Association between Adherence with Recommended Antenatal Care in Low-Risk, Uncomplicated Pregnancy, and Maternal and Neonatal Adverse Outcomes: Evidence from Italy
Abstract
1. Introduction
2. Materials and Methods
2.1. Data Source
2.2. Study Cohort
2.3. Adherence with Recommendations
2.4. Outcomes
2.5. Statistical Analysis
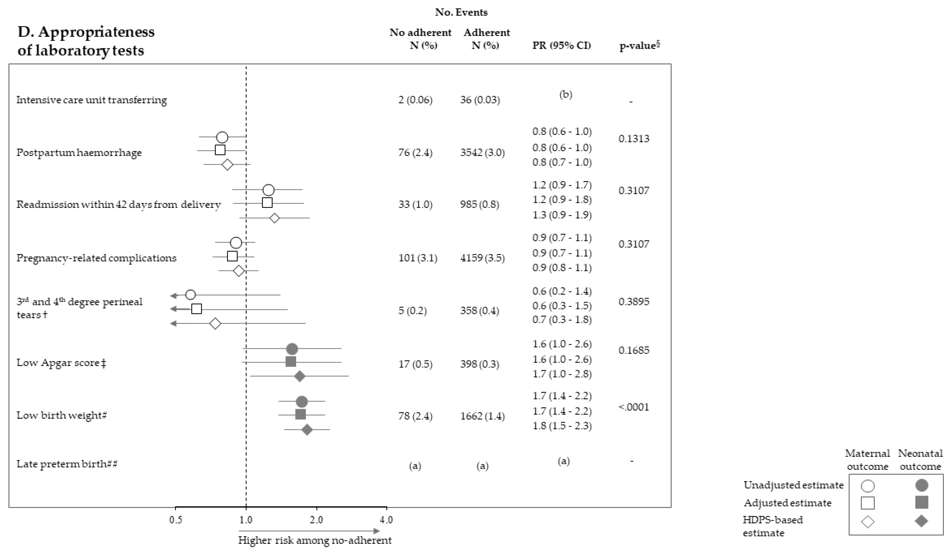
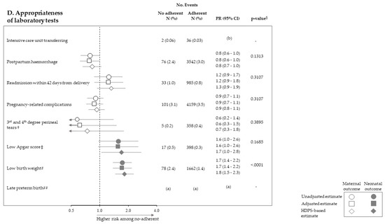
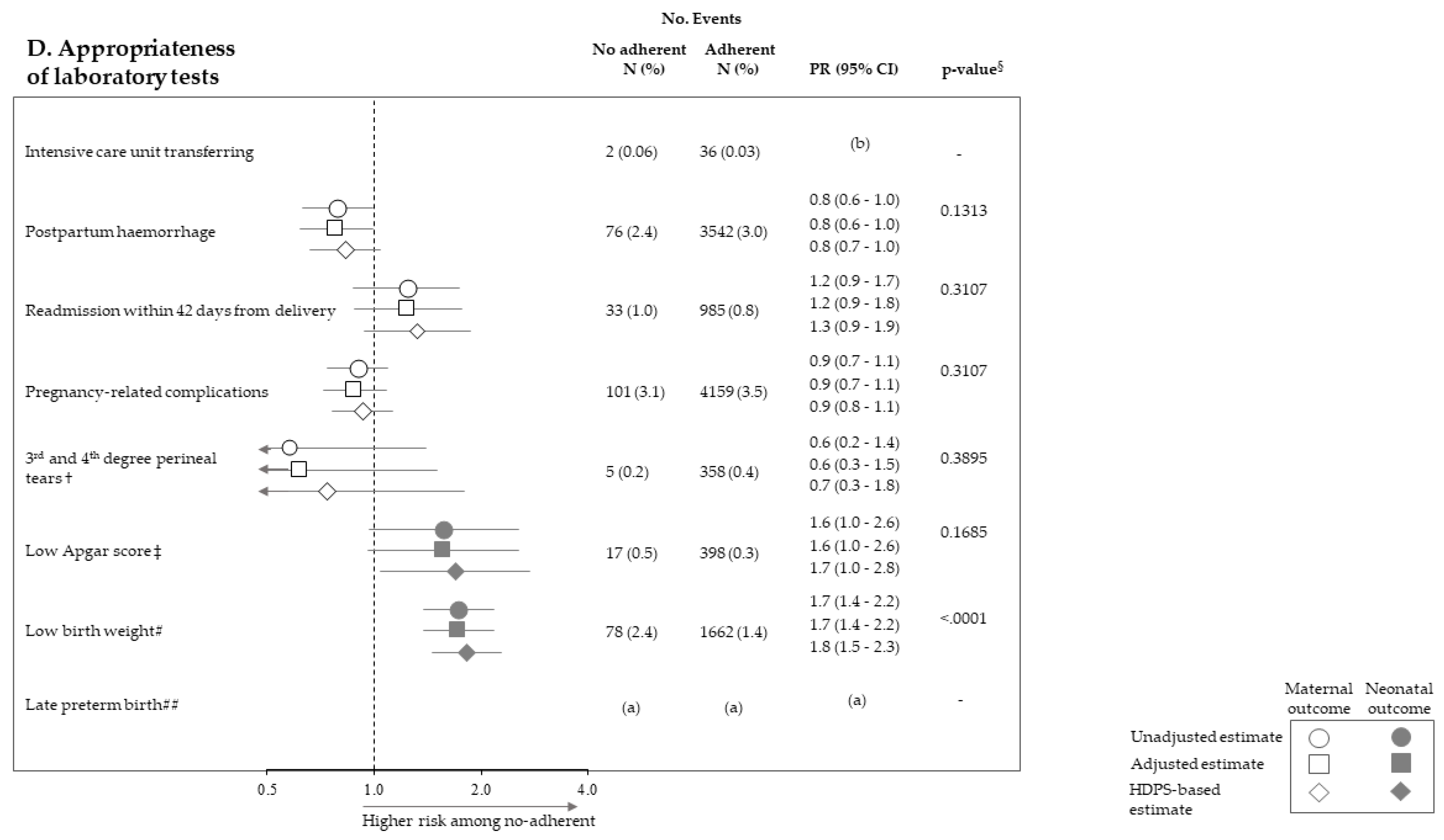
3. Results
4. Discussion
5. Conclusions
- Italian Ministry of Health, Dept of Health Planning: Silvia ARCÀ, Donata BELLENTANI, Velia BRUNO, Simona CARBONE, Carla CECCOLINI, Angela DE FEO, Lucia LISPI, Rosanna MARINIELLO, Maurizio MASULLO, Federica MEDICI, Paola PISANTI, Modesta VISCA, Rinaldo ZANINI; Dept of health prevention: Teresa DI FIANDRA, Natalia MAGLIOCCHETTI, Giovanna ROMANO
- University of Milano-Bicocca, Laboratory of Healthcare Research & Pharmacoepidemiology: Anna CANTARUTTI, Giovanni CORRAO, Pietro PUGNI, Federico REA
- Department of Epidemiology Lazio Region: Marina DAVOLI, Mirko DI MARTINO, Adele LALLO
- Aosta Valley Region: Patrizia VITTORI, Giuliana Vuillermin
- Campania Region: Alfonso Bernardo, Anna Fusciante
- Emilia Romagna Region: Laura BELOTTI, Rossana DE PALMA, Enza DI FELICE
- Friuli Venezia Giulia Region: Roberta CHIANDETTI, Elena CLAGNAN, Stefania DEL ZOTTO, Andrea DI LENARDA, Aldo MARIOTTO, Marisa PREZZA, Loris ZANIER
