Modeling the Dynamics of Drug Spreading in China
Abstract
1. Introduction
2. Model Assumptions, Formulations, and Basic Properties
2.1. Basic Assumptions
2.2. Model Formulations
2.3. Existence and Uniqueness of the Solution
2.4. Feasible Region
2.5. Positivity of Solutions
3. Model Equilibria Analysis
3.1. The Basic Reproduction Number
3.2. Existence of the Equilibria
- When , it is easy to acquire , . At this point, , and is also satisfied. We refer to this point as the drug-free equilibrium .
 - When , it is obvious that and ,. At this point, we obtain , and it can be easily verified that also holds. We refer to this point as the unique drug-persistent equilibrium . For biological reasons, it requires that , which corresponds to the condition that .
 
3.3. Global Stability of the Drug-Free Equilibrium
3.4. Global Stability of the Drug-Persistent Equilibrium
4. Sensitivity and Numerical Simulations
4.1. Sensitivity Analysis
4.2. Simulation of Sensitivity
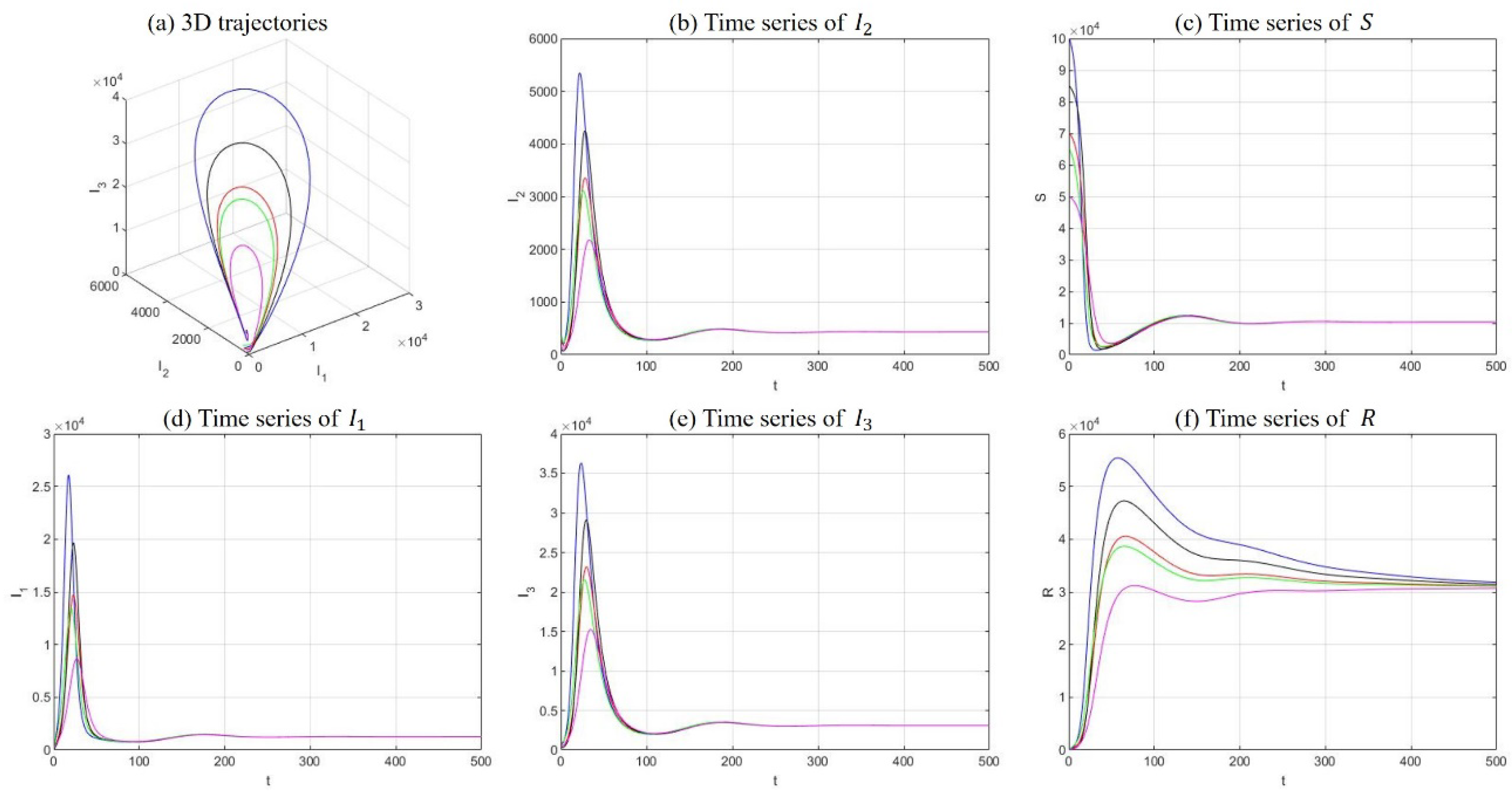
4.3. Simulation of Model Equilibria
5. Application of the Model
5.1. Data Source and Variables
5.2. Parameter Estimation
5.3. Model Fitting and Projections
5.4. Evaluation of Intervention Strategies
6. Discussion
7. Conclusions
Author Contributions
Funding
Institutional Review Board Statement
Informed Consent Statement
Data Availability Statement
Conflicts of Interest
Appendix A
Appendix B
References
- UNODC. World Drug Report 2019; Sales No. E.19.XI.8; United Nations Publication: New York, NY, USA, 2019. [Google Scholar]
 - UNODC. World Drug Report 2010; Sales No. E.10.XI.13; United Nations Publication: New York, NY, USA, 2010. [Google Scholar]
 - National Narcotics Control Committee. Drug Situation in China (2019), Beijing. 2020. Available online: http://www.nncc626.com/2020-06/25/c_1210675877.htm (accessed on 27 October 2020).
 - Greene, M.H. An Epidemiologic Assessment of Heroin Use. Am. J. Public Health 1974, 64 (Suppl. 12), 1–10. [Google Scholar] [CrossRef] [PubMed]
 - Jacobs, P.E. Epidemiology Abuse: Epidemiological and Psychosocial Models of Drug Abuse. J. Drug Educ. 1976, 6, 259–271. [Google Scholar] [CrossRef]
 - Mackintosh, D.R.; Stewart, G.T. A mathematical model of a heroin epidemic: Implications for control policies. J. Epidemiol. Community Health 1979, 33, 299–304. [Google Scholar] [CrossRef] [PubMed]
 - Kermack, W.O.; McKendrick, A.G. A contribution to the mathematical theory of epidemics. Proc. R. Soc. Lond. Ser. A Math. Phys. Sci. 1927, 115, 700–721. [Google Scholar]
 - Ma, Z.E.; Zhou, Y.C.; Wang, W.D.; Jin, Z. Mathematical Models and Dynamics of Infectious Disease, 1st ed.; Science Press: Beijing, China, 2004. [Google Scholar]
