.; Hu, M.; Meng, B.; Liu, D.; Xu, M.; Zhu, C.; Wang, G.; et al. Scientific and technological strategies proposal for the construction of digital public health emergency management system in China. Geomat. Inf. Sci. Wuhan Univ. 2020, 455, 633–639. [Google Scholar] [CrossRef]
- Khalili, S.; Harre, M.; Morley, P. A temporal framework of social resilience indicators of communities to flood, case studies: Wagga wagga and Kempsey, NSW, Australia. Int. J. Disaster Risk Reduct. 2015, 13, 248–254. [Google Scholar] [CrossRef]
- Rose, A.; Krausmann, E. An economic framework for the development of a resilience index for business recovery. Int. J. Disaster Risk Reduct. 2013, 5, 73–83. [Google Scholar] [CrossRef]
- Chen, C.; Xu, L.; Zhao, D.; Xu, T.; Lei, P. A new model for describing the urban resilience considering adaptability, resistance and recovery. Saf. Sci. 2020, 128, 104756. [Google Scholar] [CrossRef]
- Holling, C.S. Resilience and stability of ecological systems. Annu. Rev. Ecol. Syst. 1973, 4, 1–23. [Google Scholar] [CrossRef]
- Kontokosta, C.E.; Malik, A. The resilience to emergencies and disasters index: Applying big data to benchmark and validate neighborhood resilience capacity. Sustain. Cities Soc. 2018, 36, 272–285. [Google Scholar] [CrossRef]
- Adedeji, T.; Proverbs, D.G.; Xiao, H.; Cobbing, P.; Oladokun, V.O. Making birmingham a flood resilient city: Challenges and opportunities. Water 2019, 11, 1699. [Google Scholar] [CrossRef]
- Renschler, C.S.; Frazier, A.E.; Arendt, L.; Cimellaro, G.-P.; Reinhorn, A.M.; Bruneau, M. A Framework for Defining and Measuring Resilience at the Community Scale: The PEOPLES Resilience Framework. In Technical Report MCEER-10-0006; New York, NY, USA, 2010. [Google Scholar]
- Foster, K.A. Resilience Capacity Index—Site—Resilience Capacity Index; University of California, Berekley: Berekley, CA, USA, 2012. [Google Scholar]
- Cimellaro, G.P. Resilience indicators. In Urban Resilience for Emergency Response and Recovery; Geotechnical, Geological and Earthquake Engineering: Turin, Italy, 2016; Volume 41. [Google Scholar]
- Kötter, T.; Weiss, D.; Asadzadeh, A. Stress testing cities—How to live and plan with new risks. In Proceedings of the IDRC Davos 2016, Davos, Switzerland, 28 August 2016; pp. 360–363. [Google Scholar]
- Lu, P.; Stead, D. Understanding the notion of resilience in spatial planning: A case study of Rotterdam, The Netherlands. Cities 2013, 35, 200–212. [Google Scholar] [CrossRef]
- Alliance, R. Urban Resilience Research Prospectus. Australia: CSIRO, 2007. Available online: http:// www.resalliance.org/index.php/urban_resilience (accessed on 22 December 2020).