- Lazio Region: Marina DAVOLI, Danilo FUSCO, Mirko DI MARTINO, Adele LALLO, Chiara MARINACCI
- Lombardy Region: Antonio LORA, Luca MERLINO
- Marche Region: Liana SPAZZAFUMO, Simone PIZZI
- Molise Region: Maria SIMIELE, Giuseppe MASSARO
- Puglia Region: Ettore ATTOLINI, Vito LEPORE, Vito PETRAROLO
- Sicily Region: Giovanni DE LUCA, Giovanna FANTACI, Sebastiano POLLINA ADDARIO, Salvatore SCONDOTTO
- Tuscany Region: Francesco BELLOMO, Mario BRAGA, Valeria DI FABRIZIO, Silvia FORNI, Paolo FRANCESCONI, Francesco PROFILI
- Veneto Region: Francesco AVOSSA, Matteo CORRADIN, Silvia VIGNA
- Research and Health Foundation (Fondazione ReS -Ricerca e Salute-): Letizia DONDI, Nello MARTINI, Antonella PEDRINI, Carlo PICCINNI
- National Agency for Regional Health Services: Mimma COSENTINO, Maria Grazia MARVULLI
- ANMCO (National Association of Hospital Cardiologists) Study Center: Aldo MAGGIONI
Supplementary Materials
Author Contributions
Funding
Institutional Review Board Statement
Informed Consent Statement
Data Availability Statement
Acknowledgments
Conflicts of Interest
References
- WHO. WHO Recommendations on Antenatal Care for a Positive Pregnancy Experience. 2016. Available online: www.who.int/reproductivehealth/publications/maternal_perinatal_health/anc-positive-pregnancy-experience/en/ (accessed on 1 January 2016).