 - Samsuzzoha, M.; Singh, M.; Lucy, D. Uncertainty and sensitivity analysis of the basic reproduction number of a vaccinated epidemic model of influenza. Appl. Math. Model. 2013, 37, 903–915. [Google Scholar] [CrossRef]
 - Del Valle, S.; Hethcote, H.; Hyman, J.M.; Castillo-Chavez, C. Effects of behavioral changes in a smallpox attack model. Math. Biosci. 2005, 195, 228–251. [Google Scholar] [CrossRef] [PubMed]
 - Naik, P.A.; Yavuz, M.; Qureshi, S.; Zu, J.; Townley, S. Modeling and analysis of COVID-19 epidemics with treatment in fractional derivatives using real data from Pakistan. Eur. Phys. J. Plus 2020, 135, 1–42. [Google Scholar] [CrossRef]
 - Naik, P.A.; Owolabi, K.M.; Yavuz, M.; Zu, J. Chaotic dynamics of a fractional order HIV-1 model involving AIDS-related cancer cells. Chaos Solitons Fractals 2020, 140, 110272. [Google Scholar] [CrossRef]
 - Naik, P.A.; Yavuz, M.; Zu, J. The role of prostitution on HIV transmission with memory: A modeling approach. Alex. Eng. J. 2020, 59, 2513–2531. [Google Scholar] [CrossRef]
 - Sharma, S.; Samanta, G.P. Analysis of a drinking epidemic model. Int. J. Dyn. Control 2015, 3, 288–305. [Google Scholar] [CrossRef]
 - Zeb, A.; Bano, A.; Alzahrani, E.; Zaman, G. Dynamical analysis of cigarette smoking model with a saturated incidence rate. AIP Adv. 2018, 8, 045317. [Google Scholar] [CrossRef]
 - Yang, L.-X.; Yang, X.; Liu, J.; Zhu, Q.; Gan, C. Epidemics of computer viruses: A complex-network approach. Appl. Math. Comput. 2013, 219, 8705–8717. [Google Scholar] [CrossRef]
 - Cheng, J.-J.; Liu, Y.; Shen, B.; Yuan, W.-G. An epidemic model of rumor diffusion in online social networks. Eur. Phys. J. B 2013, 86, 29. [Google Scholar] [CrossRef]
 - White, E.; Comiskey, C. Heroin epidemics, treatment and ODE modelling. Math. Biosci. 2007, 208, 312–324. [Google Scholar] [CrossRef] [PubMed]
 - Mulone, G.; Straughan, B. A note on heroin epidemics. Math. Biosci. 2009, 218, 138–141. [Google Scholar] [CrossRef]
 - Samanta, G.P. Dynamic behaviour for a nonautonomous heroin epidemic model with time delay. J. Appl. Math. Comput. 2009, 35, 161–178. [Google Scholar] [CrossRef]
 - Liu, J.; Zhang, T. Global behaviour of a heroin epidemic model with distributed delays. Appl. Math. Lett. 2011, 24, 1685–1692. [Google Scholar] [CrossRef]
 - Huang, G.; Liu, A.P. A note on global stability for a heroin epidemic model with distributed delay. Appl. Math. Lett. 2013, 26, 687–691. [Google Scholar] [CrossRef]
 - Fang, B.; Li, X.-Z.; Martcheva, M.; Cai, L.-M. Global stability for a heroin model with two distributed delays. Discret. Contin. Dyn. Syst. B 2014, 19, 715–733. [Google Scholar] [CrossRef]
 - Fang, B.; Li, X.-Z.; Martcheva, M.; Cai, L.-M. Global asymptotic properties of a heroin epidemic model with treat-age. Appl. Math. Comput. 2015, 263, 315–331. [Google Scholar] [CrossRef]