- Cutter, S.; Ash, K.D.; Emrich, C.T. Urban–Rural differences in disaster resilience. Ann. Am. Assoc. Geogr. 2016, 106, 1236–1252. [Google Scholar] [CrossRef]
- Sung, C.-H.; Liaw, S.-C. A GIS approach to analyzing the spatial pattern of Baseline Resilience Indicators for Community (BRIC). Water 2020, 12, 1401. [Google Scholar] [CrossRef]
- Cutter, S.L.; Ash, K.D.; Emrich, C.T. The geographies of community disaster resilience. Glob. Environ. Chang. 2014, 29, 65–77. [Google Scholar] [CrossRef]
- Singh-Peterson, L.; Salmon, P.M.; Goode, N.; Gallina, J. Translation and evaluation of the baseline resilience indicators for communities on the Sunshine Coast, Queensland Australia. Int. J. Disaster Risk Reduct. 2014, 10, 116–126. [Google Scholar] [CrossRef]
- Cutter, S.; Burton, C.G.; Emrich, C.T. Disaster resilience indicators for benchmarking baseline conditions. J. Homel. Secur. Emerg. Manag. 2010, 7, 1271–1283. [Google Scholar] [CrossRef]
- Bruneau, M.; Chang, S.E.; Eguchi, R.T.; Lee, G.C.; O’Rourke, T.D.; Reinhorn, A.M.; Shinozuka, M.; Tierney, K.; Wallace, W.A.; von Winterfeldt, D. A framework to quantitatively assess and enhance the seismic resilience of communities. Earthq. Spectra 2003, 19, 733–752. [Google Scholar] [CrossRef]
- Soetanto, R.; Mullins, A.; Achour, N. The perceptions of social responsibility for community resilience to flooding: The impact of past experience, age, gender and ethnicity. Nat. Hazards 2016, 86, 1105–1126. [Google Scholar] [CrossRef]
- Miles, S.B. Participatory disaster recovery simulation modeling for community resilience planning. Int. J. Disaster Risk Sci. 2018, 9, 519–529. [Google Scholar] [CrossRef]
- Ouyang, M.; Dueñas-Osorio, L.; Min, X. A three-stage resilience analysis framework for urban infrastructure systems. Struct. Saf. 2012, 36–37, 23–31. [Google Scholar] [CrossRef]
- Xu, W.; Zhong, M.; Hong, Y.; Lin, K. Enhancing community resilience to urban floods with a network structuring model. Saf. Sci. 2020, 127, 104699. [Google Scholar] [CrossRef]
- Wang, B.; Zhang, H.; Zhang, W. Definition, connotation and measurement of community resilience. Urban Issues 2016, 6, 75–81. [Google Scholar]
- Zhang, H. Research on urban resilient community model from the perspective of natural risk governance. Manag. World 2015, 6, 176–177. [Google Scholar]
- Li, D.Z.; Wu, J.; Cui, P. Research on the disaster resilience evaluation index system of urban community complex ecosystem. Constr. Econ. 2018, 39, 92–96. [Google Scholar]
- Meng, L.; Yun, Y.; Ren, L. Strategies for disaster prevention and improvement of existing communities based on rata resilience evaluation system: A case study of the existing communities on Dongxing Road, Hedong District, Tianjin. In Proceedings of the 2016 China Urban Planning Annual Meeting 2016, Shenyang, China, 24–26 September 2016; pp. 194–205. [Google Scholar]
- Liao, M.; Su, Y.; Li, F. Urban community construction under the framework of resilience system. China Adm. 2018, 4, 57–62. [Google Scholar]
- Li, Y.; Zhai, G.F. China’s urban disaster resilience evaluation and promotion. Planners 2017, 33, 5–11. [Google Scholar] [CrossRef]
- Hales, C.; Carroll, M.; Fryar, C.; Ogden, C. Prevalence of Obesity and Severe Obesity among Adults: United States, 2017–2018; NCHS Data Brief, Ed.; National Center for Health Statistics: Hyattsville, MD, USA, 2020. [Google Scholar]
- Gao, H.; Xu, Y.; Zhu, Q.-X. Spatial Interpretive structural model identification and AHP-based multimodule fusion for alarm root-cause diagnosis in chemical processes. Ind. Eng. Chem. Res. 2016, 55, 3641–3658. [Google Scholar] [CrossRef]
- Warfield, J.N. Developing interconnection matrices in structural modeling. IEEE Trans. Syst. Man Cybern. 1974, 1, 81–87. [Google Scholar] [CrossRef]
- Saaty, T.L. A scaling method for priorities in hierarchical structures. J. Math. Psychol. 1977, 15, 234–281. [Google Scholar] [CrossRef]
- The analytic hierarchy process. Eur. J. Oper. Res. 1990, 45, 378. [CrossRef]
- Janes, F. Interpretive structural modelling: A methodology for structuring complex issues. Trans. Inst. Meas. Control. 1988, 10, 145–154. [Google Scholar] [CrossRef]
- Yamane, T. Elementary Sampling Theory; Prentice-Hall Inc.: Englewood Cliffs, NJ, USA, 1967. [Google Scholar]
- Xu, W.; Xiang, L.; Proverbs, D.G. Assessing community resilience to urban flooding in multiple types of the transient population in China. Water 2020, 12, 2784. [Google Scholar] [CrossRef]