- Abalos, E.; Chamillard, M.; Diaz, V.; Tuncalp, Ӧ.; Gulmezoglu, A.M. Antenatal care for healthy pregnant women: A mapping of interventions from existing guidelines to inform the development of new WHO guidance on antenatal care. BJOG Int. J. Obstet. Gynaecol. 2015, 123, 519–528. [Google Scholar] [CrossRef]
- Yeoh, P.L.; Hornetz, K.; Dahlui, M. Antenatal Care Utilisation and Content between Low-Risk and High-Risk Pregnant Women. PLoS ONE 2016, 11, e0152167. [Google Scholar] [CrossRef]
- Coco, L.; Giannone, T.T.; Zarbo, G. Management of high-risk pregnancy. Minerva Ginecol. 2014, 66, 383–389. [Google Scholar]
- NICE. Antenatal Care for Uncomplicated Pregnancies. 2019. Available online: www.nice.org.uk/guidance/CG62 (accessed on 4 February 2019).
- Department of Health. Clinical Practice Guidelines: Pregnancy Care; Australian Government Department of Health: Canberra, Australian, 2019.
- Sarah, J.; Kilpatrick, S.J.; Papile, L.-A.; Macones, G.A. Guidelines for Perinatal Care, 8th ed.; AAP Committee on Fetus and Newborn and ACOG Committee on Obstetric Practice. The American College of Obstetricians and Gynecologists: Washington, DC, USA, 2017. [Google Scholar]
- Carroli, G.; Villar, J.; Piaggio, G.; Khan-Neelofur, D.; Gülmezoglu, M.; Mugford, M.; Lumbiganon, P.; Farnot, U.; Bersgjø, P.; WHO Antenatal Care Trial Research Group. WHO systematic review of randomised controlled trials of routine antenatal care. Lancet 2001, 357, 1565–1570. [Google Scholar] [CrossRef]
- Symon, A.; Pringle, J.; Downe, S.; Hundley, V.; Lee, E.; Lynn, F.; McFadden, A.; McNeill, J.; Renfrew, M.J.; Ross-Davie, M.; et al. Antenatal care trial interventions: A systematic scoping review and taxonomy development of care models. BMC Pregnancy Childbirth 2017, 17, 1–16. [Google Scholar] [CrossRef]
- Dowswell, T.; Carroli, G.; Duley, L.; Gates, S.; Gülmezoglu, A.M.; Khan-Neelofur, D.; Piaggio, G. Alternative versus standard packages of antenatal care for low-risk pregnancy. Cochrane Database Syst. Rev. 2015, 2015, CD000934. [Google Scholar] [CrossRef]
- Corrao, G.; Rea, F.; Di Martino, M.; Lallo, A.; Davoli, M.; PlALMA, R.D.; Belotti, L.; Merlino, L.; Pisanti, P.; Lispi, L.; et al. Effectiveness of adherence to recommended clinical examinations of diabetic patients in preventing diabetes-related hospitalizations. Int. J. Qual. Health Care 2019, 31, 464–472. [Google Scholar] [CrossRef]
- Cantarutti, A.; Rea, F.; Locatelli, A.; Merlino, L.; Lundin, R.; Perseghin, G.; Corrao, G. Adherence to clinical evaluations in women with pre-existing diabetes during pregnancy: A call to action from an Italian real-life investigation. Diabetes Res. Clin. Pract. 2019, 154, 1–8. [Google Scholar] [CrossRef] [PubMed]
- Cantarutti, A.; Franchi, M.; Rea, F.; Merlino, L.; Corrao, G. Use of Nimesulide during Early Pregnancy and the Risk of Congenital Malformations: A Population-Based Study from Italy. Adv. Ther. 2018, 35, 981–992. [Google Scholar] [CrossRef] [PubMed]
- Cantarutti, A.; Franchi, M.; Compagnoni, M.M.; Merlino, L.; Giovanni, G. Mother’s education and the risk of several neonatal outcomes: An evidence from an Italian population-based study. BMC Pregnancy Childbirth 2017, 17, 221. [Google Scholar] [CrossRef] [PubMed]