 - Fang, B.; Li, X.; Martcheva, M.; Cai, L. Global stability for a heroin model with age-dependent susceptibility. J. Syst. Sci. Complex. 2015, 28, 1243–1257. [Google Scholar] [CrossRef]
 - Yang, J.Y.; Li, X.X.; Zhang, F.Q. Global dynamics of a heroin epidemic model with age structure and nonlinear incidence. Int. J. Biomath. 2016, 9, 1650033. [Google Scholar] [CrossRef]
 - Djilali, S.; Touaoula, T.M.; Miri, S.E.-H. A Heroin Epidemic Model: Very General Non Linear Incidence, Treat-Age, and Global Stability. Acta Appl. Math. 2017, 152, 171–194. [Google Scholar] [CrossRef]
 - Liu, L.; Liu, X. Mathematical Analysis for an Age-Structured Heroin Epidemic Model. Acta Appl. Math. 2019, 164, 193–217. [Google Scholar] [CrossRef]
 - Duan, X.; Li, X.-Z.; Martcheva, M. Qualitative analysis on a diffusive age-structured heroin transmission model. Nonlinear Anal. Real World Appl. 2020, 54, 103105. [Google Scholar] [CrossRef]
 - Liu, X.; Wang, J. Epidemic dynamics on a delayed multi-group heroin epidemic model with nonlinear incidence rate. J. Nonlinear Sci. Appl. 2016, 9, 2149–2160. [Google Scholar] [CrossRef]
 - Yang, J.; Wang, L.; Li, X.; Zhang, F. Global dynamical analysis of a heroin epidemic model on complex networks. J. Appl. Anal. Comput. 2016, 6, 429–442. [Google Scholar]
 - Liu, L.; Liu, X.; Wang, J. Threshold dynamics of a delayed multi-group heroin epidemic model in heterogeneous populations. Discret. Contin. Dyn. Syst. Ser. B 2016, 21, 2615–2630. [Google Scholar] [CrossRef]
 - Wang, J.L.; Wang, J.; Kuniya, T. Analysis of an age-structured multi-group heroin epidemic model. Appl. Math. Comput. 2019, 347, 78–100. [Google Scholar] [CrossRef]
 - Li, G.; Yang, Q.; Wei, Y. Dynamics of stochastic heroin epidemic model with lévy jumps. J. Appl. Anal. Comput. 2018, 8, 998–1010. [Google Scholar]
 - Liu, S.; Zhang, L.; Xing, Y. Dynamics of a stochastic heroin epidemic model. J. Comput. Appl. Math. 2019, 351, 260–269. [Google Scholar] [CrossRef]
 - Liu, S.; Zhang, L.; Zhang, X.; Li, A. Dynamics of a stochastic heroin epidemic model with bilinear incidence and varying population size. Int. J. Biomath. 2019, 12. [Google Scholar] [CrossRef]
 - Wei, Y.; Yang, Q.; Li, G. Dynamics of the stochastically perturbed Heroin epidemic model under non-degenerate noises. Phys. A Stat. Mech. Appl. 2019, 526, 120914. [Google Scholar] [CrossRef]
 - Rafiq, M.; Raza, A.; Iqbal, M.U.; Butt, Z.; Naseem, H.A.; Akram, M.A.; Butt, M.K.; Khaliq, A.; Ain, -Q.-U.; Azam, S. Numerical treatment of stochastic heroin epidemic model. Adv. Differ. Equ. 2019, 2019, 1–17. [Google Scholar] [CrossRef]
 - Nyabadza, F.; Hove-Musekwa, S.D. From heroin epidemics to methamphetamine epidemics: Modelling substance abuse in a South African province. Math. Biosci. 2010, 225, 132–140. [Google Scholar] [CrossRef] [PubMed]