- Ensor, M.O. Children, climate change and disasters: Challenges and opportunities for disaster anthropology. Anthr. News 2008, 49, 12–14. [Google Scholar] [CrossRef]







| Criterion Layer | Secondary Indicator Layer | CL | CU | OL | OU | Min | Mix | CM | OM | Average Value | M-Z | G | Selection |
|---|---|---|---|---|---|---|---|---|---|---|---|---|---|
| X1 | Y1 | 1 | 8 | 5 | 10 | 3 | 10 | 3.87 | 7.81 | 6.24 | 0.94 | 6.21 | √ |
| Y2 | 2 | 6 | 6 | 10 | 4 | 9 | 4.64 | 7.99 | 6.35 | 3.36 | 6.32 | √ | |
| Y3 | 1 | 8 | 5 | 10 | 4 | 10 | 4.01 | 7.89 | 6.51 | 0.89 | 6.26 | √ |
| Criterion Layer | Secondary Indicator Layer | Three-Level Indicator Layer | |
|---|---|---|---|
| Index system of influencing factors of community resilience | Social capital (X1) | Social network relationship (Y1) | The relationship between the residents of the community (Y11) |
| The relationship between residents and neighborhood committees (Y12) | |||
| Community leader (Y13) | |||
| Mutual trust of community members (Y2) | Trust among community members (Y14) | ||
| Trust between members and government (Y15) | |||
| Trust of members and social organizations (Y16) | |||
| Trust between NGOs and the government (Y17) | |||
| Community recognition (Y3) | Resident years of community members (Y18) | ||
| Unique history and culture (Y19) | |||
| Community members′ sense of belonging (Y110) | |||
| Economic capital (X2) | Health insurance (Y4) | Medical insurance coverage (Y21) | |
| Employment status (Y5) | Employment rate (Y22) | ||
| Diversification level of employment field (Y23) | |||
| Fixed asset value (Y6) | Owner-occupied housing (Y24) | ||
| Property value (Y25) | |||
| Level of income (Y7) | Per capital income and household income (Y26) | ||
| Diversification level of income sources (Y27) | |||
| Income stability (Y28) | |||
| Physical environment (X3) | Natural environment (Y8) | Location (Y31) | |
| The greening of the community (Y32) | |||
| Sanitation status (Y33) | |||
| Building environment (Y9) | Building density (Y34) | ||
| Road condition (Y35) | |||
| Community environment (Y36) | |||
| Infrastructure system (Y10) | Emergency facilities (Y37) | ||
| Fire station around the community (Y38) | |||
| Demographic characteristics (X4) | Education background (Y11) | Population with high-school education (Y41) | |
| Population with professional and technical qualifications (Y42) | |||
| Level of the health (Y12) | The physical and mental health of community residents (Y43) | ||
| Vulnerable population (Y13) | Aging population (Y44) | ||
| Disabled population (Y45) | |||
| Transient population (Y46) | |||
| Awareness of risk (Y14) | The risk awareness of community residents (Y47) | ||
| Institutional factors (X5) | Government investment and management (Y15) | Manpower and material and financial support (Y51) | |
| Management mechanism (Y52) | |||
| Leadership capability (Y16) | Neighborhood committee leadership (Y53) | ||
| Community autonomy (Y17) | Social organizations (Y54) | ||
| Community public participation (Y55) |
Publisher’s Note: MDPI stays neutral with regard to jurisdictional claims in published maps and institutional affiliations. |
© 2020 by the authors. Licensee MDPI, Basel, Switzerland. This article is an open access article distributed under the terms and conditions of the Creative Commons Attribution (CC BY) license (http://creativecommons.org/licenses/by/4.0/).
Share and Cite
Xu, W.; Xiang, L.; Proverbs, D.; Xiong, S. The Influence of COVID-19 on Community Disaster Resilience. Int. J. Environ. Res. Public Health 2021, 18, 88. https://doi.org/10.3390/ijerph18010088
Xu W, Xiang L, Proverbs D, Xiong S. The Influence of COVID-19 on Community Disaster Resilience. International Journal of Environmental Research and Public Health. 2021; 18(1):88. https://doi.org/10.3390/ijerph18010088
Chicago/Turabian StyleXu, Wenping, Lingli Xiang, David Proverbs, and Shu Xiong. 2021. "The Influence of COVID-19 on Community Disaster Resilience" International Journal of Environmental Research and Public Health 18, no. 1: 88. https://doi.org/10.3390/ijerph18010088
APA StyleXu, W., Xiang, L., Proverbs, D., & Xiong, S. (2021). The Influence of COVID-19 on Community Disaster Resilience. International Journal of Environmental Research and Public Health, 18(1), 88. https://doi.org/10.3390/ijerph18010088