- Cantarutti, A.; Merlino, L.; Giaquinto, C.; Corrao, G. Use of antidepressant medication in pregnancy and adverse neonatal out-comes: A population-based investigation. Pharmacoepidemiol. Drug Saf. 2017, 26, 1100–1108. [Google Scholar] [CrossRef] [PubMed]
- Cantarutti, A.; Merlino, L.; Monzani, E.; Giaquinto, C.; Corrao, G. Is the Risk of Preterm Birth and Low Birth Weight Affected by the Use of Antidepressant Agents during Pregnancy? A Population-Based Investigation. PLoS ONE 2016, 11, e0168115. [Google Scholar] [CrossRef] [PubMed]
- SNLG—ISS Linea Guida 20. Gravidanza Fisiologica. 2011, Last Update in 2014. Available online: http://www.salute.gov.it/imgs/C_17_pubblicazioni_1436_allegato.pdf (accessed on 23 November 2011).
- Benjamini, Y.; Hochberg, Y. Controlling the False Discovery Rate—A Practical and Powerful Approach to Multiple Testing. J. R. Stat. Soc. Ser. B-Methodol. 1995, 57, 289–300. [Google Scholar] [CrossRef]
- Verret-Chalifour, J.; Giguère, Y.; Forest, J.C.; Croteau, J.; Zhang, P.; Marc, I. Breastfeeding initiation: Impact of obesity in a large Ca-nadian perinatal cohort study. PLoS ONE 2015, 10, e0117512. [Google Scholar] [CrossRef]
- Schneeweiss, S.; Rassen, J.A.; Glynn, R.J.; Avorn, J.; Mogun, H.; Brookhart, M.A. High-dimensional Propensity Score Adjustment in Studies of Treatment Effects Using Health Care Claims Data. Epidemiology 2009, 20, 512–522. [Google Scholar] [CrossRef]
- Desai, R.J.; Rothman, K.J.; Bateman, B.T.; Hernandez-Diaz, S.; Huybrechts, K.F. A propensity-score-based fine stratification ap-proach for confounding adjustment when exposure is infrequent. Epidemiology 2017, 28, 249–257. [Google Scholar] [CrossRef]
- Corrao, G.; Rea, F.; Franchi, M.; Beccalli, B.; Locatelli, A.; Cantarutti, A. Warning of Immortal Time Bias When Studying Drug Safe-ty in Pregnancy: Application to Late Use of Antibiotics and Preterm Delivery. Int. J. Environ. Res. Public Health 2020, 17, 6465. [Google Scholar] [CrossRef]
- Rodrigues, P.B.; Zambaldi, C.F.; Cantilino, A.; Sougey, E.B. Special features of high-risk pregnancies as factors in development of mental distress: A review. Trends Psychiatry Psychother. 2016, 38, 136–140. [Google Scholar] [CrossRef]
- Rodrigues, A.R.M.; Rodrigues, D.P.; Viana, A.B.; Cabral, L.S.; Silveira, M.A.M. Nursing care in high-risk pregnancies: An integrative review. Online Braz. J. Nurs. 2016, 15, 472–483. [Google Scholar] [CrossRef]
- Zadeh, M.A.; Khajehei, M.; Sharif, F.; Hadzic, M. High-risk pregnancy: Effects on postpartum depression and anxiety. Br. J. Midwifery 2012, 20, 104–113. [Google Scholar] [CrossRef]
- Leinonen, E.; Gissler, M.; Haataja, L.; Rahkonen, P.; Andersson, S.; Metsäranta, M.; Rahkonen, L. Low Apgar scores at both one and five minutes are associated with long-term neurological morbidity. Acta Paediatr. 2018, 107, 942–951. [Google Scholar] [CrossRef] [PubMed]
- Park, J.H.; Chang, Y.S.; Ahn, S.Y.; Sung, S.I.; Park, W.S. Predicting mortality in extremely low birth weight infants: Comparison be-tween gestational age, birth weight, Apgar score, CRIB II score, initial and lowest serum albumin levels. PLoS ONE 2018, 13, e0192232. [Google Scholar] [CrossRef] [PubMed]
- OECD. Health at a Glance: Europe 2018. Available online: https://doi.org/10.1787/health_glance_eur-2018-en (accessed on 22 November 2018).