 - Kalula, A.S.; Nyabadza, F. A theoretical model for substance abuse in the presence of treatment. S. Afr. J. Sci. 2012, 108, 12. [Google Scholar]
 - Nyabadza, F.; Njagarah, J.B.H.; Smith, S.R. Modelling the Dynamics of Crystal Meth (‘Tik’) Abuse in the Presence of Drug-Supply Chains in South Africa. Bull. Math. Biol. 2012, 75, 24–48. [Google Scholar] [CrossRef]
 - Mushanyu, J.; Nyabadza, F.; Stewart, A.G.R. Modelling the trends of inpatient and outpatient rehabilitation for methamphetamine in the Western Cape province of South Africa. BMC Res. Notes 2015, 8, 797. [Google Scholar] [CrossRef]
 - Mushanyu, J.; Nyabadza, F.; Muchatibaya, G.; Stewart, A.G.R. Modelling Drug Abuse Epidemics in the Presence of Limited Rehabilitation Capacity. Bull. Math. Biol. 2016, 78, 2364–2389. [Google Scholar] [CrossRef]
 - Mushanyu, J.; Nyabadza, F.; Muchatibaya, G.; Stewart, A.G.R. On the Role of Imitation on Adolescence Methamphetamine Abuse Dynamics. Acta Biotheor. 2017, 65, 37–61. [Google Scholar] [CrossRef]
 - Su, S.; Fairley, C.K.; Mao, L.; Medland, N.A.; Jing, J.; Cheng, F.; Zhang, L. Estimates of the national trend of drugs use during 2000–2030 in China: A population-based mathematical model. Addict. Behav. 2019, 93, 65–71. [Google Scholar] [CrossRef] [PubMed]
 - Muroya, Y.; Li, H.; Kuniya, T. Complete global analysis of an SIRS epidemic model with graded cure and incomplete recovery rates. J. Math. Anal. Appl. 2014, 410, 719–732. [Google Scholar] [CrossRef]
 - Abdurahman, X.; Zhang, L.; Teng, Z. Global Dynamics of a Discretized Heroin Epidemic Model with Time Delay. Abstr. Appl. Anal. 2014, 2014, 1–10. [Google Scholar] [CrossRef]
 - Wangari, I.M.; Stone, L. Analysis of a Heroin Epidemic Model with Saturated Treatment Function. J. Appl. Math. 2017, 2017, 1–21. [Google Scholar] [CrossRef]
 - Duan, X.; Li, X.-Z.; Martcheva, M. Dynamics of an age-structured heroin transmission model with vaccination and treatment. Math. Biosci. Eng. 2019, 16, 397–420. [Google Scholar] [CrossRef]
 - Memarbashi, R.; Pourhossieni, M. Global dynamic of a heroin epidemic model. UPB Sci. Bull. Ser. A 2019, 81, 115–126. [Google Scholar]
 - Abdurahman, X.; Teng, Z.; Zhang, L. Global dynamics in a heroin epidemic model with different conscious stages and two distributed delays. Int. J. Biomath. 2019, 12. [Google Scholar] [CrossRef]
 - Ma, M.; Liu, S.; Xiang, H.; Li, J. Dynamics of synthetic drugs transmission model with psychological addicts and general incidence rate. Phys. A Stat. Mech. Appl. 2018, 491, 641–649. [Google Scholar] [CrossRef]
 - Naowarat, S.; Kumat, N. The Role of Family on the Transmission Model of Methamphetamine. J. Phys. Conf. Ser. 2018, 1039, 012036. [Google Scholar] [CrossRef]