- Johnson, C.D.; Jones, S.; Paranjothy, S. Reducing low birth weight: Prioritizing action to address modifiable risk factors. J. Public Health 2016, 39, 122–131. [Google Scholar] [CrossRef] [PubMed][Green Version]
- Van Poppel, M.; Jelsma, J.J.; Simmons, D.; Devlieger, R.; Jans, G.; Galjaard, S.; Corcoy, R.; Adelantado, J.M.; Dunne, F.; Harreiter, J.; et al. Mediators of Lifestyle Behaviour Changes in Obese Pregnant Women. Secondary Analyses from the DALI Lifestyle Randomised Controlled Trial. Nutrients 2019, 11, 311. [Google Scholar] [CrossRef]
- Henrichs, J.; Heuvel, M.I.V.D.; Witteveen, A.B.; Wilschut, J.; Bergh, B.R.H.V.D. Does Mindful Parenting Mediate the Association between Maternal Anxiety during Pregnancy and Child Behavioral/Emotional Problems? Mindfulness 2019, 1–11. [Google Scholar] [CrossRef]
- Weir, Z.; Bush, J.; Robson, S.; McParlin, C.; Rankin, J.; Bell, R. Physical activity in pregnancy: A qualitative study of the beliefs of overweight and obese pregnant women. BMC Pregnancy Childbirth 2010, 10, 18. [Google Scholar] [CrossRef]
- Olander, E.K.; Smith, D.; Darwin, Z. Health behaviour and pregnancy: A time for change. J. Reprod. Infant Psychol. 2018, 36, 1–3. [Google Scholar] [CrossRef]




| Socio-Demographic Traits | No. (%) |
|---|---|
| Age at delivery | |
| 16 to 25 years | 12,314 (10.1) |
| 26 to 35 years | 68,365 (55.8) |
| 36 to 45 years | 41,884 (34.2) |
| Birth place | |
| Italian-born | 90,676 (74.0) |
| Foreign-born | 29,981 (24.5) |
| Missing | 1906 (1.6) |
| Marital status | |
| Married | 76,667 (62.6) |
| Unmarried | 45,856 (37.4) |
| Missing | 40 (0.0) |
| Employment | |
| Employed | 87,196 (71.1) |
| Unemployed | 35,262 (28.8) |
| Missing | 105 (0.1) |
| Education | |
| Low | 26,380 (21.5) |
| Intermediate | 53,554 (43.7) |
| High | 42,567 (34.7) |
| Missing | 62 (0.1) |
| Parity | |
| Null parity | 16,505 (13.5) |
| Multi parity | 65,493 (53.4) |
| Missing | 40,565 (33.1) |
| Non-adherence to selected recommendations | |
| Appropriateness of gynaecological visits | 7262 (5.9) |
| Promptness of gynaecological visits | 5868 (4.8) |
| Appropriateness of ultrasounds | 6649 (5.4) |
| Appropriateness of laboratory tests | 3237 (2.6) |
| Number of complied recommendations | |
| 0 | 176 (0.1) |
| 1 | 1251 (1.0) |
| 2 | 4854 (4.0) |
| 3 | 8851 (7.2) |
| 4 | 107,431 (87.7) |
| No. (%) | |
|---|---|
| Maternal adverse outcomes | |
| Hysterectomy | 12 (0.0%) |
| Transferring to the intensive care unit | 38 (0.0%) |
| Postpartum haemorrhage | 3618 (3.0%) |
| Readmission within 42 days from delivery | 1018 (0.8%) |
| Pregnancy-related complications | 4260 (3.5%) |
| 3rd and 4th degree perineal tears † | 363 (0.4%) |
| Neonatal adverse outcomes | |
| Low Apgar score at five minutes ‡ | 415 (0.3%) |
| Low birth weight # | 1740 (1.4%) |
| Late preterm birth ## | 3422 (2.7%) |
| Number of Complied Recommendations | p-Trend | ||||
|---|---|---|---|---|---|
| 4 | 3 | 2 | 0 or 1 | ||
| Maternal adverse outcomes | |||||
| Transferring to the intensive care unit | 1.0 (ref.) | 1.8 (0.6 to 5.0) | 3.8 (1.4 -10.1) | 0.0976 | |
| Postpartum haemorrhage | 1.0 (ref.) | 1.2 (1.1–1.3) | 1.2 (1.0–1.4) | 0.7 (0.5–1.0) | 0.2734 |
| Readmission within 42 days from delivery | 1.0 (ref.) | 1.1 (0.8–1.4) | 1.2 (0.9–1.6) | 1.1 (0.6–1.9) | 0.2478 |
| Pregnancy-related complications | 1.0 (ref.) | 1.1 (1.0–1.3) | 1.2 (1.0–1.3) | 0.9 (0.7–1.2) | 0.1227 |
| Neonatal adverse outcomes | |||||
| Low Apgar score at five minutes † | 1.0 (ref.) | 1.4 (1.0–2.0) | 1.6 (1.1–2.5) | 3.2 (1.8–5.6) | <0.0001 |
| Low birth weight ‡ | 1.0 (ref.) | 1.0 (0.9–1.2) | 1.2 (1.0–2.2) | 1.6 (1.1–2.3) | 0.0087 |
Publisher’s Note: MDPI stays neutral with regard to jurisdictional claims in published maps and institutional affiliations. |
© 2020 by the authors. Licensee MDPI, Basel, Switzerland. This article is an open access article distributed under the terms and conditions of the Creative Commons Attribution (CC BY) license (http://creativecommons.org/licenses/by/4.0/).
Share and Cite
Corrao, G.; Cantarutti, A.; Locatelli, A.; Porcu, G.; Merlino, L.; Carbone, S.; Carle, F.; Zanini, R., on behalf of the Monitoring and Assessing Diagnostic-Therapeutic Paths (MAP) Working Group of the Italian Heath Ministry. Association between Adherence with Recommended Antenatal Care in Low-Risk, Uncomplicated Pregnancy, and Maternal and Neonatal Adverse Outcomes: Evidence from Italy. Int. J. Environ. Res. Public Health 2021, 18, 173. https://doi.org/10.3390/ijerph18010173
Corrao G, Cantarutti A, Locatelli A, Porcu G, Merlino L, Carbone S, Carle F, Zanini R on behalf of the Monitoring and Assessing Diagnostic-Therapeutic Paths (MAP) Working Group of the Italian Heath Ministry. Association between Adherence with Recommended Antenatal Care in Low-Risk, Uncomplicated Pregnancy, and Maternal and Neonatal Adverse Outcomes: Evidence from Italy. International Journal of Environmental Research and Public Health. 2021; 18(1):173. https://doi.org/10.3390/ijerph18010173
Chicago/Turabian StyleCorrao, Giovanni, Anna Cantarutti, Anna Locatelli, Gloria Porcu, Luca Merlino, Simona Carbone, Flavia Carle, and Rinaldo Zanini on behalf of the Monitoring and Assessing Diagnostic-Therapeutic Paths (MAP) Working Group of the Italian Heath Ministry. 2021. "Association between Adherence with Recommended Antenatal Care in Low-Risk, Uncomplicated Pregnancy, and Maternal and Neonatal Adverse Outcomes: Evidence from Italy" International Journal of Environmental Research and Public Health 18, no. 1: 173. https://doi.org/10.3390/ijerph18010173
APA StyleCorrao, G., Cantarutti, A., Locatelli, A., Porcu, G., Merlino, L., Carbone, S., Carle, F., & Zanini, R., on behalf of the Monitoring and Assessing Diagnostic-Therapeutic Paths (MAP) Working Group of the Italian Heath Ministry. (2021). Association between Adherence with Recommended Antenatal Care in Low-Risk, Uncomplicated Pregnancy, and Maternal and Neonatal Adverse Outcomes: Evidence from Italy. International Journal of Environmental Research and Public Health, 18(1), 173. https://doi.org/10.3390/ijerph18010173