 - Saha, S.; Samanta, G.P. Synthetic drugs transmission: Stability analysis and optimal control. Lett. Biomath. 2019, 6, 1–31. [Google Scholar] [CrossRef]
 - Liu, P.; Zhang, L.; Xing, Y. Modelling and stability of a synthetic drugs transmission model with relapse and treatment. J. Appl. Math. Comput. 2019, 60, 465–484. [Google Scholar] [CrossRef]
 - Zhang, Z.; Yang, F.; Xia, W. Hopf Bifurcation Analysis of a Synthetic Drug Transmission Model with Time Delays. Complexity 2019, 2019, 1–17. [Google Scholar] [CrossRef]
 - Li, J.; Ma, M.J. The analysis of a drug transmission model with family education and public health education. Infect. Dis. Model. 2018, 3, 74–84. [Google Scholar] [CrossRef] [PubMed]
 - European Monitoring Centre for Drugs and Drug Addiction (EMCDDA). Population Surveys Methodology. In Methods and Definitions, General Population Surveys, Detailed Notes; EMCDDA Statistical Bulletin; EMCDDA: Lisbon, Portugal, 2004. [Google Scholar]
 - Ministry of Public Security. Methods for the Identification of Drug Addiction, 2010. Chin. J. Drug Abuse Prev. Treat. 2011, 17, 63–64. [Google Scholar]
 - Hser, Y.-I.; Fu, L.; Wu, F.; Du, J.; Zhao, M. Pilot trial of a recovery management intervention for heroin addicts released from compulsory rehabilitation in China. J. Subst. Abus. Treat. 2012, 44, 78–83. [Google Scholar] [CrossRef]
 - Marienfeld, C.; Liu, P.; Wang, X.; Schottenfeld, R.; Zhou, W.; Chawarski, M. Evaluation of an implementation of methadone maintenance treatment in China. Drug Alcohol Depend. 2015, 157, 60–67. [Google Scholar] [CrossRef][Green Version]
 - Zhang, L.; Yap, L.; Zhuang, X.; Wu, Z.; Wilson, D.P. Needle and syringe programs in Yunnan, China yield health and financial return. BMC Public Health 2011, 11, 250. [Google Scholar] [CrossRef]
 - Jia, Z.; Liu, Z.; Chu, P.; McGoogan, J.M.; Cong, M.; Shi, J.; Lu, L. Tracking the evolution of drug abuse in China, 2003–2010: A retrospective, Self-Controlled study. Addiction 2015, 110, 4–10. [Google Scholar] [CrossRef]
 - Hale, J.K.; Lunel, S.M.V. Introduction to Functional Differential Equations; Springer: New York, NY, USA, 1993. [Google Scholar]
 - Driessche, P.V.D.; Watmough, J. Reproduction numbers and sub-threshold endemic equilibria for compartmental models of disease transmission. Math. Biosci. 2002, 180, 29–48. [Google Scholar] [CrossRef]
 - Arriola, L.; Hyman, J. Lecture notes, forward and adjoint sensitivity analysis: With applications in Dynamical Systems. In Linear Algebra and Optimisation Mathematical and Theoretical Biology Institute; Arizona State University: Tempe, AZ, USA, 2005. [Google Scholar]
 - National Narcotics Control Committee. Report on Drug Control in China (2014), Beijing. 2014. Available online: http://www.nncc626.com/2014-09/12/c_126979288.htm (accessed on 27 October 2020).
 - National Narcotics Control Committee. Drug Situation in China (2014), Beijing. 2015. Available online: http://www.nncc626.com/2015-06/24/c_127945747_2.htm (accessed on 27 October 2020).
 - Du, X. Analysis and considerations of the current detoxification method in China. Chin. J. Drug Depend. 2005, 14, 392–398. [Google Scholar]
 - Li, B.; Li, C.; Shi, E. On enforcement of drug trafficking prohibition between the western China and neighboring countries. J. Fujian Public Saf. Coll. 2004, 1, 14–17. [Google Scholar]
 - National Bureau of Statistics. National Data, Beijing. 2020. Available online: https://data.stats.gov.cn/easyquery.htm?cn=C01 (accessed on 27 October 2020).
 - Wang, X.; Yang, J.; Li, X. Dynamics of a Heroin Epidemic Model with Very Population. Appl. Math. 2011, 2, 732–738. [Google Scholar] [CrossRef]
 - Li, X.; Zhou, Y.; Stanton, B. Illicit drug initiation among institutionalized drug users in China. Addiction 2002, 97, 575–582. [Google Scholar] [CrossRef] [PubMed]
 - Yang, L.; Li, J.; Zhang, Y.; Zhang, W.; Dai, F.; Ren, Z.; Maycock, B. Reported Reasons for Initiating Drug Use among Drug-Dependent Adolescents and Youths in Yunnan, China. Am. J. Drug Alcohol Abus. 2009, 35, 445–453. [Google Scholar] [CrossRef] [PubMed]
 - Yuan, Y.J.; Wang, Y. A review of the history of drug control publicity and education in China. Chin. J. Drug Depend. 2019, 28, 267–275. [Google Scholar]
 - Yang, M.; Mamy, J.; Gao, P.; Xiao, S. From Abstinence to Relapse: A Preliminary Qualitative Study of Drug Users in a Compulsory Drug Rehabilitation Center in Changsha, China. PLoS ONE 2015, 10, e0130711. [Google Scholar] [CrossRef]
 - Li, M.-T.; Jin, Z.; Sun, G.-Q.; Zhang, J. Modeling direct and indirect disease transmission using multi-group model. J. Math. Anal. Appl. 2017, 446, 1292–1309. [Google Scholar] [CrossRef]
 - Castillo-Chávez, C.; Song, B. Dynamical Models of Tuberculosis and Their Applications. Math. Biosci. Eng. 2004, 1, 361–404. [Google Scholar] [CrossRef]
 











| Variable/ Parameter  | Description | 
|---|---|
| The susceptible individuals at time t | |
| Light drug users at time t | |
| Drug addicts undergoing treatment at time t | |
| Hidden drug addicts at time t | |
| Recovered individuals at time t | |
| Inflow rate into the susceptible individuals | |
| Natural death rate | |
| Additional death rate resulting from drug abuse | |
| Effective contact rate between drug addicts in treatment and susceptibles | |
| Effective contact rate between hidden drug addicts and susceptibles | |
| Progression rate from light drug users to drug addicts in treatment | |
| Progression rate from light drug users to hidden drug addicts | |
| Discovery and admission rate from hidden addicts to addicts in treatment | |
| Recovery rate of drug addicts undergoing treatment | 
| Year | Population Aged 15−64 * | Existing Drug Users * | Former Drug Users Abstinent for Years * | 
|---|---|---|---|
| 2015 | 100,361 | 234.5 | 114.8 | 
| 2016 | 100,260 | 250.5 | 141.1 | 
| 2017 | 99,829 | 255.3 | 167.9 | 
| 2018 | 99,357 | 240.4 | 207.3 | 
| 2019 | 98,914 | 214.8 | 253.3 | 
| Parameter | Unit | Range | Value | Source | 
|---|---|---|---|---|
| 10 thousand people/year | (235, 610) | 400 | Estimated from [71] | |
| /year | (0.0064, 0.00716) | 0.007 | [71] | |
| /year | (0.021, 0.102) | 0.025 | [39,44] | |
| /10 thousand people*year | (1 × 10−9, 1 × 10−6) | 1.2481 × 10−7 | Curve fit | |
| /10 thousand people*year | (1 × 10−9, 1 × 10−6) | 3.8611 × 10−7 | Curve fit | |
| /year | (0.05, 0.3) | 0.176 | Curve fit | |
| /year | (0.05, 0.5) | 0.2 | [23,25,72] | |
| /year | (0.05, 0.6) | 0.124 | Curve fit | |
| /year | (0.33,0.6) | 0.45 | Estimated from [60] | 
| Original | Intervention 1 | Intervention 2 | Intervention 3 | Intervention 4 | ||||||
|---|---|---|---|---|---|---|---|---|---|---|
| 2020 * | 2030 * | 2030 * | Increase (%) | 2030 * | Increase (%) | 2030 * | Increase (%) | 2030 * | Increase (%) | |
| 97,368.48 | 94,533.21 | 94,592.85 | 0.06% | 94,572.98 | 0.04% | 94,566.47 | 0.04% | 94,552.61 | 0.02% | |
| 77.42 | 23.28 | 11.81 | −49.27% | 15.55 | −33.20% | 6.71 | −71.18% | 12.31 | −47.12% | |
| 206.86 | 65.70 | 57.30 | −12.79% | 60.10 | −8.52% | 54.65 | −16.82% | 62.56 | −4.78% | |
| 496.84 | 143.57 | 129.81 | −9.58% | 134.40 | −6.39% | 41.00 | −71.44% | 76.58 | −46.66% | |
| 639.97 | 1140.08 | 1116.05 | −2.11% | 1124.13 | −1.40% | 1261.71 | 10.67% | 1216.28 | 6.68% | |
| 0.087256 | 0.043628 | 0.058462 | 0.042853 | 0.057216 | ||||||
Publisher’s Note: MDPI stays neutral with regard to jurisdictional claims in published maps and institutional affiliations.  | 
© 2021 by the authors. Licensee MDPI, Basel, Switzerland. This article is an open access article distributed under the terms and conditions of the Creative Commons Attribution (CC BY) license (http://creativecommons.org/licenses/by/4.0/).
Share and Cite
Tang, H.; Li, M.; Yan, X.; Lu, Z.; Jia, Z. Modeling the Dynamics of Drug Spreading in China. Int. J. Environ. Res. Public Health 2021, 18, 288. https://doi.org/10.3390/ijerph18010288
Tang H, Li M, Yan X, Lu Z, Jia Z. Modeling the Dynamics of Drug Spreading in China. International Journal of Environmental Research and Public Health. 2021; 18(1):288. https://doi.org/10.3390/ijerph18010288
Chicago/Turabian StyleTang, Haoxiang, Mingtao Li, Xiangyu Yan, Zuhong Lu, and Zhongwei Jia. 2021. "Modeling the Dynamics of Drug Spreading in China" International Journal of Environmental Research and Public Health 18, no. 1: 288. https://doi.org/10.3390/ijerph18010288
APA StyleTang, H., Li, M., Yan, X., Lu, Z., & Jia, Z. (2021). Modeling the Dynamics of Drug Spreading in China. International Journal of Environmental Research and Public Health, 18(1), 288. https://doi.org/10.3390/ijerph18010288
        